Correlations between Urbanization and Vegetation Degradation across the World’s Metropolises Using DMSP/OLS Nighttime Light Data
Abstract
:1. Introduction
2. Data
2.1. Data Sources
| Products and Sensors | Time Period | Resolution | Data Source | Processing |
|---|---|---|---|---|
| DMSP/OLS NTL | 1992 to 2012 | Yearly/30-s grids | National Geophysical Data Center at the National Oceanic and Atmospheric Administration | Averaging the pixel values of each city’s urbanization area to derive the annual DN |
| VIP NDVI | June 1981 to December 2010 | Monthly/5.6 km | Vegetation Index and Phenology Research Lab at the University of Arizona | MVC method to derive the annual maximum NDVI |
| MODIS MODND1M NDVI | February 2000 to December 2010 | Monthly/1 km | Geospatial Data Cloud, Chinese Academy of Sciences | MVC method to derive the annual maximum NDVI |
| GlobCover 2009 | 2009 | Single year/300 m | European Space Agency (ESA) | Visually compare with NTL |
2.2. Study Areas
| Continent | Metropolis |
|---|---|
| Asia | Beijing, Shanghai, Guangzhou, Taipei, Singapore, Bangkok, Dubai, New Delhi, Tehran, Tokyo, Kyoto, Seoul |
| Europe | London, Liverpool, Berlin, Athens, Lisbon, Madrid, Barcelona, Rome, Milan, Paris, Brussels, Stockholm, Moscow, Saint Petersburg, Istanbul |
| North America | Mexico City, New York, Miami, Houston, Dallas, Phoenix, Atlanta, Los Angeles, St. Louis, Washington D.C., Cleveland, Detroit, Boston, Chicago, Minneapolis, Toronto, Montreal |
| South America | Buenos Aires, Sao Paulo, Rio de Janeiro |
| Africa | Johannesburg, Cairo |
| Oceania | Melbourne |

3. Methods

3.1. Calibration and Composition of NTL

| Satellite | Year | a | b | R2 | Satellite | Year | a | b | R2 |
|---|---|---|---|---|---|---|---|---|---|
| F10 | 1992 | 0.50 | 26.61 | 0.74 | F15 | 2000 | 0.57 | 23.28 | 0.83 |
| 1993 | 0.48 | 28.80 | 0.75 | 2001 | 0.64 | 19.89 | 0.84 | ||
| 1994 | 0.54 | 23.70 | 0.72 | 2002 | 0.70 | 15.93 | 0.87 | ||
| F12 | 1994 | 0.52 | 26.46 | 0.82 | 2003 | 0.52 | 27.78 | 0.88 | |
| 1995 | 0.60 | 21.64 | 0.79 | 2004 | 0.50 | 29.38 | 0.89 | ||
| 1996 | 0.63 | 19.66 | 0.81 | 2005 | 0.51 | 29.03 | 0.88 | ||
| 1997 | 0.52 | 26.30 | 0.77 | 2006 | 0.46 | 32.07 | 0.92 | ||
| 1998 | 0.53 | 26.38 | 0.79 | 2007 | 0.44 | 33.15 | 0.88 | ||
| 1999 | 0.73 | 13.71 | 0.82 | F16 | 2004 | 0.51 | 27.41 | 0.82 | |
| F14 | 1997 | 0.44 | 32.16 | 0.84 | 2005 | 0.50 | 29.57 | 0.90 | |
| 1998 | 0.47 | 31.24 | 0.86 | 2006 | 0.53 | 27.54 | 0.89 | ||
| 1999 | 0.49 | 29.30 | 0.87 | 2007 | 0.71 | 16.16 | 0.89 | ||
| 2000 | 0.84 | 7.65 | 0.88 | 2008 | 0.55 | 25.79 | 0.89 | ||
| 2001 | 0.62 | 20.32 | 0.83 | 2009 | 0.65 | 18.75 | 0.84 | ||
| 2002 | 0.51 | 27.24 | 0.79 | F18 | 2010 | 1.21 | −15.91 | 0.91 | |
| 2003 | 0.62 | 21.21 | 0.87 | 2011 | 0.56 | 23.71 | 0.76 |

3.2. Variation Trend Judgement
4. Results
4.1. Vegetation Variation Trend

4.2. Light Variation Trend

| Classification | Metropolis or the Urban Clusters | Range of Slope |
|---|---|---|
| Rapid (R) | Shanghai, Dubai, Beijing, Cairo, Guangzhou, New Delhi, Bangkok, Tehran, Phoenix, Istanbul | 0.76–1.58 ** |
| Relatively Fast (RF) | Lisbon, Singapore, Seoul, Moscow, Taipei, Saint Petersburg, Madrid, Atlanta, Dallas, Sao Paulo | 0.51–0.74 ** |
| Moderate Speed (MS) | Athens, Milan, Johannesburg, Rome, Houston, Melbourne, Mexico City, Buenos Aires, Barcelona, Rio de Janeiro | 0.25–0.51 ** |
| Relatively Slow (RS) | Berlin, Los Angeles, Washington D.C., St. Louis, Chicago, Minneapolis, Kyoto, Miami, Tokyo, Paris | 0.13–0.21 ** |
| Sluggish (S) | Toronto, Detroit, Cleveland | 0.08–0.13 ** |
| Brussels, Liverpool, London, Montreal, Boston, Stockholm | 0–0.08 |
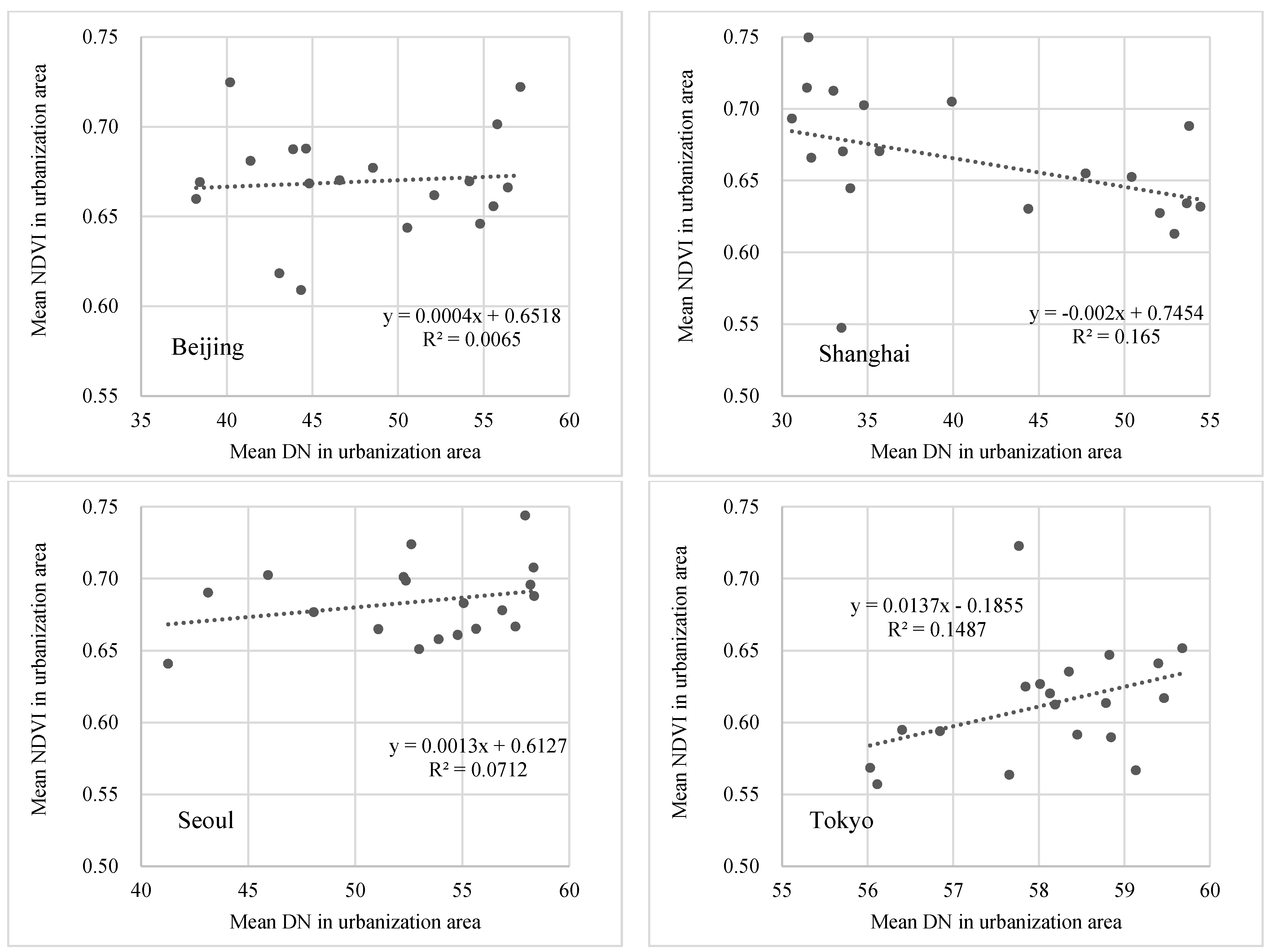
4.3. Correlation between Light and Vegetation


5. Discussion
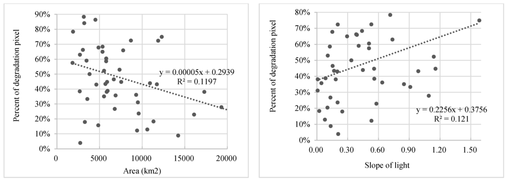
5.1. Delineating the Correlations by Statistical Methods

| Name | Degradation Inside | Degradation Outside | Slope (Class) | Name | Restoration Inside | Restoration Outside | Slope (Class) |
|---|---|---|---|---|---|---|---|
| Guangzhou | 92.7% | 6.9% | 0.99 (R) | Berlin | 98.0% | 98.8% | 0.21 (RS) |
| Istanbul | 90.2% | 16.5% | 0.76 (R) | New York | 89.1% | 98.4% | 0.10 (S) |
| Tehran | 89.5% | 69.1% | 0.85 (R) | Moscow | 86.8% | 99.4% | 0.58 (RF) |
| Madrid | 88.2% | 55.9% | 0.54 (RF) | Brussels | 86.2% | 95.6% | 0.08 (S) |
| Phoenix | 87.2% | 84.2% | 0.77 (R) | Atlanta | 84.9% | 99.8% | 0.53 (RF) |
| Singapore | 86.1% | 9.5% | 0.71 (RF) | London | 84.3% | 94.9% | 0.02 (S) |
| Melbourne | 82.4% | 4.6% | 0.38 (MS) | Washington D.C. | 82.1% | 98.6% | 0.20 (RS) |
| Shanghai | 79.6% | 14.5% | 1.58 (R) | Boston | 81.5% | 97.2% | 0.01 (S) |
| Kyoto | 70.5% | 13.8% | 0.15 (RS) | Stockholm | 78.8% | 91.9% | 0.00 (S) |
| Bangkok | 70.0% | 10.3% | 0.85 (R) | Minneapolis | 75.8% | 99.5% | 0.17 (RS) |
| Name | Degradation Inside | Degradation Outside | Slope (Class) | Name | Restoration Inside | Restoration Outside | Slope (Class) |
|---|---|---|---|---|---|---|---|
| Shanghai | 78.5% | 38.3% | 1.58 (R) | Berlin | 100.0% | 90.0% | 0.21 (RS) |
| Houston | 65.9% | 28.8% | 0.39 (MS) | Moscow | 100.0% | 96.1% | 0.58 (RF) |
| Singapore | 59.0% | 51.5% | 0.71 (RF) | Athens | 100.0% | 88.5% | 0.51 (RF) |
| Buenos Aires | 57.7% | 53.9% | 0.29 (MS) | Johan-nesburg | 99.4% | 92.8% | 0.44 (MS) |
| Mexico City | 52.2% | 31.1% | 0.34 (MS) | Paris | 99.3% | 96.0% | 0.13 (RS) |
| Melbourne | 39.5% | 5.5% | 0.38 (MS) | Rio de Janeiro | 98.9% | 98.7% | 0.25 (MS) |
| Bangkok | 38.4% | 23.3% | 0.85 (R) | Sao Paulo | 95.9% | 93.7% | 0.51 (RF) |
| St. Louis | 36.8% | 10.8% | 0.20 (RS) | New York | 95.3% | 91.1% | 0.10 (S) |
| Guangzhou | 36.6% | 44.0% | 0.99 (R) | Detroit | 94.7% | 97.8% | 0.11 (S) |
| Beijing | 35.1% | 12.3% | 1.14 (R) | Barcelona | 93.7% | 96.7% | 0.29 (MS) |
5.2. Confirmation of the Relation by Different NDVI Data Sets

5.3. Urbanization Stage and the Effect on Night Light and Vegetation
6. Conclusions
Acknowledgments
Author Contributions
Conflicts of Interest
References
- Millennium Ecosystem Assessment. Ecosystems and Human Wellbeing, Synthesis; Island Press: Washington, DC, USA, 2005. [Google Scholar]
- Slemp, C.; Davenport, M.A.; Seekamp, E.; Brehm, J.M.; Schoonover, J.E.; Williard, K.W. “Growing too fast,” Local stakeholders speak out about growth and its consequences for community well-being in the urban–rural interface. Landsc. Urban Plan. 2012, 106, 139–148. [Google Scholar]
- McKinney, M.L. Urbanization, biodiversity, and conservation. BioScience 2002, 52, 883–890. [Google Scholar]
- McKinney, M.L. Urbanization as a major cause of biotic homogenization. Biol. Conserv. 2006, 127, 247–260. [Google Scholar]
- Hahs, A.; McDonnell, M.; McCarthy, M.; Vesk, P.; Corlett, R.; Norton, B.; Clemants, S.E.; Duncan, R.P.; Thompson, K.; Schwartz, M.W.; et al. A global synthesis of plant extinction rates in urban areas. Ecol. Lett. 2009, 12, 1165–1173. [Google Scholar]
- Grimm, N.B.; Faeth, S.H.; Golubiewski, N.E.; Redman, C.L.; Wu, J.G.; Bai, X.M.; Briggs, J.M. Global change and the ecology of cities. Science 2008, 319, 756–760. [Google Scholar]
- United Nations HABITAT. State of the World’s Cities; United Nations Publication: New York, NY, USA, 2006; p. 204. [Google Scholar]
- United Nations. World Urbanization Prospects; 2009 Revision; United Nations: New York, NY, USA, 2010. [Google Scholar]
- McDonald, R.I.; Kareiva, P.; Forman, R.T. The implications of current and future urbanization for global protected areas and biodiversity conservation. Biol. Conserv. 2008, 141, 1695–1703. [Google Scholar]
- Imhoff, M.L.; Bounoua, L.; DeFries, R.; Lawrence, W.T.; Stutzer, D.; Tucker, C.J.; Rickettse, T. The consequences of urban land transformation on net primary productivity in the United States. Remote Sens. Environ. 2004, 89, 434–443. [Google Scholar]
- Jenerette, G.D.; Harlan, S.L.; Brazel, A.; Jones, N.; Larsen, L.; Stefanov, W.L. Regional relationships between surface temperature, vegetation, and human settlement in a rapidly urbanizing ecosystem. Landsc. Ecol. 2007, 22, 353–365. [Google Scholar]
- Zhou, D.; Zhao, S.; Liu, S.; Zhang, L. Spatiotemporal trends of terrestrial vegetation activity along the urban development intensity gradient in China’s 32 major cities. Sci. Total Environ. 2014, 488, 136–145. [Google Scholar]
- Gregg, J.W.; Jones, C.G.; Dawson, T.E. Urbanization effects on tree growth in the vicinity of New York City. Nature 2003, 424, 183–187. [Google Scholar]
- Zhang, X.; Friedl, M.A.; Schaaf, C.B.; Strahler, A.H.; Schneider, A. The footprint of urban climates on vegetation phenology. Geophys. Res. Lett. 2004, 31, L12209. [Google Scholar]
- Hubacek, K.; Kronenberg, J. Synthesizing different perspectives on the value of urban ecosystem services. Landsc. Urban Plan. 2013, 109, 1–6. [Google Scholar]
- Vandermeulen, V.; Verspecht, A.; Vermeire, B.; van Huylenbroeck, G.; Gellynck, X. The use of economic valuation to create public support for green infrastructure investments in urban areas. Landsc. Urban Plan. 2011, 103, 198–206. [Google Scholar]
- Manninen, S.; Forss, S.; Venn, S. Management mitigates the impact of urbanization on meadow vegetation. Urban Ecosyst. 2010, 13, 461–481. [Google Scholar]
- Myeong, S.; Nowak, D.J.; Duggin, M.J. A temporal analysis of urban forest carbon storage using remote sensing. Remote Sens. Environ. 2006, 101, 277–282. [Google Scholar]
- Sun, J.; Wang, X.; Chen, A.; Ma, Y.; Cui, M.; Piao, S. NDVI indicated characteristics of vegetation cover change in China’s metropolises over the last three decades. Environ. Monit. Assess. 2011, 179, 1–14. [Google Scholar]
- Paruelo, J.M.; Epstein, H.E.; Lauenroth, W.K.; Burke, I.C. ANPP estimates from NDVI for the Central Grassland region of the United States. Ecology 1997, 78, 953–958. [Google Scholar]
- Myneni, R.B.; Dong, J.; Tucker, C.J.; Kaufmann, R.K.; Kauppi, P.E.; Liski, J.; Zhou, L.; Alexeyev, V.; Hughes, M.K. A large carbon sink in the woody biomass of northern forests. Proc. Natl. Acad. Sci. USA 2001, 98, 14784–14789. [Google Scholar]
- Wessels, K.J.; Prince, S.D.; Reshef, I. Mapping land degradation by comparison of vegetation production to spatially derived estimates of potential production. J. Arid Environ. 2008, 72, 1940–1949. [Google Scholar]
- Hartter, J.; Ryan, S.J.; Southworth, J.; Chapman, C.A. Landscapes as continuous entities, forest disturbance and recovery in the Albertine Rift Landscape. Landsc. Ecol. 2011, 26, 877–890. [Google Scholar]
- Peng, J.; Liu, Z.; Liu, Y.; Wu, J.; Han, Y. Trend analysis of vegetation dynamics in Qinghai–Tibet Plateau using Hurst Exponent. Ecol. Indic. 2012, 14, 28–39. [Google Scholar]
- Zhou, Y.; Smith, S.J.; Elvidge, C.D.; Zhao, K.; Thomson, A.; Imhoff, M. A cluster-based method to map urban area from DMSP/OLS nightlights. Remote Sens. Environ. 2014, 147, 173–185. [Google Scholar]
- Elvidge, C.D.; Baugh, K.E.; Kihn, E.A.; Kroehl, H.W.; Davis, E.R. Mapping city lights with nighttime data from the DMSP Operational Linescan System. Photogramm. Eng. Remote Sens. 1997, 63, 727–734. [Google Scholar]
- Henderson, M.; Yeh, E.T.; Gong, P.; Elvidge, C.; Baugh, K. Validation of urban boundaries derived from global night-time satellite imagery. Int. J. Remote Sens. 2003, 24, 595–609. [Google Scholar]
- Gallo, K.P.; Elvidge, C.D.; Yang, L.; Reed, B.C. Trends in night-time city lights and vegetation indices associated with urbanization within the conterminous USA. Int. J. Remote Sens. 2004, 20, 2003–2007. [Google Scholar]
- Cao, X.; Chen, J.; Imura, H.; Higashi, O. A SVM-based method to extract urban areas from DMSP-OLS and SPOT VGT data. Remote Sens. Environ. 2009, 113, 2205–2209. [Google Scholar]
- Liu, Z.; He, C.; Zhang, Q.; Huang, Q.; Yang, Y. Extracting the dynamics of urban expansion in China using DMSP-OLS nighttime light data from 1992 to 2008. Landsc. Urban Plan. 2012, 106, 62–72. [Google Scholar]
- Elvidge, C.D.; Tuttle, B.T.; Sutton, P.C.; Baugh, K.E.; Howard, A.T.; Milesi, C.; Bhaduri, B.L.; Nemani, R. Global distribution and density of constructed impervious surfaces. Sensors 2007, 7, 1962–1979. [Google Scholar]
- Chand, T.K.; Badarinath, K.V.S.; Elvidge, C.D.; Tuttle, B.T. Spatial characterization of electrical power consumption patterns over India using temporal DMSP-OLS night-time satellite data. Int. J. Remote Sens. 2009, 30, 647–661. [Google Scholar]
- Wu, J.; Wang, Z.; Li, W.; Peng, J. Exploring factors affecting the relationship between light consumption and GDP based on DMSP/OLS nighttime satellite imagery. Remote Sens. Environ. 2013, 134, 111–119. [Google Scholar]
- Fan, J.; Ma, T.; Zhou, C.; Zhou, Y.; Xu, T. Comparative estimation of urban development in China’s cities using socioeconomic and DMSP/OLS night light data. Remote Sens. 2014, 6, 7840–7856. [Google Scholar]
- Roychowdhury, K.; Jones, S.D.; Arrowsmith, C.; Reinke, K. A comparison of high and low gain DMSP/OLS satellite images for the study of socio-economic metrics. IEEE J-STARS 2011, 4, 35–42. [Google Scholar]
- Theil, H. A rank-invariant method of linear and polynomial regression analysis I, II and III. In Proceedings of the Section Sciences, Koninklijke Academie van Wetenschappen te, Amsterdam, The Netherlands, 25 February 1950; pp. 386–392.
- Sen, P.K. Estimates of the regression coefficient based on Kendall’s tau. J. Am. Stat. Assoc. 1968, 63, 1379–1389. [Google Scholar]
- Didan, K. Multi-Satellite earth science data record for studying global vegetation trends and changes. In Proceedings of the 2010 International Geoscience and Remote Sensing Symposium, Honolulu, HI, USA, 25–30 July 2010; pp. 25–30.
- Holben, B.N. Characteristics of maximum-value composite images from temporal AVHRR data. Int. J. Remote. Sens. 1986, 7, 1417–1434. [Google Scholar]
- Maxwell, S.K.; Sylvester, K.M. Identification of “ever-cropped” land (1984–2010) using Landsat annual maximum NDVI image composites, Southwestern Kansas case study. Remote Sens. Environ. 2012, 121, 186–195. [Google Scholar]
- Zhang, Q.; Seto, K.C. Mapping urbanization dynamics at regional and global scales using multi-temporal DMSP/OLS nighttime light data. Remote Sens. Environ. 2011, 115, 2320–2329. [Google Scholar]
- Pandey, B.; Joshi, P.K.; Seto, K.C. Monitoring urbanization dynamics in India using DMSP/OLS night time lights and SPOT-VGT data. Int. J. Appl. Earth. Obs. 2013, 23, 49–61. [Google Scholar]
- Elvidge, C.D.; Ziskin, D.; Baugh, K.E.; Tuttle, B.T.; Ghosh, T.; Pack, D.W.; Erwin, E.H.; Zhizhin, M. A fifteen-year record of global natural gas flaring derived from satellite data. Energies 2009, 2, 595–622. [Google Scholar]
- Han, P.; Huang, J.; Li, R.; Wang, L.; Hu, Y.; Wang, J.; Huang, W. Monitoring trends in light pollution in China based on nighttime satellite imagery. Remote Sens. 2014, 6, 5541–5558. [Google Scholar]
- Fernandes, R.; Leblanc, S.G. Parametric (modified least squares) and non-parametric (Theil–Sen) linear regressions for predicting biophysical parameters in the presence of measurement errors. Remote Sens. Environ. 2005, 95, 303–316. [Google Scholar]
- Elvidge, C.D.; Hsu, F.C.; Baugh, K.E.; Ghosh, T. National Trends in Satellite-Observed Lighting. In Global Urban Monitoring and Assessment through Earth Observation; CRC Press: Boca Raton, FL, USA, 2014; pp. 97–118. [Google Scholar]
- Neeti, N.; Eastman, J.R. A contextual Mann-Kendall approach for the assessment of trend significance in image time series. Trans. GIS 2011, 15, 599–611. [Google Scholar]
- Fuller, D.O.; Wang, Y. Recent trends in satellite vegetation index observations indicate decreasing vegetation biomass in the Southeastern Saline Everglades Wetlands. Wetlands 2014, 34, 67–77. [Google Scholar]
- Kendall, M.G. Rank Correlation Methods; Hafner: New York, NY, USA, 1962. [Google Scholar]
- Kendall, M.G. Rank Correlation Methods; Charles Griffin: London, UK, 1975. [Google Scholar]
- Mann, H.B. Nonparametric tests against trend. Econometrica 1945, 13, 245–259. [Google Scholar]
- Tarnavsky, E.; Garrigues, S.; Brown, M.E. Multiscale geostatistical analysis of AVHRR, SPOT-VGT, and MODIS global NDVI products. Remote Sens. Environ. 2008, 112, 535–549. [Google Scholar]
- Fensholt, R.; Proud, S.R. Evaluation of earth observation based global long term vegetation trends—Comparing GIMMS and MODIS global NDVI time series. Remote Sens. Environ. 2012, 119, 131–147. [Google Scholar]
- Walther, G.R.; Post, E.; Convey, P.; Menzel, A.; Parmesan, C.; Beebee, T.J.; Fromentin, J.M.; Hoegh-Guldberg, O.; Bairlein, F. Ecological responses to recent climate change. Nature 2002, 416, 389–395. [Google Scholar]
- Gonzalez, P.; Neilson, R.P.; Lenihan, J.M.; Drapek, R.J. Global patterns in the vulnerability of ecosystems to vegetation shifts due to climate change. Glob. Ecol. Biogeogr. 2010, 19, 755–768. [Google Scholar]
- Standish, R.J.; Hobbs, R.J.; Miller, J.R. Improving city life, options for ecological restoration in urban landscapes and how these might influence interactions between people and nature. Landsc. Ecol. 2013, 28, 1213–1221. [Google Scholar]
- Liu, Q.; Yang, Y.; Tian, H.; Zhang, Bo.; Gu, L. Assessment of human impacts on vegetation in built-up areas in China based on AVHRR, MODIS and DMSP_OLS nighttime light data, 1992–2010. Chin. Geogr. Sci. 2014, 24, 231–244. [Google Scholar]
- Jenerette, G.D.; Potere, D. Global analysis and simulation of land-use change associated with urbanization. Landsc. Ecol. 2010, 25, 657–670. [Google Scholar]
- De Jager, N.R.; Rohweder, J.J. Spatial scaling of core and dominant forest cover in the Upper Mississippi and Illinois River floodplains, USA. Landsc. Ecol. 2011, 26, 697–708. [Google Scholar]
- Ahern, J. Urban landscape sustainability and resilience, the promise and challenges of integrating ecology with urban planning and design. Landsc. Ecol. 2013, 28, 1203–1212. [Google Scholar]
- Zhang, Q.; Seto, K.C. Can night-time light data identify typologies of urbanization? A global assessment of successes and failures. Remote Sens. 2013, 5, 3476–3494. [Google Scholar]
- Wu, J.; He, S.; Peng, J.; Li, W.; Zhong, X. Intercalibration of DMSP-OLS night-time light data by the invariant region method. Int. J. Remote Sens. 2013, 34, 7356–7368. [Google Scholar]
- Ma, L.; Wu, J.; Li, W.; Peng, J.; Liu, H. Evaluating saturation correction methods for DMSP/OLS nighttime light data: A case study from China’s cities. Remote Sens. 2014, 6, 9853–9872. [Google Scholar]
- Shi, K.; Yu, B.; Huang, Y.; Hu, Y.; Yin, B.; Chen, Z.; Chen, L.; Wu, J. Evaluating the ability of NPP-VIIRS nighttime light data to estimate the gross domestic product and the electric power consumption of China at multiple scales: A comparison with DMSP-OLS data. Remote Sens. 2014, 6, 1705–1724. [Google Scholar]
© 2015 by the authors; licensee MDPI, Basel, Switzerland. This article is an open access article distributed under the terms and conditions of the Creative Commons Attribution license (http://creativecommons.org/licenses/by/4.0/).
Share and Cite
Liu, Y.; Wang, Y.; Peng, J.; Du, Y.; Liu, X.; Li, S.; Zhang, D. Correlations between Urbanization and Vegetation Degradation across the World’s Metropolises Using DMSP/OLS Nighttime Light Data. Remote Sens. 2015, 7, 2067-2088. https://doi.org/10.3390/rs70202067
Liu Y, Wang Y, Peng J, Du Y, Liu X, Li S, Zhang D. Correlations between Urbanization and Vegetation Degradation across the World’s Metropolises Using DMSP/OLS Nighttime Light Data. Remote Sensing. 2015; 7(2):2067-2088. https://doi.org/10.3390/rs70202067
Chicago/Turabian StyleLiu, Yanxu, Yanglin Wang, Jian Peng, Yueyue Du, Xianfeng Liu, Shuangshuang Li, and Donghai Zhang. 2015. "Correlations between Urbanization and Vegetation Degradation across the World’s Metropolises Using DMSP/OLS Nighttime Light Data" Remote Sensing 7, no. 2: 2067-2088. https://doi.org/10.3390/rs70202067
APA StyleLiu, Y., Wang, Y., Peng, J., Du, Y., Liu, X., Li, S., & Zhang, D. (2015). Correlations between Urbanization and Vegetation Degradation across the World’s Metropolises Using DMSP/OLS Nighttime Light Data. Remote Sensing, 7(2), 2067-2088. https://doi.org/10.3390/rs70202067

