Next Article in Journal
Multi-Baseline InSAR DEM Reconstruction and Multi-Source Performance Evaluation Based on the PIESAT-1 “Wheel” Constellation
Previous Article in Journal
Depth-Aware Adversarial Domain Adaptation for Cross-Domain Remote Sensing Segmentation
 
 
Font Type:
Arial Georgia Verdana
Font Size:
Aa Aa Aa
Line Spacing:
Column Width:
Background:
Article

Motion-Compensated Reconstruction for Azimuth Multi-Channel Synthetic Aperture Ladar: A Robust Framework for High-Resolution Wide-Swath Imaging

School of Optoelectronic Science and Engineering, Soochow University, Suzhou 215006, China
*
Author to whom correspondence should be addressed.
Remote Sens. 2026, 18(7), 1100; https://doi.org/10.3390/rs18071100
Submission received: 5 February 2026 / Revised: 18 March 2026 / Accepted: 28 March 2026 / Published: 7 April 2026
(This article belongs to the Section Remote Sensing Image Processing)

Highlights

What are the main findings?
  • Millimeter-level radial velocity can severely degrade the image quality of SAL.
  • A robust imaging framework with motion compensation is proposed to significantly enhance imaging quality.
What are the implications of the main findings?
  • The proposed method realizes high-resolution imaging and accurate relocation of micro-motion targets when image-domain SNR exceeds 20 dB.

Abstract

Azimuth multi-channel (AMC) Synthetic Aperture Ladar (SAL) is a promising technique for overcoming the inherent trade-off between azimuth resolution and swath width in single-channel SAL, by replacing temporal sampling with spatial sampling. However, due to the micron-scale wavelength, AMC SAL is extremely sensitive to non-cooperative target motion: even millimeter-level radial velocities can induce significant inter-channel phase deviations, leading to severe azimuth ambiguities (false targets). To address this critical issue, a motion-compensated reconstruction framework for AMC SAL is proposed for micro-motion targets. The relationship between target radial motion and inter-channel phase deviations is theoretically derived, and a parametric strategy based on a Minimum Azimuth Ambiguity-to-Signal Ratio (MAASR) criterion is proposed to estimate the radial velocity. Simulation results demonstrate that the uncompensated processing suffers from strong ambiguities (AASR = −2.90 dB) and a notable azimuth position shift (−42 samples), whereas the proposed method suppresses false targets to the noise floor (<−40 dB) and corrects the position error. These simulation results indicate that the proposed method enables AMC SAL imaging for the non-cooperative moving target with millimeter-level radial velocity.

1. Introduction

Synthetic Aperture Radar (SAR) operating in the microwave band has been widely employed in both military and civilian domains, owing to its advantages of all-day, all-weather capabilities, long operating range, and high resolution [1]. In practical applications, the robust imaging capability of SAR over broad areas makes it highly effective for complex tasks such as image segmentation [2,3]. However, as the demand for extreme precision grows, synthetic aperture technology has been extended to the optical band, leading to the development of Synthetic Aperture Ladar (SAL). Operating at a wavelength at the micrometer scale, which is significantly shorter than that of microwave SAR, SAL can theoretically achieve an imaging resolution orders of magnitude higher. This exceptional resolution provides SAL with promising application prospects in fields requiring extreme precision. Unlike SAR, which excels in large-scale mapping, SAL is particularly advantageous for fine target recognition, structural analysis using mathematical models [4], and the precise three-dimensional reconstruction of complex targets [5], alongside space debris monitoring and strategic reconnaissance [6,7,8].
However, the development of SAL has been constrained by the fundamental physical limitation of the minimum antenna area. In traditional single-channel systems, reducing the transmitting aperture to broaden the beamwidth for wide-swath coverage inevitably induces a larger Doppler bandwidth, thereby requiring a higher Pulse Repetition Frequency (PRF) to satisfy the Nyquist sampling theorem. Conversely, to avoid range ambiguities, wide-swath imaging imposes a strict upper limit on the PRF [9,10,11]. This inherent contradiction between azimuth sampling requirements and range coverage limitations makes it difficult for single-channel systems to simultaneously achieve High-Resolution Wide-Swath (HRWS) imaging. In the synthetic aperture imaging community, this fundamental trade-off is typically managed through specialized observation modes. For instance, spotlight and sliding-spotlight SAR modes achieve ultra-high azimuth resolution by steering the beam to prolong target illumination [12,13], but they inevitably sacrifice continuous azimuth coverage. Conversely, wide-swath modes like ScanSAR and Terrain Observation by Progressive Scans (TOPS) [14,15] achieve extensive range coverage by periodically switching the antenna elevation beam, but this fundamentally degrades the achievable azimuth resolution. To break this trade-off, the Azimuth Multi-Channel (AMC) architecture, originally developed for HRWS SAR, has been adapted for SAL. Through introducing multiple receive channels in the azimuth direction and exploiting spatial degrees of freedom, AMC effectively compensates for temporal undersampling, thereby breaking the trade-off between resolution and swath width [16,17,18].
Despite the successful implementation of the AMC framework in static scenarios, extending this architecture to non-cooperative moving targets remains a formidable challenge. While recent reviews [19] highlight significant strides in SAL motion compensation algorithms and phase noise suppression, current advancements have mainly focused on addressing static system errors and large-scale target dynamics. Significant progress has been made in nonlinear phase reconstruction methods to mitigate system-induced errors using orthonormal complete basis functions [20]. Furthermore, for targets exhibiting substantial dynamics such as high-speed translation, Inverse SAL (ISAL) techniques have proven effective. Advanced methods employing digital delay processing [21], inner-pulse Doppler compensation [22], and segmented interference [23] have successfully corrected motion-induced phase errors.
Although current methods successfully compensate for substantial target dynamics, they are primarily optimized for the high-resolution profiling of localized targets. When extending to the AMC SAL architecture, which is designed for wide-swath observation, the compensation of non-cooperative micro-motions, specifically minute radial velocities or vibrations, emerges as a critical yet rarely investigated challenge. Due to the short wavelength in the optical band, motions at the millimeter level cause severe phase deviations across receiving channels. Unlike single-channel systems, where such errors primarily cause defocusing, in AMC SAL, these deviations disrupt the vector alignment required for spectrum reconstruction, resulting in severe azimuth ambiguities. Traditional autofocus metrics based on Image Entropy focus primarily on sharpness rather than penalizing ambiguities, a limitation that renders them insufficient for this specific scenario [24]. Consequently, we adopt the Azimuth Ambiguity-to-Signal Ratio (AASR) as the optimization criterion. While existing research has addressed specific aspects of calibration, vibration compensation, and imaging modes, the development of a unified framework capable of simultaneously handling the Residual Video Phase (RVP) in dechirp receiving and robust autofocus for non-cooperative targets in AMC SAL remains an open research topic.
In response to these challenges, this paper proposes a robust imaging framework designed for wide-swath surveillance of non-cooperative moving targets. The primary contributions are as follows: (1) A rigorous derivation of the phase error induced by radial velocity is presented. This analysis quantitatively reveals the hypersensitivity of the system to motion errors compared to microwave SAR, establishing the necessity for advanced compensation. (2) The Minimum Azimuth Ambiguity-to-Signal Ratio (MAASR) is proposed as an optimization criterion, replacing conventional parameter search methods. By explicitly targeting spectral ambiguities, it achieves optimal velocity estimation and effective suppression for uncooperative targets. (3) Simulations confirm the superior performance of this framework on targets with minute motions. It suppresses azimuth ambiguities below −40 dB, corrects target position shifts to within 1 sampling point, and achieves focused imaging with high resolution.
This paper is organized as follows. In Section 2, we first introduce the imaging geometry and signal model of the AMC SAL and formulate the motion sensitivity problem. Section 3 describes the proposed robust imaging framework and the MAASR autofocus method in detail. Some simulations are designed in Section 4. Finally, Section 5 shows some conclusions and an outlook.

2. AMC SAL Concept

The imaging geometry of the AMC SAL system is shown in Figure 1. The y-axis represents the direction of the platform velocity, denoted as v s , while the z-axis points away from the Earth’s center. The x-axis completes the orthogonal right-handed frame. The altitude of the platform flight is H . It is assumed that the shortest slant range from the target illuminated by the laser spot to the SAL system is R 0 . The swath width of the imaging scene is W g . The AMC SAL system employs a single aperture to transmit signals, and N telescopes are placed along the azimuth direction to receive signals simultaneously. For the sake of generalized illustration, the schematic diagram of uniform sampling in Figure 2 depicts a system with 5 receiving channels, where N = 5 . However, without loss of generality, the subsequent signal modeling and simulation experiments in this paper adopt a 3-channel configuration as a specific case study.
To ensure an unambiguous wide swath imaging scene in the range direction, the AMC SAL system transmits signals at a lower PRF. Consequently, the azimuth sampling rate of the signal received by each channel is insufficient, as illustrated by the individual channel rows in Figure 2. If the platform velocity v s , system PRF f p , and the distance between adjacent channels d meet certain conditions, sufficient spatial sampling will effectively compensate for insufficient time sampling. This can be achieved by processing the data received from N channels in the ordered arrangement, as demonstrated by the equivalent sampling at the bottom of Figure 2. This condition is known as the uniform sampling condition [25], i.e.,
v s f p = N d 2
If the condition in Equation (1) is satisfied and the observed scene is strictly stationary, the multi-channel samples can be perfectly interleaved to reconstruct a high-PRF signal, as demonstrated in Figure 2. However, in practical applications, operational restrictions on PRF and fixed hardware baselines in practical scenarios inevitably disrupt this strict equality, leading to non-uniform spatial sampling. Although standard reconstruction algorithms can theoretically enable the unambiguous spectrum recovery from non-uniform samples, the capability is contingent upon strict, deterministic, and geometric phase relationships between channels, a requirement that proves difficult to meet in SAL systems. Unlike microwave SAR, where the wavelength is long enough to tolerate minor kinematic deviations, the micron-scale wavelength of SAL makes the inter-channel phase strictly sensitive to the unknown radial motion of non-cooperative targets. As will be theoretically analyzed in the subsequent section, even a millimeter-level radial velocity destroys the phase coherence required for reconstruction, introducing motion-dependent phase errors that cannot be corrected by traditional static channel equalization. Therefore, it is imperative to establish a robust signal model where motion compensation is embedded within the reconstruction process.
Given the extensive mathematical notations involved in the geometric modeling and theoretical derivations, Table 1 lists the key symbols before the data processing section for ease of reference. They are grouped into System Parameters, Signal and Geometry Model, Reconstruction, and MAASR Algorithm.

3. Data Processing

To address the challenges of wide-swath coverage and extreme motion sensitivity in the optical band, a systematic imaging framework for AMC SAL is established. As schematically illustrated in Figure 3, the proposed processing workflow integrates three cascaded modules: (1) Wideband Signal Pre-processing; (2) Motion error analysis and MAASR-based velocity estimation; (3) Motion-compensated spectrum reconstruction (MCSR). The detailed mathematical principles and implementation steps of these modules are elaborated in the following subsections.

3.1. Wideband Signal Model: Dechirp Receiving and RVP Compensation

The chirp (Linear Frequency Modulation, LFM) signal emitted by the reference channel in a single pulse is represented as:
s τ = r e c t τ T p exp j 2 π f 0 τ + j π K r τ 2
where T p is the pulse duration, τ is the fast time, f 0 is the carrier frequency, and K r is the chirp rate.
In the dechirp receiving mode, the echo from the n-th channel, which is a time-delayed version of the transmitted signal, is mixed with a reference signal s r e f τ . The reference signal is defined as:
s r e f τ = r e c t τ τ r e f T p exp j 2 π f 0 ( τ τ r e f ) + j π K r ( τ τ r e f ) 2
where τ r e f = 2 R r e f / c . After coherent mixing and low-pass filtering, the baseband signal is derived as:
s n r τ , η = A 0 r e c t τ 2 R n η / c T p exp j 4 π λ R Δ     exp j 4 π K r c τ τ r e f R Δ exp j 4 π K r c 2 R Δ 2 R V P
where R Δ = R n ( η ) R r e f denotes the differential slant range. The last exponential term in Equation (4) is the RVP, which introduces quadratic phase errors in wideband SAL.
To precisely compensate for the RVP, the signal is transformed into the range frequency domain using Fast Fourier Transform (FFT). The spectrum is expressed as:
S n r f r A 0 T p s i n c T p f r + 2 K r c R Δ exp j 4 π λ R Δ exp j 4 π f r c R Δ exp j 4 π K r c 2 R Δ 2
In Equation (5), the third term represents the envelope skew (coupling between range frequency and range position), and the fourth term is the RVP. Considering the linear time-frequency coupling characteristic of the chirp signal, the range frequency f r is directly related to the differential range R Δ by f r =   2 K r R Δ / c . The differential range can be expressed as R Δ = c f r / 2 / K r .
Substituting R Δ = c f r / 2 / K r into the phase terms of Equation (5), the combined phase error Φ e r r f r is derived as:
Φ e r r f r = exp j 4 π f r c c f r 2 K r + j 4 π K r c 2 c f r 2 K r 2 = exp j 2 π f r 2 K r + j π f r 2 K r exp j 2 π f r 2 K r = exp j π f r 2 K r
Equation (6) reveals that the RVP and envelope skew merge into a single quadratic phase term in the frequency domain. To eliminate this distortion, a compensation filter is constructed:
H c o m p f r = exp j π f r 2 K r
Multiplying the uncompensated spectrum by H c o m p f r , the corrected signal is obtained:
S n r c o r r f r , η = A 0 T p s i n c T p f r + 2 K r c R Δ exp j 4 π λ R Δ
As shown in Equation (8), the signal model is now free of RVP and coupling errors, mathematically consistent with the standard range-compressed SAR signal. This allows the use of the Range-Doppler (RD) algorithm [26] for subsequent motion compensation and azimuth processing.

3.2. Motion-Induced Phase Error Analysis

While the AMC configuration increases the equivalent sampling rate, the reconstruction theory strictly relies on the deterministic phase relationship between channels. For SAL operating in the optical band, this relationship is extremely sensitive to non-cooperative target motion.
Consider a moving target with a radial velocity v r relative to the radar line-of-sight. The instantaneous slant range R η at azimuth time η can be modeled as:
R η R 0 + v r η + v s 2 2 R 0 η 2
where R 0 is the closest slant range, v s is the platform velocity, and the term v r η represents the range walk induced by radial motion.
For an AMC system, the n-th receiver (Rxn) is spatially separated from the reference receiver (Rx1) a distance Δ x n   =   ( n 1 )   d . The effective time delay for the n-th channel to observe the same target aspect angle is τ d   =   Δ x n     ( 2 v s ) .
Ideally, for a stationary target v r = 0 , the signal received by the n-th channel, S n ( η ) , is simply a time-shifted version of the reference channel S 1 ( η ) :
S n ( η )   =   S 1 ( η   +   τ d )
This linear phase shift is the basis for standard spectrum reconstruction.
However, for a moving target v r 0 , the radial displacement during the delay time τ d introduces an additional path difference. Substituting the motion model into the phase history, the relationship becomes:
S n η S 1 η + τ d exp j 4 π λ v r τ d
Substituting τ d = n 1 d / 2 / v s into Equation (11), the motion-induced inter-channel phase bias is explicitly formulated as:
Φ e r r = exp j 4 π λ v r n 1 d 2 v s
This phase bias is the primary factor leading to severe image defocusing in SAL. To illustrate its severity, a comparison between SAR and SAL is presented:
With a wavelength λ 0.03 m (X-band), a target moving at v r = 1 m/s creates a negligible phase error. For typical parameters, Φ e r r 0 , so the reconstruction remains valid. With a wavelength λ 1.05 μm, the same velocity v r = 1 m/s induces a massive Doppler shift. The phase error Φ e r r   wraps around multiple 2 π cycles across the channels.
Therefore, this uncompensated phase bias destroys the orthogonality of the signal subspace, causing the subsequent reconstruction algorithm to fold the moving target’s energy into wrong Doppler ambiguities. As a result, the standard steering vectors used in reconstruction algorithms become mismatched, leading to the imaging failure mechanism that will be analyzed and resolved in Section 3.4.

3.3. Adaptive Velocity Estimation Based on MAASR

To mitigate the detrimental effects of motion-induced phase errors, a MCSR scheme is proposed. The core strategy is to estimate the motion parameters and correct the phase history before the multi-channel data is combined, thereby preventing spectrum ambiguity. Since the phase error Φ e r r is deterministic with respect to velocity, the key to robust imaging lies in the precise estimation of v r . A parametric autofocus strategy based on the MAASR criterion is proposed.
Unlike microwave SAR, SAL is extremely sensitive to velocity mismatches. Any deviation triggers a sharp rise in azimuth ambiguities. To quantify the level of ambiguity, the Azimuth Ambiguity-to-Signal Ratio (AASR) is utilized. The AASR is mathematically defined as:
A A S R = 10 log 10 P a P s
where P a v represents the power of the strongest ambiguity and P s v denotes the peak power of the main signal, calculated from the spectrum compensated by a trial velocity v .
Based on this metric, the MAASR criterion is proposed for autofocus. The optimal radial velocity v ^ r is retrieved by minimizing the AASR cost function:
v r ^ = arg min v J M A A S R v = arg min v 10 log 10 P a v P s v
where P a v and P s v represent the power of the strongest ambiguity and the main signal, respectively, calculated from the reconstructed spectrum compensated by a trial velocity v.
To implement the MAASR estimator effectively, the global optimization strategy must be rigorously designed. The ambiguity level, quantified by the MAASR cost function J M A A S R v , exhibits a sharp “V-shape” characteristic. This necessitates a precise configuration of the grid resolution and the optimization domain to ensure convergence to the global optimum.
Optimization Domain Constraints: To prevent Doppler ambiguity, the optimization domain is constrained by the system’s first blind speed. The feasible velocity region V domain is defined as:
V domain = λ f p 4 , λ f p 4
Grid Resolution Determination: The discretization of the solution space is critical. An arbitrarily coarse grid resolution may fail to capture the phase coherence required for ambiguity suppression. Theoretically, the optimization step δ v must ensure that the residual phase error between consecutive grid points remains within the focus depth of the synthetic aperture.
Based on the phase error model in Equation (12), the differential phase Δ Φ induced by a velocity step δ v across the maximum baseline aperture N 1 d is:
Δ Φ = 4 π λ δ v N 1 d 2 v s
To satisfy the coherent imaging requirement (typically Δ Φ < π / 4 ), the upper bound of the step size is derived as:
δ v λ v s 8 N 1 d
In practical implementation, a step size satisfying this inequality is selected to guarantee that the estimator captures the global minimum of the cost function without ambiguity-induced skipping.

3.4. Motion-Compensated Spectrum Reconstruction

Once v r is estimated, the MCSR is executed to resolve the azimuth ambiguities.

3.4.1. Failure Mechanism Analysis

The multi-channel reconstruction in this framework is based on Space-Time Adaptive Processing (STAP). The STAP algorithm utilizes a theoretical weight vector w i to extract the signal from specific Doppler ambiguities. The methodology is effective for static targets. However, as visually demonstrated in Figure 4, the uncompensated motion error Φ e r r (derived in Section 3.2) rotates the signal subspace. This introduces a severe mismatch between the actual signal steering vector and the theoretical weight vector of the STAP filter. Consequently, the filter fails to suppress the ambiguous components, resulting in significant energy leakage into ambiguous regions, as shown in the bottom panel of Figure 4.

3.4.2. Pre-Reconstruction Compensation

To rectify this, an inverse phase correction is applied to the raw data before the reconstruction step. Based on the estimated velocity v ^ r , a compensation filter H c o m p n is constructed as the complex conjugate of the error term derived in Equation (6):
H c o m p n = exp j 4 π λ v ^ r n 1 d 2 v s
The raw echo S n ( η ) of the n-th channel is multiplied by this factor to obtain the compensated signal:
S n c o m p η = S n η H c o m p n = S n η exp j 4 π λ v ^ r n 1 d 2 v s
This operation effectively realigns the phase centers of the multi-channel, converting the motion-affected model into an equivalent stationary one.

3.4.3. Ambiguity Resolving and RD Imaging

With the phase error eliminated, the signal now allows for precise reconstruction. The steering vector α i f a of the i -th ambiguous component is written as:
α i f a = 1 exp j 2 π f a + i f p d 2 v s exp j 2 π f a + i f p N 1 d 2 v s
To extract the specified component adaptively and suppress the energy of signals in other components, the weight vector ω i f a should satisfy the following condition:
min ω i H f a R ω i f a s . t . ω i H f a α i f a = 1
Under the constraint of Equation (21), the weight vector can be calculated as:
ω i f a = R 1 α i f a α i H f a R 1 α i f a
where 1 is the operation of matrix inversion. Consequently, the STAP algorithm iterates through each azimuth frequency bin and ambiguity component to estimate the sampling covariance matrix of the signal at each azimuth frequency point, and calculates the inverse of the matrix. All ambiguity components are extracted using Equation (22) and concatenated into an unambiguous spectrum.
Finally, the unambiguous high-PRF spectrum S out ( f a ) is recovered by summing the extracted components:
S o u t f a = i = L L w i f a S v e c f a
Without the pre-compensation in Section 3.4.3, the actual steering vector of the moving target would deviate from a i f a , causing the STAP filter to fail. By applying our proposed compensation, the target matches the theoretical model a i f a , ensuring precise reconstruction.
After reconstruction, the signal is processed using the Range-Doppler (RD) algorithm for focusing.

4. Simulation Results

To validate the proposed imaging framework, numerical simulations are conducted progressively. The focus is first placed on the static targets to verify the fundamental reconstruction capability, followed by micro-motion targets to evaluate the motion compensation performance. The key parameters for the simulated AMC SAL system are listed in Table 2. It is worth noting that in the dechirp receiving mode, the 30 GHz signal bandwidth is compressed into 1 MHz, so the 4 MHz sampling rate satisfies the Nyquist sampling criterion.

4.1. Validation of Static Multi-Channel Reconstruction

In this subsection, the system baseline is established under static conditions v r = 0 . To validate the effectiveness of the proposed reconstruction algorithm in handling non-uniform sampling, a comparative study involving three scenarios is conducted: an ideal uniform sampling case, a non-uniform sampling case without reconstruction, and the proposed reconstruction case.
To quantitatively evaluate the imaging quality and the suppression of azimuth ambiguities, the AASR metric is adopted, defined in Section 3.3 (Equation (13)) as the key performance indicator. A lower AASR indicates better ghost suppression.

4.1.1. Simulation Results and Analysis

Case A: Ideal Uniform Sampling
First, a theoretical baseline is established by simulating an ideal scenario where the system parameters perfectly satisfy the uniform sampling theorem. In this ideal case, the azimuth spectrum is strictly band-limited and unambiguous. The focused point target is compact and symmetric, and the azimuth impulse response exhibits a standard Sinc function shape with an AASR below −30 dB. Although the specific plots are omitted for brevity, this performance serves as the reference for evaluating the following non-uniform sampling scenarios.
Case B: Non-Uniform Sampling without Reconstruction
In practice, the actual multi-channel parameters often fail to satisfy the uniform sampling condition. The data is directly interleaved and imaged without applying the reconstruction filters.
Figure 5a displays the magnitude of the raw heterodyne echo data in the time domain. When this non-uniform data is directly processed, the resulting Azimuth Compress image in Figure 5b exhibits energy dispersion and defocusing. The severity of the ambiguities is most evident in the ambiguity intensity profile shown in Figure 5c. Paired ambiguities appear symmetrically around the true target position with high intensity AASR 20.1   dB . This confirms that direct processing fails to meet the imaging requirements.
Case C: Non-Uniform Sampling with Proposed Reconstruction.
Figure 6 demonstrates the effectiveness of the reconstruction. Figure 6a shows the corrected Azimuth Compress result, where the data appears clean and well-focused, visually identical to the ideal Case A. Crucially, the ambiguity intensity profile in Figure 6b confirms that the ambiguous targets observed in Figure 5b are effectively suppressed to the noise floor, significantly improving the AASR to below −30 dB.
To further assess the resolution capabilities, Figure 6c and Figure 6d present the detailed imaging envelopes (interpolated slices) in the azimuth and range directions, respectively. Both profiles exhibit precise Sinc-function shapes with narrow main lobes and low side lobes. The consistency in the range profile (Figure 6d) further verifies that the azimuth reconstruction process preserves the phase integrity of the wideband signal, demonstrating the robustness of the proposed framework. To rigorously evaluate the focusing quality, Figure 6e presents the 2D contour plot of the target after 16× interpolation. The result exhibits a highly compact and symmetric main lobe with negligible side lobe asymmetry, demonstrating that the proposed framework achieves high-precision imaging suitable for wide-swath applications.

4.1.2. Summary

The comparative analysis verifies that the hardware-induced non-uniform sampling introduces severe ambiguities if left uncorrected. The proposed static reconstruction module effectively resolves the azimuth ambiguities caused by non-uniform sampling, restoring the signal quality to the ideal uniform sampling standard and providing a reliable foundation for the subsequent motion compensation simulations.

4.2. Motion Sensitivity Analysis and Robust Imaging Using MAASR

Building upon the static system validation, this subsection addresses the critical challenge of non-cooperative target motion. In the optical band, the extremely short wavelength makes the AMC reconstruction highly sensitive to radial velocity.

4.2.1. Motion Sensitivity and the MAASR Criterion

As defined in Section 3.3, the MAASR strategy exploits the high sensitivity of optical SAL to radial velocity. To verify this characteristic and the estimator’s precision, the performance of the MAASR criterion is evaluated.
Figure 7 plots the MAASR cost function against the trial velocity. The curve exhibits a sharp “V-shape” valley, confirming the theoretical analysis that SAL is extremely sensitive to phase errors.
When the trial velocity deviates from the true value, the AASR degrades rapidly. The global minimum converges to 0.98 mm/s. Although there is a minor deviation from the ground truth 1.0   mm/s due to the discrete step size, this residual error of 0.02   mm/s falls well within the depth of focus of the synthetic aperture. Consequently, the residual phase error is negligible and does not impair the subsequent imaging quality. Regarding computational complexity, executing this global optimization inherently introduces a higher burden than single-pass standard RD processing. However, quantitative evaluation demonstrates its practical feasibility. Tested on a standard workstation (Intel Core i7-13650HX CPU, 16 GB RAM) using MATLAB R2023b, processing a 678 × 528 multi-channel data matrix with 351 velocity search grids takes approximately 18.3 s. Furthermore, since the cost function evaluation for each trial velocity is completely independent, this optimization procedure is highly parallelizable, meaning the computational overhead can be significantly minimized in future hardware-accelerated implementations.

4.2.2. Simulation and Verification

With the velocity estimation confirmed in Section 4.2.1, the final imaging performance is now validated in a noise-free environment.
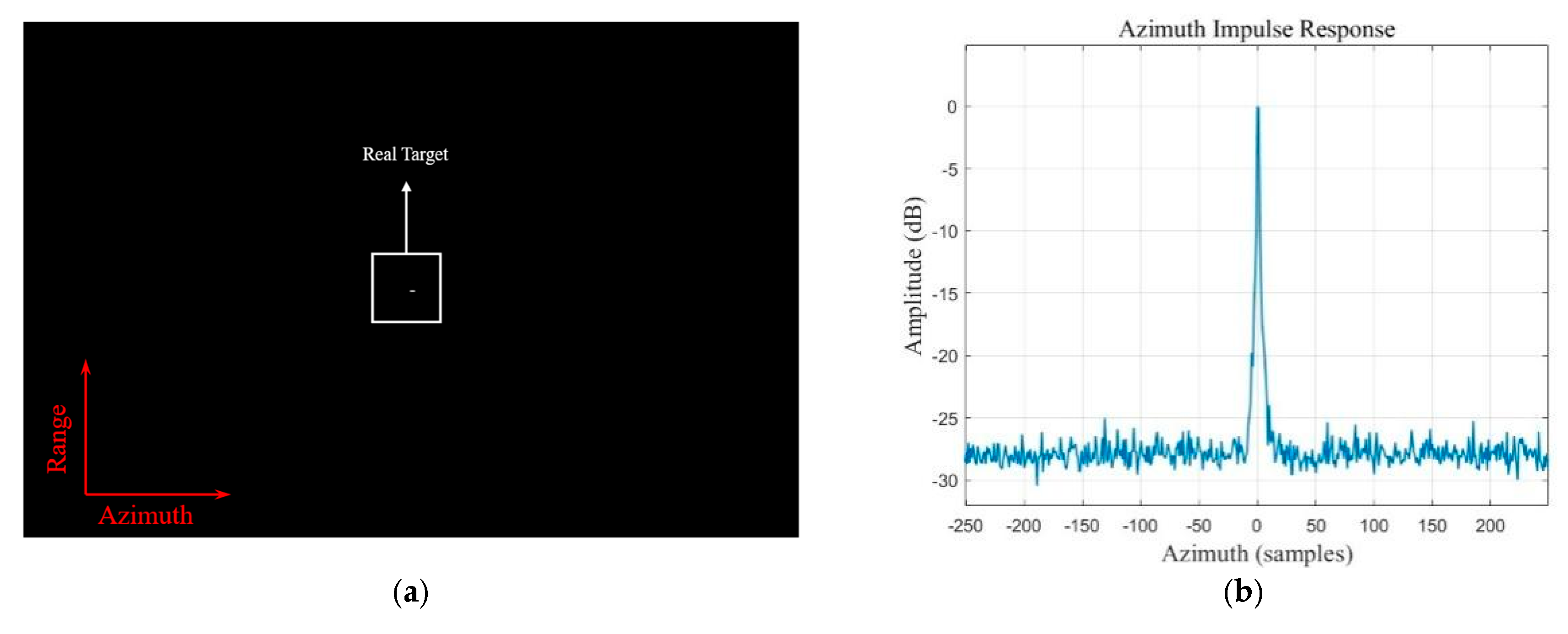
Figure 8 illustrates the imaging failure when the target’s motion of 1.0   mm/s is ignored during processing. The 2D image (Figure 8a) exhibits severe defocusing with distinct, discrete, and ambiguous targets, confirming that standard processing fails.
To highlight the geometric distortion (Figure 8b), the azimuth profile of the uncompensated target (Blue line) is overlaid with the Ideal Static Reference (Red line) derived from Section 4.1. A clear azimuth position shift of −42 samples is observed alongside high-intensity ambiguous targets. This demonstrates that even a small velocity induces both severe ambiguities and significant location errors.
Instead of presenting repetitive compensated images here, which are visually similar to the robust results in the next subsection, the restoration performance is summarized in Table 3. These metrics are registered from the compensated result in this noise-free scenario.
To provide a rigorous quantitative assessment, Table 3 summarizes the key imaging metrics derived from the simulation. In the uncompensated case, the target motion induces severe quality degradation, characterized by a high ghost intensity of −2.90 dB, indicating severe ambiguities and a significant azimuth position shift of −42 samples.
In contrast, the proposed method effectively reduces the Azimuth Position Error to 0 sample and suppresses the ghost intensity to the noise floor (<−40 dB). Furthermore, the recovered ISLR (−13.24 dB) is virtually identical to the Ideal Static reference. These metrics quantitatively confirm that the proposed framework achieves high-precision imaging and effectively eliminates motion-induced ambiguities.

4.2.3. Robustness Analysis Under Non-Uniform Sampling

To explicitly demonstrate the applicability and robustness of the proposed method under varying system configurations, a simulation involving a moving target under non-uniform sampling conditions is conducted.
Figure 9a shows the azimuth imaging envelope of the moving target under practical non-uniform sampling conditions without applying the proposed method, where severe azimuth ambiguities can be clearly observed. Figure 9b illustrates the imaging result when only target motion compensation is considered. In this case, high-intensity ghost targets (with an AASR of approximately −19.21 dB) remain because the non-uniform sampling issue is unresolved. Figure 9c presents the result of the proposed method, which sequentially performs motion compensation and reconstruction for the actual non-uniform sampling scenario. The target is perfectly focused, and the azimuth ambiguities are successfully suppressed to the noise floor.
Therefore, these comparative results highlight the crucial importance of the reconstruction module in overcoming non-uniform sampling under practical conditions. By integrating this module, the proposed framework demonstrates broad applicability, remaining robust under varying system configurations such as changes in channel numbers and baselines.

4.2.4. Robustness Analysis Under Rayleigh Fading Noise

In practical SAL applications, the imaging results are inevitably corrupted by noise and clutter. To evaluate the robustness of the proposed method, Rayleigh distributed clutter is introduced in the image domain. It is worth noting that the complex clutter introduced here inherently encompasses both amplitude fluctuations and uniformly distributed random phase variations, effectively emulating the phase noise typically encountered in SAL systems.
To verify the method’s capability to extract motion parameters from clutter, Figure 10 plots the AASR cost function against the estimated radial velocity at an SNR of 25 dB. As shown in Figure 10, the raw cost function (light blue trace) is severely corrupted by Rayleigh fading noise, exhibiting dense fluctuations that could easily lead to false detections. In contrast, the smoothed curve (dark blue trace) demonstrates the effectiveness of the proposed method in suppressing these high-frequency perturbations. This robust smoothing ensures a distinct global minimum, enabling the search strategy within the estimation interval (orange) to accurately locate the target velocity at 1.0100 mm/s (marked by the red star).
With the radial velocity determined as 1.0100   mm/s , the image formation stage is subsequently executed to validate the compensation efficacy. Figure 11 presents the imaging results under this noisy condition, where SNR = 25   dB .
Even with background noise, the target in Figure 11a appears as a highly concentrated bright spot. The high brightness indicates that the algorithm achieves significant coherent processing gain, effectively pulling the signal energy out of the noise floor.
The azimuth profile in Figure 11b confirms the quality. Although the noise floor rises, the main lobe remains sharp with a negligible Azimuth Position Error ( 0 samples), and the motion-induced ambiguous targets do not re-emerge above the noise. The effective AASR is constrained only by the noise level, verifying the method’s reliability in practical scenarios.
To further rigorously quantify the robustness of the proposed framework, Monte Carlo simulations were conducted across a broad range of SNR levels (15–45 dB). Specifically, 200 independent trials were executed for each SNR condition, and the average results were calculated to generate the performance curves. Figure 12 illustrates the evolution of the velocity estimation accuracy and imaging quality.
It can be observed that the velocity error is maintained at a very low level when the SNR exceeds 25 dB. Notably, for SNRs exceeding 16 dB, the estimator successfully enters the effective focusing zone highlighted in green. In this range, the motion-induced Azimuth Position Error is rendered negligible ( 0 samples), which explicitly demonstrates the superiority of the proposed correction. Furthermore, at high SNR levels (>40 dB), the error converges significantly to less than 0.005 mm/s.
Simultaneously, the AASR metric demonstrates a decline from −14.81 dB to −45.13 dB as SNR increases. The response confirms that the proposed MAASR criterion successfully decouples the signal from complex background interference comprising both amplitude clutter and severe random phase noise, enabling ambiguity suppression and precise localization under non-extreme noise conditions.

4.3. Comparative Sensitivity Analysis: SAL vs. SAR

Having validated the robustness of the proposed framework under varying noise conditions, it is crucial to further explicitly quantify why the motion compensation requirements for SAL are significantly more stringent than those for SAR. Compared to AMC SAR, the orders-of-magnitude difference in operating wavelength in AMC SAL imposes distinct signal processing challenges. To strictly quantify these differences and highlight the unique difficulties of SAL, this subsection conducts a comparative sensitivity analysis.

4.3.1. Simulation Results and Discussion

A comparative simulation environment was established. The SAL parameters remain consistent with Table 2. For the SAR benchmark, a typical airborne X-band multi-channel SAR system was simulated. The key parameters are listed in Table 4.

4.3.2. Sensitivity to Channel Phase Errors

Figure 13a illustrates the impact of residual channel phase errors on imaging quality. Random phase errors following a uniform distribution within [ p ,   p ] were added to each channel relative to the reference. Monte Carlo simulations (200 trials per point) were performed to obtain the average AASR.
Both systems exhibit performance degradation as the phase error increases. However, the degradation slope for SAL (Red line) is significantly steeper than that for SAR (Blue line). Due to the micron-level wavelength of SAL λ 1   μm , a minute optical path difference translates into a substantial phase rotation. Consequently, a phase error level that is negligible for SAR e.g.,   5 ° can lead to catastrophic ambiguities in SAL. This demonstrates that SAL imposes far more stringent requirements on channel calibration accuracy.
Sensitivity to Baseline Mismatch Figure 13b evaluates the sensitivity to baseline measurement errors. The mismatched baseline d = k d was used for steering vector construction during reconstruction, where k is the mismatch factor. Optimal performance is achieved only when k = 1 (perfect match). As the mismatch factor deviates from unity, the AASR deteriorates rapidly. Similar to the phase error, SAL exhibits heightened sensitivity to baseline inaccuracies compared to SAR. The tolerance margin for physical baseline errors in SAL is extremely narrow, necessitating precise mechanical stability and software-based geometric calibration.

4.3.3. Summary of Comparison

The comparative results quantitatively confirm that while the AMC architecture enables wide-swath imaging, it introduces extreme sensitivity to hardware imperfections in the optical band. This validates the necessity of the proposed high-precision reconstruction and motion compensation framework presented in this paper.

5. Conclusions

This paper proposes a robust imaging framework for AMC SAL based on the MAASR criterion. The advantages of this framework are summarized as follows: (1) It establishes a high-precision dechirp signal model that compensates for the RVP, ensuring accurate range focusing for ultra-wideband signals. (2) The proposed MAASR strategy overcomes traditional autofocus limitations, achieving sub-millimeter velocity estimation accuracy of <0.05 mm/s and effective ambiguity suppression. (3) Quantitative analysis proves SAL is orders of magnitude more sensitive to phase and baseline errors than SAR, theoretically validating the necessity of this calibration. (4) The proposed approach achieves centimeter-level resolution, which enables finer resolution than SAR, and effectively restores the focused image of micro-motion targets. Simulation results demonstrate that the proposed method has excellent performance when the SNR is higher than 20 dB.
However, this method also has some limitations. First, in scenes with extremely low SNR, the estimation accuracy may degrade. Second, when multiple non-cooperative targets are located within the same range gate, the overlapping signals and the dominance of the primary target’s spectral signature may hinder the optimal motion parameter estimation for weaker targets. Additionally, the velocity estimation range is currently limited to the first blind speed determined by a single PRF, which may lead to ambiguity for high-speed targets.
In the future, this method is expected to extend the velocity estimation range and explore advanced space-time signal separation or image segmentation to isolate individual components in scenes with multiple targets and conduct validation through airborne flight trials if conditions permit.

Author Contributions

Conceptualization, X.T. and J.Y.; methodology, X.T. and J.Y.; software, X.T. and J.Y.; validation, X.T. and J.Y.; formal analysis, X.T.; investigation, X.T., J.Y. and Y.Z.; resources, J.Y.; data curation, J.Y.; writing—original draft preparation, X.T.; writing—review and editing, X.T. and J.Y.; visualization, X.T.; supervision, Y.Z.; project administration, J.Y.; funding acquisition, J.Y. All authors have read and agreed to the published version of the manuscript.

Funding

This research was funded by the Natural Science Foundation of the Jiangsu Higher Education Institutions of China, grant number 23KJB510028.

Data Availability Statement

The original contributions presented in the study are included in the article, further inquiries can be directed to the corresponding author.

Conflicts of Interest

The authors declare no conflicts of interest. The funders had no role in the design of the study; in the collection, analyses, or interpretation of data; in the writing of the manuscript; or in the decision to publish the results.

References

  1. Yang, J.; Qiu, X.; Shang, M.; Lv, S.; Zhong, L.; Ding, C. Radial Velocity Estimation of Ships on Open Sea in the Azimuth Multichannel SAR System. IEEE J. Sel. Top. Appl. Earth Obs. Remote Sens. 2021, 14, 3787–3798. [Google Scholar] [CrossRef]
  2. Liu, M.; Shang, R.; Liu, K.; Feng, J.; Wang, C.; Xu, S.; Li, Y. Edge-Enhanced Cascaded MRF for SAR Image Segmentation. IEEE Trans. Geosci. Remote Sens. 2025, 63, 5210011. [Google Scholar] [CrossRef]
  3. Shang, R.; Liu, M.; Lin, J.; Feng, J.; Li, Y.; Stolkin, R.; Jiao, L. SAR Image Segmentation Based on Constrained Smoothing and Hierarchical Label Correction. IEEE Trans. Geosci. Remote Sens. 2021, 60, 5102216. [Google Scholar] [CrossRef]
  4. Pellizzari, C.J.; Trahan, R.; Zhou, H.; Williams, S.; Williams, S.E.; Nemati, B.; Shao, M.; Bouman, C.A. Synthetic Aperature LADAR: A Model-Based Approach. IEEE Trans. Comput. Imaging 2017, 4, 901–916. [Google Scholar] [CrossRef]
  5. Zhang, K.; Wu, Y. 3D reconstruction of range scanning synthetic aperture lidar targets. Infrared Laser Eng. 2019, 48, 330001. [Google Scholar] [CrossRef]
  6. Lewis, T.S.; Hutchins, H.S. Synthetic aperture at optical frequencies. Proc. IEEE 1970, 58, 587–588. [Google Scholar] [CrossRef]
  7. Beck, S.M.; Buck, J.R.; Buell, W.F.; Dickinson, R.P.; Wright, T.J. Synthetic-aperture imaging laser radar: Laboratory demonstration and signal processing. Appl. Opt. 2005, 44, 7621–7629. [Google Scholar] [CrossRef]
  8. Wang, R.; Liu, H.; Jiu, B.; Wang, B. SAL vibration estimation and compensation based on triangular interferometric signals. Opt. Express 2024, 32, 2539–2553. [Google Scholar] [CrossRef]
  9. Krause, B.W.; Buck, J.; Ryan, C.; Hwang, D.; Kondratko, P.; Malm, A.; Gleason, A.; Ashby, S. Synthetic aperture ladar flight demonstration. In Proceedings of the Conference on Lasers and Electro-Optics: Laser Applications to Photonic Applications, Baltimore, MD, USA, 1–6 May 2011. [Google Scholar]
  10. Liang, G.; Wang, D.; Li, X.; Yin, H.; Xing, M. Wide-scene airborne ladar imaging exploiting the synthetic aperture technique with terrain observation by progressive scans. Opt. Eng. 2018, 57, 016110. [Google Scholar] [CrossRef]
  11. Currie, A.; Brown, M.A. Wide-swath SAR. IEE Proc. F Commun. Radar Signal Process. 1992, 139, 122–135. [Google Scholar] [CrossRef]
  12. Wu, B.; Liu, C.; Chen, J. A Review of Spaceborne High-Resolution Spotlight/Sliding Spotlight Mode SAR Imaging. Remote Sens. 2025, 17, 38. [Google Scholar] [CrossRef]
  13. Mittermayer, J.; Lord, R.; Bömer, E. Sliding spotlight SAR processing for TerraSAR-X using a new fon-nulation of the extended chirp scaling algorithm. In Proceedings: Learning from Earth’s Shapes And Sizes, Proceedings of the IGARSS 2003: IEEE International Geoscience and Remote Sensing Symposium; IEEE: New York, NY, USA, 2003; Volumes I–VII, pp. 1462–1464. [Google Scholar]
  14. Ribeiro, J.P.T.; Kraus, T.; Bachmann, M.; Krieger, G.; Moreira, A. Ultra-Wide-Swath SAR Imaging Enabled by Multiple-Elevation-Beam F-Scan with Two-Burst ScanSAR. IEEE Trans. Geosci. Remote Sens. 2026, 64, 5202912. [Google Scholar]
  15. Sun, G.; Xing, M.; Wang, Y.; Wu, Y.; Wu, Y.; Bao, Z. Sliding spotlight and TOPS SAR data processing without subaperture. IEEE Geosci. Remote Sens. Lett. 2011, 8, 1036–1040. [Google Scholar] [CrossRef]
  16. Tang, Y.; Qin, B.; Yan, Y.; Xing, M. Multiple-input multiple-output synthetic aperture ladar system for wide-range swath with high azimuth resolution. Appl. Opt. 2016, 55, 1401–1405. [Google Scholar] [CrossRef] [PubMed]
  17. Liang, G.; Xu, Q.; Li, X.; Zeng, X.; Tang, Y. Multi-channel scan mode and imaging algorithm for synthetic aperture ladar. Optik 2018, 155, 225–232. [Google Scholar] [CrossRef]
  18. Kriger, G.; Gebert, N.; Moreira, A. Unambiguous SAR signal reconstruction from nonuniform displaced phase center sampling. IEEE Geosci. Remote Sens. Lett. 2004, 1, 260–264. [Google Scholar] [CrossRef]
  19. Chen, X.; Kai, J.; Kai, W. Research progress of synthetic aperture ladar techniques. Opto-Electron. Eng. 2024, 51, 240007. [Google Scholar]
  20. Shi, R.; Zhao, J.; Wang, D.; Li, W.; Wang, Y.; Wang, B.; Xiang, M. Nonlinear Phase Reconstruction and Compensation Method Based on Orthonormal Complete Basis Functions in Synthetic Aperture Ladar Imaging Technology. Remote Sens. 2025, 17, 1480. [Google Scholar] [CrossRef]
  21. Shi, R.; Sun, G.; Wang, Y.; Li, W.; Xiang, M.; Zhao, J. Research on Frequency-Modulated Continuous Wave Inverse Synthetic Aperture Ladar Imaging Based on Digital Delay. Remote Sens. 2025, 17, 751. [Google Scholar] [CrossRef]
  22. Yin, H.; Li, Y.; Guo, L.; Li, S.; Wang, X.; Han, L.; Xing, M. Spaceborne ISAL Imaging Algorithm for High-Speed Moving Targets. IEEE J. Sel. Top. Appl. Earth Obs. Remote Sens. 2023, 16, 7486–7496. [Google Scholar] [CrossRef]
  23. Shi, R.; Li, W.; Dong, Q.; Wang, B.; Xiang, M.; Wang, Y. Synthetic Aperture Ladar Motion Compensation Method Based on Symmetric Triangle Linear Frequency Modulation Continuous Wave Segmented Interference. Remote Sens. 2024, 16, 793. [Google Scholar] [CrossRef]
  24. Wang, J.; Li, Y.; Song, M.; Huang, P.; Xing, M. Noise robust high-speed motion compensation for ISAR imaging based on parametric minimum entropy optimization. Remote Sens. 2022, 14, 2178. [Google Scholar] [CrossRef]
  25. Gebert, N.; Kriger, G.; Moreira, A. Digital Beamforming on Receive: Techniques and Optimization Strategies for High-Resolution Wide-Swath SAR Imaging. IEEE Trans. Aerosp. Electron. Syst. 2009, 45, 564–592. [Google Scholar] [CrossRef]
  26. Bamler, R. A comparison of range-Doppler and wavenumber domain SAR focusing algorithms. IEEE Trans. Geosci. Remote Sens. 2002, 30, 706–713. [Google Scholar] [CrossRef]
Figure 1. AMC SAL imaging geometry.
Figure 1. AMC SAL imaging geometry.
Remotesensing 18 01100 g001
Figure 2. Schematic diagram of the AMC SAL uniform sampling.
Figure 2. Schematic diagram of the AMC SAL uniform sampling.
Remotesensing 18 01100 g002
Figure 3. Flowchart of the proposed robust wide-swath SAL imaging framework, integrating RVP compensation, MAASR-based velocity estimation, and MCSR.
Figure 3. Flowchart of the proposed robust wide-swath SAL imaging framework, integrating RVP compensation, MAASR-based velocity estimation, and MCSR.
Remotesensing 18 01100 g003
Figure 4. Schematic illustration of the spectrum reconstruction failure mechanism induced by non-cooperative target motion.
Figure 4. Schematic illustration of the spectrum reconstruction failure mechanism induced by non-cooperative target motion.
Remotesensing 18 01100 g004
Figure 5. Imaging results of Case B (Non-uniform sampling without reconstruction). (a) Raw heterodyne received echo data in the time domain; (b) 2D Azimuth compress result exhibiting ambiguities; (c) Azimuth ambiguity intensity profile, showing high-level azimuth ambiguities.
Figure 5. Imaging results of Case B (Non-uniform sampling without reconstruction). (a) Raw heterodyne received echo data in the time domain; (b) 2D Azimuth compress result exhibiting ambiguities; (c) Azimuth ambiguity intensity profile, showing high-level azimuth ambiguities.
Remotesensing 18 01100 g005
Figure 6. Imaging results of Case C. (a) 2D Azimuth compress result after reconstruction; (b) Azimuth ambiguity intensity profile showing ghost suppression; (c) Detailed azimuth imaging envelope; (d) Detailed range imaging envelope; (e) The imaging results of the point target after 16 times interpolation.
Figure 6. Imaging results of Case C. (a) 2D Azimuth compress result after reconstruction; (b) Azimuth ambiguity intensity profile showing ghost suppression; (c) Detailed azimuth imaging envelope; (d) Detailed range imaging envelope; (e) The imaging results of the point target after 16 times interpolation.
Remotesensing 18 01100 g006aRemotesensing 18 01100 g006b
Figure 7. Velocity estimation curve based on the MAASR Criterion. The red star indicates the optimal estimated radial velocity corresponding to the MAASR.
Figure 7. Velocity estimation curve based on the MAASR Criterion. The red star indicates the optimal estimated radial velocity corresponding to the MAASR.
Remotesensing 18 01100 g007
Figure 8. Imaging quality comparison of the moving target ( v r   =   1   mm/s ) in a noise-free environment. (a) 2D Azimuth compress result exhibiting ambiguities; (b) Azimuth impulse response comparison.
Figure 8. Imaging quality comparison of the moving target ( v r   =   1   mm/s ) in a noise-free environment. (a) 2D Azimuth compress result exhibiting ambiguities; (b) Azimuth impulse response comparison.
Remotesensing 18 01100 g008
Figure 9. Imaging quality comparison of the moving target under non-uniform sampling conditions. (a) Azimuth impulse response of the uncompensated target; (b) Azimuth impulse response with only motion compensation; (c) Azimuth impulse response of the proposed method.
Figure 9. Imaging quality comparison of the moving target under non-uniform sampling conditions. (a) Azimuth impulse response of the uncompensated target; (b) Azimuth impulse response with only motion compensation; (c) Azimuth impulse response of the proposed method.
Remotesensing 18 01100 g009
Figure 10. The velocity estimation cost function under noise conditions (SNR = 25 dB). The red star indicates the estimated radial velocity corresponding to the MAASR.
Figure 10. The velocity estimation cost function under noise conditions (SNR = 25 dB). The red star indicates the estimated radial velocity corresponding to the MAASR.
Remotesensing 18 01100 g010
Figure 11. Robustness validation under Rayleigh fading noise SNR = 25   dB . (a) Focused 2D image showing high coherent processing gain (bright spot); (b) Azimuth impulse response showing that ambiguous targets remain suppressed below the noise floor.
Figure 11. Robustness validation under Rayleigh fading noise SNR = 25   dB . (a) Focused 2D image showing high coherent processing gain (bright spot); (b) Azimuth impulse response showing that ambiguous targets remain suppressed below the noise floor.
Remotesensing 18 01100 g011
Figure 12. Quantitative performance evaluation vs. SNR.
Figure 12. Quantitative performance evaluation vs. SNR.
Remotesensing 18 01100 g012
Figure 13. (a) The impact of phase error on the image quality of the AMC SAR and the AMC SAL; (b) The impact of baseline error on the image quality of the AMC SAR and the AMC SAL.
Figure 13. (a) The impact of phase error on the image quality of the AMC SAR and the AMC SAL; (b) The impact of baseline error on the image quality of the AMC SAR and the AMC SAL.
Remotesensing 18 01100 g013
Table 1. List of Symbols and Definitions.
Table 1. List of Symbols and Definitions.
ClassificationSymbolDescription
System Parameters v s Platform velocity along the azimuth direction
H Flight altitude of the platform
f 0 Carrier frequency of the transmitted signal
λ Optical wavelength ( c / f 0 )
f p Pulse Repetition Frequency (PRF)
T p Pulse duration
K r Linear Frequency Modulation (LFM) chirp rate
N Number of azimuth receiving channels
d Baseline distance between adjacent receiving channels
W g Imaging swath width
Signal and Geometry Model τ , η Fast time (range) and slow time (azimuth)
f r , f a Range frequency and azimuth (Doppler) frequency
R r e f Reference slant range (center of the scene) used for dechirp
R 0 Shortest slant range of the specific target
R Δ Differential slant range ( R n η R r e f )
v r Radial velocity of the non-cooperative target
τ d Effective time delay for the n -th channel due to baseline
Reconstruction and MAASR Algorithm H c o m p f r RVP compensation filter in the range frequency domain
Φ e r r Motion-induced inter-channel phase bias
J M A A S R v Cost function of the Minimum AASR Criterion (MAASR)
P a , P s Power of the ambiguity (ghost) and the main signal
α i f a Steering vector of the i -th ambiguous component
ω i f a Optimal weight vector for spectrum reconstruction
R Signal covariance matrix in STAP processing
Table 2. Main Parameters of the Simulated SAL.
Table 2. Main Parameters of the Simulated SAL.
ParameterValue
Wavelength1.05 μm
Signal bandwidth30 GHz
Imaging Swath Width0.5 m
Dechirped Signal Bandwidth1 MHz
Sampling rate4 MHz
Pulse width100 μs
Channel number3
Baseline0.01 m
Platform velocity100 m/s
Reference slant range14.14 km
PRF6.67 kHz
Doppler bandwidth20 kHz
Table 3. Quantitative Imaging Quality Comparison under Moving Target Scenario.
Table 3. Quantitative Imaging Quality Comparison under Moving Target Scenario.
MetricIdeal StaticUncompensatedProposed Method
Ghost Intensity (AASR)<−40 dB
(Noise Floor)
−2.90 dB
(Severe Ambiguities)
<−40 dB
(Suppressed)
Azimuth Position Error0 sample−42 samples 0 sample
ISLR−13.241 dB−3.85 dB−13.238 dB
Table 4. Main Parameters of the Simulated SAR.
Table 4. Main Parameters of the Simulated SAR.
ParameterValue
Wavelength0.0555 m
Signal bandwidth106 MHz
Sampling rate127.2 MHz
Pulse width30 μs
Channel number4
Baseline2.88 m
Platform velocity7614.8 m/s
Reference slant range900 km
PRF1198.8 Hz
Doppler bandwidth3807.4 kHz
Disclaimer/Publisher’s Note: The statements, opinions and data contained in all publications are solely those of the individual author(s) and contributor(s) and not of MDPI and/or the editor(s). MDPI and/or the editor(s) disclaim responsibility for any injury to people or property resulting from any ideas, methods, instructions or products referred to in the content.

Share and Cite

MDPI and ACS Style

Tang, X.; Yang, J.; Zhang, Y. Motion-Compensated Reconstruction for Azimuth Multi-Channel Synthetic Aperture Ladar: A Robust Framework for High-Resolution Wide-Swath Imaging. Remote Sens. 2026, 18, 1100. https://doi.org/10.3390/rs18071100

AMA Style

Tang X, Yang J, Zhang Y. Motion-Compensated Reconstruction for Azimuth Multi-Channel Synthetic Aperture Ladar: A Robust Framework for High-Resolution Wide-Swath Imaging. Remote Sensing. 2026; 18(7):1100. https://doi.org/10.3390/rs18071100

Chicago/Turabian Style

Tang, Xin, Junying Yang, and Yi Zhang. 2026. "Motion-Compensated Reconstruction for Azimuth Multi-Channel Synthetic Aperture Ladar: A Robust Framework for High-Resolution Wide-Swath Imaging" Remote Sensing 18, no. 7: 1100. https://doi.org/10.3390/rs18071100

APA Style

Tang, X., Yang, J., & Zhang, Y. (2026). Motion-Compensated Reconstruction for Azimuth Multi-Channel Synthetic Aperture Ladar: A Robust Framework for High-Resolution Wide-Swath Imaging. Remote Sensing, 18(7), 1100. https://doi.org/10.3390/rs18071100

Note that from the first issue of 2016, this journal uses article numbers instead of page numbers. See further details here.

Article Metrics

Back to TopTop