A Day–Night-Differentiated Method for Sea Surface Temperature Retrieval with Emissivity Correction
Highlights
- An emissivity-corrected, day–night-differentiated sea surface temperature (SST) retrieval method is developed by explicitly accounting for the angular and wind speed dependence of sea surface emissivity and integrating mid-infrared observations for nighttime retrieval.
- The proposed method achieves high and consistent SST accuracy under both daytime and nighttime conditions, outperforming fixed-emissivity and existing SST retrieval approaches, especially at large view zenith angles.
- Incorporating a physically consistent emissivity parameterization effectively reduces angular-dependent biases, significantly improving SST retrieval stability over rough sea surfaces and high-latitude regions.
- The synergistic use of mid-infrared and thermal infrared bands enhances resistance to atmospheric water vapor effects at night, providing a reliable solution for large-scale and long-term SST monitoring applications.
Abstract
1. Introduction
- An emissivity-corrected, day–night-differentiated SST retrieval framework is proposed to jointly address angular effects, surface roughness variability, and diurnal differences in atmospheric sensitivity.
- A simplified sea surface emissivity parameterization with wind speed grouping is developed, capturing the nonlinear wind speed dependence of emissivity at large view zenith angles with high efficiency.
- A MIR-TIR synergistic nighttime retrieval strategy is introduced, effectively suppressing water vapor interference and enhancing nighttime SST retrieval stability.
2. Datasets
2.1. EOS-MODIS Data
2.2. Simulated Data
2.3. ERA5 Reanalysis Data
2.4. Argo In Situ Data
3. Methodologies
3.1. Simplified Sea Surface Emissivity Model
3.2. Day–Night-Differentiated SST Retrieval Algorithm
4. Sensitivity Analysis
4.1. Uncertainty of Brightness Temperature
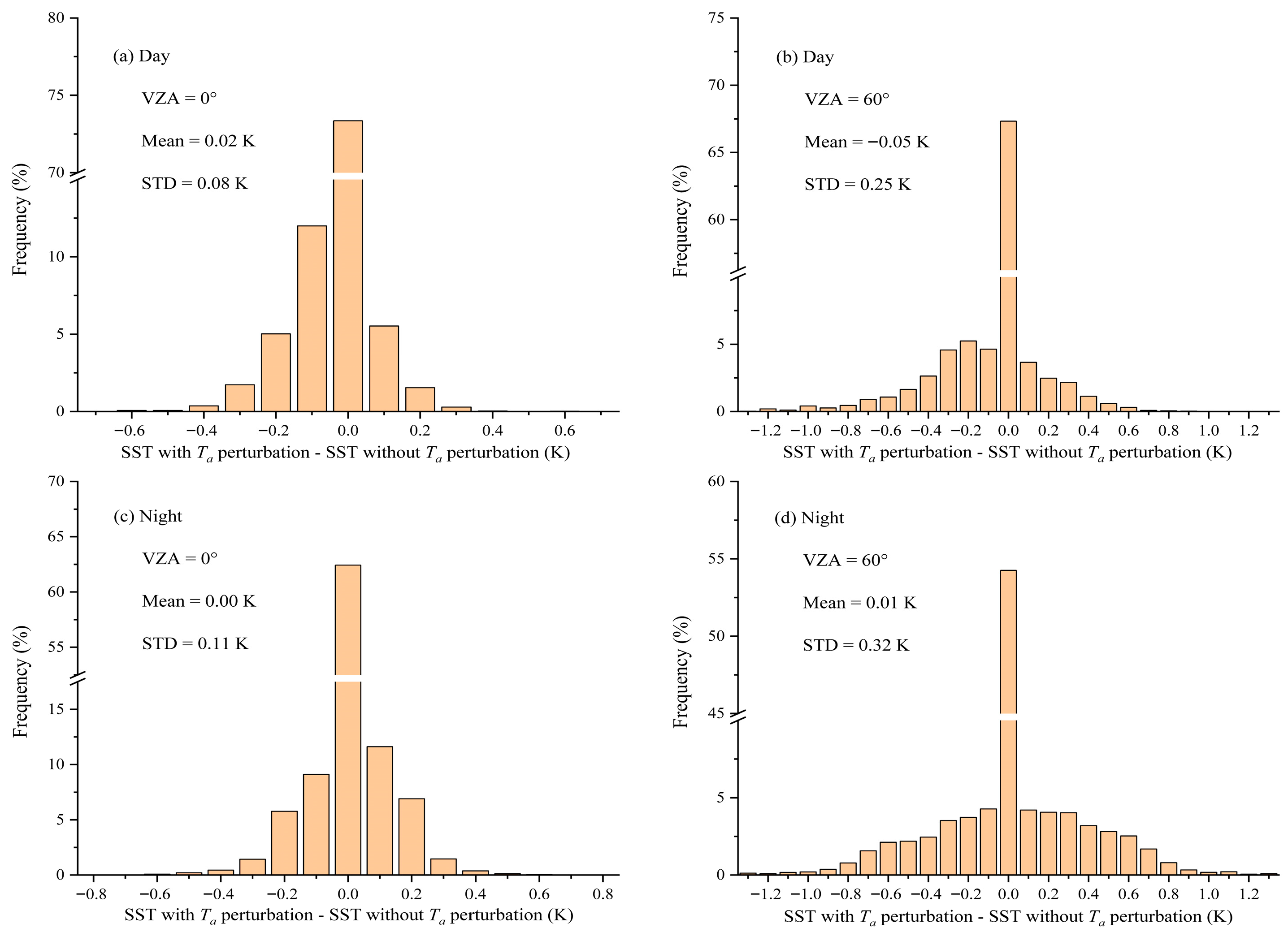
4.2. Uncertainty of Ta
4.3. Uncertainty of TCWV
4.4. Uncertainty of SSE
5. Results
5.1. T-Based Validation Against Argo In Situ SST
5.2. Cross-Validation with MODIS SST Product
6. Discussion
6.1. Accuracy Assessment of SST Retrieved Using Different SSE Models
6.2. Performance Comparison with Existing Method
7. Conclusions
Author Contributions
Funding
Data Availability Statement
Acknowledgments
Conflicts of Interest
Abbreviations
| SST | Sea surface temperature |
| TIR | Thermal infrared |
| SSE | Sea surface emissivity |
| SW | Split-window |
| AVHRR | Advanced very-high-resolution radiometer |
| MODIS | Moderate-resolution imaging spectroradiometer |
| MIR | Mid-infrared |
| VZA | View zenith angle |
| TOA | Top of the atmosphere |
| TCWV | Total column water vapor |
| REA5 | Fifth-generation atmospheric reanalysis |
| ECMWF | Medium-range weather forecasts |
| RMSE | Root mean square error |
| R2 | Determination coefficient |
| STD | Standard deviation |
References
- Kawai, Y.; Wada, A. Diurnal Sea surface temperature variation and its impact on the atmosphere and ocean: A review. J. Oceanogr. 2007, 63, 721–744. [Google Scholar] [CrossRef]
- Cai, W.; Santoso, A.; Collins, M.; Dewitte, B.; Karamperidou, C.; Kug, J.; Lengaigne, M. Changing El Niño–Southern Oscillation in a warming climate. Nat. Rev. Earth Environ. 2021, 2, 628–644. [Google Scholar] [CrossRef]
- Dunstone, N.; Smith, D.; Scaife, A.; Hermanson, L.; Eade, R.; Robinson, N.; Andrews, M.; Knight, J. Skilful predictions of the winter North Atlantic Oscillation one year ahead. Nat. Geosci. 2016, 9, 809–814. [Google Scholar] [CrossRef]
- Richardson, A.J.; Schoeman, D.S. Climate impact on plankton ecosystems in the Northeast Atlantic. Science 2004, 305, 1609–1612. [Google Scholar] [CrossRef]
- Polovina, J.J.; Howell, E.A.; Abecassis, M. Ocean’s least productive waters are expanding. Geophys. Res. Lett. 2008, 35, L03618. [Google Scholar] [CrossRef]
- Hughes, T.P.; Anderson, K.D.; Connolly, S.R.; Heron, S.F.; Kerry, J.T.; Lough, J.M.; Baird, A.H.; Baum, J.K.; Berumen, M.L.; Bridge, T.C.; et al. Spatial and temporal patterns of mass bleaching of corals in the Anthropocene. Science 2018, 359, 80–83. [Google Scholar] [CrossRef]
- Huang, J.; Ma, Z.; Liu, L.; Li, X.; Jiang, T. Perspectives and challenges on the interaction between tropical cyclone precipitation and the ocean: A review. Atmos. Ocean. Sci. Lett. 2025, 18, 100573. [Google Scholar] [CrossRef]
- Qin, Z.; Karnieli, A.; Berliner, P. A mono-window algorithm for retrieving land surface temperature from Landsat TM data and its application to the Israel-Egypt border region. Acta Geogr. Sin. 2001, 56, 456–466. [Google Scholar] [CrossRef]
- McMillin, L.M. Estimation of sea surface temperatures from two infrared window measurements with different absorption. J. Geophys. Res. 1975, 80, 5113–5117. [Google Scholar] [CrossRef]
- McClain, E.P.; Pichel, W.G.; Walton, C.C. Comparative performance of AVHRR-based multiband sea surface temperatures. J. Geophys. Res. Ocean. 1985, 90, 11587–11601. [Google Scholar] [CrossRef]
- Walton, C.C. Nonlinear multiband algorithms for estimating sea surface temperature with AVHRR satellite data. J. Appl. Meteorol. Climatol. 1988, 27, 115–124. [Google Scholar] [CrossRef]
- Kilpatrick, K.A.; Podestá, G.P.; Evans, R. Overview of the NOAA/NASA AVHRR Pathfinder algorithm for sea surface temperature and associated matchup database. J. Geophys. Res. Ocean. 2001, 106, 9179–9198. [Google Scholar] [CrossRef]
- Llewellyn-Jones, D.T.; Minnett, P.J.; Saunders, R.W.; Závody, A.M. Satellite multichannel infrared measurements of sea surface temperature of the N.E. Atlantic Ocean using AVHRR/2. Quart. J. Roy. Meteorol. Soc. 1984, 110, 613–631. [Google Scholar] [CrossRef]
- Xie, J.; Lee, Z.; Li, X.; Wang, D.; Zhang, C.; Wu, Y.; Yu, X.; Zheng, Z. Estimation of Sea Surface Temperature From Landsat-8 Measurements via Neural Networks. IEEE J. Sel. Top. Appl. Earth Observ. Remote Sens. 2024, 17, 16306–16315. [Google Scholar] [CrossRef]
- Masuda, K.; Takashima, T.; Takayama, Y. Emissivity of pure and sea waters for the model sea surface in the infrared window regions. Remote Sens. Environ. 1988, 24, 313–329. [Google Scholar] [CrossRef]
- Anding, D.; Kauth, R. Estimation of sea surface temperature from space. Remote Sens. Environ. 1970, 1, 217–220. [Google Scholar] [CrossRef]
- Niclòs, R.; Caselles, V.; Coll, C.; Valor, E. Determination of sea surface temperature at large observation angles using an angular and emissivity-dependent split-window equation. Remote Sens. Environ. 2007, 111, 107–121. [Google Scholar] [CrossRef]
- François, C.; Ottlé, C. Estimation of the angular variation of the sea surface emissivity with the ATSR/ERS-1 data. Remote Sens. Environ. 1994, 48, 302–308. [Google Scholar] [CrossRef]
- Jia, C.; Minnett, P.J. High latitude sea surface temperatures derived from MODIS infrared measurements. Remote Sens. Environ. 2020, 251, 112094. [Google Scholar] [CrossRef]
- Wilson, D.M. A Method of Computing Ship Contrast Temperatures Including Results Based on Weather Ship J Environment Data; Military Affairs: Singapore, 1979. [Google Scholar] [CrossRef]
- Cox, C.; Munk, W. Measurement of the roughness of the sea surface from photographs of the sun’s glitter. J. Opt. Soc. Amer. 1954, 44, 838–850. [Google Scholar] [CrossRef]
- Masuda, K. Infrared sea surface emissivity including multiple reflection effect for isotropic Gaussian slope distribution model. Remote Sens. Environ. 2006, 103, 488–496. [Google Scholar] [CrossRef]
- Saunders, P.M. Shadowing on the ocean and the existence of the horizon. J. Geophys. Res. 1967, 72, 4643–4649. [Google Scholar] [CrossRef]
- Wu, X.; Smith, W.L. Emissivity of rough sea surface for 8–13 µm: Modeling and verification. Appl. Opt. 1997, 36, 2609–2619. [Google Scholar] [CrossRef] [PubMed]
- Niclòs, R.; Valor, E.; Caselles, V.; Coll, C.; Sánchez, J.M. In situ angular measurements of thermal infrared sea surface emissivity-Validation of models. Remote Sens. Environ. 2005, 94, 83–93. [Google Scholar] [CrossRef]
- Ma, J.; Zhou, J.; Zhang, T.; Yang, J.; Long, Z.; Jiang, L. A simplified sea surface emissivity model for retrieving sea surface temperature from Sentinel-3A SLSTR data. IEEE Trans. Geosci. Remote Sens. 2024, 62, 5002413. [Google Scholar] [CrossRef]
- Niclòs, R.; Estrela, M.J.; Valiente, J.A.; Barberà, M.J. Proposal and validation of an emissivity-dependent algorithm to retrieve sea-surface temperature from MSG-SEVIRI data. IEEE Trans. Geosci. Remote Sens. 2010, 7, 786–790. [Google Scholar] [CrossRef]
- Barnes, W.L.; Pagano, T.S.; Salomonson, V.V. Prelaunch characteristics of the Moderate Resolution Imaging Spectroradiometer (MODIS) on EOS-AM1. IEEE Trans. Geosci. Remote Sens. 1998, 36, 1088–1100. [Google Scholar] [CrossRef]
- Zhang, Q.; Yuan, Q.; Li, J.; Li, Z.; Shen, H.; Zhang, L. Thick cloud and cloud shadow removal in multitemporal imagery using progressively spatio-temporal patch group deep learning. ISPRS J. Photogramm. Remote Sens. 2020, 162, 148–160. [Google Scholar] [CrossRef]
- Borbas, E.; Seemann, S.W.; Huang, H.; Li, J.; Menzel, W.P. Global profile training database for satellite regression retrievals with estimates of skin temperature and emissivity. In Proceedings of the XIV International ATOVS Study Conference, Beijing, China, 25–31 May 2005. [Google Scholar]
- Wolfe, R.E.; Nishihama, M.; Fleig, A.; Kuyper, J.; Roy, D.; Storey, J.; Patt, F. Achieving sub-pixel geolocation accuracy in support of MODIS land science. Remote Sens. Environ. 2002, 83, 31–49. [Google Scholar] [CrossRef]
- Vanhellemont, Q. Automated water surface temperature retrieval from Landsat 8/TIRS. Remote Sens. Environ. 2020, 237, 111518. [Google Scholar] [CrossRef]
- Jha, R.K.; Bhaskar, T.V.S.U. Generation and assessment of ARGO sea surface temperature climatology for the Indian Ocean region. J. Oceanogr. 2020, 76, 343–358. [Google Scholar] [CrossRef]
- Li, Z.; Liu, Z.; Xing, X. User Manual for Global Argo Observational Data Set (V3.0) (1997–2019); China Argo Real-Time Data Center: Hangzhou, China, 2019; 37p. [Google Scholar]
- Zhang, C.; Zhang, M.; Wang, Z.; Hu, S.; Wang, D.; Yang, S. Thermocline Model for Estimating Argo Sea Surface Temperature. Sustain. Mar. Struct. 2022, 4, 1–12. [Google Scholar] [CrossRef]
- Cleveland, W.S.; Devlin, S.J. Locally weighted regression: An approach to regression analysis by local fitting. J. Am. Stat. Assoc. 1988, 83, 596–610. [Google Scholar] [CrossRef]
- Ghanea, M.; Moradi, M.; Kabiri, K.; Mehran, P.; Alam, A.M. Investigation and validation of MODIS SST in the northern Persian Gulf. Adv. Space Res. 2016, 57, 127–136. [Google Scholar] [CrossRef]
- Ma, J.; Zhou, J.; Göttsche, F.; Liang, S.; Wang, S.; Li, M. A global long-term (1981–2000) land surface temperature product for NOAA AVHRR. Earth Syst. Sci. Data 2020, 12, 3247–3268. [Google Scholar] [CrossRef]
- Sun, D.; Pinker, R.T. Retrieval of surface temperature from the MSG—SEVIRI observations: Part I. Methodology. Int. J. Remote Sens. 2007, 28, 5255–5272. [Google Scholar] [CrossRef]
- Galve, J.M.; Coll, C.; Caselles, V.; Valor, E. An atmospheric radiosounding database for generating land surface temperature algorithms. IEEE Trans. Geosci. Remote Sens. 2008, 46, 1547–1557. [Google Scholar] [CrossRef]
- Sun, D.; Pinker, R.T. Estimation of land surface temperature from a Geostationary Operational Environmental Satellite (GOES-8). J. Geophys. Res. Atmos. 2003, 108, 4326. [Google Scholar] [CrossRef]
- Wan, Z.; Dozier, J. A generalized split-window algorithm for retrieving land-surface temperature from space. IEEE Trans. Geosci. Remote Sens. 1996, 34, 892–905. [Google Scholar] [CrossRef]
- Tang, B.-H. Nonlinear split-window algorithms for estimating land and sea surface temperatures from simulated Chinese Gaofen-5 satellite data. IEEE Trans. Geosci. Remote Sens. 2018, 56, 6280–6289. [Google Scholar] [CrossRef]
- Wan, Z.; Zhang, Y.; Li, Z.-L. Preliminary estimate of calibration of the Moderate Resolution Imaging Spectroradiometer thermal infrared data using Lake Titicaca. Remote Sens. Environ. 2002, 80, 497–515. [Google Scholar] [CrossRef]
- Chen, S.; Wang, Y.; Zhao, T.; Yang, K. Evaluation of 2-m air temperature and surface temperature from ERA5 and ERA-I using buoy observations in the Arctic during 2010–2020. Remote Sens. 2023, 15, 2143. [Google Scholar] [CrossRef]
- Gao, C.; Tang, B.-H.; Wu, H.; Jiang, X.; Li, Z.-L. A generalized split-window algorithm for land surface temperature estimation from MSG-2/SEVIRI data. Int. J. Remote Sens. 2020, 41, 961–989. [Google Scholar] [CrossRef]
- Ji, W.; Li, R.; Xue, W.; Cao, Z.; Yang, H.; Ning, Q.; Hu, X.; Liao, G. Evaluation of ERA5 wind parameter with in-situ data offshore China. PLoS ONE 2025, 20, e0317751. [Google Scholar] [CrossRef]
- Li, Z.-L.; Wu, H.; Duan, S.B.; Zhao, W.; Ren, H.; Liu, X.; Leng, P.; Tang, R.; Yan, X.; Zhu, J.; et al. Satellite remote sensing of global land surface temperature: Definition, methods, products and applications. Rev. Geophys. 2023, 61, e2022RG000777. [Google Scholar] [CrossRef]
- Duan, S.B.; Li, Z.-L.; Li, H.; Göttsche, F.-M.; Wu, H.; Zhao, W.; Leng, P.; Zhang, X.; Coll, C. Validation of Collection 6 MODIS land surface temperature product using in situ measurements. Remote Sens. Environ. 2019, 225, 16–29. [Google Scholar] [CrossRef]



















| Band Number | Center Wavelength (µm) | Bandwidth (µm) | (K) |
|---|---|---|---|
| 22 | 3.959 | 0.0594 | 0.07 |
| 23 | 4.050 | 0.0608 | 0.07 |
| 31 | 11.030 | 0.5000 | 0.05 |
| 32 | 12.020 | 0.5000 | 0.05 |
| Band | Model 1 | Model 2 | Model 3 | Model 4 | Model 5 | Model 6 | |
|---|---|---|---|---|---|---|---|
| RMSE | B22 | 0.0137 | 0.0069 | 0.0006 | 0.0004 | 0.0003 | 0.0005 |
| B23 | 0.0135 | 0.0068 | 0.0006 | 0.0004 | 0.0003 | 0.0005 | |
| B31 | 0.0085 | 0.0023 | 0.0005 | 0.0004 | 0.0002 | 0.0004 | |
| B32 | 0.0125 | 0.0056 | 0.0006 | 0.0005 | 0.0003 | 0.0005 | |
| R2 | B22 | −0.4844 | 0.6105 | 0.9970 | 0.9984 | 0.9992 | 0.9978 |
| B23 | −0.4844 | 0.6184 | 0.9970 | 0.9984 | 0.9992 | 0.9978 | |
| B31 | −0.5154 | 0.8875 | 0.9954 | 0.9966 | 0.9984 | 0.9966 | |
| B32 | −0.5147 | 0.6979 | 0.9968 | 0.9979 | 0.9991 | 0.9977 |
| Atmospheric Conditions | SST Fitting Error (RMSEs) (K) | ||
|---|---|---|---|
| Ta (K) | TCWV (g/cm2) | B22 | B23 |
| Cold | [0, 1.5] | 0.1225 | 0.1233 |
| [1, 2.5] | 0.1449 | 0.1486 | |
| Warm | [0, 1.5] | 0.1977 | 0.2080 |
| [1, 2.5] | 0.3044 | 0.3605 | |
| [2, 3.5] | 0.3660 | 0.5151 | |
| [3, 4.5] | 0.3890 | 0.6536 | |
| Hot | [0, 1.5] | 0.3861 | 0.4848 |
| [1, 2.5] | 0.4126 | 0.5528 | |
| [2, 3.5] | 0.4879 | 0.7604 | |
| [3, 4.5] | 0.5046 | 0.8998 | |
| [4, 5.5] | 0.4253 | 0.7549 | |
| [5, 6.5] | 0.3665 | 0.6069 | |
Disclaimer/Publisher’s Note: The statements, opinions and data contained in all publications are solely those of the individual author(s) and contributor(s) and not of MDPI and/or the editor(s). MDPI and/or the editor(s) disclaim responsibility for any injury to people or property resulting from any ideas, methods, instructions or products referred to in the content. |
© 2026 by the authors. Licensee MDPI, Basel, Switzerland. This article is an open access article distributed under the terms and conditions of the Creative Commons Attribution (CC BY) license.
Share and Cite
Gao, C.; Zhang, Q.; Meng, Y.; Wang, Y.; Li, W.; Zhao, E.; Zhao, Y. A Day–Night-Differentiated Method for Sea Surface Temperature Retrieval with Emissivity Correction. Remote Sens. 2026, 18, 604. https://doi.org/10.3390/rs18040604
Gao C, Zhang Q, Meng Y, Wang Y, Li W, Zhao E, Zhao Y. A Day–Night-Differentiated Method for Sea Surface Temperature Retrieval with Emissivity Correction. Remote Sensing. 2026; 18(4):604. https://doi.org/10.3390/rs18040604
Chicago/Turabian StyleGao, Caixia, Qinghua Zhang, Yaru Meng, Yun Wang, Wan Li, Enyu Zhao, and Yongguang Zhao. 2026. "A Day–Night-Differentiated Method for Sea Surface Temperature Retrieval with Emissivity Correction" Remote Sensing 18, no. 4: 604. https://doi.org/10.3390/rs18040604
APA StyleGao, C., Zhang, Q., Meng, Y., Wang, Y., Li, W., Zhao, E., & Zhao, Y. (2026). A Day–Night-Differentiated Method for Sea Surface Temperature Retrieval with Emissivity Correction. Remote Sensing, 18(4), 604. https://doi.org/10.3390/rs18040604
