Testing the Temporal Ability of Landsat Imagery and Precision Agriculture Technology to Provide High Resolution Historical Estimates of Wheat Yield at the Farm Scale
Abstract
:1. Introduction
2. Study Area
3. Methods
3.1. Characterising Annual Growing Seasons by Rainfall Distributions
3.2. Wheat Phenology and Image Acquisition Date
3.3. Wheat Yield Mapping Data
3.4. Comparison of Wheat Yields to Landsat NDVI
4. Results
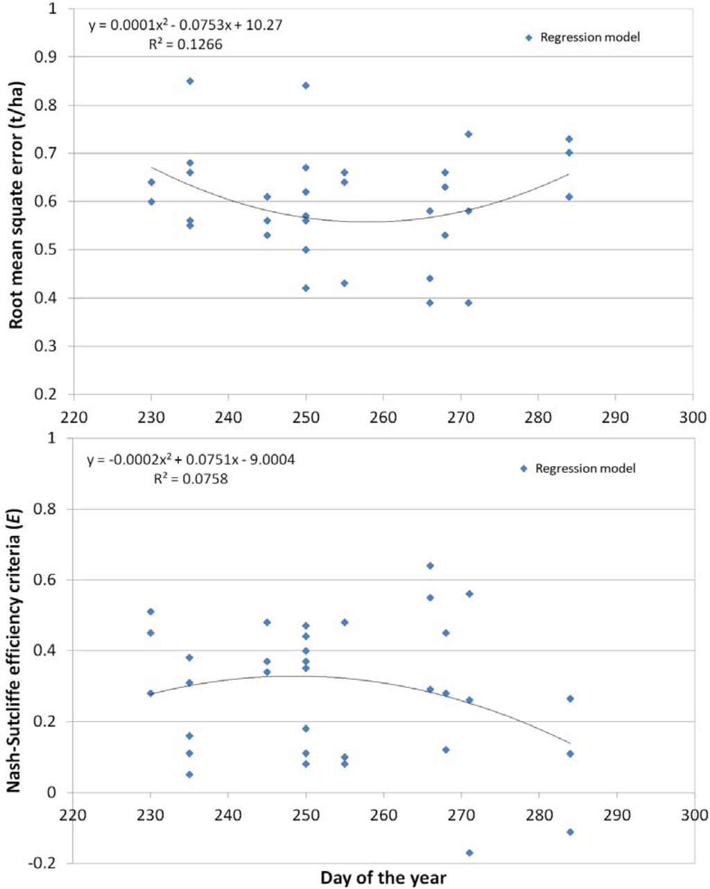
4.1 Accuracy of the Regression Relationships and Model Extrapolations over Time
4.2. Yearly Yield-NDVI Relationships
5. Discussion
5.1. Error, Model Accuracy and Uncertainties
5.2. Implications in Using the Extrapolated Estimates for Management
6. Conclusions
Acknowledgments
References
- Hutchinson, C.F. Uses of satellite data for famine early warning in sub-Saharan Africa. Int. J. Remote Sens 1991, 12, 1405–1421. [Google Scholar]
- Quarmby, N.A.; Milnes, M.; Hindle, T.L.; Silleos, N. The use of multi-temporal NDVI measurements from AVHRR data for crop yield estimation and prediction. Int. J. Remote Sens 1993, 14, 199–210. [Google Scholar]
- Liu, W.T.; Kogan, F.N. Monitoring regional drought using the vegetation condition index. Int. J. Remote Sens 1996, 17, 2761–2782. [Google Scholar]
- Prasad, A.K.; Singh, R.P.; Tare, V.; Kafatos, M. Use of vegetation index and meteorological parameters for the prediction of crop yield in India. Int. J. Remote Sens 2007, 28, 5207–5235. [Google Scholar]
- Moulin, S.; Bondeau, A.; Delecolle, R. Combining agricultural crop models and satellite observations: From field to regional scales. Int. J. Remote Sens 1998, 19, 1021–1036. [Google Scholar]
- Basso, B.; Ritchie, J.T.; Pierce, F.J.; Braga, R.P.; Jones, J.W. Spatial validation of crop models for precision agriculture. Agr. Syst 2001, 68, 97–112. [Google Scholar]
- Pinter, P.J.; Hatfield, J.L.; Schepers, J.S.; Barnes, E.M.; Moran, M.S.; Daughtry, C.S.T.; Upchurch, D.R. Remote sensing for crop management. Photogramm. Eng. Remote Sensing 2003, 69, 647–664. [Google Scholar]
- Raun, W.R.; Solie, J.B.; Johnson, G.V.; Stone, M.L.; Lukina, E.V.; Thomason, W.E.; Schepers, J.S. In-season prediction of potential grain yield in winter wheat using canopy reflectance. Agron. J 2001, 93, 131–138. [Google Scholar]
- Flowers, M.; Weisz, R.; Heiniger, R.; Tarleton, B.; Meijer, A. Field validation of a remote sensing technique for early nitrogen application decisions in wheat. Agron. J 2003, 95, 167–176. [Google Scholar]
- Reyniers, M.; Vrindts, E. Measuring wheat nitrogen status from space and ground-based platform. Int. J. Remote Sens 2006, 27, 549–567. [Google Scholar]
- Vicente-Serrano, S.M.; Cuadrat-Prats, J.M.; Romo, A. Early prediction of crop production using drought indices at different time-scales and remote sensing data: Application in the Ebro Valley (north-east Spain). Int. J. Remote Sens 2006, 27, 511–518. [Google Scholar]
- Wall, L.; Larocque, D.; Leger, P.M. The early explanatory power of NDVI in crop yield modelling. Int. J. Remote Sens 2008, 29, 2211–2225. [Google Scholar]
- Lobell, D.B.; Asner, G.P.; Ortiz-Monasterio, J.I.; Benning, T.L. Remote sensing of regional crop production in the Yaqui Valley, Mexico: Estimates and uncertainties. Agr. Ecosyst. Environ 2003, 94, 205–220. [Google Scholar]
- Liu, L.; Wang, J.; Bao, Y.; Huang, W.; Ma, Z.; Zhao, C. Predicting winter wheat condition, grain yield and protein content using multi-temporal EnviSat-ASAR and Landsat TM satellite images. Int. J. Remote Sens 2006, 27, 737–753. [Google Scholar]
- Benedetti, R.; Rossini, P. On the use of NDVI profiles as a tool for agricultural statistics: The case study of wheat yield estimate and forecast in Emilia Romagna. Remote Sens. Environ 1993, 45, 311–326. [Google Scholar]
- Sharma, T.; Sudha, K.S.; Ravi, N.; Navalgund, R.R.; Tomar, K.P.; Chakravarty, N.V.K.; Das, D.K. Procedures for wheat yield prediction using Landsat MSS and IRS-1A data. Int. J. Remote Sens 1993, 14, 2509–2518. [Google Scholar]
- Sridhar, V.N.; Dadhwal, V.K.; Chaudhari, K.N.; Sharma, R.; Bairagi, G.D.; Sharma, A.K. Wheat production forecasting for a predominantly unirrigated region in Madhya Pradesh, India. Int. J. Remote Sens 1994, 15, 1307–1316. [Google Scholar]
- Hamar, D.; Ferencz, C.; Lichtenberger, J.; Tarcsai, G.; Ferencz-Arkos, I. Yield estimation for corn and wheat in the Hungarian Great Plain using Landsat MSS data. Int. J. Remote Sens 1996, 17, 1689–1699. [Google Scholar]
- Rudorff, B.F.T.; Batista, G.T. Wheat yield estimation at the farm level using TM Landsat and agro-meteorological data. Int. J. Remote Sens 1991, 12, 2477–2484. [Google Scholar]
- Manjunath, K.R.; Potdar, M.B.; Purohit, N.L. Large area operational wheat yield model development and validation based on spectral and meteorological data. Int. J. Remote Sens 2002, 23, 3023–3038. [Google Scholar]
- Bastiaanssen, W.G.M.; Ali, S. A new crop yield forecasting model on satellite measurements applied across Indus Basin, Pakistan. Agr. Ecosyst. Environ 2003, 94, 321–340. [Google Scholar]
- Lobell, D.B.; Asner, G.P. Comparison of Earth Observing-1 ALI and Landsat ETM+ for crop identification and yield prediction in Mexico. IEEE Trans. Geosci. Remote Sens 2003, 41, 1277–1282. [Google Scholar]
- Patel, N.R.; Bhattacharjee, B.; Mohammed, A.J.; Tanupriya, B.; Saha, S.K. Remote sensing of regional yield assessment of wheat in Haryana, India. Int. J. Remote Sens 2006, 27, 4071–4090. [Google Scholar]
- Duchemin, B.; Maisongrande, P.; Boulet, G.; Benhadj, I. A simple algorithm for yield estimates: Evaluation for semi-arid irrigated winter wheat monitored with green leaf area index. Environ. Model. Softw 2008, 23, 876–892. [Google Scholar]
- Ferencz, C.; Bognar, P.; Lichtenberger, J.; Hamar, D.; Tarcsai, G.; Timar, G.; Molnar, G.; Pasztor, S.Z.; Steinbach, P.; Szekely, B.; et al. Crop yield estimation by satellite remote sensing. Int. J. Remote Sens 2004, 25, 4113–4149. [Google Scholar]
- Doraiswamy, P.C.; Hatfield, J.L.; Jackson, T.J.; Akhmedov, B.; Prueger, J.; Stern, A. Crop condition and yield simulations using Landsat and MODIS. Remote Sens. Environ 2004, 92, 548–559. [Google Scholar]
- Reitz, P.; Kutzbach, H.D. Investigations on a particular yield mapping system for combine harvesters. Comput. Electron. Agr 1996, 14, 137–150. [Google Scholar]
- Arslan, S.; Colvin, T.S. An evaluation of the response of yield monitors and combines to varying yields. Precis. Agr 2002, 3, 107–122. [Google Scholar]
- Lark, R.M.; Stafford, J.V.; Bolam, H.C. Limitations on the spatial resolution of yield mapping for combinable crops. J. Agr. Eng. Res 1997, 66, 183–193. [Google Scholar]
- Thenkabail, P.S. Biophysical and yield information for precision farming from near-real-time and historical Landsat TM images. Int. J. Remote Sens 2003, 24, 2879–2904. [Google Scholar]
- Dobermann, A.; Ping, J.L. Geostatistical integration of yield monitor data and remote sensing improves yield maps. Agron. J 2004, 96, 285–297. [Google Scholar]
- Enclona, E.A.; Thenkabail, P.S.; Celis, D.; Diekmann, J. Within-field wheat yield prediction from IKONOS data: A new matrix approach. Int. J. Remote Sens 2004, 25, 377–388. [Google Scholar]
- Reeves, M.C.; Zhao, M.; Running, S.W. Usefulness and limits of MODIS GPP for estimating wheat yield. Int. J. Remote Sens 2005, 26, 1403–1421. [Google Scholar]
- Bullock, D.S.; Bullock, D.G. From agronomic research to farm management guidelines: A primer on the economics of information and precision technology. Precis. Agr 2000, 2, 71–101. [Google Scholar]
- Robertson, M.J.; Lyle, G.; Bowden, J.W. Within-field variability of wheat yield and economic implications for spatially variable nutrient management. Field Crop. Res 2008, 105, 211–220. [Google Scholar]
- Massey, R.E.; Myers, D.B.; Kitchen, N.R.; Sudduth, K.A. Profitability maps as an input for site-specific management decision making. Agron. J 2008, 100, 52–59. [Google Scholar]
- Lyle, G.; Ostendorf, B. A high resolution broad scale spatial indicator of grain growing profitability for natural resource planning. Ecol. Indic 2011, 11, 209–218. [Google Scholar]
- Ostendorf, B. Overview: Spatial information and indicators for sustainable management of natural resources. Ecol. Indic 2011, 11, 97–102. [Google Scholar]
- Turner, N.C.; Asseng, S. Productivity, sustainability, and rainfall use efficiency in Australian rain-fed Mediterranean agricultural systems. Aust. J. Agr. Res 2005, 56, 1123–1136. [Google Scholar]
- Sadras, V.O.; Rodriguez, D. The limit to wheat water-use efficiency in eastern Australia. II. Influences of rainfall patterns. Aust. J. Agr. Res 2007, 58, 657–669. [Google Scholar]
- Passioura, J. Increasing crop productivity when water is scarce—From breeding to field management. Agr. Water Manag 2006, 80, 176–196. [Google Scholar]
- Anderson, W.K.; Garlinge, J.R. The Wheat Book—Principles and Practice; Department of Agriculture and Food: South Perth, WA, Australia, 2000; p. 322. [Google Scholar]
- Alexandridis, T.K.; Gitas, I.Z.; Silleos, N.G. An estimation of the optimum temporal resolution for monitoring vegetation condition on a nationwide scale using MODIS/Terra data. Int. J. Remote Sens 2008, 29, 3589–3607. [Google Scholar]
- Carlson, T.N.; Ripley, D.A. On the relation between NDVI, fractional vegetation cover, and leaf area index. Remote Sens. Environ. 1997, 62, 241–252. [Google Scholar]
- Aparicio, N.; Villegas, D.; Araus, J.L.; Casadesus, L.; Royo, C. Spectral vegetation indices as nondestructive tools for determining durum wheat yield. Agron. J 2000, 92, 83–91. [Google Scholar]
- Aase, J.K.; Siddoway, F.H. Assessing winter wheat dry matter production via spectral reflectance measurements. Remote Sens. Environ 1981, 11, 267–277. [Google Scholar]
- Aparicio, N.; Villegas, D.; Araus, J.L.; Casadesus, J.; Royo, C. Relationship between growth traits and spectral vegetation indices in durum wheat. Crop Sci 2002, 42, 1547–1555. [Google Scholar]
- Scotford, I.M.; Miller, P.C.H. Combination of spectral reflectance and ultrasonic sensing to monitor the growth of winter wheat. Biosys. Eng 2004, 87, 27–38. [Google Scholar]
- Smith, R.C.G.; Adams, J.; Stephens, D.J.; Hick, P.T. Forecasting wheat yield in a Mediterranean-type environment from the NOAA Satellite. Aus. J. Agr. Res 1995, 46, 113–125. [Google Scholar]
- Beeri, O.; Peled, A. Spectral indices for precise agriculture monitoring. Int. J. Remote Sens 2006, 27, 2039–2047. [Google Scholar]
- Boissard, P.; Pointel, J.G. Reflectance, green leaf area index and ear hydric status of wheat from anthesis until maturity. Int. J. Remote Sens 1993, 14, 2713–2729. [Google Scholar]
- Dawbin, K.W.; Evans, J.C.; Duggin, M.J.; Leggett, E.K. Classification of wheat areas and prediction of yields in north-western New South Wales by repetitive Landsat data. Aus. J. Agr. Res 1980, 31, 449–53. [Google Scholar]
- Minasny, B.; McBratney, A.B.; Whelan, B.M. VESPER Version1.62—Variogram Estimation and Spatial Prediction plus Error; Australian Centre for Precision Agriculture: Sydney, NSW, Australia, 2005; Available online: http://sydney.edu.au/agriculture/pal/software/vesper.shtml (accessed on 25 October 2012).
- Taylor, J.A.; McBratney, A.B.; Whelan, B.M. Establishing management classes for broadacre agricultural production. Agron. J 2007, 99, 1366–1376. [Google Scholar]
- Nash, J.E.; Sutcliffe, J.V. River flow forecasting through conceptual models. Part 1-A discussion of principles. J. Hydrol 1970, 10, 282–290. [Google Scholar]
- Krause, P.; Boyle, D.P.; Bäse, F. Comparison of different efficiency criteria for hydrological model assessment. Adv. Geosci 2005, 5, 89–97. [Google Scholar]
- Ludwig, F.; Asseng, S. Climate change impacts on wheat production in a Mediterranean environment in Western Australia. Agr. Syst 2006, 90, 159–179. [Google Scholar]
- Luo, Q.Y.; Bellotti, W.; Williams, M.; Bryan, B. Potential impact of climate change on wheat yield in South Australia. Agr. Forest Meteorol 2005, 132, 273–285. [Google Scholar]
- Balaghi, R.; Tychon, B.; Eerens, H.; Jlibene, M. Empirical regression models using NDVI, rainfall and temperature data for the early prediction of wheat grain yields in Morocco. Int. J. Appl. Earth Obs 2008, 10, 438–452. [Google Scholar]
- Reyniers, M.; Vrindts, E. Measuring wheat nitrogen status from space and ground-based platform. Int. J. Remote Sens 2006, 27, 549–567. [Google Scholar]
- Ren, J.; Chen, Z.; Zhou, Q.; Tang, H. Regional yield estimation for winter wheat with MODIS-NDVI data in Shandong, China. Int. J. Appl. Earth Obs 2008, 10, 403–413. [Google Scholar]
- Reyniers, M.; Vrindts, E.; De Baerdemaeker, J. Comparison of an aerial-based system and an on the ground continuous measuring device to predict yield of winter wheat. Eur. J. Agron 2006, 24, 87–94. [Google Scholar]
- Reyniers, M.; Vrindts, E. Measuring wheat nitrogen status from space and ground-based platform. Int. J. Remote Sens 2006, 27, 549–567. [Google Scholar]
- McMaster, G.S.; Wilhelm, W.W.; Frank, A.B. Developmental sequences for simulating crop phenology for water-limiting conditions. Aus. J. Agr. Res 2005, 56, 1277–1288. [Google Scholar]
- Gomez-Macpherson, H.; Richards, R.A. Effect of sowing time on yield and agronomic characteristics of wheat in south-eastern Australia. Aus. J. Agr. Res 1995, 46, 1381–1399. [Google Scholar]
Appendix
| Farm Model | Date | Equation | Goodness of Fit (R2) |
|---|---|---|---|
| Farm 1 | 26/08/98 | y = −3.0628x2 + 6.0975x | 0.16 |
| Farm 3 | 26/08/98 | y = −4.2896x2 + 8.0742x | 0.05 |
| Farm 1 | 11/09/98 | y = −1.1425x2 + 4.6645x | 0.11 |
| Farm 3 | 11/09/98 | y = 0.6284x2 + 4.4938x | 0.08 |
| Farm 1 | 21/08/99 | y = 1.8846x2 + 3.8119x | 0.45 |
| Farm 2 | 21/08/99 | y = −3.0846x2 + 6.2372x | 0.28 |
| Farm 3 | 21/08/99 | y = −3.5731x2 + 7.1389x | 0.27 |
| Farm 1 | 06/09/99 | y = 3.2457x2 + 2.9875x | 0.48 |
| Farm 2 | 06/09/99 | y = −3.9921x2 + 6.9399x | 0.37 |
| Farm 3 | 06/09/99 | y = 1.1553x2 + 4.8376x | 0.34 |
| Farm 1 | 29/09/99 | y = −0.129x2 + 5.7751x | 0.45 |
| Farm 2 | 29/09/99 | y = −9.3139x2 + 10.22x | 0.12 |
| Farm 3 | 29/09/99 | y = −4.3096x2 + 8.1084x | 0.28 |
| Farm 1 | 15/10/99 | y = −16.144x2 + 14.513x | 0.27 |
| Farm 2 | 15/10/99 | y = −25.798x2 + 18.077x | −0.11 |
| Farm 3 | 15/10/99 | y = −22.382x2 + 16.51x | 0.11 |
| Farm 1 | 26/08/01 | y = 3.483x2 + 2.6994x | 0.38 |
| Farm 2 | 26/08/01 | y = 1.2611x2 + 3.6751x | 0.31 |
| Farm 3 | 26/08/01 | y = −0.3573x2 + 5.1796x | 0.11 |
| Farm 1 | 11/09/01 | y = −4.4754x2 + 9.4465x | 0.50 |
| Farm 2 | 11/09/01 | y = −7.7556x2 + 10.426x | 0.44 |
| Farm 3 | 11/09/01 | y = −9.3026x2 + 11.922x | 0.37 |
| Farm 1 | 16/09/03 | y = −0.0958x2 + 4.0322x | 0.10 |
| Farm 2 | 16/09/03 | y = 0.2875x2 + 4.5415x | 0.48 |
| Farm 3 | 16/09/03 | y = −2.2006x2 + 5.6679x | 0.08 |
| Farm 1 | 02/10/03 | y = −0.7643x2 + 5.132x | 0.24 |
| Farm 2 | 02/10/03 | y = −3.3642x2 + 8.5108x | 0.56 |
| Farm 3 | 02/10/03 | y = −10.129x2 + 10.603x | −0.17 |
| Farm 1 | 11/09/04 | y = 2.9902x2 + 2.452x | 0.52 |
| Farm 2 | 11/09/04 | y = 3.2813x2 + 2.9058x | 0.40 |
| Farm 4 (substitute for Farm 3) | 11/09/04 | y = −1.2235x2 + 5.1942x | 0.18 |
| Farm 1 | 27/09/04 | y = 2.7853x2 + 3.6798x | 0.55 |
| Farm 2 | 27/09/04 | y = 1.5456x2 + 6.2311x | 0.64 |
| Farm 4 (substitute for Farm 3) | 27/09/04 | y = 1.166x2 + 5.1651x | 0.29 |




| Months | Role of Rainfall in Crop Development Stages |
|---|---|
| March to May | 1. Pre-sowing soil water accumulates; aids seed germination. |
| June | 2. Post sowing soil water facilitates seed germination, emergence, formation of leaves and start of tillering. |
| July to August | 3. Rainfall used by plant to enlarge leaf area; complete closure of the crop canopy achieved. |
| August | 4. Leaf development completed; rain feeds most rapid plant growth phase from start of stem elongation and ear emergence. |
| September | 5. Optimal flowering period for wheat crops; adequate rainfall critical. Early-flowering plants may have insufficient biomass to set and fill seeds; flowers prone to frost damage. Late-flowering plants may have insufficient soil water for grain filling. |
| October | 6. Rainfall contributes to wheat grain filling. |
| August (Sensor) | September (Sensor) | October (Sensor) |
|---|---|---|
| 26 Aug. 1998(5) | 11 Sept. 1998 (5) | |
| 21 Aug. 1999 (7) | 6, 29 Sept. 1999 (7) | 15 Oct. 1999(7) |
| 11 Sept. 2001(7) | ||
| 26 Aug. 2001 (7) | 16 Sept. 2003(5) | 13 Oct. 2001 |
| 11, 27 Sept. 2004(5) | 2 Oct. 2003(5) |
| Farm | 1998 | 1999 | 2001 | 2003 | 2004 |
|---|---|---|---|---|---|
| Farm 1 | 2.16 | 2.12 | 2.21 | 2.55 | 2.20 |
| Farm 2 | 2.33 | 2.95 | 2.67 | 2.45 | |
| Farm 3 | 3.12 | 2.07 | 2.43 | 2.38 | |
| Farm 4 (Substitute for Farm 3) | 2.59 | ||||
| # image dates | 2 | 4 | 3 | 2 | 2 |
| # Regressions models | 4 | 12 | 6 | 6 | 6 |
| # Extrapolation tests | 4 | 24 | 12 | 12 | 12 |
| Model | Date | Farm 1 | Farm 2 | Farm 3 | |||||
|---|---|---|---|---|---|---|---|---|---|
| RMSE | E | RMSE | E | RMSE | E | Growing Season Rainfall (GSR) | NDVI Progression | ||
| Farm 1 | 26/08/98 | 0.66 | 0.16 | n/a | n/a | 1.11 | −0.62 | 321 mm; 25% in May; 74% between April and July; 20% in August (45 mm) and September (36 mm); little rainfall in October. | NDVI increasing between dates indicating increase in biomass; scattering reduced between August and mid-September. |
| Farm 3 | 26/08/98 | 0.93 | −0.67 | n/a | n/a | 0.85 | 0.05 | ||
| Farm 1 | 11/09/98 | 0.67 | 0.11 | n/a | n/a | 1.04 | −0.43 | ||
| Farm 3 | 11/09/98 | 0.81 | −0.27 | n/a | n/a | 0.84 | 0.08 | ||
| Model | Date | Farm 1 | Farm 2 | Farm 3 | |||||
|---|---|---|---|---|---|---|---|---|---|
| RMSE | E | RMSE | E | RMSE | E | Growing Season Rainfall (GSR) | NDVI Progression | ||
| Farm 1 | 21/08/99 | 0.64 | 0.45 | 0.63 | 0.19 | 0.75 | −0.03 | Extremely high rainfall year with 628 mm; high distribution of rainfall over the months with 105 mm falling in March, 169 mm falling in May and 96 mm in June; September and October rainfall was >35 mm for each month. | NDVI increased and distribution narrowed from August to September; comparison of September images showed slight reductions in the magnitudes and an increase in the dispersal; reductions of NDVI values in October. |
| Farm 2 | 21/08/99 | 0.55 | 0.39 | 0.60 | 0.28 | 0.70 | 0.11 | ||
| Farm 3 | 21/08/99 | 0.64 | 0.17 | 0.67 | 0.11 | 0.64 | 0.51 | ||
| Farm 1 | 06/09/99 | 0.53 | 0.48 | 0.69 | 0.04 | 0.72 | 0.05 | ||
| Farm 2 | 06/09/99 | 0.63 | 0.28 | 0.56 | 0.37 | 0.64 | 0.27 | ||
| Farm 3 | 06/09/99 | 0.66 | 0.20 | 0.62 | 0.24 | 0.61 | 0.34 | ||
| Farm 1 | 29/09/99 | 0.53 | 0.45 | 0.77 | −0.21 | 0.69 | 0.14 | ||
| Farm 2 | 29/09/99 | 0.67 | 0.12 | 0.66 | 0.12 | 0.65 | 0.22 | ||
| Farm 3 | 29/09/99 | 0.59 | 0.30 | 0.69 | 0.04 | 0.63 | 0.28 | ||
| Farm 1 | 15/10/99 | 0.61 | 0.29 | 0.86 | −0.49 | 2.00 | −6.29 | ||
| Farm 2 | 15/10/99 | 0.68 | 0.09 | 0.73 | −0.11 | 0.72 | 0.06 | ||
| Farm 3 | 15/10/99 | 0.62 | 0.22 | 0.74 | −0.15 | 0.70 | 0.11 | ||
| Model | Date | Farm 1 | Farm 2 | Farm 3 | |||||
|---|---|---|---|---|---|---|---|---|---|
| RMSE | E | RMSE | E | RMSE | E | Growing Season Rainfall (GSR) | NDVI Progression | ||
| Farm 1 | 26/08/01 | 0.56 | 0.38 | 0.58 | 0.23 | 0.69 | 0.07 | Lowest rainfall year with 300 mm; 30 mm in March; no rainfall in April and <10 mm in June; 158 mm fell between July, August and September; around 20 mm fell in October. | Narrow range of August NDVI values; declining distribution of NDVI in September indicating the August image was taken at crop maturity; earlier than in other years of analysis. |
| Farm 2 | 26/08/01 | 0.57 | 0.35 | 0.55 | 0.31 | 0.75 | −0.09 | ||
| Farm 3 | 26/08/01 | 0.62 | 0.23 | 0.64 | 0.07 | 0.68 | 0.11 | ||
| Farm 1 | 11/09/01 | 0.50 | 0.35 | 0.51 | 0.47 | 0.62 | 0.24 | ||
| Farm 2 | 11/09/01 | 0.51 | 0.49 | 0.50 | 0.44 | 0.65 | 0.16 | ||
| Farm 3 | 11/09/01 | 0.58 | 0.34 | 0.58 | 0.23 | 0.57 | 0.37 | ||
| Model | Date | Farm 1 | Farm 2 | Farm 3 | |||||
|---|---|---|---|---|---|---|---|---|---|
| RMSE | E | RMSE | E | RMSE | E | Growing Season Rainfall (GSR) | NDVI Progression | ||
| Farm 1 | 16/09/03 | 0.64 | 0.10 | 0.57 | 0.097 | 0.69 | −0.009 | 372 mm; March and April received 20% of GSR; >45 mm fell in each of the months May, June, July and September; 100 mm fell in August; May to August rainfall represented 80% of GSR. . | September NDVI distributions similar for Farms 1 and 3; similar to 1998 results; NDVI more distributed for Farm 2; broader October distributions with high but declining NDVI values. |
| Farm 2 | 16/09/03 | 0.80 | −0.43 | 0.43 | 0.48 | 0.73 | −0.13 | ||
| Farm 3 | 16/09/03 | 0.66 | 0.03 | 0.46 | 0.41 | 0.66 | 0.08 | ||
| Farm 1 | 02/10/03 | 0.58 | 0.26 | 0.90 | −1.30 | 0.92 | −0.79 | ||
| Farm 2 | 02/10/03 | 1.2 | −2.22 | 0.39 | 0.56 | 1.11 | −1.62 | ||
| Farm 3 | 02/10/03 | 0.71 | −0.13 | 0.46 | 0.41 | 0.74 | −0.17 | ||
| Model | Date | Farm 1 | Farm 2 | Farm 4 | |||||
|---|---|---|---|---|---|---|---|---|---|
| RMSE | E | RMSE | E | RMSE | E | Growing season rainfall (GSR) | NDVI progression | ||
| Farm 1 | 11/09/04 | 0.42 | 0.47 | 0.65 | 0.20 | 0.65 | 0.09 | 327 mm; no rainfall fell in March and only 10 mm in April; nearly 50% fell in May and June; 90% falling before September; less than 10 mm fell in October. | Reductions in magnitudes and dispersal of NDVI values between the two September images. |
| Farm 2 | 11/09/04 | 0.52 | 0.18 | 0.56 | 0.40 | 0.68 | 0.01 | ||
| Farm 4 | 11/09/04 | 0.48 | 0.31 | 0.60 | 0.33 | 0.62 | 0.18 | ||
| Farm 1 | 27/09/04 | 0.39 | 0.55 | 0.54 | 0.46 | 0.67 | 0.05 | ||
| Farm 2 | 27/09/04 | 0.97 | −1.84 | 0.44 | 0.64 | 0.81 | −0.40 | ||
| Farm 4 | 27/09/04 | 0.51 | 0.22 | 0.63 | 0.26 | 0.58 | 0.29 | ||
| Sensor | Prediction Error (t/ha) | Author |
|---|---|---|
| AVHRR | 0.14–0.2 | Smith [48] |
| AVHRR | 0.08–0.76 | Balaghi et al.[59] |
| AwiFS | 0.25–0.35 | Patel et al.[23] |
| Landsat | 0.37–0.44 | Rudorff and Batista [19] |
| IKONOS | 0.53 | Reyniers and Vrindts [60] |
| MODIS | 0.23 | Ren et al.[61] |
| Multi-spectral radiometer: | ||
| Hand held | 0.5–0.9 | Duchemin et al.[24] |
| Ground based platform | 0.47 | Reyniers et al.[62] |
| Aerial based platform | 0.51 | Reyniers and Vrindts [63] |
Share and Cite
Lyle, G.; Lewis, M.; Ostendorf, B. Testing the Temporal Ability of Landsat Imagery and Precision Agriculture Technology to Provide High Resolution Historical Estimates of Wheat Yield at the Farm Scale. Remote Sens. 2013, 5, 1549-1567. https://doi.org/10.3390/rs5041549
Lyle G, Lewis M, Ostendorf B. Testing the Temporal Ability of Landsat Imagery and Precision Agriculture Technology to Provide High Resolution Historical Estimates of Wheat Yield at the Farm Scale. Remote Sensing. 2013; 5(4):1549-1567. https://doi.org/10.3390/rs5041549
Chicago/Turabian StyleLyle, Greg, Megan Lewis, and Bertram Ostendorf. 2013. "Testing the Temporal Ability of Landsat Imagery and Precision Agriculture Technology to Provide High Resolution Historical Estimates of Wheat Yield at the Farm Scale" Remote Sensing 5, no. 4: 1549-1567. https://doi.org/10.3390/rs5041549
APA StyleLyle, G., Lewis, M., & Ostendorf, B. (2013). Testing the Temporal Ability of Landsat Imagery and Precision Agriculture Technology to Provide High Resolution Historical Estimates of Wheat Yield at the Farm Scale. Remote Sensing, 5(4), 1549-1567. https://doi.org/10.3390/rs5041549

