Investigating the Impact of Species Diversity on the Carbon Sequestration Potential of Forest Vegetation Based on Solar-Induced Chlorophyll Fluorescence
Highlights
- Species diversity has a positive effect on vegetation carbon sequestration potential at the national scale.
- Forest origin significantly modulates this relationship, with natural forests showing a stronger effect of species diversity.
- The contribution of species diversity increases with forest succession. These findings highlight forest origin and succession as critical factors shaping the biodiversity–ecosystem functioning relationship.
- Our study provides a scientific basis for conserving natural forests, promoting the ecological transformation of plantation forests.
- Managing carbon sinks in alignment with successional dynamics.
Abstract
1. Introduction
2. Materials and Methods
2.1. Data Source
2.2. Research Methods
2.2.1. Meteorological Data
2.2.2. Stages of Successional Development
2.2.3. Calculations of Humidity Index
2.2.4. Calculations of Shannon Index
2.2.5. Calculations of SIFmean and SIFmax
2.2.6. Correlation Analysis and Random Forest
3. Results
3.1. Spatial Distribution Patterns of Species Diversity and SIF
3.2. The Overall Relationship Between Species Diversity and SIF
3.3. Relationship Between SIF and Species Diversity Under Different Forest Conditions
3.3.1. Characteristics of Factors Influencing Forest Origins
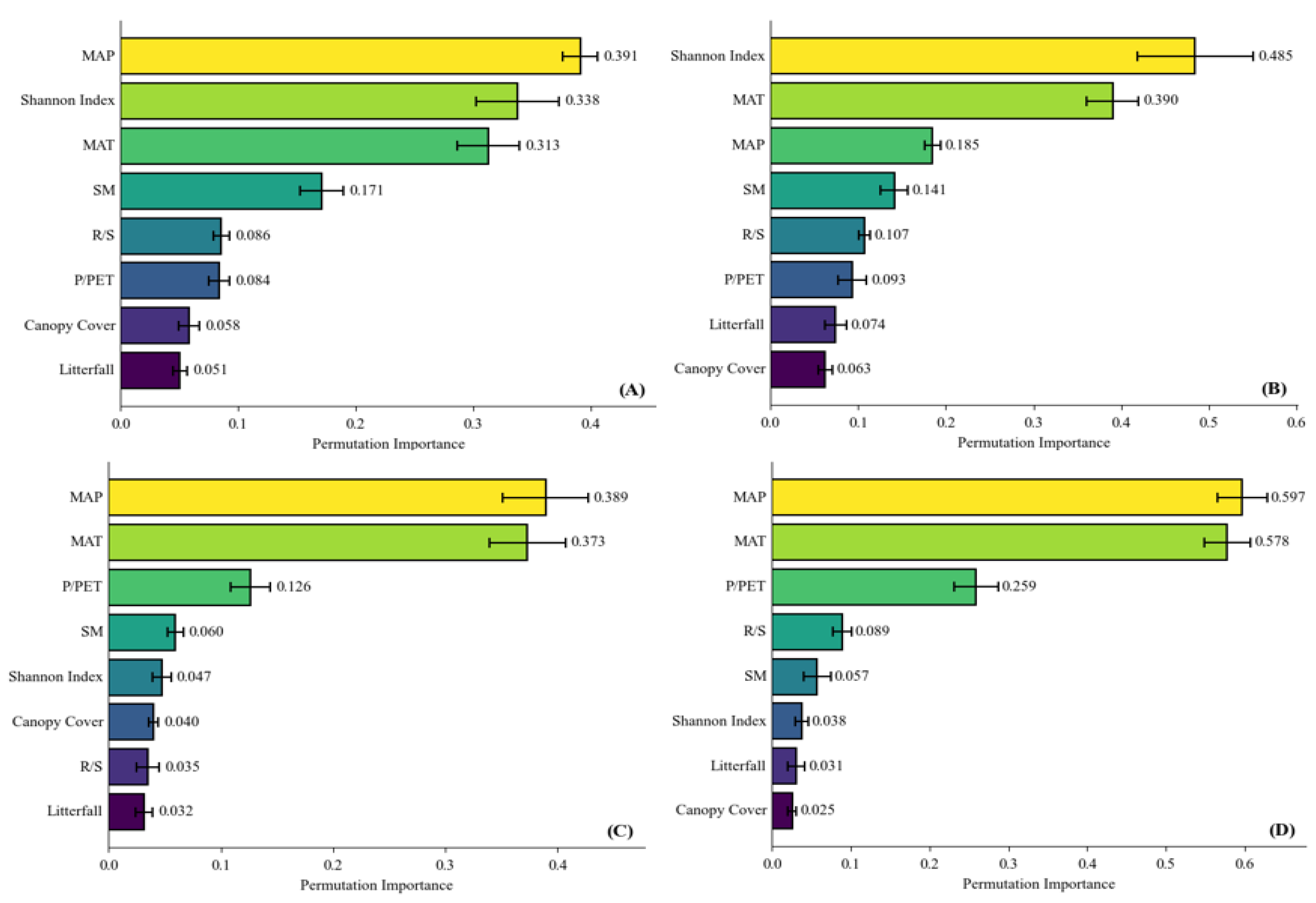
3.3.2. Factors Influencing SIF Across Forest Origins
3.3.3. Factors Influencing SIF by Successional Stage
3.3.4. The Combined Effects of Forest Origin and Successional Stage on SIF
4. Discussion
4.1. Species Diversity and Forest Productivity Indicators
4.2. The Promoting Effect of Species Diversity on Vegetation Carbon Sequestration Potential
4.3. The Moderating Effects of Forest Type and Successional Stage
4.4. Limitations and Future Directions
5. Conclusions
Author Contributions
Funding
Data Availability Statement
Conflicts of Interest
Appendix A
| Pure Forests | Mixed Forests | |||
|---|---|---|---|---|
| SIFmean | SIFmax | SIFmean | SIFmax | |
| SI | / | / | 0.119 (8.2%) | 0.117 (8.2%) |
| Climatic and environmental factors | 1.204 (88.2%) | 1.050 (80.5%) | 1.100 (75.6%) | 1.100 (77.2%) |
| Vegetation structure factors | 0.161 (11.8) | 0.255 (19.5%) | 0.237 (16.3%) | 0.208 (14.6%) |

References
- Fang, J.Y.; Chen, A.P.; Peng, C.H.; Ci, L. Changes in forest biomass carbon storage in China between 1949 and 1998. Science 2001, 292, 2320–2322. [Google Scholar] [CrossRef]
- Liang, J.; Crowther, T.W.; Picard, N.; Wiser, S.; Zhou, M.; Alberti, G.; Schulze, E.; McGuire, A.D.; Bozzato, F.; Pretzsch, H.; et al. Positive biodiversity-productivity relationship predominant in global forests. Science 2016, 354, aaf8957. [Google Scholar] [CrossRef]
- Bellard, C.; Bertelsmeier, C.; Leadley, P.; Thuiller, W.; Courchamp, F. Impacts of climate change on the future of biodiversity. Ecol. Lett. 2012, 15, 365–377. [Google Scholar] [CrossRef]
- Malhi, Y.; Franklin, J.; Seddon, N.; Solan, M.; Turner, M.G.; Field, C.B.; Knowlton, N. Climate change and ecosystems: Threats, opportunities and solutions. Philos. Trans. R. Soc. B 2020, 375, 20190104. [Google Scholar] [CrossRef] [PubMed]
- Guo, Z.K.; Liu, H.Y. Common Methods for Forest Ecological Restoration and Analysis of Restoration Outcomes. China For. Ind. 2025, 06, 44–46. [Google Scholar]
- Tilman, D.; Reich, P.B.; Knops, J.; Mielke, T.; Wedin, D.; Lehman, C. Diversity and Productivity in a Long-Term Grassland Experiment. Science 2001, 294, 843–845. [Google Scholar] [CrossRef] [PubMed]
- Wang, W.F.; Lei, X.D.; Ma, Z.H.; Peng, C. Positive Relationship between Aboveground Carbon Stocks and Structural Diversity in Spruce-Dominated Forest Stands in New Brunswick, Canada. For. Sci. 2011, 57, 506–515. [Google Scholar] [CrossRef]
- Huang, Y.Y.; Chen, Y.X.; Castro-Izaguirre, N.; Baruffo, M.; Brezzi, M.; Lang, A.; Li, Y.; Härdtle, W.; von Oheimb, G.; Yang, X.F.; et al. Impacts of species richness on productivity in a large-scale subtropical forest experiment. Science 2018, 362, 80–83. [Google Scholar] [CrossRef] [PubMed]
- Liang, J.J.; Buongiorno, J.; Monserud, R.A. Growth and yield of all-aged Douglas-fir-western hemlock forest stands: A matrix model with stand diversity effects. Can. J. For. Res. 2005, 35, 2368–2381. [Google Scholar] [CrossRef]
- Loreau, M.; Naeem, S.; Inchausti, P.; Bengtsson, J.; Grime, J.P.; Hector, A.; Hooper, D.U.; Huston, M.A.; Raffaelli, D.; Schmid, B.; et al. Biodiversity and ecosystem functioning: Current knowledge and future challenges. Science 2001, 294, 804–808. [Google Scholar] [CrossRef]
- Grace, J.B.; Anderson, T.M.; Seabloom, E.W.; Borer, E.T.; Adler, P.B.; Harpole, W.S.; Hautier, Y.; Hillebrand, H.; Lind, E.M.; Pärtel, M.; et al. Integrative modelling reveals mechanisms linking productivity and plant species richness. Nature 2016, 529, 390–393. [Google Scholar] [CrossRef]
- Cardinale, B.J.; Srivastava, D.S.; Duffy, J.E.; Wright, J.P.; Downing, A.L.; Sankaran, M.; Jouseau, C. Effects of biodiversity on the functioning of trophic groups and ecosystems. Nature 2006, 443, 989–992. [Google Scholar] [CrossRef]
- Tobner, C.M.; Paquette, A.; Gravel, D.; Reich, P.B.; Williams, L.J.; Messier, C. Functional identity is the main driver of diversity effects in young tree communities. Ecol. Lett. 2016, 19, 638–647. [Google Scholar] [CrossRef]
- Chen, S.P.; Wang, W.T.; Xu, W.T.; Wang, Y.; Wan, H.W.; Chen, D.; Tang, Z.Y.; Tang, X.L.; Zhou, G.Y.; Xie, Z.Q.; et al. Plant diversity enhances productivity and soil carbon storage. Proc. Natl. Acad. Sci. USA 2018, 115, 4027–4032. [Google Scholar] [CrossRef]
- Mori, A.S. Environmental controls on the causes and functional consequences of tree species diversity. J. Ecol. 2018, 106, 113–125. [Google Scholar] [CrossRef]
- Zhou, G.Y.; Xu, S.; Ciais, P.; Manzoni, S.; Fang, J.; Yu, G.R.; Tang, X.L.; Zhou, P.; Wang, W.T.; Yan, J.H.; et al. Climate and litter C/N ratio constrain soil organic carbon accumulation. Natl. Sci. Rev. 2019, 6, 746–757. [Google Scholar] [CrossRef]
- Jia, Y.F.; Zhai, G.Q.; Zhu, S.S.; Schmid, B.; Wang, Z.; Ma, K.; Feng, X. Plant and microbial pathways driving plant diversity effects on soil carbon accumulation in subtropical forest. Soil Biol. Biochem. 2021, 161, 108375. [Google Scholar] [CrossRef]
- Xia, Y.J.; Zhang, J.; Zou, S.; Tang, X.; Li, F. Dynamics of Structural Diversity and Carbon Storage along A Successional Gradient in South Subtropical Forest. Ecol. Environ. Sci. 2018, 27, 424–431. [Google Scholar] [CrossRef]
- Agbelade, A.D.; Onyekwelu, J.C. Tree species diversity, volume yield, biomass and carbon sequestration in urban forests in two Nigerian cities. Urban Ecosyst. 2020, 23, 957–970. [Google Scholar] [CrossRef]
- Dangwal, B.; Rana, S.K.; Negi, V.S.; Bhatt, I.D. Forest restoration enhances plant diversity and carbon stock in the sub-tropical forests of western Himalaya. Trees For. People 2022, 7, 100201. [Google Scholar] [CrossRef]
- Chen, X.L.; Taylor, A.R.; Reich, P.B.; Hisano, M.; Chen, H.Y.H.; Chang, S.X. Tree diversity increases decadal forest soil carbon and nitrogen accrual. Nature 2023, 618, 94–101. [Google Scholar] [CrossRef] [PubMed]
- van der Tol, C.; Berry, J.A.; Campbell, P.K.E.; Rascher, U. Models of fluorescence and photosynthesis for interpreting measurements of solar-induced chlorophyll fluorescence. J. Geophys. Res: Biogeosci. 2014, 119, 2312–2327. [Google Scholar] [CrossRef]
- Zhang, Y.G.; Guanter, L.; Berry, J.A.; Joiner, J.; van der Tol, C.; Huete, A.; Gitelson, A.; Voigt, M.; Köhler, P. Estimation of vegetation photosynthetic capacity from space-based measurements of chlorophyll fluorescence for terrestrial biosphere models. Glob. Change Biol. 2014, 20, 3727–3742. [Google Scholar] [CrossRef] [PubMed]
- Flexas, J.; Escalona, J.M.; Evain, S.; Gulías, J.; Moya, I.; Osmond, C.B.; Medrano, H. Steady-state chlorophyll fluorescence (Fs) measurements as a tool to follow variations of net CO2 assimilation and stomatal conductance during water-stress in C3 plants. Physiol. Plantarum 2002, 114, 231–240. [Google Scholar] [CrossRef]
- Pierrat, Z.A.; Magney, T.; Maguire, A.; Brissette, L.; Doughty, R.; Bowling, D.R.; Logan, B.; Parazoo, N.; Frankenberg, C.; Stutz, J. Seasonal timing of fluorescence and photosynthetic yields at needle and canopy scales in evergreen needleleaf forests. Ecology 2024, 105, e4402. [Google Scholar] [CrossRef]
- Dobrowski, S.Z.; Pushnik, J.C.; Zarco-Tejada, P.J.; Ustin, S.L. Simple reflectance indices track heat and water stress-induced changes in steady-state chlorophyll fluorescence at the canopy scale. Remote Sens. Environ. 2005, 97, 403–414. [Google Scholar] [CrossRef]
- Zarco-Tejada, P.J.; Morales, A.; Testi, L.; Villalobos, F. Spatio-temporal patterns of chlorophyll fluorescence and physiological and structural indices acquired from hyperspectral imagery as compared with carbon fluxes measured with eddy covariance. Remote Sens. Environ. 2013, 133, 102–115. [Google Scholar] [CrossRef]
- Garbulsky, M.F.; Filella, I.; Verger, A.; Peñuelas, J. Photosynthetic light use efficiency from satellite sensors: From global to Mediterranean vegetation. Environ. Exp. Bot. 2014, 103, 3–11. [Google Scholar] [CrossRef]
- Hou, X.; Zhang, B.; Chen, J.; Zhou, J.; He, Q.-Q.; Yu, H. Response of Vegetation Productivity to Greening and Drought in the Loess Plateau Based on VIs and SIF. Forests 2024, 15, 339. [Google Scholar] [CrossRef]
- Zhou, Z.Q.; Ding, Y.B.; Liu, S.N.; Wang, Y.; Fu, Q.; Shi, H. Estimating the applicability of NDVI and SIF to gross primary productivity and grain-yield monitoring in China. Remote Sens. 2022, 14, 3237. [Google Scholar] [CrossRef]
- Qiu, R.N.; Li, X.; Han, G.; Xiao, J.; Ma, X.; Gong, W. Monitoring drought impacts on crop productivity of the US Midwest with solar-induced fluorescence: GOSIF outperforms GOME-2 SIF and MODIS NDVI, EVI, and NIRv. Agric. For. Meteorol. 2022, 323, 109038. [Google Scholar] [CrossRef]
- Pickering, M.; Cescatti, A.; Duveiller, G. Sun-induced fluorescence as a proxy for primary productivity across vegetation types and climates. Biogeosciences 2022, 19, 4833–4864. [Google Scholar] [CrossRef]
- Qiu, B.; Chen, J.M.; Ju, W.M.; Zhang, Q.; Zhang, Y. Simulating emission and scattering of solar-induced chlorophyll fluorescence at far-red band in global vegetation with different canopy structures. Remote Sens. Environ. 2019, 233, 111373. [Google Scholar] [CrossRef]
- Guanter, L.; Zhang, Y.G.; Jung, M.; Joiner, J.; Voigt, M.; Berry, J.A.; Frankenberg, C.; Huete, A.R.; Zarco-Tejada, P.; Lee, J.E.; et al. Global and time-resolved monitoring of crop photosynthesis with chlorophyll fluorescence. Proc. Natl. Acad. Sci. USA 2014, 111, 1327–1333. [Google Scholar] [CrossRef] [PubMed]
- Jeong, S.J.; Schimel, D.; Frankenberg, C.; Drewry, D.T.; Fisher, J.B.; Verma, M.; Berry, J.A.; Lee, J.-E.; Joiner, J. Application of satellite solar-induced chlorophyll fluorescence to understanding large-scale variations in vegetation phenology and function over northern high latitude forests. Remote Sens. Environ. 2017, 190, 178–187. [Google Scholar] [CrossRef]
- Luus, K.A.; Commane, R.; Parazoo, N.C.; Benmergui, J.S.; Euskirchen, S.E.; Frankenberg, C.; Joiner, J.; Lindaas, J.; Miller, C.E.; Oechel, W.C.; et al. Tundra photosynthesis captured by satellite-observed solar-induced chlorophyll fluorescence. Geophys. Res. Lett. 2017, 44, 1564–1573. [Google Scholar] [CrossRef]
- Chang, Q.; Xiao, X.M.; Jiao, W.Z.; Wu, X.; Doughty, R.; Wang, J.; Du, L.; Zou, Z.; Qin, Y. Assessing consistency of spring phenology of snow-covered forests as estimated by vegetation indices, gross primary production, and solar-induced chlorophyll fluorescence. Agric. For. Meteorol. 2019, 275, 305–316. [Google Scholar] [CrossRef]
- Xue, C.; Zan, M.; Zhou, Y.L.; Li, K.; Zhou, J.; Yang, S.; Zhai, L. Solar-Induced Chlorophyll Fluorescence-Based GPP Estimation and Analysis of Influencing Factors for Xinjiang Vegetation. Forests 2024, 15, 2100. [Google Scholar] [CrossRef]
- Smith, W.K.; Biederman, J.A.; Scott, R.L.; Moore, D.J.P.; He, M.; Kimball, J.S.; Yan, D.; Hudson, A.; Barnes, M.L.; MacBean, N.; et al. Chlorophyll fluorescence better captures seasonal and interannual gross primary productivity dynamics across dryland ecosystems of southwestern North America. Geophys. Res. Lett. 2018, 45, 748–757. [Google Scholar] [CrossRef]
- Wang, Y.; Liu, J.J.; Wennberg, P.O.; He, L.; Bonal, D.; Köhler, P.; Frankenberg, C.; Sitch, S.; Friedlingstein, P. Elucidating climatic drivers of photosynthesis by tropical forests. Glob. Change Biol. 2023, 29, 4811–4825. [Google Scholar] [CrossRef]
- Hari, M.; Kutty, G.; Tyagi, B. Integrating multi-source datasets in exploring the covariation of gross primary productivity (GPP) and solar-induced chlorophyll fluorescence (SIF) at an Indian tropical forest flux site. Environ. Earth Sci. 2024, 83, 232. [Google Scholar] [CrossRef]
- Chen, S.L.; Huang, Y.F.; Wang, W.Q. Detecting drought-induced GPP spatiotemporal variabilities with sun-induced chlorophyll fluorescence during the 2009/2010 droughts in China. Ecol. Indic. 2021, 121, 107092. [Google Scholar] [CrossRef]
- Butterfield, Z.; Magney, T.; Grossmann, K.; Bohrer, G.; Vogel, C.; Barr, S.; Keppel-Aleks, G. Accounting for changes in radiation improves the ability of SIF to track water stress-induced losses in summer GPP in a temperate deciduous forest. J. Geophys. Res. Biogeosci. 2023, 128, e2022JG007352. [Google Scholar] [CrossRef]
- Pierrat, Z.; Magney, T.; Parazoo, N.C.; Grossmann, K.; Bowling, D.R.; Seibt, U.; Johnson, B.; Helgason, W.; Barr, A.; Bortnik, J.; et al. Diurnal and seasonal dynamics of solar-induced chlorophyll fluorescence, vegetation indices, and gross primary productivity in the boreal forest. J. Geophys. Res. Biogeosci. 2022, 127, e2021JG006588. [Google Scholar] [CrossRef]
- Flexas, J.; Briantais, J.M.; Cerovic, Z.; Medrano, H.; Moya, I. Steady-State and Maximum Chlorophyll Fluorescence Responses to Water Stress in Grapevine Leaves: A New Remote Sensing System. Remote Sens. Environ. 2000, 73, 283–297. [Google Scholar] [CrossRef]
- Beer, C.; Reichstein, M.; Tomelleri, E.; Ciais, P.; Jung, M.; Carvalhais, N.; Rödenbeck, C.; Arain, A.; Baldocchi, D.; Bonan, G.B.; et al. Terrestrial Gross Carbon Dioxide Uptake: Global Distribution and Covariation with Climate. Science 2010, 329, 834–838. [Google Scholar] [CrossRef] [PubMed]
- Damm, A.; Elbers, J.; Erler, A.; Gioli, B.; Hamdi, K.; Hutjes, R.; Kosvancova, M.; Meroni, M.; Miglietta, F.; Moersch, A.; et al. Remote sensing of sun-induced fluorescence to improve modeling of diurnal courses of gross primary production (GPP). Glob. Change Biol. 2010, 16, 171–186. [Google Scholar] [CrossRef]
- Osuri, A.M.; Gopal, A.; Raman, T.S.; DeFries, R.S.; Cook-Patton, S.C.; Naeem, S. Greater stability of carbon capture in species-rich natural forests compared to species-poor plantations. Environ. Res. Lett. 2020, 15, 034011. [Google Scholar] [CrossRef]
- Martínez-Sánchez, J.L.; Tigar, B.J.; Cámara, L.; Castillo, O. Relationship between structural diversity and carbon stocks in humid and sub-humid tropical forest of Mexico. Écoscience 2015, 22, 125–131. [Google Scholar] [CrossRef]
- Forrester, D.I.; Jürgen, B. A review of processes behind diversity—Productivity relationships in forests. Curr. For. Rep. 2016, 2, 45–61. [Google Scholar] [CrossRef]
- Hua, F.Y.; Bruijnzeel, L.A.; Meli, P.; Martin, P.A.; Zhang, J.; Nakagawa, S.; Miao, X.; Wang, W.; McEvoy, C.; Peña-Arancibia, J.L.; et al. The biodiversity and ecosystem service contributions and trade-offs of forest restoration approaches. Science 2022, 376, 839–844. [Google Scholar] [CrossRef]
- Zhou, G.Y.; Liu, S.G.; Li, Z.A.; Zhang, D.; Tang, X.; Zhou, C.; Yan, J.; Mo, J. Old-growth forests can accumulate carbon in soils. Science 2006, 314, 1417. [Google Scholar] [CrossRef]
- Sazeides, C.I.; Christopoulou, A.; Fyllas, N.M. Coupling Photosynthetic Measurements with Biometric Data to Estimate Gross Primary Productivity (GPP) in Mediterranean Pine Forests of Different Post-Fire Age. Forests 2021, 12, 1256. [Google Scholar] [CrossRef]
- Cao, R.C.; Zhang, Y.G.; Fernández-Martínez, M.; Zhang, Z.; Lai, G.; Ju, W.; Peñuelas, J. Global evidence for a positive relationship between tree species richness and ecosystem photosynthesis. Nat. Plants 2025, 11, 1429–1440. [Google Scholar] [CrossRef]
- Tang, X.L.; Zhao, X.; Bai, Y.F.; Tang, Z.Y.; Wang, W.T.; Zhao, Y.C.; Wan, H.W.; Xie, Z.Q.; Shi, X.Z.; Zhou, G.Y.; et al. Carbon pools in China’s terrestrial ecosystems: New estimates based on an intensive field survey. Proc. Natl. Acad. Sci. USA 2018, 115, 4021–4026. [Google Scholar] [CrossRef]
- Tao, S.Y.; Chen, J.M.; Zhang, Z.Y.; Zhang, Y.; Ju, W.; Zhu, T.; Wu, L.; Wu, Y.; Kang, X. A high-resolution satellite-based solar-induced chlorophyll fluorescence dataset for China from 2000 to 2022. Sci. Data 2024, 11, 1286. [Google Scholar] [CrossRef] [PubMed]
- LY/T 2908-2017; Age Classes and Age Groups of Main Tree Species. National Forestry Administration: Beijing, China, 2017.
- Zhou, G.Y.; Wei, X.H.; Chen, X.Z.; Zhou, P.; Liu, X.; Xiao, Y.; Sun, G.; Scott, D.F.; Zhou, S.; Han, L.; et al. Global pattern for the effect of climate and land cover on water yield. Nat. Commun. 2015, 6, 5918. [Google Scholar] [CrossRef] [PubMed]
- Roy, A.; Tripathi, S.K.; Basu, K. Formulating diversity vector for ecosystem comparison. Ecol. Model. 2004, 179, 499–513. [Google Scholar] [CrossRef]
- Zhang, W.; Xi, Y.B.; Brandt, M.; Ren, C.; Bai, J.; Ma, Q.; Fensholt, R. Stand structure of tropical forests is strongly associated with primary productivity. Commun. Earth Environ. 2024, 5, 796. [Google Scholar] [CrossRef]
- Fischer, R.; Rödig, E.; Huth, A. Consequences of a reduced number of plant functional types for the simulation of forest productivity. Forests 2018, 9, 460. [Google Scholar] [CrossRef]
- Craven, D.; van der Sande, M.T.; Meyer, C.; Gerstner, K.; Bennett, J.M.; Giling, D.P.; Hines, J.; Phillips, H.R.P.; May, F.; Bannar-Martin, K.H.; et al. A cross-scale assessment of productivity–diversity relationships. Glob. Ecol. Biogeogr. 2020, 29, 1940–1955. [Google Scholar] [CrossRef]
- Xu, Y.Z.; Chen, H.Y.H.; Xiao, Z.Q.; Wan, D.; Liu, F.; Guo, Y.; Qiao, X.; Jiang, M. Species richness promotes productivity through tree crown spatial complementarity in a species-rich natural forest. Forests 2022, 13, 1604. [Google Scholar] [CrossRef]
- Cheng, C.J.; Zhou, G.Y.; Tang, X.L.; Wang, S.; Su, Y.; Wu, J.; Xu, X.; Xu, W.; Lin, F.; Zhou, Y.; et al. Spatial patterns and future potential of tree species richness and structural diversity in China’s forests. Nat. Ecol. Evol. 2025, 10, 70–82. [Google Scholar] [CrossRef]
- Onyekwelu, J.C.; Bernd, S.; Julian, E. Review plantation forestry. Silvic. Trop. 2011, 8, 399–454. [Google Scholar] [CrossRef]
- Guo, Q.; Ren, H. Productivity as related to diversity and age in planted versus natural forests. Glob. Ecol. Biogeogr. 2014, 23, 1461–1471. [Google Scholar] [CrossRef]
- Lasky, J.R.; Uriarte, M.; Boukili, V.K.; Erickson, D.L.; Kress, W.J.; Chazdon, R.L. The relationship between tree biodiversity and biomass dynamics changes with tropical forest succession. Ecol. Lett. 2014, 17, 1158–1167. [Google Scholar] [CrossRef] [PubMed]




| Natural Forests | Plantation Forests | |
|---|---|---|
| SI | 0.973 * (0.017) | 0.320 * (0.010) |
| SIFmean (mW m−2 nm−1 sr−1) | 0.322 * (0.002) | 0.382 * (0.002) |
| SIFmax (mW m−2 nm−1 sr−1) | 0.467 * (0.002) | 0.514 * (0.002) |
| MAT (°C) | 9.293 * (0.127) | 13.829 * (0.125) |
| MAP (mm) | 1025.643 * (9.112) | 1164.117 * (10.274) |
| P/PET | 1.459 * (0.007) | 1.320 * (0.008) |
| SM (%) | 26.971 * (0.098) | 26.419 * (0.143) |
| R/S | 0.257 * (0.001) | 0.245 * (0.002) |
| Litterfall (t ha−1 a−1) | 4.634 * (0.050) | 4.129 * (0.052) |
| Canopy cover (%) | 65.438 * (0.313) | 63.230 * (0.447) |
| Altitude (m) | 1392.91 * (21.61) | 554.60 * (13.91) |
| Natural Forests | Plantation Forest | |||
|---|---|---|---|---|
| SIFmean | SIFmax | SIFmean | SIFmax | |
| SI | 0.336 | 0.482 | 0.047 | 0.040 |
| (22.7%) | (31.1%) | (4.2%) | (2.4%) | |
| MAT (°C) | 0.299 | 0.390 | 0.368 | 0.572 |
| (20.2%) | (25.2%) | (33.4%) | (34.3%) | |
| MAP (mm) | 0.402 | 0.188 | 0.392 | 0.594 |
| (27.2%) | (12.2%) | (35.6%) | (35.3%) | |
| P/PET | 0.080 | 0.094 | 0.127 | 0.247 |
| (5.4%) | (6.1%) | (11.5%) | (14.8%) | |
| SM (%) | 0.171 | 0.146 | 0.059 | 0.061 |
| (11.5%) | (9.4%) | (5.3%) | (3.7%) | |
| R/S | 0.085 | 0.108 | 0.037 | 0.089 |
| (5.7%) | (7.0%) | (3.3%) | (5.4%) | |
| Litterfall (t ha−1 a−1) | 0.048 | 0.075 | 0.035 | 0.033 |
| (3.2%) | (4.9%) | (3.1%) | (2.0%) | |
| Canopy Cover (%) | 0.059 | 0.066 | 0.038 | 0.029 |
| (4.0%) | (4.3%) | (3.4%) | (1.7%) | |
| Pure Forests | Mixed Forests | ||||||
|---|---|---|---|---|---|---|---|
| All | Natural Forests | Plantation Forests | All | Natural Forests | Plantation Forests | ||
| SIFmean | SI | / | / | / | 0.119 (8.20%) | 0.223 (13.71%) | 0.038 (3.73%) |
| Climatic and environmental factors | 1.204 (88.2%) | 0.945 (88.24%) | 0.977 (91.56%) | 1.100 (75.60%) | 1.137 (69.79%) | 0.879 (85.38%) | |
| Vegetation structure factors | 0.161 (11.80%) | 0.126 (11.76%) | 0.090 (8.43%) | 0.237 (16.30%) | 0.269 (16.50%) | 0.112 (10.89%) | |
| SIFmax | SI | / | / | / | 0.117 (8.20%) | 0.275 (17.83%) | 0.021 (2.0%) |
| Climatic and environmental factors | 1.050 (80.50%) | 1.204 (88.20%) | 1.166 (90.88%) | 1.100 (77.20%) | 0.994 (64.37%) | 0.927 (89.26%) | |
| Vegetation structure factors | 0.255 (19.50%) | 0.161 (11.80%) | 0.117 (9.12%) | 0.208 (14.60%) | 0.275 (17.79%) | 0.091 (8.76%) | |
| Early Stages | Middle Stages | Late Stages | |
|---|---|---|---|
| SI | 0.513 (0.020) | 0.767 (0.026) | 0.726 (0.024) |
| SIFmean (mW m−2 nm−1 sr−1) | 0.371 (0.002) | 0.343 (0.002) | 0.338 (0.003) |
| SIFmax (mW m−2 nm−1 sr−1) | 0.506(0.003) | 0.486 (0.002) | 0.474 (0.003) |
| MAT (°C) | 12.259 (0.192) | 10.700 (0.130) | 11.272 (0.197) |
| MAP (mm) | 1125.603 (12.855) | 1051.502 (9.788) | 1112.835 (14.034) |
| P/PET | 1.400 (0.009) | 1.386 (0.008) | 1.433 (0.011) |
| SM (%) | 27.156 (0.188) | 26.428 (0.113) | 26.995 (0.159) |
| R/S | 0.258 (0.002) | 0.253 (0.001) | 0.245 (0.002) |
| Litterfall (t ha−1 a−1) | 3.130 (0.064) | 4.467 (0.047) | 5.446 (0.078) |
| Canopy Cover (%) | 61.360 (0.603) | 64.974 (0.351) | 66.104 (0.507) |
| SIFmean | SIFmax | ||||||
|---|---|---|---|---|---|---|---|
| Early Stages | Middle Stages | Late Stages | Early Stages | Middle Stages | Late Stages | ||
| SI | Importance Index | 0.144 | 0.206 | 0.235 | 0.088 | 0.144 | 0.146 |
| Relative Contribution | 9.35% | 13.77% | 18.29% | 6.17% | 8.61% | 12.09% | |
| Climatic and environmental factors | Importance Index | 1.130 | 1.049 | 0.929 | 1.11 | 1.182 | 1.005 |
| Relative Contribution | 73.54% | 70.20% | 72.25% | 77.76% | 70.55% | 76.74% | |
| Vegetation structure factors | Importance Index | 0.263 | 0.239 | 0.122 | 0.229 | 0.349 | 0.146 |
| Relative Contribution | 17.11% | 16.03% | 9.46% | 16.07% | 20.84% | 11.17% | |
| Natural Forests | Plantation Forests | ||||||
|---|---|---|---|---|---|---|---|
| Early Stages | Middle Stages | Late Stages | Early Stages | Middle Stages | Late Stages | ||
| SIFmean | SI | 0.272 (22.36%) | 0.267 (21.55%) | 0.388 (33.20%) | 0.016 (1.35%) | 0.063 (5.21%) | 0.005 (0.98%) |
| Climatic and environmental factors | 0.568 (46.68%) | 0.725 (58.57%) | 0.673 (57.49%) | 1.072 (91.32%) | 1.026 (85.30%) | 0.452 (81.74%) | |
| Vegetation structure factors | 0.377 (30.96%) | 0.246 (19.88%) | 0.109 (9.31%) | 0.086 (7.34%) | 0.114 (9.49%) | 0.095 (17.28%) | |
| SIFmax | SI | 0.210 (12.96%) | 0.314 (22.92%) | 0.322 (35.61%) | 0.032 (4.62%) | 0.045 (3.25%) | 0.010 (0.98%) |
| Climatic and environmental factors | 0.971 (60.02%) | 0.762 (54.57%) | 0.470 (52.02%) | 0.546 (79.05%) | 1.244 (90.40%) | 0.878 (89.24%) | |
| Vegetation structure factors | 0.437 (27.02%) | 0.320 (22.92%) | 0.112 (12.38%) | 0.113 (16.33%) | 0.087 (9.49%) | 0.096 (9.78%) | |
Disclaimer/Publisher’s Note: The statements, opinions and data contained in all publications are solely those of the individual author(s) and contributor(s) and not of MDPI and/or the editor(s). MDPI and/or the editor(s) disclaim responsibility for any injury to people or property resulting from any ideas, methods, instructions or products referred to in the content. |
© 2026 by the authors. Licensee MDPI, Basel, Switzerland. This article is an open access article distributed under the terms and conditions of the Creative Commons Attribution (CC BY) license.
Share and Cite
Wang, X.-M.; Hua, L.-Q.; Zhou, G.-Y. Investigating the Impact of Species Diversity on the Carbon Sequestration Potential of Forest Vegetation Based on Solar-Induced Chlorophyll Fluorescence. Remote Sens. 2026, 18, 566. https://doi.org/10.3390/rs18040566
Wang X-M, Hua L-Q, Zhou G-Y. Investigating the Impact of Species Diversity on the Carbon Sequestration Potential of Forest Vegetation Based on Solar-Induced Chlorophyll Fluorescence. Remote Sensing. 2026; 18(4):566. https://doi.org/10.3390/rs18040566
Chicago/Turabian StyleWang, Xue-Meng, Lang-Qin Hua, and Guo-Yi Zhou. 2026. "Investigating the Impact of Species Diversity on the Carbon Sequestration Potential of Forest Vegetation Based on Solar-Induced Chlorophyll Fluorescence" Remote Sensing 18, no. 4: 566. https://doi.org/10.3390/rs18040566
APA StyleWang, X.-M., Hua, L.-Q., & Zhou, G.-Y. (2026). Investigating the Impact of Species Diversity on the Carbon Sequestration Potential of Forest Vegetation Based on Solar-Induced Chlorophyll Fluorescence. Remote Sensing, 18(4), 566. https://doi.org/10.3390/rs18040566

