Assessment of the MODIS LAI Product Using Ground Measurement Data and HJ-1A/1B Imagery in the Meadow Steppe of Hulunber, China
Abstract
:1. Introduction
2. Experiment Descriptions
2.1. Site Description
2.2. Sample Design and Field Measurements
3. Data Analysis and LAI Mapping
3.1. In Situ LAI Data
3.2. HJ-1A/B CCD Imagery and Preprocessing
3.3. MODIS Products and Preprocessing
3.4. LAI Modeling and Mapping
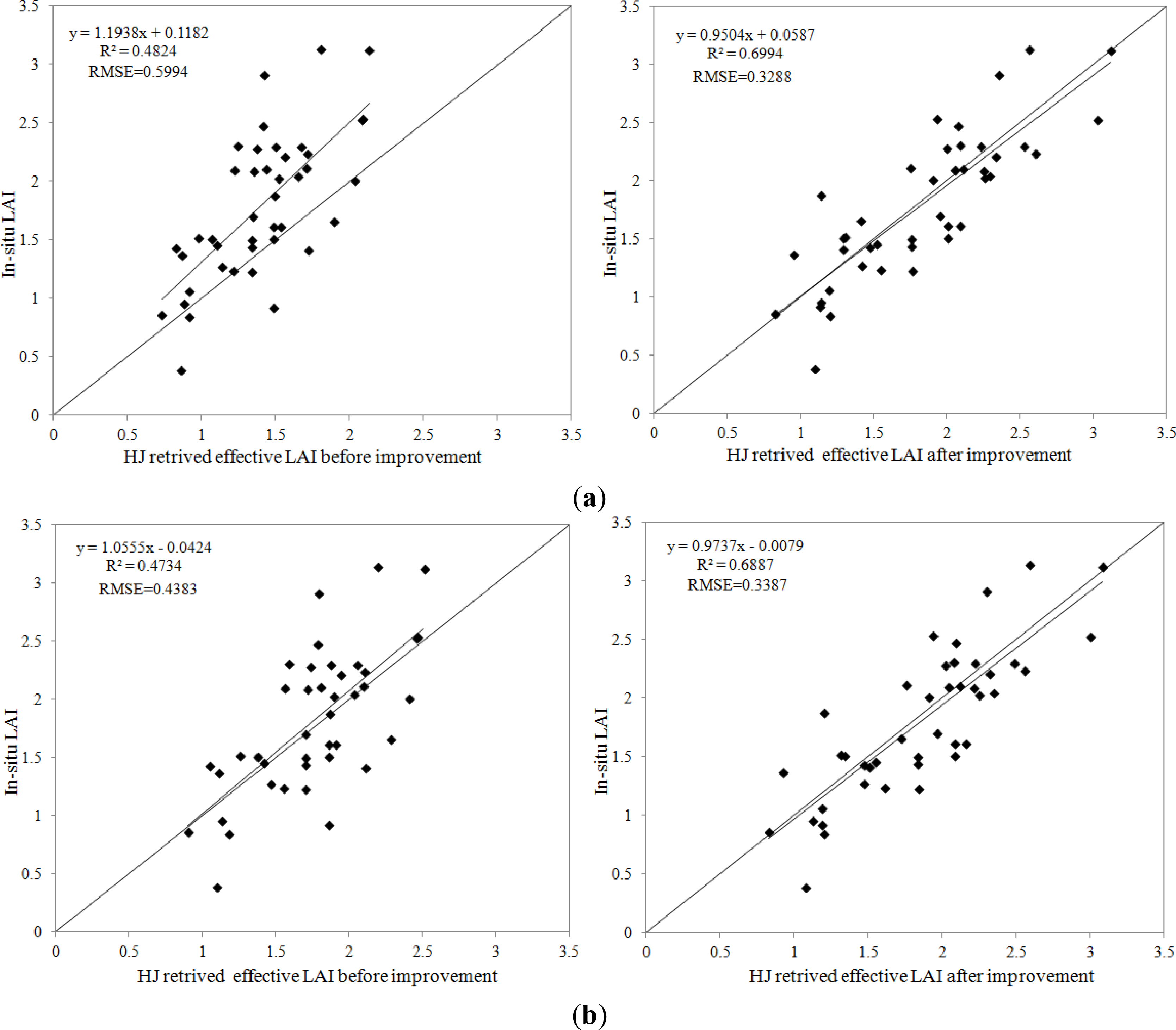
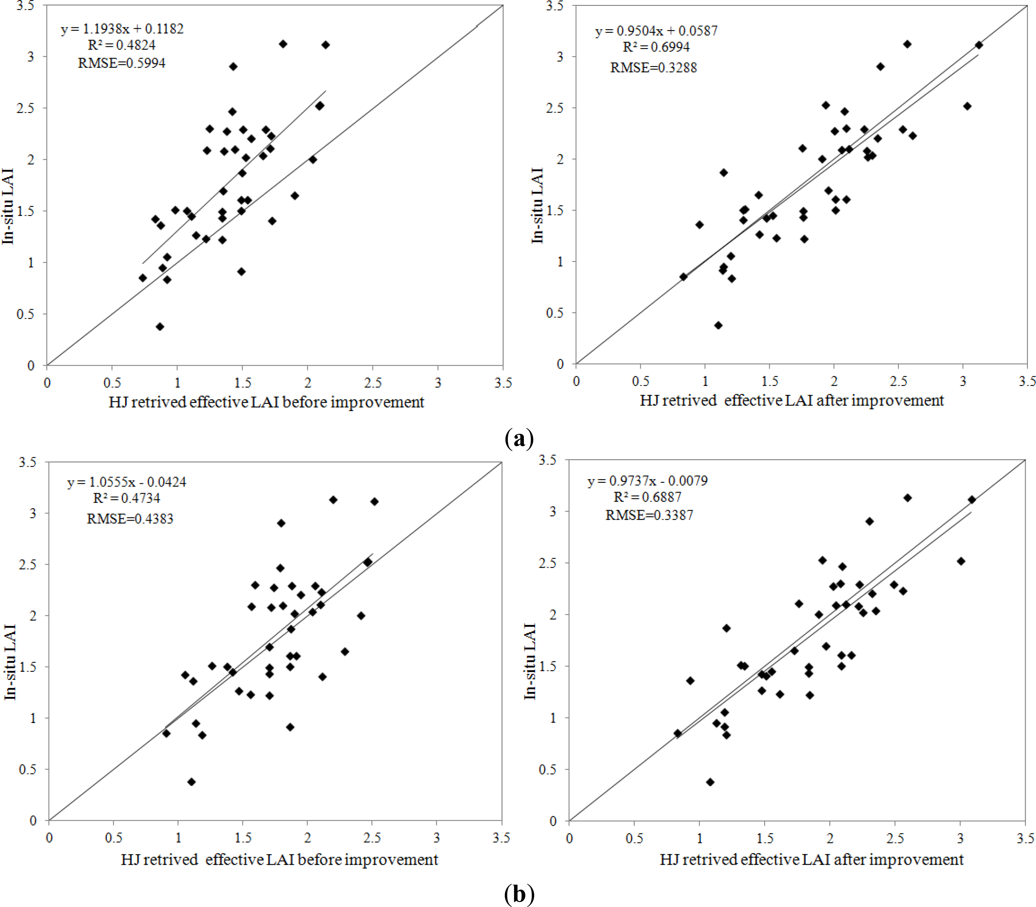
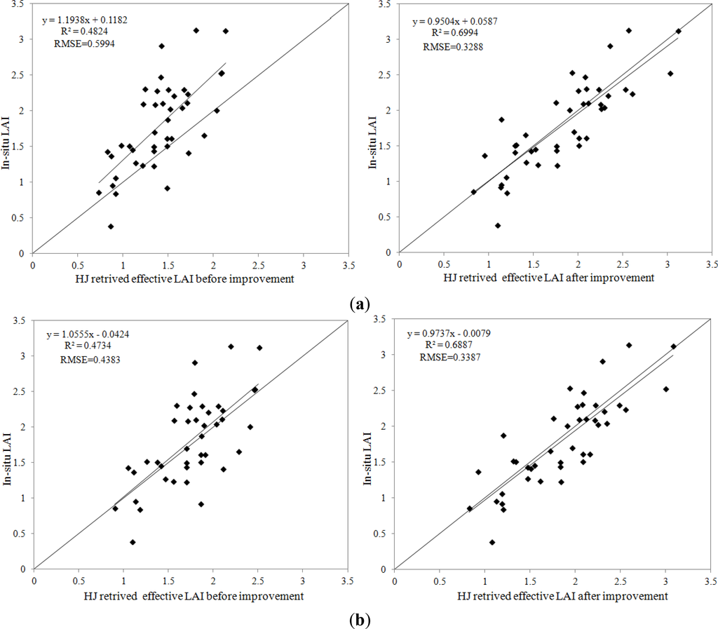
3.4.1. Ground-Based LAI Modeling and 30 m HJ Retrieved LAI Mapping
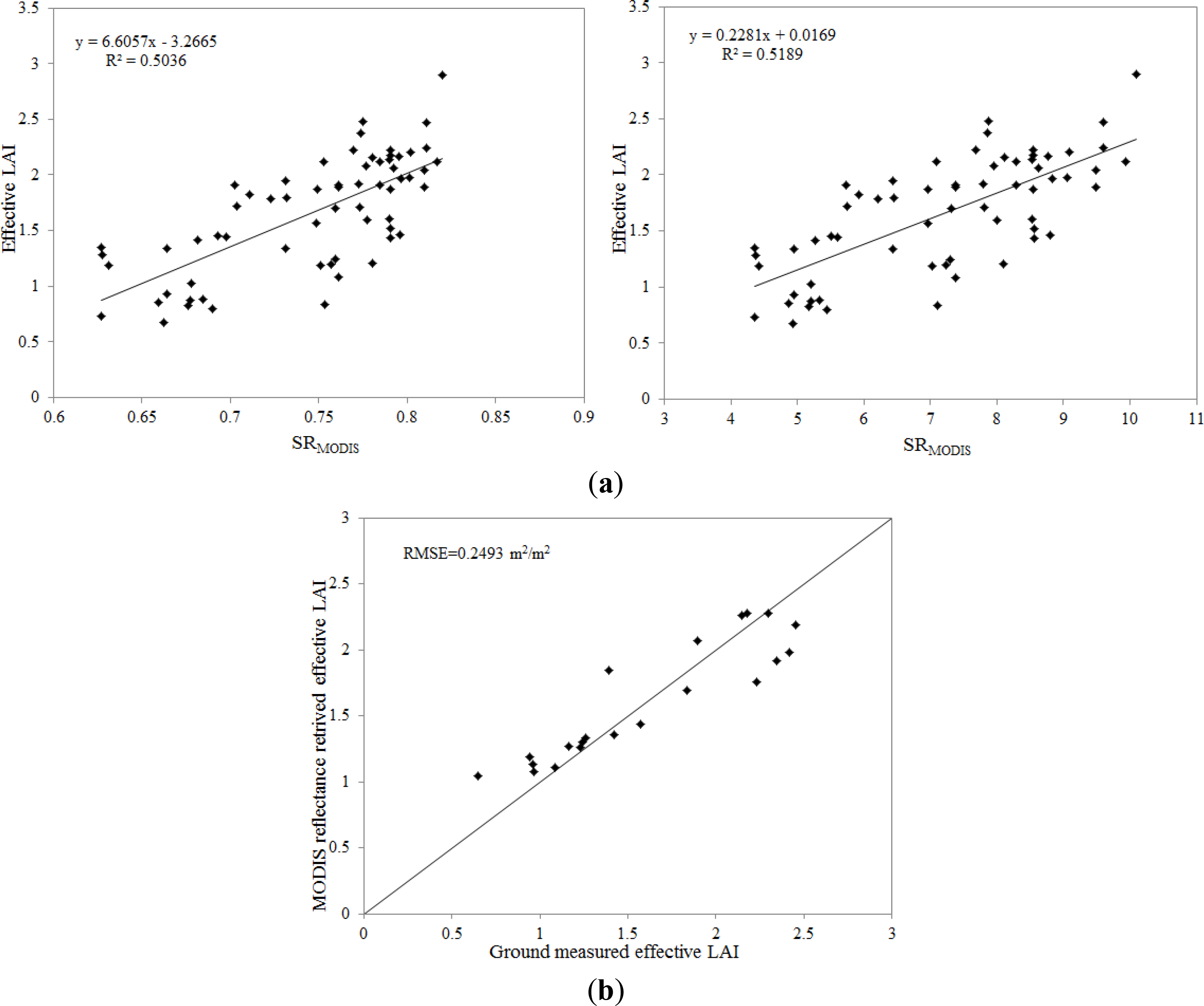
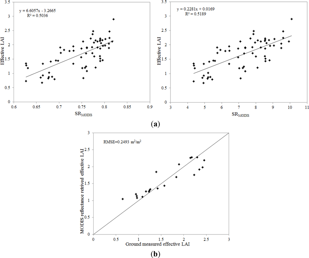
3.4.2. MODIS Surface Reflectance-Based LAI Modeling and 500 m MODIS Retrieved LAI Mapping
4. Results and Discussion
4.1. Land Cover Comparison
4.2. Comparison between HJ Retrieved LAI and the MODIS LAI Product
4.2.1. Pixel-by-Pixel Comparison
4.2.2. Patch-by-Patch Comparison
4.3. Comparison between the 500 m MODIS Reflectance Retrieved LAI and the MODIS LAI Product
4.4. Consideration of Sources of Error and Uncertainty
5. Conclusions
Acknowledgments
Author Contributions
Conflicts of Interest
References
- Chen, J.M.; Black, T. Defining leaf area index for non-flat leaves. Plant Cell Environ 1992, 15, 421–429. [Google Scholar]
- Myneni, R.; Hoffman, S.; Knyazikhin, Y.; Privette, J.; Glassy, J.; Tian, Y.; Wang, Y.; Song, X.; Zhang, Y.; Smith, G. Global products of vegetation leaf area and fraction absorbed PAR from year one of MODIS data. Remote Sens. Environ 2002, 83, 214–231. [Google Scholar]
- Running, S.W.; Nemani, R.R.; Peterson, D.L.; Band, L.E.; Potts, D.F.; Pierce, L.L.; Spanner, M.A. Mapping regional forest evapotranspiration and photosynthesis by coupling satellite data with ecosystem simulation. Ecology 1989, 70, 1090–1101. [Google Scholar]
- Sellers, P.; Dickinson, R.; Randall, D.; Betts, A.; Hall, F.; Berry, J.; Collatz, G.; Denning, A.; Mooney, H.; Nobre, C. Modeling the exchanges of energy, water, and carbon between continents and the atmosphere. Science 1997, 275, 502–509. [Google Scholar]
- Bonan, G.B. Land-atmosphere interactions for climate system models: Coupling biophysical, biogeochemical, and ecosystem dynamical processes. Remote Sens. Environ 1995, 51, 57–73. [Google Scholar]
- Foley, J.A.; Levis, S.; Prentice, I.C.; Pollard, D.; Thompson, S.L. Coupling dynamic models of climate and vegetation. Glob. Chang. Biol 1998, 4, 561–579. [Google Scholar]
- Justice, C.O.; Vermote, E.; Townshend, J.R.; Defries, R.; Roy, D.P.; Hall, D.K.; Salomonson, V.V.; Privette, J.L.; Riggs, G.; Strahler, A. The Moderate Resolution Imaging Spectroradiometer (MODIS): Land remote sensing for global change research. IEEE Trans. Geosci. Remote Sens 1998, 36, 1228–1249. [Google Scholar]
- Privette, J.; Asner, G.; Conel, J.; Huemmrich, K.; Olson, R.; Rango, A.; Rahman, A.; Thome, K.; Walter-Shea, E.A. The EOS prototype validation exercise (PROVE) at Jornada: Overview and lessons learned. Remote Sens. Environ 2000, 74, 1–12. [Google Scholar]
- Privette, J.; Myneni, R.; Knyazikhin, Y.; Mukelabai, M.; Roberts, G.; Tian, Y.; Wang, Y.; Leblanc, S. Early spatial and temporal validation of MODIS LAI product in the Southern Africa Kalahari. Remote Sens. Environ 2002, 83, 232–243. [Google Scholar]
- Yang, W.; Tan, B.; Huang, D.; Rautiainen, M.; Shabanov, N.V.; Wang, Y.; Privette, J.L.; Huemmrich, K.F.; Fensholt, R.; Sandholt, I. MODIS leaf area index products: From validation to algorithm improvement. IEEE Trans. Geosci. Remote Sens 2006, 44, 1885–1898. [Google Scholar]
- Morisette, J.T.; Privette, J.L.; Justice, C.O. A framework for the validation of MODIS land products. Remote Sens. Environ 2002, 83, 77–96. [Google Scholar]
- Justice, C.; Belward, A.; Morisette, J.; Lewis, P.; Privette, J.; Baret, F. Developments in the “validation” of satellite sensor products for the study of the land surface. Int. J. Remote Sens 2000, 21, 3383–3390. [Google Scholar]
- Gessner, U.; Niklaus, M.; Kuenzer, C.; Dech, S. Intercomparison of leaf area index products for a gradient of sub-humid to arid environments in West Africa. Remote Sens 2013, 5, 1235–1257. [Google Scholar]
- Linking In Situ Measurements, Remote Sensing, and Models to Validate MODIS Products Related to the Terrestrial Carbon Cycle. Available online: http://www.fsl.orst.edu/larse/bigfoot/index.html (accessed on 18 May 2013).
- Morisette, J.T.; Baret, F.; Privette, J.L.; Myneni, R.B.; Nickeson, J.E.; Garrigues, S.; Shabanov, N.V.; Weiss, M.; Fernandes, R.A.; Leblanc, S.G. Validation of global moderate-resolution LAI products: A framework proposed within the CEOS land product validation subgroup. IEEE Trans. Geosci. Remote Sens 2006, 44, 1804–1817. [Google Scholar]
- Cohen, W.B.; Maiersperger, T.K.; Yang, Z.; Gower, S.T.; Turner, D.P.; Ritts, W.D.; Berterretche, M.; Running, S.W. Comparisons of land cover and LAI estimates derived from ETM+ and MODIS for four sites in North America: A quality assessment of 2000/2001 provisional MODIS products. Remote Sens. Environ 2003, 88, 233–255. [Google Scholar]
- Cohen, W.B.; Maiersperger, T.K.; Turner, D.P.; Ritts, W.D.; Pflugmacher, D.; Kennedy, R.E.; Kirschbaum, A.; Running, S.W.; Costa, M.; Gower, S.T. MODIS land cover and LAI collection 4 product quality across nine sites in the western hemisphere. IEEE Trans. Geosci. Remote Sens 2006, 44, 1843–1857. [Google Scholar]
- VAlidation of Land European Remote Sensing Instruments. Available online: http://w3.avignon.inra.fr/valeri/ (accessed on 18 May 2013).
- VALERI: A Network of Sites and a Methodology for the Validation of Medium Spatial Resolution Land Satellite Products. Available online: http://w3.avignon.inra.fr/valeri/documents/VALERI-RSESubmitted.pdf (accessed on 18 May 2013).
- CEOS Committee on Earth Observation Satellites. Available online: http://www.ceos.org/ (accessed on 18 May 2013).
- De Kauwe, M.; Disney, M.; Quaife, T.; Lewis, P.; Williams, M. An assessment of the MODIS collection 5 leaf area index product for a region of mixed coniferous forest. Remote Sens. Environ 2011, 115, 767–780. [Google Scholar]
- Tan, B.; Hu, J.; Huang, D.; Yang, W.; Zhang, P.; Shabanov, N.V.; Knyazikhin, Y.; Nemani, R.R.; Myneni, R.B. Assessment of the broadleaf crops leaf area index product from the Terra MODIS instrument. Agric. For. Meteorol 2005, 135, 124–134. [Google Scholar]
- Shabanov, N.; Samata, A.; Myneni, R.; Knyazikhin, Y.; Votava, P. Collection 5 MODIS LAI and FPAR Products; MODIS STM, University of Maryland: College Park, MD, USA, 2007. [Google Scholar]
- Friedl, M.A.; Sulla-Menashe, D.; Tan, B.; Schneider, A.; Ramankutty, N.; Sibley, A.; Huang, X. MODIS collection 5 global land cover: Algorithm refinements and characterization of new datasets. Remote Sens. Environ 2010, 114, 168–182. [Google Scholar]
- Chen, J.M.; Pavlic, G.; Brown, L.; Cihlar, J.; Leblanc, S.; White, H.; Hall, R.; Peddle, D.; King, D.; Trofymow, J. Derivation and validation of Canada-wide coarse-resolution leaf area index maps using high-resolution satellite imagery and ground measurements. Remote Sens. Environ 2002, 80, 165–184. [Google Scholar]
- Tian, Y.; Woodcock, C.E.; Wang, Y.; Privette, J.L.; Shabanov, N.V.; Zhou, L.; Zhang, Y.; Buermann, W.; Dong, J.; Veikkanen, B. Multiscale analysis and validation of the MODIS LAI product: II. Sampling strategy. Remote Sens. Environ 2002, 83, 431–441. [Google Scholar]
- Weiss, M.; de Beaufort, L.; Baret, F.; Allard, D.; Bruguier, N.; Marloie, O. Mapping Leaf Area Index Measurements at Different Scales for the Validation of Large Swath Satellite Sensors: First Results of the VALERI Project. In Proceedings of the 8th International Symposium on Physical Measurements and Signatures in Remote Sensing, Aussois, France; 2001; pp. 125–130. [Google Scholar]
- Wang, Y.; Woodcock, C.E.; Buermann, W.; Stenberg, P.; Voipio, P.; Smolander, H.; Häme, T.; Tian, Y.; Hu, J.; Knyazikhin, Y. Evaluation of the MODIS LAI algorithm at a coniferous forest site in Finland. Remote Sens. Environ 2004, 91, 114–127. [Google Scholar]
- Tian, Y.; Woodcock, C.E.; Wang, Y.; Privette, J.L.; Shabanov, N.V.; Zhou, L.; Zhang, Y.; Buermann, W.; Dong, J.; Veikkanen, B. Multiscale analysis and validation of the MODIS LAI product: I. Uncertainty assessment. Remote Sens. Environ 2002, 83, 414–430. [Google Scholar]
- Wu, H.; Li, Z.-L. Scale issues in remote sensing: A review on analysis, processing and modeling. Sensors 2009, 9, 1768–1793. [Google Scholar]
- Ma, M.; Li, X.; Wang, W.; Xiao, Q.; Zhao, K.; Xin, X. Design on Validation Network of Remote Sensing Products in China. In Proceedings of the 8th International Symposium on Spatial Data Quality, Hong Kong, China, 30 May–1 June 2013; XL-2/W1.
- Yan, Y.; Xin, X.; Xu, X.; Wang, X.; Yang, G.; Yan, R.; Chen, B. Quantitative effects of wind erosion on the soil texture and soil nutrients under different vegetation coverage in a semiarid steppe of northern China. Plant Soil 2013, 369, 585–598. [Google Scholar]
- Welles, J.M.; Norman, J.M. Instrument for indirect measurement of canopy architecture. Agron. J 1991, 83, 818–825. [Google Scholar]
- Huemmrich, K.F.; Privette, J.L.; Mukelabai, M.; Myneni, R.B.; Knyazikhin, Y. Time-series validation of MODIS land biophysical products in a Kalahari woodland, Africa. Int. J. Remote Sens 2005, 26, 4381–4398. [Google Scholar]
- Chen, J.M.; Cihlar, J. Retrieving leaf area index of boreal conifer forests using Landsat TM images. Remote Sens. Environ 1996, 55, 153–162. [Google Scholar]
- Knyazikhin, Y.; Glassy, J.; Privette, J.; Tian, Y.; Lotsch, A.; Zhang, Y.; Wang, Y.; Morisette, J.; Votava, P.; Myneni, R. MODIS Leaf Area Index (LAI) and Fraction of Photosynthetically Active Radiation Absorbed by Vegetation (FPAR) Product (MOD15); Algorithm Theoretical Basis Document; NASA Goddard Space Flight Center: Greenbelt, MD, USA, 1999. [Google Scholar]
- Liu, R.; Chen, J.M.; Liu, J.; Deng, F.; Sun, R. Application of a new leaf area index algorithm to China’s landmass using MODIS data for carbon cycle research. J. Environ. Manag 2007, 85, 649–658. [Google Scholar]
- China Centre for Resources Satellite Data and Application. Available online: http://www.cresda.com/n16/n92006/index.html (accessed on 18 May 2013).
- Wang, Q.; Wu, C.; Li, Q.; Li, J. Chinese HJ-1A/B satellites and data characteristics. Sci. China Earth Sci 2010, 53, 51–57. [Google Scholar]
- Sun, L.; Sun, C.; Liu, Q.; Zhong, B. Aerosol optical depth retrieval by HJ-1/CCD supported by MODIS surface reflectance data. Sci. China Earth Sci 2010, 53, 74–80. [Google Scholar]
- Agrawal, G.; Bhopal, M.; Sarup, J. Comparision of QUAC and FLASSH atmospheric correction modules on EO-1 hyperion data of Sanchi. Int. J. Adv. Eng. Sci. Technol 2011, 4, 178–186. [Google Scholar]
- He, L.; Wang, H.; Yan, G.; Li, X.; Zhu, W.; Wang, J. Analysis and application for the empirical relative between aerosol optical depth and horizontal meteorological range. J. Remote Sens 2003, 7, 372–378. (In Chinese) [Google Scholar]
- LP DAAC: NASA Land Data Products and Servaces. Available online: https://lpdaac.usgs.gov/ (accessed on 18 May 2013).
- Myneni, R.; Knyazikhin, Y.; Glassy, J.; Votava, P.; Shabanov, N. User’s Guide: FPAR, LAI (ESDT: MOD15A2) 8-Day Composite NASA MODIS Land Algorithm; Boston University: Boston, MA, USA, 2003. [Google Scholar]
- Pisek, J.; Chen, J.M. Comparison and validation of MODIS and VEGETATION global LAI products over four BigFoot sites in North America. Remote Sens. Environ 2007, 109, 81–94. [Google Scholar]
- Wang, Y.; Tian, Y.; Zhang, Y.; El-Saleous, N.; Knyazikhin, Y.; Vermote, E.; Myneni, R.B. Investigation of product accuracy as a function of input and model uncertainties: Case study with SEAWiFS and MODIS LAI/FPAR algorithm. Remote Sens. Environ 2001, 78, 299–313. [Google Scholar]
- Tan, B.; Hu, J.; Zhang, P.; Huang, D.; Shabanov, N.; Weiss, M.; Knyazikhin, Y.; Myneni, R.B. Validation of Moderate Resolution Imaging Spectroradiometer leaf area index product in croplands of Alpilles, France. J. Geophys. Res 2005, 110. [Google Scholar] [CrossRef]
- Knyazikhin, Y.; Martonchik, J.; Diner, D.; Myneni, R.; Verstraete, M.; Pinty, B.; Gobron, N. Estimation of vegetation canopy leaf area index and fraction of absorbed photosynthetically active radiation from atmosphere-corrected MISR data. J. Geophys. Res 1998, 103, 32239–32256. [Google Scholar]
- Tian, Y.; Zhang, Y.; Knyazikhin, Y.; Myneni, R.B.; Glassy, J.M.; Dedieu, G.; Running, S.W. Prototyping of MODIS LAI and FPAR algorithm with LASUR and LANDSAT data. IEEE Trans. Geosci. Remote Sens 2000, 38, 2387–2401. [Google Scholar]
- Fensholt, R.; Sandholt, I.; Rasmussen, M.S. Evaluation of MODIS LAI, fAPAR and the relation between fAPAR and NDVI in a semi-arid environment using in situ measurements. Remote Sens. Environ 2004, 91, 490–507. [Google Scholar]
- Yang, W.; Shabanov, N.; Huang, D.; Wang, W.; Dickinson, R.; Nemani, R.; Knyazikhin, Y.; Myneni, R. Analysis of leaf area index products from combination of MODIS Terra and Aqua data. Remote Sens. Environ 2006, 104, 297–312. [Google Scholar]
- Knyazikhin, Y.; Martonchik, J.V.; Myneni, R.B.; Diner, D.J.; Running, S.W. Synergistic algorithm for estimating vegetation canopy leaf area index and fraction of absorbed photosynthetically active radiation from MODIS and MISR data. J. Geophys. Res 1998, 103, 32257–32275. [Google Scholar]
- Jin, Z.; Tian, Q.; Chen, J.M.; Chen, M. Spatial scaling between leaf area index maps of different resolutions. J. Environ. Manag 2007, 85, 628–637. [Google Scholar]
- Jensen, J.L.R.; Humes, K.S.; Hudak, A.T.; Vierling, L.A.; Delmelle, E. Evaluation of the MODIS LAI product using independent lidar-derived LAI: A case study in mixed conifer forest. Remote Sens. Environ 2011, 115, 3625–3639. [Google Scholar]
- Eriksson, H.M.; Eklundh, L.; Kuusk, A.; Nilson, T. Impact of understory vegetation on forest canopy reflectance and remotely sensed LAI estimates. Remote Sens. Environ 2006, 103, 408–418. [Google Scholar]
- Steinberg, D.C.; Goetz, S.J.; Hyer, E.J. Validation of MODIS F/sub PAR/products in boreal forests of Alaska. IEEE Trans. Geosci. Remote Sens 2006, 44, 1818–1828. [Google Scholar]
- Chasmer, L.; Hopkinson, C.; Treitz, P.; McCaughey, H.; Barr, A.; Black, A. A lidar-based hierarchical approach for assessing MODIS fPAR. Remote Sens. Environ 2008, 112, 4344–4357. [Google Scholar]
- Serbin, G.; Daughtry, C.S.; Hunt, E.R., Jr.; McCarty, G.W.; Doraiswamy, P.C. Remote Sensing of Crop Residue and Non-Photosynthetic Vegetation. In Proceedings of the 2008 NASA Carbon Cycle and Ecosystems Joint Science Workshop, Adelphi, MD, USA, 28 April–2 May 2008; pp. 222–224.
- Ren, H.; Zhou, G. Estimating senesced biomass of desert steppe in Inner Mongolia using field spectrometric data. Agric. For. Meteorol 2012, 161, 66–71. [Google Scholar]
- Guan, H.; Xie, H.; Zhu, M. Canopy blockage and scattering effects on apparent soil spectral reflectance and its consequence in spectral mixture analysis of vegetated surfaces. Int. J. Remote Sens 2008, 29, 3509–3522. [Google Scholar]
- Powell, R.L.; Roberts, D.A.; Dennison, P.E.; Hess, L.L. Sub-pixel mapping of urban land cover using multiple endmember spectral mixture analysis: Manaus Brazil. Remote Sens. Environ 2007, 106, 253–267. [Google Scholar]
- Lu, D.; Weng, Q. Spectral mixture analysis of the urban landscape in Indianapolis with Landsat ETM+ imagery. Photogramm. Eng. Remote Sens 2004, 70, 1053–1062. [Google Scholar]
- Somers, B.; Asner, G.P.; Tits, L.; Coppin, P. Endmember variability in spectral mixture analysis: A review. Remote Sens. Environ 2011, 115, 1603–1616. [Google Scholar]
- Guerschman, J.P.; Hill, M.J.; Renzullo, L.J.; Barrett, D.J.; Marks, A.S.; Botha, E.J. Estimating fractional cover of photosynthetic vegetation, non-photosynthetic vegetation and bare soil in the australian tropical savanna region upscaling the EO-1 hyperion and MODIS sensors. Remote Sens. Environ 2009, 113, 928–945. [Google Scholar]
- Dong, H.; Wenze, Y.; Tan, B.; Rautiainen, M.; Ping, Z.; Jiannan, H.; Shabanov, N.V.; Linder, S.; Knyazikhin, Y.; Myneni, R.B. The importance of measurement errors for deriving accurate reference leaf area index maps for validation of moderate-resolution satellite LAI products. IEEE Trans. Geosci. Remote Sens 2006, 44, 1866–1871. [Google Scholar]
- Mu, X.; Shen, Q.; Li, Z.-L.; Yan, G.; Sobrino, J.A. A comparison of different optimization algorithms for retrieving aerosol optical depths from satellite data: An example of using a dual-angle algorithm. Int. J. Remote Sens 2011, 32, 8949–8968. [Google Scholar]
- Wu, H.; Tang, B.-H.; Li, C.; Li, Z.-L. Leaf Area Index Retrieval from Remotely Sensed Data: Scaling Effect and Propagation Mechanisms. In Proceedings of the 2010 IEEE International Geoscience and Remote Sensing Symposium (IGARSS), Honolulu, HI, USA, 25–30 July 2010; pp. 2668–2671.
- Wu, H.; Tang, B.-H.; Li, Z.-L. Impact of nonlinearity and discontinuity on the spatial scaling effects of the leaf area index retrieved from remotely sensed data. Int. J. Remote Sens 2013, 34, 3503–3519. [Google Scholar]
- Chen, J.M.; Dend, F.; Chen, M. Locally adjusted cubic-spline capping for reconstructing seasonal trajectories of a satellite-derived surface parameter. IEEE Trans. Geosci. Remote Sens 2006, 44, 2230–2238. [Google Scholar]










| Experiment Date | Sensor for Acquired HJ Images | HJ Image Date | MODIS LAI Composition Time-Interval |
|---|---|---|---|
| 4–5 June | HJ1B-CCD1 | 4 June 2013 | 153–161 (2–10 June) |
| 21–23 June | HJ1B-CCD1 | 23 June 2013 | 169–171 (18–26 June) |
| 6–7 July | HJ1A-CCD1 | 6 July 2013 | 177–185 (26 June–4 July) |
| 13–14 July | HJ1A-CCD2 | 13 July 2013 | 185–193 (4–12 July) |
| 25–26 July | HJ1A-CCD2 | 21 July 2013 | 201–209 (20–28 July) |
| 11–12 August | HJ1B-CCD2 | 11 August 2013 | 217–225 (5–13 August) |
| 19–20 August | HJ1B-CCD2 | 19 August 2013 | 225–233 (13–21 August) |
| Date | VI | Model Improvement | RMSE of Model Validation | |||||
|---|---|---|---|---|---|---|---|---|
| n | Relationship | R2 | RMSE | n | Before | After | ||
| 4 June | NDVI | 10 | LAIaft = 0.9521 × LAIbef + 0.1300 | 0.7728 | 0.097 | 6 | 0.3369 | 0.3285 |
| SR | LAIaft = 0.6437 × LAIbef + 0.2455 | 0.7565 | 0.145 | 0.3635 | 0.3290 | |||
| 23 June | NDVI | 12 | LAIaft = 0.6820 × LAIbef + 0.1157 | 0.5558 | 0.38 | 6 | 0.3140 | 0.3744 |
| SR | LAIaft = 1.2773 × LAIbef − 1.1868 | 0.5091 | 0.73 | 0.5611 | 0.3827 | |||
| 6 July | NDVI | 10 | LAIaft = 0.4912 × LAIbef + 0.9038 | 0.7077 | 0.3 | 6 | 0.3938 | 0.3901 |
| SR | LAIaft = 0.4844 × LAIbef + 0.7424 | 0.7019 | 0.45 | 0.3906 | 0.3861 | |||
| 13 July | NDVI | 10 | LAIaft = 1.4786 × LAIbef + 0.2480 | 0.6307 | 0.76 | 6 | 0.7646 | 0.2935 |
| SR | LAIaft = 1.1136 × LAIbef + 0.3033 | 0.6193 | 0.48 | 0.4941 | 0.2754 | |||
| 25 July | NDVI | 13 | LAIaft = 1.7577 × LAIbef − 0.4161 | 0.6574 | 0.64 | 6 | 0.6122 | 0.2672 |
| SR | LAIaft = 1.4704 × LAIbef − 0.5354 | 0.6578 | 0.42 | 0.3235 | 0.2251 | |||
| 11 August | NDVI | 12 | LAIaft = 2.7826 × LAIbef − 1.8614 | 0.7673 | 0.76 | 6 | 0.6092 | 0.3613 |
| SR | LAIaft = 2.5092 × LAIbef − 2.3680 | 0.7764 | 0.54 | 0.4289 | 0.3594 | |||
| 19 August | NDVI | 13 | LAIaft = 1.7141 × LAIbef − 0.5404 | 0.6299 | 0.69 | 6 | 0.6300 | 0.4228 |
| SR | LAIaft = 1.5418 × LAIbef − 0.7854 | 0.6518 | 0.63 | 0.4763 | 0.4508 | |||
| Patch | Mean LAI Value (m2/m2) | 4 June (161) | 23 June (177) | 13 July (193) | 25 July (209) | 11 August (225) | 19 August (233) | Average Relative Error | R2 | RMSE (m2/m2) |
|---|---|---|---|---|---|---|---|---|---|---|
| The entire site | 1 km HJ | 1.01 | 1.66 | 2.11 | 2.04 | 2.20 | 1.41 | |||
| MODIS | 1.48 | 2.50 | 2.53 | 2.50 | 2.28 | 1.74 | ||||
| relative error | 46.53 | 50.60 | 19.91 | 22.55 | 3.64 | 23.40 | 27.77 | 0.86 | 0.49 | |
| Cutting pasture | 1 km HJ | 1.06 | 1.95 | 2.41 | 2.40 | 2.61 | 1.42 | |||
| MODIS | 1.57 | 2.93 | 2.80 | 2.67 | 2.47 | 1.70 | ||||
| relative error | 48.11 | 50.26 | 16.18 | 11.25 | −5.36 | 19.72 | 23.36 | 0.81 | 0.51 | |
| Grazing pasture | 1 km HJ | 1.05 | 1.32 | 1.70 | 1.45 | 1.51 | 1.42 | |||
| MODIS | 1.40 | 1.90 | 2.03 | 2.13 | 1.93 | 1.67 | ||||
| relative error | 33.33 | 43.94 | 19.41 | 46.90 | 27.81 | 17.61 | 31.50 | 0.78 | 0.46 | |
© 2014 by the authors; licensee MDPI, Basel, Switzerland This article is an open access article distributed under the terms and conditions of the Creative Commons Attribution license (http://creativecommons.org/licenses/by/3.0/).
Share and Cite
Li, Z.; Tang, H.; Xin, X.; Zhang, B.; Wang, D. Assessment of the MODIS LAI Product Using Ground Measurement Data and HJ-1A/1B Imagery in the Meadow Steppe of Hulunber, China. Remote Sens. 2014, 6, 6242-6265. https://doi.org/10.3390/rs6076242
Li Z, Tang H, Xin X, Zhang B, Wang D. Assessment of the MODIS LAI Product Using Ground Measurement Data and HJ-1A/1B Imagery in the Meadow Steppe of Hulunber, China. Remote Sensing. 2014; 6(7):6242-6265. https://doi.org/10.3390/rs6076242
Chicago/Turabian StyleLi, Zhenwang, Huan Tang, Xiaoping Xin, Baohui Zhang, and Dongliang Wang. 2014. "Assessment of the MODIS LAI Product Using Ground Measurement Data and HJ-1A/1B Imagery in the Meadow Steppe of Hulunber, China" Remote Sensing 6, no. 7: 6242-6265. https://doi.org/10.3390/rs6076242
APA StyleLi, Z., Tang, H., Xin, X., Zhang, B., & Wang, D. (2014). Assessment of the MODIS LAI Product Using Ground Measurement Data and HJ-1A/1B Imagery in the Meadow Steppe of Hulunber, China. Remote Sensing, 6(7), 6242-6265. https://doi.org/10.3390/rs6076242

