Evaluation of Satellite Retrievals of Ocean Chlorophyll-a in the California Current
Abstract
: Retrievals of ocean surface chlorophyll-a concentration (Chla) by multiple ocean color satellite sensors (SeaWiFS, MODIS-Terra, MODIS-Aqua, MERIS, VIIRS) using standard algorithms were evaluated in the California Current using a large archive of in situ measurements. Over the full range of in situ Chla, all sensors produced a coefficient of determination (R2) between 0.79 and 0.88 and a median absolute percent error (MdAPE) between 21% and 27%. However, at in situ Chla > 1 mg m−3, only products from MERIS (both the ESA produced algal_1 and NASA produced chlor_a) maintained reasonable accuracy (R2 from 0.74 to 0.52 and MdAPE from 23% to 31%, respectively), while the other sensors had R2 below 0.5 and MdAPE higher than 36%. We show that the low accuracy at medium and high Chla is caused by the poor retrieval of remote sensing reflectance.1. Introduction
The California Current (CC) has been a test bed for ocean color algorithm development for decades (e.g., [1–5]), and standard NASA empirical ocean color algorithms [6,7] were originally parameterized with datasets with approximately a third of all in situ measurements of radiometry and chlorophyll-a concentration (Chla, mg m−3) from the CC [8]. While the proportion of CC data is smaller in the current NOMAD (NASA bio-Optical Marine Algorithm Dataset) version 2 dataset that is used to derive the coefficients of standard ocean color (OC) Chla algorithms (version 6) ( http://oceancolor.gsfc.nasa.gov/REPROCESSING/R2009/ocv6/), it is still significant, accounting for 11.7% of all observations and 10.7% of Chla values > 1 mg m−3. There is therefore an assumption that standard ocean color algorithms work well in the CC and have no significant bias. Yet, despite progress with data reprocessing and vicarious calibration of satellite ocean color radiometry, match-ups of Chla with in situ data in the CC consistently show significant systematic error at medium and high Chla [5]. Here, we evaluate how well Chla is retrieved by standard algorithms of all major ocean color satellite sensors (SeaWiFS, MODIS-Terra, MODIS-Aqua, MERIS and VIIRS) in comparison to a large archive of in situ Chla measurements from the CC region. We also compare some algorithms that are specifically designed for high Chla waters. The response of the California Current ecosystems to global and regional forcings is an area of active study, and trends of increasing phytoplankton biomass have been detected based on both in situ [9,10] and satellite [5,11] data. However, satellite detection of trends may be impacted if the estimates are biased, potentially not detecting real trends or falsely identifying trends due to biased satellite retrievals.
2. Data and Methods
2.1. In Situ Chla Data
The sources of in situ Chla data are listed in Table 1. Over half of the in situ Chla data were collected by the California Cooperative Oceanic Fisheries Investigations (CalCOFI). Quarterly cruises have been conducted on a regular grid of stations as far as 600 km offshore by CalCOFI [12]. A related California Coastal Ecosystem-Long Term Ecological Research (CCE-LTER) program that carries out cruises with flexible ground coverage was the second largest data contributor. The total number of near-surface Chla samples that were used to validate satellite data from 1997–2013 was about 7500 (Table 1), i.e., about 440 stations per year.
For each station, the sample nearest to the surface (typically 1–10 m) was used. This included only the high-quality datasets that were far enough from the coast to provide at least five valid satellite pixels in the 3 × 3-pixel window centered at the in situ sample location. Datasets acquired too near the coast were excluded, since they are typically affected by coastal runoff and river plumes, as well as by land adjacency effects. The excluded data include the optically complex (Case 2) waters in the Plumes and Blooms study in the Santa Barbara Channel [4] and several projects in the Monterey Bay (e.g. [13,14]). A few other datasets were excluded due to questionable calibration accuracy and sample collection procedures. Most of the in situ Chla (mg m−3) samples were processed with the standard fluorometric method [15]. Fluorometric Chla values were replaced with total Chla when measurements with the more accurate HPLC method were available. A comparison of the Chla measurements made with the fluorometric and HPLC methods showed very high correlation, with a slope close to one and an intercept not distinguishable from zero (e.g., Figure 5 in [8]). A typical spatial pattern for Chla in the CC region and the station locations for match-ups with MODIS-Aqua satellite measurements are shown in Figure 1.
2.2. Match-Ups between Satellite and In Situ Data
We used data from five different satellite sensors: SeaWiFS, MODIS-Terra (MODIST), MERIS, MODIS-Aqua (MODISA) and VIIRS. For MERIS, we used two different estimates of Chla from the same reduced resolution (RR) data: the standard ESA processed algal_1 product (designated here as MERISRR) and the NASA processed chlor_a product (MERISNASARR). All satellite data were acquired at Level 2 (i.e., processed to surface quantities, but unmapped) with approximately 1-km ground resolution.
SeaWiFS (1997–2010, version 2010.0), MODIST (2000–2014, version 2010.0) MODISA (2002–2014, version 2013.0), MERISNASARR (2002–2012, version 2012.1.1) and VIIRS processed by NASA (2012–2014, version 2013.1.1) were obtained from NASA’s Ocean Color web ( http://oceancolor.gsfc.nasa.gov/). Level-2 MERIS RR data processed by ESA (2002–2012, third reprocessing) were downloaded from ESA’s MERIS Catalogue and Inventory ( http://merci-srv.eo.esa.int/merci/welcome.do).
The validation of satellite products using quasi-simultaneous and spatially-collocated measurements (match-ups) of satellite and in situ data followed the general procedures of previous studies (e.g. [2,5,16,17]). For each Level-2 pixel, we used the corresponding Level-2 flags. For NASA processed data, the following flags made a pixel invalid: ATMFAIL, LAND, HISATZEN, CLDICE, CHLFAIL, SEAICE, NAVFAIL and HIPOL (see http://oceancolor.gsfc.nasa.gov/VALIDATION/flags.html for an explanation of the flags). In contrast with our previous study [5], the flag PRODFAIL, which indicated failure of any of the derived products, was not used, because it removes many valid chlorophyll retrievals due to failure of other products not relevant to the analysis, such as fluorescence line height (FLH). For MERISRR, the following flags made a pixel invalid: LOW_SUN, HIGH_GLINT, ICE_HAZE, SUSPECT, COASTLINE, PCD_19, PCD_18, PCD_17, PCD_16, PCD_15, PCD_14, PCD_1_13, CLOUD and LAND ( https://earth.esa.int/instruments/meris/data-app/level2.html). All variables in Level-2 files were extracted from a 3 × 3-pixel window centered at the pixel nearest to the in situ sample. For statistical analysis, we accepted only those match-ups (at least five valid pixels (out of nine)). The maximum temporal difference between satellite and in situ measurements was set at three hours, but was relaxed to six hours for some tests with VIIRS in order to increase the number of match-ups. Satellite match-ups with a high range of variability within the 3 × 3-pixel window were excluded if (Max − Min)/Min > 1 for the standard Chla variable (chlor_a for NASA products or algal_1 for ESA products). These match-ups were typically located near cloud edges and were deemed unreliable. The arithmetic mean Chla value of all valid pixels within the 3 × 3-pixel window was used as the satellite retrieval. The spatial distribution of MODISA match-ups with in situ measurements of Chla is shown in Figure 1.
2.3. Sensor Comparison
In order to evaluate the errors of the satellite remote sensing reflectance, Rrs (λ), we compared Rrs data from spatially and temporally overlapping satellite sensors. We created daily satellite datasets for each sensor by mapping Level-2 Rrs to a standard map in Albers conic equal area projection, with each pixel being approximately 1 km2. We then found match-ups between these mapped datasets for the same pixel and the same day. Differences of a few hours in the timing between different satellite sensors are unavoidable, as the SeaWiFS overpass time nominally occurred at local noon, but drifted later towards the afternoon, while the MERIS overpass was approximately 10 AM, the MODIS-Terra overpass time approximately 10:30 AM, and the MODIS-Aqua and VIIRS overpasses at approximately 1:30 PM. As satellite sensors generate large amounts of overlapping data, we picked a 5 km-wide transect from the coast to offshore (Figure 1) that covered a range of environments from the high Chla coastal upwelling band to the oligotrophic low Chla offshore waters. Satellite-to-satellite match-ups were then picked along that transect. We chose the first 99 days of 2012 for a comparison of MODIST, MODISA, MERIS and VIIRS data. A comparison with SeaWiFS was performed during the first 99 days of 2004, as SeaWiFS data were not available in 2012. A comparison of sensors using a full year (not shown) provided similar results. The shorter, 99-day interval was chosen to simplify analysis and graphical representation of the results.
2.4. Statistical Estimates of Model Performance
We used several statistical measures to assess the performance of satellite products against in situ observations (satellite to in situ match-ups) and between different satellite sensors (i.e., inter-sensor match-ups). For satellite to in situ match-ups, Oi is the i-th observation of an in situ variable and Pi is the corresponding predicted satellite variable. For sensor match-ups, the choice of the observed versus predicted variable is arbitrary, but we used MODISA as the common variable when comparing with other sensor values. We selected MODISA as the common sensor against which the other sensors were compared, as it is the only one to overlap temporally with all of the other sensors considered here, has a good calibration history and is currently operational. The coefficient of determination (R2) on log10 transformed variables was used as a measure of covariance that captures the proportion of variance in one variable that can be predicted from another. As an estimate of scatter, we used the median absolute percentage error (MdAPE), which was calculated as MdAPE = 100 × median (|(Pi − Oi)/Oi |). For compatibility with some earlier studies, we also used the root mean square (RMS) error of log10 transformed variables. Log-transformation was needed, as the distribution of Chla is close to lognormal (e.g., Figure 2). As an estimate of general bias (e.g., too high or too low), we used the median relative percentage error (MRPE), which was calculated as MRPE = 100 × median ((Pi − Oi)/Oi). Both MdAPE and MRPE were calculated for Pi and Oi in natural (i.e., not log10 transformed) units. We also include the slope of the reduced major axis (RMA) regression, calculated for log10 transformed variables.
3. Results
In order to find the distribution characteristics of both in situ and satellite Chla in the match-up datasets before eliminating any of the datasets, we constructed histograms of the match-up within five days. Because of the approximately lognormal distribution of Chla, both axes are logarithmic (Figure 2).
To a first approximation, the histograms of in situ and satellite data in over 4500 match-ups for MODIS-Aqua are quite similar. While some satellite retrievals were below the minimum measured in situ Chla (0.02 mg m−3), their numbers were very low (note the logarithmic scale of Figure 2). A more significant difference is present at the high Chla end. In situ match-up values peak at 47 mg m−3, but MODIS-Aqua match-up values reach 249 mg m−3 (the mean of the valid pixels).
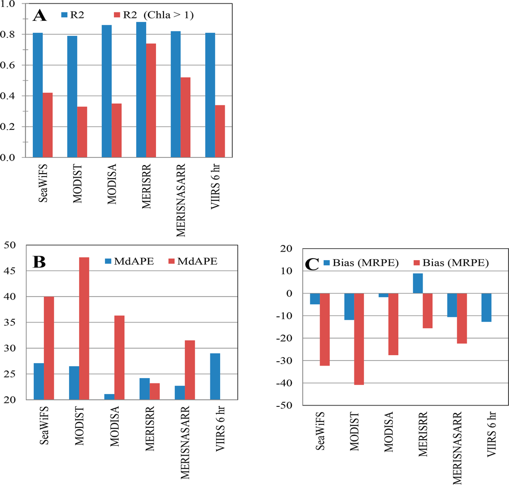
Satellite to in situ match-ups of Chla over the full range of in situ Chla (Figure 3) within a 3-h time difference show the highest coefficient of determination for the two MERIS products (R2 = 0.88 for MERISRR and 0.82 for MERISNASARR) and the lowest for MODIST (R2 = 0.79), VIIRS (R2 = 0.80) and SeaWiFS (R2 = 0.81) (Table 2 and Figure 4A).
The median absolute percent error (MdAPE) over the full range of in situ Chla ranges from the lowest value of 21.1% for MODISA to the highest of 27.1% error for both SeaWiFS and VIIRS (Table 2 and Figure 4B). Bias (Figure 4C) shows that all sensors processed with NASA algorithms have a small negative bias or median underestimation (MRPE ranges from −1.7% for MODISA to −11.9% for MODIST), while the MERIS product processed with ESA algorithms has a small positive bias (MRPE = 8.9%).
The scatter and median errors increase drastically when evaluated for the range of medium and high Chla (Chla ≥ 1 mg m−3, Table 3). In this Chla range, only MERISRR has relatively high R2 (0.74) and relatively low absolute error (MdAPE = 23.2%) followed by MERISNASARR (R2 = 0.52, MdAPE = 31.5%), while the other sensors have R2 below 0.5 and MdAPE higher than 35%. VIIRS has the lowest R2 and highest MdAPE for standard Chla products, but the number of match-ups is still small for definitive conclusions. To increase the number of VIIRS match-ups, we relaxed the timing criterion and used a 6-h time difference as the limit. At the medium and high Chla levels, all sensors underestimate pigment concentration compared to in situ Chla with a bias from −15.6% for MERISRR to about −40% for MODIST (Figure 4C). To determine if satellite retrievals of high Chla could be improved by implementing some alternative Chla algorithms that are designed to be suitable for high Chla conditions, we also evaluated the Red-Green-Chlorophyll Index (RGCI, [18]) and the MERIS Rrs_709/Rrs_665 algorithms [19]. While the RGCI algorithm can be applied to most ocean color sensors, the near-infrared algorithm using Rrs_709 is applicable only to MERIS, as other major ocean color sensors do not have the 709-nm band. We compare the standard and high-Chla algorithms as applied to a subset of match-ups with in situ Chla > 1 mg m−3 (Figure 5). Regional tuning of these algorithms would potentially reduce the observed bias, but is not likely to reduce the scatter. No regional tuning was applied in Figure 5.
The empirical OC algorithms [6] use the maximum band ratio where the numerator band switches from a shorter wavelength (440 nm, the blue band) at low Chla to a progressively longer wavelength at higher Chla. For example, at high Chla, the numerator band is around 490 nm for MODISA, MODIST and VIIRS, whereas it is the 510-nm band for MERIS and SeaWiFS. We can therefore expect that the performance of a band ratio algorithm at medium and high Chla depends on the accuracy of Rrs retrievals of these bands. While we have no extensive and reliable ground truth to perform Rrs match-ups and to determine the accuracy of satellite-derived Rrs in the CC, we can compare the Rrs measured by different satellite sensors with each other. We selected Rrs measured by MODISA as the common variable against which the other sensors are compared, as it overlaps temporally with all other sensors considered here and has a good calibration history. The band centers are slightly different for the different sensors, but for the purposes of this analysis, the differences are relatively minor. The scatter plots of satellite-derived Rrs at approximately 490 nm against Rrs_488 of MODISA (Figure 6) show that MERIS has the least scatter (MdAPE = 7.3%), followed by VIIRS (MdAPE = 9.5%) and SeaWiFS (MdAPE = 9.7%). A comparison with MODIST showed considerably more scatter (MdAPE = 40.7%).
In order to explain the performance of the standard OC algorithms at medium and high Chla, we plotted subsets of these Rrs match-ups that correspond to medium and high Chla. According to the standard MODISA OC3 algorithm, pixels with Rrs_488/Rrs_547 < 0.8 correspond to Chla ≥ 3.3 mg m−3. Again, we see the best correspondence with MERIS (MdAPE = 22%), followed by VIIRS (MdAPE = 28%), SeaWiFS (MdAPE = 41) and MODIST (MdAPE = 140%) (Figure 7). Standard OCx algorithms use Rrs band ratios instead of the individual Rrs band values. This technique can reduce the error of the product if the Rrs errors are spectrally correlated. It appears that taking a ratio does not significantly reduce the errors for pixels with predicted at high Chla (Figure 8). The best correlation with MODISA band ratios is again observed for MERIS, followed by SeaWiFS. MODIST and VIIRS Rrs band ratios have practically no correlation with those of MODISA.
4. Discussion
We have shown that over the full range of in situ Chla, all satellite sensors estimate Chla reasonably well with median absolute percent errors below 30% and R2 of about 0.8 or higher, which is consistent with other studies (e.g., [20]) and meets the original goal of 35% accuracy [21] set for SeaWiFS for retrieving ocean Chla in Case 1 waters. However, at medium and high Chla, the accuracy drops dramatically and in different ways for the different sensors. This is highly relevant to coastal management and the detection of phytoplankton blooms, particularly high biomass events, such as harmful algal blooms (HABs) [22,23]. Therefore, accurate satellite detection of Chla is required for those waters with Chla > 1 mg m−3.
While MODISA has the lowest errors over the full range of Chla, there are very few valid Chla match-ups at higher concentrations. This is in contrast to the higher numbers of very high Chla values in the “raw” matchups (Figure 2). It is evident that MODISA retrievals of Chla at high levels become highly variable from pixel to pixel, and those retrievals that are being filtered out by the match-up procedure are unreliable. This is in contrast to MERIS match-ups, which provide more reliable match-ups at medium and high Chla. For Chla > 1 mg m−3, the ESA processed algal_1 from MERISRR data has the highest accuracy (i.e., lowest percent error) followed by the NASA processed chlor_a (also from MERISRR data). The disadvantage of MERIS data is that due to its orbit and swath width, there is less coverage compared to MODISA and SeaWiFS and, therefore, fewer match-ups. All of the other sensors have errors between 35% and 55%. Since VIIRS data have been available for a shorter period compared to other sensors (i.e., since 2012), the number of high Chla match-ups with VIIRS is still small, and therefore, the error estimates are inconclusive. Preliminary analysis shows that VIIRS Chla estimates are similar to those made by SeaWiFS, but less accurate than the top performing sensors, MODISA and MERIS. VIIRS appears to be less reliable at medium and high Chla. All sensors have significant under-estimation at Chla > 1 mg m−3 (reported earlier in [5]), which is partly explained by the loss of high Chla match-ups due to their large pixel-to-pixel variability. These error patterns are consistent with the sensor-to-sensor match-ups of Rrs. It is interesting to note that while the original goals for SeaWiFS were to detect Chla with 35% accuracy and Rrs with 5% accuracy [21], the goal for Chla within the CC is met, but the current errors in Rrs that we estimated with an inter-sensor comparison are much higher. For the full range, the differences (MdAPE) with MODISA Rrs_488 range from 7% for MERIS to 41% for MODIST, and for the Rrs, the range expected for high Chla, the MdAPE ranges from 22% for MERIS to 140% for MODIST. Chla estimates from MODIST are usually discarded due to calibration problems, which are shown by the high Rrs differences with other sensors. However, on average, MODIST Chla estimates are comparable to Chla estimates with SeaWiFS and VIIRS. These relatively good estimates of Chla by MODIST, in spite of the large errors in Rrs estimates (cf. Figures 3 and 6) are likely explained by the autocorrelation of the Rrs spectral bands, which reduces errors in band ratio algorithms.
It is difficult to perform a comprehensive validation of satellite Rrs using Rrs measured in situ due to the different ground resolution, inherently limited number of sites, variable Sun and weather conditions, etc. An indirect measure of the accuracy of satellite Rrs can be derived by comparing respective Rrs values derived from various satellites over the same pixel and same day. While some temporal delay (in hours) between satellite passes cannot be avoided, the daily Rrs measurements should have reasonable consistency, as they are assumed to be representative of the whole day. For the CC, the spatial and temporal decorrelation scales for phytoplankton biomass (FLH) derived from the MODIS-Aqua fluorescence line height (FLH) standard product also suggest that there is no inherent issue comparing data over a few hours’ timespan [24]. We have shown that the differences in the distribution patterns of the scatter in Chla match-ups between different sensors can be explained by the distribution patterns of the respective sensor-to-sensor Rrs match-ups. When compared against MODISA, the Rrs measured by MERIS is clearly more consistent and less biased. At Chla > 1 mg m−3, the likely band ratio combination in the OC3 algorithm for MODISA is Rrs_488/Rrs_547. When selecting a subset of MODISA pixels with Rrs_488/Rrs_547 < 0.8 that approximately corresponds to Chla ≥ 3.3 mg m−3 according to the standard NASA algorithm (OC3M version 6), the correlation between Rrs estimated by different sensors drops significantly. The respective R2 is only about 0.2–0.3 between VIIRS and SeaWiFS and about 0.5 between MODISA and MERISNASARR. We can assume that the poor inter-sensor consistency in Rrs at high Chla is indicative of the poor accuracy of Rrs at medium and high Chla. Using Rrs ratios instead of individual Rrs band values can reduce the errors if the Rrs errors are spectrally correlated; e.g., [25]. While ratioing improves Chla retrievals over the full range of Rrs (or Chla), it does not reduce the errors for pixels with low Rrs_490 (i.e., those that are assumed to have high Chla, Figure 8). The best correlation with MODISA band ratios is observed for MERIS.
In order to improve the accuracy of Chla estimates at medium and high Chla, we need to either improve the accuracy of Rrs (i.e., improve the atmospheric correction) or use a different algorithm. Of the sensors evaluated, MERIS clearly produces the best matchups for high Chla values. While some of the differences between sensors are clearly related to the instrumentation, the decrease in R2, the increase in MdAPE and the switch from positive to negative bias (Figure 4) between MERISRR and MERISNASARR demonstrate that significant differences can be attributed to data processing and, presumably, the implementation of the atmospheric correction.
It appears that alternative algorithms specifically designed for high Chla waters, such as the Red-Green-Chlorophyll Index [18] and a band ratio algorithm using near-infrared bands [19], do not provide improvements in detecting high Chla in the CC. The algorithms using infrared bands, e.g., the MERIS 709 and 665 bands, are known to work well at high Chla with in situ data [26], but when applied to satellite Rrs with large errors, particularly at those infrared wavelengths, they have large errors and low accuracy compared to in situ data.
The biases observed in all of the ocean color platforms have potentially significant implications for our understanding of the dynamics and trends in the CC system. Multiple authors have reported significant increasing trends for in situ chlorophyll spanning multiple decades [9,27,28]. Satellite observations have the potential to provide synoptic spatial coverage and sustained temporal coverage; these data have also been used to infer trends within the CC [27,29,30], with decadal increases in Chla reported from these observations, consistent with the in situ data. However, using Monterey Bay as an example, an analysis of different data sets may lead to substantially different conclusions. A decadal (1988–2013) in situ time series exhibits a positive trend in Chla of 0.050/y (available from the Monterey Bay Aquarium Research Institute, http://www.mbari.org/bog/mb/Trends.htm). Using 4-km monthly data from a box bounding Monterey Bay (36.5–37.0°N, 121.75–122.25°W) for SeaWiFS (1998–2010) and MODISA (2002–2013), SeaWiFS Chla is increasing at 0.12/y (p = 0.001, Mann–Kendall test). In contrast, MODISA shows no significant trend (p = 0.672) and a decreasing Chla concentration (−0.04/y). When restricted to the overlapping time period (2002–2010), the MODISA results do not change, while the SeaWiFS results exhibit a slightly increased positive trend (0.15/y, p = 0.030). While SeaWiFS captures the observed (in situ) trend better than MODISA, SeaWiFS still exhibits more bias in matchups (Figure 4), and MODISA consistently exhibits higher monthly mean Chla than SeaWiFS for the overlapping period 2002–2010 (p < 0.001, paired t-test). By comparison, trends reported from state-space analysis of SeaWiFS data exhibit trends > 0.2 mg m−3 Chla per decade [31] for central California, exhibiting a consistent trend, but lower rate of change.
Given the interest in the development of environmental and climate data records [32] using satellite observations, these discrepancies in standard products using the most recent versions of the data highlight the potential difficulty of interpreting decadal trends. Moreover, advanced data assimilation techniques for real-time circulation and ecosystem models in the CC rely heavily on observational “truth” from satellite-derived chlorophyll. While we did not evaluate matchups for other coastal regions, it is likely, given that the standard algorithms are derived using a large percentage of data from the CC, that similar biases exist (e.g., [33,34]).
5. Conclusions
We have shown that chlorophyll-a (Chla) estimates in the CC region by ocean color satellite sensors using standard algorithms are within the error limits of 35% over the full range of in situ Chla, but at in situ Chla > 1 mg m−3, only products from MERIS (both the ESA produced algal_1 and the NASA produced chlor_a) maintained reasonable accuracy. The loss in accuracy at medium and high Chla is caused by the poor retrieval of remote sensing reflectance. Accuracy is not improved through implementation of alternative algorithms, like the Red-Green-Chlorophyll Index [18] or band ratio algorithms using infrared bands. Uncertainties in satellite retrieval of medium to high chlorophyll values may affect the estimation of trends and may be biasing our interpretation of biomass and productivity in coastal waters of the CC, despite the large number of observations used in the development of the standard NASA ocean color algorithms.
Acknowledgments
Financial support was provided by the NASA Ocean Biology and Biogeochemistry Program Grants NNX09AT01G (M. Kahru and R.M. Kudela), NNX13AL28G (C.R. Anderson, R.M. Kudela and M. Kahru), NNX14AC42G (C.R. Anderson and R.M. Kudela), National Science Foundation (Grant OCE-1026607 to the CCE-LTER Program), the University of California Institute for Mexico and the United States (UC MEXUS) and Consejo Nacional de Ciencia y Tecnología, Mexico (CONACYT). Satellite data were provided by the NASA Ocean Color Processing Group and ESA MERIS team. We thank the CalCOFI and CCE-LTER programs, the NOAA SWFSC survey, the Monterey Bay Aquarium Research Institute and the Pacific Coastal Ocean Observing System for in situ data.
Author Contributions
M. Kahru assembled most of the datasets, performed the data analysis and wrote the paper. M.R. Kudela assembled part of the data, performed some of the data analysis and edited the manuscript. All authors assisted in the analysis and editing of the paper.
Conflicts of Interest
The authors declare no conflict of interest.
References
- Smith, R.C.; Wilson, W.H. Ship and satellite bio-optical research in the California bight. In Oceanography from Space; Gower, J.F.R., Ed.; Springer US: New York, NY, USA, 1981; Volume 13, pp. 281–294. [Google Scholar]
- Kahru, M.; Mitchell, B.G. Empirical chlorophyll algorithm and preliminary SeaWiFS validation for the California Current. Int. J. Remote Sens 1999, 20, 3423–3429. [Google Scholar]
- Kahru, M.; Mitchell, B.G. Seasonal and non-seasonal variability of satellite-derived chlorophyll and CDOM concentration in the California Current. J. Geophys. Res 2001, 106, 2517–2529. [Google Scholar]
- Kostadinov, T.S.; Siegel, D.A.; Maritorena, S.; Guillocheau, N. Ocean color observations and modeling for an optically complex site: Santa Barbara Channel, California, USA. J. Geophys. Res 2007, 112. [Google Scholar] [CrossRef]
- Kahru, M.; Kudela, R.M.; Manzano-Sarabia, M.; Mitchell, B.G. Trends in the surface chlorophyll of the California Current: Merging data from multiple ocean color satellites. Deep Sea Res. Part II: Top. Stud. Oceanogr. 2012, 77–80, 89–98. [Google Scholar]
- O’Reilly, J.E.; Maritorena, S.; Mitchell, B.G.; Siegel, D.A.; Carder, K.L.; Garver, S.A. Kahru, M; McClain, C.R. Ocean color chlorophyll algorithms for SeaWiFS. J. Geophys. Res 1998, 103, 24937–24953. [Google Scholar]
- O’Reilly, J.E.; Maritorena, S.; O’Brien, M.C.; Siegel, D.A.; Toole, D.; Menzies, D.; Smith, R.C.; Mueller, J.L.; Mitchell, B.G.; Kahru, M.; et al. SeaWiFS Postlaunch Calibration and Validation Analyses, Part 3; NASA Technical Memorandum 2000–206892; NASA Goddard Space Flight Center: Greenbelt, MD, USA; May; 2000; pp. 1–49. [Google Scholar]
- Mitchell, G.; Kahru, M. Algorithms for SeaWiFS standard products developed with the CalCOFI bio-optical data set. Calif. Coop. Oceanic Fish. Invest. Rep 1998, 39, 133–147. [Google Scholar]
- Aksnes, D.L.; Ohman, M.D. Multi-decadal shoaling of the euphotic zone in the southern sector of the California Current System. Limnol. Oceanog 2009, 54, 1272–1281. [Google Scholar]
- McGaraghan, A.R.; Kudela, R.M. Estimating labile particulate iron concentrations in coastal waters from remote sensing data. J. Geophys. Res 2012, 117. [Google Scholar] [CrossRef]
- Kahru, M.; Lee, Z.; Kudela, R.M.; Manzano-Sarabia, M; Mitchell, B.G. Multi-satellite time series of inherent optical properties in the California Current. Deep Sea Res. Part II: Top. Stud. Oceanogr 2013. [Google Scholar] [CrossRef]
- Ohman, M.D.; Venrick, E.L. CalCOFI in a changing ocean. Oceanography 2003, 16, 76–85. [Google Scholar]
- Ryan, J.P.; Gower, J.F.R.; King, S.A.; Bissett, W.P.; Fischer, A.M.; Kudela, R.M.; Kolber, Z.; Mazzillo, F.M.; Rienecker, E.V.; Chavez, F.P. A coastal ocean extreme bloom incubator. Geophys. Res. Lett 2008, 35. [Google Scholar] [CrossRef]
- Ryan, J.P.; Davis, C.O.; Tufillaro, N.B.; Kudela, R.M.; Gao, B.C. Application of the hyperspectral imager for the coastal ocean to phytoplankton ecology studies in Monterey Bay, CA, USA. Remote Sens 2014, 6, 1007–1025. [Google Scholar]
- Lorenzen, C.J. Chlorophyll b in the eastern North Pacific Ocean. Deep-Sea Res 1981, 28, 1049–1056. [Google Scholar]
- Werdell, P.J.; Bailey, S.W. An improved in-situ bio-optical data set for ocean color algorithm development and satellite data product validation. Remote Sens. Environ 2005, 98, 122–140. [Google Scholar]
- Bailey, S.; Werdell, P. A multi-sensor approach for the on-orbit validation of ocean color satellite data products. Remote Sens. Environ 2006, 102, 12–23. [Google Scholar]
- Le, C.; Hu, C.; English, D.; Cannizzaro, J.; Kovach, C. Climate-driven chlorophyll-a changes in a turbid estuary: Observations from satellites and implications for management. Remote Sens. Environ 2013, 130, 11–24. [Google Scholar]
- Le, C.; Hu, C; Cannizzaro, J.; English, D.; Muller-Karger, F.; Lee, Z. Evaluation of chlorophyll-a remote sensing algorithms for an optically complex estuary. Remote Sens. Environ 2013, 129, 75–89. [Google Scholar]
- Hu, C.; Feng, L.; Lee, Z. Uncertainties of SeaWiFS and MODIS remote sensing reflectance: Implications from clear water measurements. Remote Sens. Environ 2013, 133, 168–182. [Google Scholar]
- Hooker, S.B.; Esaias, W.E.; Feldman, G.C.; Gregg, W.W.; McClain, C.R. An Overview of SeaWiFS and Ocean Color; NASA Technical Memorandum 104566; NASA Greenbelt Space Flight Center: Greenbelt, MD, USA; July; 1992; pp. 1–24. [Google Scholar]
- Anderson, C.R.; Kudela, R.M.; Benitez-Nelson, C.; Sekula-Wood, E.; Burrell, C.T.; Chao, Y.; Langlois, G.; Goodman, J.; Siegel, D.A. Detecting toxic diatom blooms from ocean color and a regional ocean model. Geophys. Res. Lett 2011, 38. [Google Scholar] [CrossRef]
- Kudela, R.M.; Frolov, S.A.; Anderson, C.R.; Bellingham, J.G. Leveraging ocean observatories to monitor and forecast harmful algal blooms: A case study of the U.S. West Coast. Proceedings of the Interagency Ocean Observation Committee IOOS Summit, Herndon, VA, USA, 13–16 November 2012.
- Frolov, S.; Kudela, R.M.; Bellingham, J.G. Monitoring of harmful algal blooms in the era of diminishing resources: A case study of the U.S. West Coast. Harmful Algae 2013, 21–22, 1–12. [Google Scholar]
- Jamet, C.; Loisel, H.; Kuchinke, C.P.; Ruddick, K.; Zibordi, G.; Feng, H. Comparison of three SeaWiFS atmospheric correction algorithms for turbid waters using AERONET-OC measurements. Remote Sens. Environ 2011, 115, 1955–1965. [Google Scholar]
- Gilerson, A.A.; Gitelson, A.A.; Zhou, J.; Gurlin, D.; Moses, W.; Ioannou, I.; Ahmed, S.A. Algorithms for remote estimation of chlorophyll-a in coastal and inland waters using red and near infrared bands. Opt. Express 2010, 18, 24109–24125. [Google Scholar]
- Kahru, M.; Kudela, R.; Manzano-Sarabia, M.; Mitchell, B.G. Trends in primary production in the California Current detected with satellite data. J. Geophys. Res 2009, 114. [Google Scholar] [CrossRef]
- Rykaczewski, R.R.; Checkley, D.M. Influence of ocean winds on the pelagic ecosystem in upwelling regions. PNAS 2008, 105, 1065–1970. [Google Scholar]
- Gregg, W.W.; Casey, N.W.; McClain, C.R. Recent trends in global ocean chlorophyll. Geophys. Res. Lett 2005, 32. [Google Scholar] [CrossRef]
- Kahru, M.; Mitchell, B.G. Ocean color reveals increased blooms in various parts of the World. EOS Trans. AGU 2008, 89, 170. [Google Scholar]
- Thomas, A.C.; Mendelssohn, R.; Weatherbee, R. Background trends in California Current surface chlorophyll concentrations: A state-space view. JGR Ocean 2013, 118, 5296–5311. [Google Scholar]
- National Research Council, Climate Data Records From Environmental Satellites; The National Academies Press: Washington, DC, USA, 2004.
- Alvarez, I.; Lorenzo, M.N. Analysis of chlorophyll a concentration along the Galician coast: Seasonal variability and trends. ICES J. Mar. Sci 2012. [Google Scholar] [CrossRef]
- Beaulieu, C.; Henson, S.H.; Sarmiento, H.L.; Dunne, J.P.; Doney, S.C.; Rykaczewski, R.R.; Bopp, L. Factors challenging our ability to detect long-term trends in ocean chlorophyll. Biogeosciences 2013, 10, 2711–2724. [Google Scholar]








| Data Source | 1997–2013 |
|---|---|
| CalCOFI, California Cooperative Oceanic Fisheries Investigations (1997–2013) | 4602 |
| CCE-LTER, California Current Ecosystem Long-Term Ecological Research (2006–2013) | 818 |
| Oregon, California, Washington Line-transect and Ecosystem (ORCAWALE) Survey, NOAA Southwest Fisheries Science Center, 2008 | 405 |
| Line 60, CalCOFI Line 60 by the Monterey Bay Aquarium Research Institute, 1997–2008 | 123 |
| Line 67, CalCOFI Line 67 by the Monterey Bay Aquarium Research Institute, 1997–2009 | 556 |
| Delphinus, NOAA SWFSC survey of the Delphinus species, 2009 | 465 |
| CIMT, NOAA Center for Integrated Marine Technology, 2002–2006 | 385 |
| PaCOOS, Pacific Coastal Ocean Observing System, 2005–2007 | 119 |
| TOTAL | 7473 |
| Sensor | N | R2 | MdAPE | Bias (MRPE) | RMS | RmaSlope |
|---|---|---|---|---|---|---|
| SeaWiFS | 292 | 0.81 | 27.1 | −4.9 | 0.21 | 0.81 |
| MODIST | 502 | 0.79 | 26.5 | −11.9 | 0.24 | 0.83 |
| MODISA | 388 | 0.86 | 21.1 | −1.7 | 0.18 | 0.86 |
| MERISRR | 167 | 0.88 | 24.2 | 8.9 | 0.15 | 0.93 |
| MERISNASARR | 205 | 0.82 | 22.7 | −10.6 | 0.18 | 0.91 |
| VIIRS | 38 | 0.80 | 27.1 | −4.8 | 0.23 | 0.70 |
| VIIRS 6 h | 81 | 0.81 | 29.0 | −12.7 | 0.21 | 0.78 |
| Sensor | N | R2 | MdAPE | Bias (MRPE) | RMS | RmaSlope |
|---|---|---|---|---|---|---|
| SeaWiFS | 73 | 0.42 | 40.0 | −32.3 | 0.32 | 0.98 |
| MODIST | 128 | 0.33 | 47.6 | −40.9 | 0.38 | 1.14 |
| MODISA OC3 | 86 | 0.35 | 36.3 | −27.6 | 0.29 | 0.96 |
| MODISA RGCI | 82 | 0.34 | 36.0 | −14.3 | 0.24 | 0.66 |
| MERISRR | 39 | 0.74 | 23.2 | −15.6 | 0.19 | 1.34 |
| MERISRR NIR | 33 | 0.08 | 118 | 118 | 0.62 | 2.2 |
| MERISNASARR | 58 | 0.52 | 31.5 | −22.4 | 0.52 | 1.08 |
| MERISNASARR NIR | 47 | 0.11 | 271 | 271 | 0.72 | 2.4 |
| VIIRS 6 h | 14 | 0.34 | 46.2 | −46.2 | 0.40 | 0.86 |
© 2014 by the authors; licensee MDPI, Basel, Switzerland This article is an open access article distributed under the terms and conditions of the Creative Commons Attribution license (http://creativecommons.org/licenses/by/3.0/).
Share and Cite
Kahru, M.; Kudela, R.M.; Anderson, C.R.; Manzano-Sarabia, M.; Mitchell, B.G. Evaluation of Satellite Retrievals of Ocean Chlorophyll-a in the California Current. Remote Sens. 2014, 6, 8524-8540. https://doi.org/10.3390/rs6098524
Kahru M, Kudela RM, Anderson CR, Manzano-Sarabia M, Mitchell BG. Evaluation of Satellite Retrievals of Ocean Chlorophyll-a in the California Current. Remote Sensing. 2014; 6(9):8524-8540. https://doi.org/10.3390/rs6098524
Chicago/Turabian StyleKahru, Mati, Raphael M. Kudela, Clarissa R. Anderson, Marlenne Manzano-Sarabia, and B. Greg Mitchell. 2014. "Evaluation of Satellite Retrievals of Ocean Chlorophyll-a in the California Current" Remote Sensing 6, no. 9: 8524-8540. https://doi.org/10.3390/rs6098524
APA StyleKahru, M., Kudela, R. M., Anderson, C. R., Manzano-Sarabia, M., & Mitchell, B. G. (2014). Evaluation of Satellite Retrievals of Ocean Chlorophyll-a in the California Current. Remote Sensing, 6(9), 8524-8540. https://doi.org/10.3390/rs6098524
