Next Article in Journal
Vegetation Greening Driven by Warming and Humidification Trends in the Upper Reaches of the Irtysh River
Previous Article in Journal
A Semi-Supervised Transformer with a Curriculum Training Pipeline for Remote Sensing Image Semantic Segmentation
 
 
Font Type:
Arial Georgia Verdana
Font Size:
Aa Aa Aa
Line Spacing:
Column Width:
Background:
Article

Feasibility and Optimization Analysis of Discrete-Wavelength DOAS for NO2 Retrieval Based on TROPOMI and EMI-II Observations

1
Key Laboratory of Environmental Optics and Technology, Anhui Institute of Optics and Fine Mechanics, Hefei Institutes of Physical Science, Chinese Academy of Sciences, Hefei 230031, China
2
University of Science and Technology of China, Hefei 230026, China
*
Author to whom correspondence should be addressed.
Remote Sens. 2026, 18(3), 481; https://doi.org/10.3390/rs18030481
Submission received: 8 December 2025 / Revised: 26 January 2026 / Accepted: 27 January 2026 / Published: 2 February 2026
(This article belongs to the Section Atmospheric Remote Sensing)

Highlights

What are the main findings?
  • Discrete-wavelength DOAS, evaluated across multiple wavelength–resolution configurations using an entropy-weighting scheme, provides retrievals that are broadly consistent with conventional high-spectral-resolution DOAS while substantially reducing spectral information requirements.
  • The method effectively suppresses high-frequency spectral noise and retains essential differential absorption structures, but shows reduced sensitivity under low-NO2 background conditions or strong aerosol loading.
What are the implications of the main findings?
  • The demonstrated balance between information retention and noise robustness indicates that low-spectral-information discrete-wavelength DOAS is a viable strategy for rapid atmospheric NO2 monitoring and for guiding low-resolution spectrometer design.
  • Practical implementation is best suited to regions with elevated NO2 levels or distinct emission sources, whereas applications in clean or weak-absorption environments may require improved signal-to-noise conditions or additional post-processing constraints.

Abstract

High-spectral-resolution retrievals of nitrogen dioxide (NO2) provide detailed atmospheric absorption information, but they usually involve large data volume, low computational efficiency, and complex instrument requirements. To address these limitations, we employ a low-spectral-information retrieval strategy for fast atmospheric monitoring. In this study, the Discrete-Wavelength Differential Optical Absorption Spectroscopy (DWDOAS) technique is applied by selecting 14 representative wavelength samples in the 420–450 nm window. Multiple wavelength–resolution configurations are constructed and quantitatively assessed using an entropy-weighting scheme to identify the optimal setup. Using TROPOspheric Monitoring Instrument (TROPOMI) and Environmental Trace Gases Monitoring Instrument (EMI-II) measurements as case studies, we show that at a spectral resolution of ~2 nm, DWDOAS-derived NO2 vertical column density (VCD) are highly consistent with those from conventional DOAS retrievals (correlation coefficient R > 0.7) and exhibit relative differences of approximately ±30%. Monte Carlo simulations further demonstrate method robustness, yielding mean uncertainties below 2 × 1014 molecules·cm−2. The results indicate that DWDOAS effectively suppresses high-frequency spectral noise while preserving key differential absorption structures, thereby achieving a favorable trade-off between information retention and noise robustness. Nevertheless, increased retrieval uncertainty is observed under low-NO2 background conditions or strong aerosol loading, which reduces sensitivity to weak absorption features. Overall, this study confirms that reliable NO2 retrieval performance can be maintained while substantially reducing spectral information requirements, offering practical implications for low-resolution spectrometer design, onboard data compression, and rapid, wide-area atmospheric trace-gas monitoring.

Graphical Abstract

1. Introduction

Nitrogen dioxide (NO2), a key component of the nitrogen oxides (NOx) family. Although its atmospheric mixing ratio is typically at the ppb level, NO2 plays a critical role in atmospheric chemistry and public health [1]. The World Health Organization (WHO) lists NO2, along with CO, O3, SO2, and particulate matter, as a major pollutant posing significant public health risks [2]. In the troposphere, NO2 participates in the formation of ozone and nitric acid, serving as an important precursor to regional photochemical smog, while exerting notable adverse impacts on the human respiratory system [3]. Natural sources of NO2 include lightning, volcanic eruptions, and microbial processes in soils such as nitrification and denitrification, whereas anthropogenic emissions are primarily associated with fossil fuel combustion, transportation, and industrial activities [4]. In industrialized regions, near-surface NO2 concentrations can exceed background levels by a factor of approximately fifty, showing pronounced diurnal and seasonal variations [5,6]. In particular, during winter, emissions from heating and the influence of temperature inversions can increase NO2 concentrations by 20–30% [7,8].
To achieve refined monitoring of NO2, current atmospheric observation systems primarily rely on two technological approaches: in situ monitoring and spectroscopic remote sensing. The former, typically represented by chemiluminescence, delivers highly accurate quantitative measurements and is often regarded as a reference for ground “true values” [9,10]. However, this approach is constrained by limited spatial coverage, strong dependence on instrument maintenance, and high operational costs, which restrict its applicability to large-scale observational networks. The latter, encompassing ground-based MAX-DOAS systems and satellite sensors, detects trace-gas absorption features in the UV–visible spectral range and enables long-term, non-contact monitoring from regional to global scales [11,12,13,14,15,16,17]. Despite its broad coverage, spectroscopic retrievals remain subject to uncertainties associated with aerosol scattering, cloud contamination, and assumptions in vertical profile, which may impact data accuracy and cross-platform consistency [18]. To reduce systematic biases and improve retrieval reliability, the synergies and cross-validation of multi-source observations (satellite, ground-based, and in situ) has become an important direction in current research [19]. Remote sensing of NO2 is most commonly performed using Differential Optical Absorption Spectroscopy (DOAS), which extracts gas absorption features by separating broadband and narrowband components. This method provides physical consistency and strong resistance to interference, yet retrievals typically rely on hundreds of spectral channels to fit the slant column density (SCD) [20]. Such requirements not only demand high spectral resolution and precise wavelength calibration but also lead to complex instrument design, large data volume, and reduced computational efficiency. When combined with two-dimensional detector arrays, these instruments disperse the spectrum in one dimension while recording spatial variation in the other [21,22]. Acquiring a full hyperspectral image requires mechanical scanning of the instrument, which, although effective for accurate retrievals, limits the ability to capture rapidly evolving atmospheric processes. Since scenes are acquired line by line, temporal discontinuities occur between adjacent rows, resulting in time lags of several minutes across the image [23]. In applications requiring high spatial and temporal resolution, reducing spectral sampling enables both dimensions of the detector to be used for spatial imaging, thereby enhancing coverage and resolution without increasing detector size [24].
The idea of retrieving atmospheric trace gases using only a small number of discrete spectral channels has been widely applied in gas concentration retrieval. An example is the Total Ozone Mapping Spectrometer (TOMS) from 1978 [25], which uses paired discrete wavelengths in the 310–340 nm band to retrieve ozone. The SO2 camera also captures spectral images of the plume using two interference filters. One filter selects incident light near 310 nm, where SO2 still has strong absorption, while the other filter captures light near 330 nm, where absorption is almost negligible [26,27]. This configuration provides high temporal resolution, enabling plume dynamics such as puffs and transport velocity to be characterized from image sequences. However, the coarse spectral resolution increases susceptibility to aerosol interference and requires frequent recalibration using SO2 reference cells to correct for illumination changes [28]. More recent developments incorporate spectral information from dispersive spectrometers to improve accuracy. With advances in tunable filter technology, NO2 cameras based on acousto-optic tunable filters (AOTF) have demonstrated the feasibility of NO2 retrieval using sparse spectral sampling [29,30]. Additionally, the DWDOAS method has been applied to OMI and TROPOMI data, providing a technical foundation for new inversion methods [31].
This study systematically evaluates the performance, limitations, and potential improvements of DWDOAS for NO2 retrieval. The primary objective is to reduce the dependence on dense spectral sampling while preserving the physical consistency of conventional DOAS, thereby supporting lightweight and efficient spectrometer designs and enabling applications that benefit from simplified optical systems, reduced data volume, and two-dimensional spatial imaging capability. Using TROPOMI and EMI-II hyperspectral observations, 14 representative wavelengths were selected to quantitatively assess signal retention, noise sensitivity, and error propagation under different spectral resolutions, and the entropy-weight method was applied to determine the optimal wavelength–resolution configuration. Pixel-by-pixel comparisons over clean ocean scenes show that the use of discrete wavelengths limits broadband fitting and noise suppression, resulting in generally higher uncertainties and detection limits and reduced retrieval stability under weak absorption and low-concentration conditions. Therefore, DWDOAS is more suitable for regions with elevated NO2 levels or distinct emission sources, whereas applications in clean background areas require higher signal-to-noise observations or additional post-processing constraints.

2. Materials and Methods

2.1. Data Sources

The TROPOMI is carried onboard the Sentinel-5 Precursor (S5P) satellite, launched on 13 October 2017 [32]. As one of the most advanced imaging spectrometers in the field of atmospheric remote sensing, TROPOMI employs a push-broom scanning mode that enables continuous monitoring of the Earth’s surface and atmospheric composition. The instrument integrates four spectrometers covering the ultraviolet, visible, near-infrared, and shortwave infrared (UV–VIS–NIR–SWIR) bands, forming a full-spectrum observation system. TROPOMI provides 450 across-track pixels per swath, with a spectral resolution of 0.227–0.65 nm. Benefiting from its high signal-to-noise ratio, the spatial resolution can reach 3.5 × 5.5 km2. The instrument acquires 14–15 orbits of data per day, enabling global daily coverage. It currently supports the retrieval of O3, NO2, SO2, HCHO, CO, CH4, cloud properties, and other atmospheric parameters. In this study, the visible-band (400–499 nm) measurements are utilized, with a spectral resolution of 0.45–0.65 nm, an average sampling interval of approximately 0.195 nm, and a data dimension of 4172 × 450 × 497 pixels (time × spatial × spectral).
The EMI-II, developed by the Hefei Institutes of Physical Science at the Chinese Academy of Sciences, is a push-broom imaging spectrometer onboard the GaoFen-5B satellite, which operates in a sun-synchronous orbit [33]. EMI-II observes solar radiation backscattered by the atmosphere and the Earth’s surface in the UV–VIS spectral region and applies passive DOAS techniques to retrieve global air quality, pollutant distributions, and transport processes. EMI-II consists of four spectral channels covering 240–710 nm. In this study, NO2 retrieval uses data from the Visible-1 channel, with a data dimension of 1472 × 120 × 1072 pixels (time × spatial × spectral). The spectral resolution of this channel is 0.3–0.5 nm, and the nadir spatial resolution is 13 × 24 km2. The key parameter settings of TROPOMI and EMI-II used in this study are summarized in Table 1.

2.2. Retrieval Method

2.2.1. Spectral Retrieval

The DOAS technique retrieves gas concentrations based on the characteristic absorption of trace gases and the measured light intensity. The relationship between the incident intensity I 0 λ and the transmitted intensity I λ after attenuation can be described by the Lambert–Beer law [34]:
I λ = I 0 λ exp i = 1 n σ i λ c i + ε R λ + ε M λ L
where n is the number of gas species, σ i λ   is the absorption, c i is the gas concentration along the optical path L, and ε R λ and ε M λ represent the Rayleigh and Mie scattering coefficients, respectively. The differential optical density D λ is expressed as:
D λ = ln I 0 λ I λ = i = 1 n σ i λ c i , L + P m λ
where P m λ represents a polynomial. In this study, DWDOAS applies linear regression to approximate gas concentrations. For all selected wavelength points λ j , the equation can be written as:
σ 1 λ 1 σ 2 λ 1 σ n λ 1 1 λ 1 λ 1 m σ 1 λ 2 σ 2 λ 2 σ n λ 2 1 λ 2 λ 2 m σ 1 λ j σ 2 λ j σ n λ j 1 λ j λ j m · c 1 , L c 2 , L c n , L a 0 a 1 a m = ln I 0 λ 1 I λ 1 ln I 0 λ 2 I λ 2 ln I 0 λ j I λ j X · C = Y C = X 1 · Y
In Equation (3), X represents the matrix of absorption for different gases, and Y denotes the differential optical depth at different wavelengths. The concentrations of various gases can be obtained by solving the equation and approximating the fitting coefficients. Since multiple gas absorption terms and polynomial fitting coefficients are included, ensuring a unique solution requires imposing a lower limit on the spectral data dimension j in DWDOAS. For a non-square matrix X , its singular value decomposition (SVD) can be written as:
X = U Σ V T
where each column vector of the orthogonal matrix U is an eigenvector of X X T ; each column vector of the orthogonal matrix V is an eigenvector of X T T ; and the diagonal matrix Σ = d i a g s 1 , s 1 , , s j contains the singular values of matrix X . The Moore–Penrose pseudoinverse of X is therefore given by:
X 1 = V Σ 1 U T
The SVD method can effectively suppress ill-conditioned problems by explicitly handling singular values, and its numerical stability is superior to direct inversion, especially when the matrix is nearly singular or contaminated by noise.

2.2.2. Spectral Convolution and Resolution Configuration

In most spectroscopic measurement systems, the incident radiation is dispersed by a spectrometer and subsequently recorded by the detector as an intensity distribution. However, due to the finite instrumental resolution, the recorded spectrum is not the true high-resolution spectrum, but rather the result influenced by the instrumental response function. This process can be mathematically represented as the convolution between the original spectrum and the instrumental slit function (ISF):
I * λ , L = I λ , L H = I λ , L · H λ λ d λ
where I λ , L represents the true spectrum, and H denotes the ISF, whose shape is determined by the optical system. In this study, the instrumental response is assumed to follow a Gaussian distribution, and its full width at half maximum (FWHM) reflects the spectral resolution level. The FWHM is related to the standard deviation σ through:
σ = F W H M 2 2 l n 2
In practical simulations, the original spectrum has already undergone an initial Gaussian convolution. To simulate different spectral resolutions corresponding to various spectrometers, a second Gaussian convolution is required. Based on the convolution properties of Gaussian functions, two independent Gaussian convolutions can be equivalently expressed as a single convolution, with the equivalent standard deviation satisfying:
σ e q 2 = σ 1 2 + σ 2 2
This property originates from the multiplicative behavior of Gaussian functions in the frequency domain, thus substantially simplifying the generation of spectra under different resolution conditions. A larger FWHM results in broadened absorption peaks, loss of fine structures, and reduced peak intensity, thereby decreasing spectral information content. Conversely, a smaller FWHM enhances absorption features but amplifies random noise and detector-related errors. Therefore, optimizing spectral resolution is essentially a trade-off between “retaining spectral details” and “suppressing noise amplification”.
To systematically evaluate this balance, this study selects 11 representative spectral resolution settings (0.5, 0.8, 1.0, 1.2, 1.5, 1.8, 2.0, 2.2, 2.5, 2.8, 3.0 nm), covering the range from laboratory high-resolution instruments to typical satellite payload configurations.

2.2.3. Wavelength Optimization and Weighting

Since the DWDOAS method performs retrieval using a limited number of discrete wavelength points, its accuracy largely depends on the selection of spectral channels and the precision of wavelength calibration. The absorption characteristics of trace gases serve as the key basis for spectral band selection. To eliminate the NO2 absorption peak shift and broadening caused by instrumental wavelength misalignment and resolution mismatch, this study employs a high-resolution solar reference spectrum (Kurucz model, resolution better than 0.01 nm) as the wavelength benchmark. Wavelength drift and resolution differences in the original spectra are corrected using a segmented fitting approach [34].
To ensure the accuracy of retrieval under discrete-wavelength conditions, wavelength selection must simultaneously satisfy multiple constraints, including spectral resolution, gas absorption features, and algorithmic stability. Considering these factors, the selection is based on the following three principles [31]:
  • Priority is given to selecting wavelength intervals corresponding to local maxima and minima in the absorption. In these peak–trough regions, NO2 exhibits pronounced spectral variability, which maximizes the differential optical depth and thereby enhances the contrast between trace-gas absorption features and the broadband background radiation signal.
  • Avoid spectral regions with strong absorption by other gases to minimize cross-sensitivity. Although multi-gas fitting can partially remove interference, the limited spectral information under a discrete-wavelength scheme requires ensuring that absorption contributions from other gases are negligible at the chosen wavelengths.
  • Maintain a narrow spectral fitting window. To reduce interference from non-target features (such as aerosols, clouds, or surface reflectance), this study keeps the spectral fitting window relatively narrow. A narrow window not only limits the introduction of unwanted signals, but also allows the use of low-order polynomials (typically 2nd–3rd order) to fit the broadband background, thereby avoiding overfitting and distortion of the absorption features. Although this approach somewhat weakens the traditional DOAS capability to remove broadband structures, reasonably narrowing the fitting window enables the broadband components to be effectively approximated by low-order polynomials.
To quantitatively characterize the concentration and stability of the error distribution, Gaussian fitting is applied to the error results corresponding to different wavelength–resolution combinations. The Gaussian function is expressed as:
y = A σ 2 π e ( x μ ) 2 2 σ 2
where the amplitude A represents the height of the peak, representing the proportion of data falling near the center of the distribution within a unit interval; the center value μ indicates the systematic deviation of the error distribution from zero; and the standard deviation σ reflects the degree of dispersion or the fluctuation range of the data. In most cases, the three parameters cannot all reach optimal values simultaneously. Therefore, a composite scoring index (Index) is introduced to quantitatively rank the retrieval performance of different combinations. Given the functional dependence between A and σ , including both may lead to redundant weighting. Thus, this study considers only μ and σ as evaluation factors. The composite score is defined as follows:
I n d e x = w 1 μ + w 2 σ
Among them, w 1 and w 2 represent the weighting coefficients for bias and dispersion, respectively, and a lower Index indicates better overall performance. To ensure objective and data-driven weight allocation, this study employs the Entropy Weight Method (EWM) to determine the two weighting coefficients. The normalized results of μ and σ are denoted as X i j . The proportion p i j , information entropy e j , and weight w j of each indicator are then calculated as follows:
p i j = X i j i = 1 n X i j , e j = 1 ln ( n ) i = 1 n p i j ln ( p i j ) ,     w j = 1 e j j = 1 m ( 1 e j )
A smaller entropy value indicates greater variability and higher information content of the corresponding indicator, resulting in a larger weight. Figure 1 shows the flow chart of the complete process.

2.3. Parameter and Experimental Settings

The spectral interval of 420–450 nm is selected as the effective retrieval window in this study. This region contains the characteristic vibro-rotational absorption structures of NO2 and is clearly separated from both the O2-O2 absorption band near 477 nm and the Rayleigh-scattering background, thus providing a high signal-to-noise ratio for differential absorption analysis [18]. The reference spectrum is the solar irradiance measured by the detector. During the retrieval, major absorbers including O3, O4, NO2, and H2O were simultaneously considered, and their absorption cross-sections are shown in Figure 2. The Ring effect was corrected using ‘ring.exe’ within the QDOAS software package (version 3.2; http://uv-vis.aeronomie.be/software/QDOAS/, access on 6 May 2025). The main fitting parameters for the two retrieval approaches are summarized in Table 2.
Based on the above conditions and the characteristic structures of the NO2 absorption cross-section, fourteen representative discrete wavelengths were selected. Multiple wavelength-combination schemes were then constructed to systematically evaluate the influence of different wavelength selections on the retrieved NO2 vertical column density (VCD). The wavelength-combination schemes are listed in Table 3.

2.4. Uncertainty and Detection Limit

In DOAS-based retrievals, the Limit of Detection (LOD) and the uncertainty are essential indicators for assessing the reliability of the inversion results [38]. In related DOAS algorithm frameworks, error estimation is generally based on the theory of least-squares inversion [39]. The fundamental concept is to derive the error propagation from the relationship between the absorption cross-section matrix and the spectral residuals. Let the absorption cross-section matrix be X and the residual standard deviation be σ r m s ; then the covariance matrix of the retrieved gas concentrations can be expressed as:
C o v X = σ r m s 2 X T X 1
The square root of each diagonal element represents the standard error of the corresponding species, which reflects the retrieval uncertainty under a given signal-to-noise ratio. For retrievals using SVD, the expression remains valid, with the matrix inversion implemented via singular-value truncation to reduce ill-conditioning.
The LOD can be further estimated from the retrieval errors and the instrument signal-to-noise ratio (SNR). Under the assumption of Gaussian noise, the LOD is typically defined as:
L O D = 3 × σ N O 2
where σ N O 2 is the standard error of the NO2 retrieval. By statistically analyzing the retrieval results of a large number of simulated spectra, the mean and standard deviation of the LOD can be obtained, which characterize the stability of the system’s detection capability.

2.5. Simulation Design

To evaluate the information retention and noise suppression performance under different spectral resolution conditions, this study introduces the Information Retention Ratio (IRR) and the Noise Suppression Index (NSI). IRR quantifies the structural fidelity of degraded-resolution spectra relative to the original high-resolution spectra, expressed as the squared Pearson correlation coefficient (R2) between the two. NSI measures the smoothing effect of convolution on random noise, defined as the ratio of the noise standard deviation after convolution to that of the original noise. Based on TROPOMI-measured solar spectra, synthetic spectra were generated by adding random noise to construct a noise reference dataset. Using this dataset, IRR and NSI were calculated for the 14 representative wavelengths selected in Section 2.3, characterizing the information across different resolutions. Furthermore, a composite metric, Score, was introduced to simultaneously account for spectral structure preservation and noise suppression, with higher values indicating superior overall performance. The detailed calculation results are provided in Appendix A.
I R R = R 2 = c o r r I o r i g   ,   I c o n v
N S I = σ c o n v σ o r i g
S c o r e = I R R 1 N S I
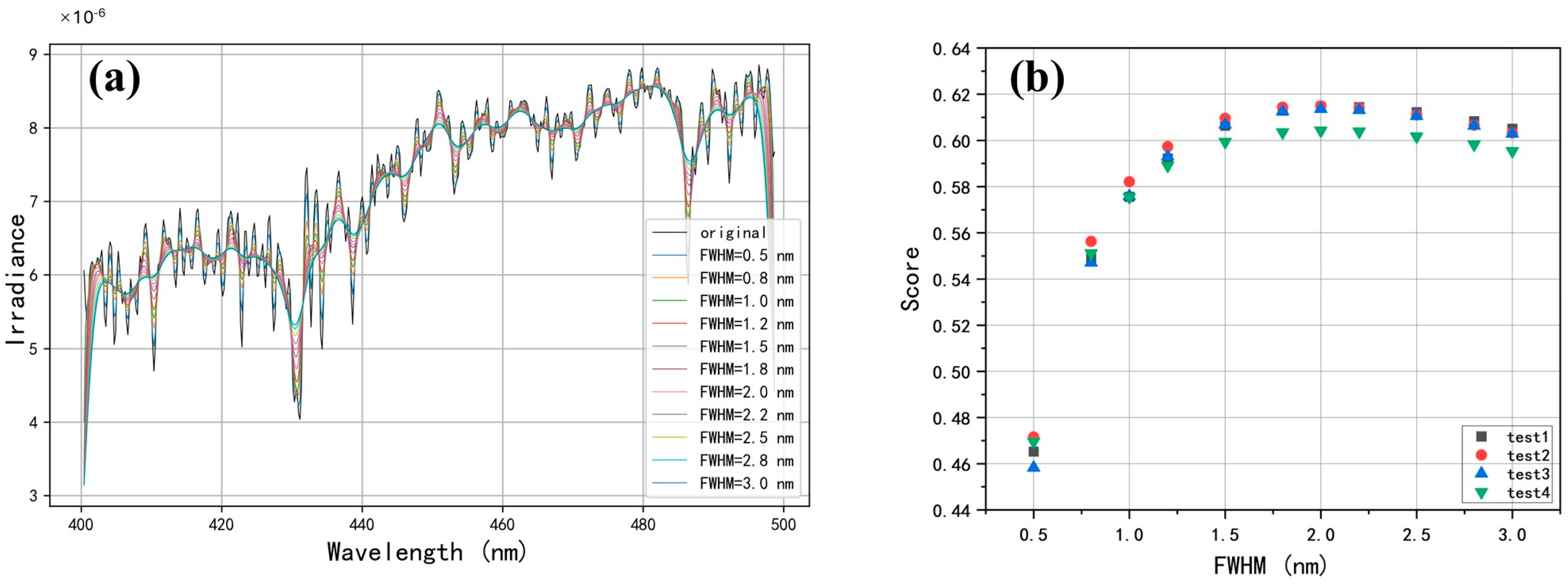
Figure 3 shows that, across multiple simulations, the Score with FWHM is highly consistent among different wavelength points: as FWHM increases from 0.5 nm to approximately 2.0 nm, the Score increases significantly, indicating enhanced noise suppression while retaining high information content. When FWHM exceeds 2.2 nm, the Score growth slows or slightly decreases, suggesting that excessive broadening leads to greater information loss. Considering the statistics across all wavelength points, the mean Score reaches its maximum at FWHM = 2.0 nm, indicating optimal retrieval performance. This resolution achieves a good balance between signal fidelity and noise smoothing, suggesting that moderate spectral broadening can significantly improve retrieval stability while maintaining resolvable absorption structures.

3. Results

3.1. TROPOMI Results

As an initial attempt to analyze the error characteristics, this study selected TROPOMI data from 20 December 2022 and conducted a systematic comparison between DWDOAS and traditional DOAS retrievals of NO2 VCD. To ensure the reliability of the analysis, all observations underwent rigorous filtering and quality control, and only data with a quality value (QA) higher than 0.5 were retained. The specific wavelength combinations corresponding to each configuration are listed in Table 3. Using one representative orbit as an example, the relative errors under different wavelength–resolution configurations were statistically analyzed, and their probability density distributions were fitted with Gaussian functions; detailed fitting results are provided in the Appendix B. Furthermore, the entropy-weight method was applied to compute a comprehensive score for each configuration (see Table 4). For FWHM = 2.0 nm, wavelength combination 4 yields an Index value of 0.053. This configuration maintains overall retrieval stability while exhibiting a smaller standard deviation and a sharper peak shape, indicating a more concentrated error distribution and lower random noise.
Figure 4a–c illustrates the spatial distribution of relative errors for the two algorithms along the same orbit. Overall, the two datasets show high consistency across most regions, with errors predominantly within ±30%. Under typical observational conditions, the differences between DWDOAS and DOAS retrievals remain small. Notably, the errors do not appear randomly scattered but instead exhibit spatial clustering and regional coherence. In low-latitude regions (20°N–20°S), the relative error increases significantly, which may be related to sub-pixel reflectance heterogeneity and shorter light-path lengths. In contrast, high-latitude regions exhibit more uniform errors with smaller magnitudes. These spatial differences may be associated with aerosol load, boundary layer structure, and algorithmic sensitivity to concentration gradients. Strong aerosol impacts and complex surface albedo variations may increase retrieval uncertainty. In low-latitude regions, the data exhibit higher sensitivity and stronger signal levels, which makes systematic differences between retrieval algorithms, spectral fitting strategies, and prior assumptions more prominent. Optical path and atmospheric correction errors may be amplified, potentially introducing systematic biases.
Figure 5a presents the probability density distribution of relative errors and their corresponding Gaussian fits. The error distribution exhibits a clear unimodal pattern and closely follows a near-normal distribution with a high goodness of fit. The fitted amplitude A is 6.32 × 10−16, with a standard deviation of 5.80 × 1014 molecules·cm−2, and the peak is centered near zero error, indicating no significant systematic bias in the DWDOAS results. The errors are mainly attributed to random factors such as spectral fitting uncertainty and observational perturbations. Meanwhile, Figure 5b also shows the histogram of error distributions obtained via Monte Carlo simulations and the corresponding 90% confidence interval [40]. The distribution resembles a symmetric bell-shaped curve, with a mean error of approximately 1.07 × 1014 molecules·cm−2—far smaller than the confidence interval width (±1.91 × 1015 molecules·cm−2). The results show that the error distribution is unimodal and approximately symmetric, consistent with Figure 5 in both shape and central tendency, and the mean error is relatively small. The confidence interval indicated by the green dashed lines shows that the errors fall within an acceptable statistical range, with 95% of the samples lying within a relatively narrow interval and no apparent distributional shift.
These findings indicate that the differences between the two algorithms are primarily driven by random uncertainties rather than systematic biases. The high level of agreement further confirms the statistical robustness of the retrieval uncertainties and suggests that the algorithm’s uncertainty originates mainly from stochastic perturbations rather than structural deficiencies.
Based on the above analysis, the DWDOAS and DOAS retrievals of NO2 VCD exhibit strong overall consistency, with a correlation coefficient of R > 0.98. However, systematic differences are observed under certain conditions, particularly near the orbit center, over high–albedo surfaces, and in scenes with substantial geometric path variability. The error distributions closely follow a normal distribution. These characteristics are strongly linked to spatial heterogeneity in surface reflectance, atmospheric path length, and the signal-to-noise ratio of the measured spectra. Future work may incorporate sensitivity experiments to further identify the dominant error sources, and improvements can be made in fitting-window configuration, wavelength calibration, and spectral preprocessing to enhance the robustness and accuracy of the DWDOAS algorithm across different regions and observational conditions.
From the perspective of the overall spatial distribution (see Figure 6), the relative errors of DWDOAS in high-latitude regions are generally uniform, exhibiting better performance in high-value areas, where most relative errors fall within ±30%. The correlation in these regions is higher and the retrieval results are more stable and reliable. In contrast, the magnitude of errors increases substantially in low-latitude regions (20°N–20°S), where the error distribution becomes more dispersed and the effect is more pronounced over water surfaces. Even so, the overall correlation remains above R > 0.7. The probability density distribution in Figure 7a shows standard deviations generally below 7 × 1014 molecules·cm−2, and even in regions affected by meteorological or surface conditions, the values remain below 1 × 1015 molecules·cm−2. The mean error derived from Monte Carlo simulations is within 2 × 1014 molecules·cm−2, corresponding to an uncertainty range of approximately ±2 × 1015 molecules·cm−2 (see Figure 7b). Overall, the DWDOAS algorithm performs more reliably under relatively clear atmospheric conditions and favorable viewing geometries. In order to check for any geographical and seasonal variabilities in the results we processed all single orbits from 4 d in December 2022 and March, June, and September 2023. The results can be seen in Figure A3 in Appendix C, which shows the DW-DOAS retrieval results and the relative differences with the DOAS.

3.2. EMI-II Results

This study further applies the method to the EMI-II observations acquired on 10 December 2024. The overall trend of the Index evaluation for EMI-II is highly consistent with that of TROPOMI and shows a pronounced dependence on spectral configuration: as the spectral resolution increases, the retrieval accuracy first improves and then declines, reaching its optimum at an FWHM of 2.0 nm (Table 5). At this spectral resolution, wavelength combination 1 achieves the best Index value of 0.072, indicating the best overall retrieval performance among the tested configurations. However, compared with TROPOMI, the optimal wavelength combination corresponding to EMI-II’s best performance is not the same. This difference indicates that although the retrieval performance exhibits common behavior at the overall resolution scale, the optimal wavelength selection is still influenced by instrument-specific characteristics and spectral response properties. Detailed fitting results are provided in the Appendix B.
The likely reason for this phenomenon lies in the differences in the spectral response function shapes and bandwidth distributions between the two sensors. Although their nominal spectral resolutions are the same, the actual spectral convolution functions differ in how they broaden and attenuate absorption features during observation. This leads to varying degrees of absorption-structure preservation and peak contrast. Consequently, under identical resolution settings, the amount of NO2 absorption information retained in different spectral regions is not the same for each instrument, which ultimately affects the selection of optimal wavelength combinations. In addition, differences in system design, detector sensitivity, and the non-uniform distribution of signal-to-noise ratio across the spectrum further contribute to the divergence in optimal band selection between TROPOMI and EMI-II.
To further evaluate the robustness of the EMI-II retrieval algorithm across different regions, this study selected EMI-II orbits covering several typical geographical units and compared the results with those from TROPOMI, as shown in Figure 8. It should be noted that the global NO2 levels are relatively low overall, and the majority of high-concentration regions are located in the Northern Hemisphere. To enhance figure readability and contrast, Figure 8a–c therefore present the NO2 VCD limited to the Northern Hemisphere. Nevertheless, all subsequent correlation calculations and statistical analyses are performed using the complete along-track datasets from the full orbits, ensuring that the quantitative evaluation is not affected by this visualization choice.
The results show that the spatial patterns of retrieval errors from both instruments exhibit a high degree of consistency: errors are primarily concentrated in the mid-latitude regions (20°N–20°S), while in high-latitude areas—particularly in polluted zones with elevated NO2 column concentrations—the two datasets demonstrate strong agreement, with correlation coefficients exceeding R > 0.7. Under high-concentration conditions, the retrieval performance is more stable and reliable.
In contrast, in low-concentration background regions, the correlation decreases due to reduced signal-to-noise ratios and increased uncertainties associated with clouds and surface reflectance. A unified quantitative analysis of the error probability density functions across multiple orbits reveals a stable and consistent slight positive bias in the distribution center, a systematic bias feature also observed in the TROPOMI retrievals (Figure 9a). Additionally, although the error confidence interval for EMI-II (approximately ±2.5 × 1015 molecules·cm−2) is slightly larger than that of TROPOMI, it remains within a reasonable range. The absolute error distribution of EMI-II is more dispersed than that of TROPOMI, with a larger standard deviation from the Gaussian fits, indicating slightly higher uncertainty in single retrievals (Figure 9b). The results can be seen in Figure A4 in Appendix C, which shows the EMI-II DW-DOAS retrieval results and the relative differences with the DOAS.

4. Discussion

Figure 10 presents the Index hotspot distributions of TROPOMI and EMI-II under different FWHM and wavelength combination conditions. Overall, retrieval performance shows a clear dependence on spectral configuration, with both sensors exhibiting highly consistent variation trends. This consistency indicates that, within the DWDOAS framework, an optimal spectral resolution range exists for different sensors, allowing a balanced trade-off between information retention and noise suppression. TROPOMI’s low-value regions are more continuous, with multiple wavelength combinations performing stably at moderate resolution, reflecting higher overall usability. In contrast, EMI-II shows slightly higher Index values, indicating greater sensitivity to specific wavelength channels. Despite these differences, the observed trends in both sensors further support the feasibility and practical potential of a multi-wavelength, low-resolution strategy for NO2 retrieval.
We applied the methods for estimating uncertainty and limit of detection (LOD) described in Section 2.5, selecting cross-track pixels over a clean Pacific region for error analysis. The per-pixel uncertainties of DWDOAS and conventional DOAS were compared. This region is far from major pollution sources, with near-surface NO2 concentrations low enough to be considered a background field for tropospheric NO2. Additionally, the ocean surface aerosols are relatively uniform, making this region an ideal test environment for assessing the algorithm’s noise sensitivity and spectral fitting stability. Therefore, the error characteristics in this area better reflect the “background noise level” of the retrieval algorithms.
Figure 11 shows a comparison of per-pixel uncertainty and LOD for DWDOAS and DOAS in this region. Significant differences are observed in both the spatial error structure and error magnitude between the two algorithms. For TROPOMI data, DWDOAS retrieval uncertainties generally range from (0.4–1.2) × 1015 molecules·cm−2, accompanied by relatively strong pixel-to-pixel variability, whereas conventional DOAS uncertainties are lower, mainly concentrated in (0.2–0.6) × 1015 molecules·cm−2, with substantially reduced fluctuations. Similar differences are seen in EMI-II data: DWDOAS uncertainties can reach (0.5–2) ×1015 molecules·cm−2, while DOAS generally remains within a more stable range of approximately (0.3–1.0) ×1015 molecules·cm−2.
To ensure an objective assessment of retrieval performance under varying signal-to-noise conditions, the NO2 VCD was classified into three concentration regimes using LOD derived from observations over the clean Pacific region. The first threshold was set to the mean LOD, which is 0.82 × 1015 molecules cm−2 for TROPOMI and 1.20 × 1015 molecules cm−2 for EMI-II, while the second threshold was defined as three times the corresponding LOD.
Table 6 and Table 7 summarize the statistical performance of EMI-II and TROPOMI NO2 VCD retrievals under different concentration regimes defined by the LOD. For both instruments, retrievals in the lowest concentration regime (below the LOD) are characterized by very large relative errors, indicating that the measurements are strongly influenced by noise when the NO2 signal approaches the detection limit. As NO2 concentrations increase into the intermediate and high regimes, both the average absolute error and the average relative error decrease markedly, demonstrating a substantial improvement in retrieval stability and reliability. In particular, relative errors are reduced from several hundred percent below the LOD to below ~50% in the intermediate regime and further to ~25% or less under polluted conditions. In addition to accuracy, Table 8 highlights the computational advantage of the DWDOAS approach. Compared with conventional DOAS, DWDOAS reduces the average per-orbit processing time from 449.00 s to 134.42 s for EMI-II and from 2121.19 s to 154.99 s for TROPOMI. Taken together, these results indicate that the large relative errors observed under clean conditions mainly stem from the proximity to the detection limit, whereas under moderate and high NO2 loadings, DWDOAS achieves retrieval accuracy comparable to standard DOAS while offering a substantial gain in computational efficiency.
These differences are consistent with previously reported characteristics of DWDOAS: because it relies on a limited number of discrete wavelengths, the spectral structural information is relatively sparse, making it more sensitive to random noise and prone to amplifying striping and fitting residuals at the single-pixel level. Unlike DOAS, which can effectively remove broadband structures using higher-order polynomials, DWDOAS is constrained by sparse fixed-channel sampling and can only employ lower-order polynomials, limiting its ability to fully fit complex surface reflection or scattering structures. This results in residual structures that further increase inter-pixel error variability. Therefore, DWDOAS is theoretically more prone to higher uncertainties in clean regions, which aligns with the results shown in Figure 11.

5. Conclusions and Outlook

This study presents a systematic evaluation of NO2 retrieval performance from TROPOMI and EMI-II L1B data under reduced spectral information using the DWDOAS approach, with particular emphasis on the roles of spectral resolution, wavelength selection, and noise characteristics. By selecting fourteen representative wavelengths and simulating retrievals across a range of full width at half maximum (FWHM) conditions, combined with an entropy weight method to quantitatively assess wavelength–resolution configurations, we demonstrate that DWDOAS performance is strongly governed by spectral configuration. For both instruments, optimal retrieval performance is consistently achieved at an FWHM of approximately 2.0 nm, indicating that this resolution provides an effective balance between preserving NO2 absorption features and suppressing spectral noise.
While DWDOAS is generally capable of maintaining retrieval performance comparable to that of traditional DOAS, the uncertainty analysis reveals that its retrieval uncertainty and detection limits are typically higher. Moreover, DWDOAS exhibits increased sensitivity to spectral noise, striping effects, and fitting residuals. These effects are particularly pronounced in low-latitude regions, where radiance variability induced by clouds and aerosols contributes to larger retrieval errors. This finding highlights the necessity of region-specific constraints, parameter optimization, and sufficiently high instrument signal-to-noise ratios for reliable application of DWDOAS under diverse observation conditions.
From an instrument design perspective, this work quantitatively explores the trade-offs associated with reduced spectral sampling. Sparse wavelength selection enables two-dimensional spatial imaging and reduces scanning time, thereby improving observational efficiency for dynamically evolving atmospheric processes. The results confirm that DWDOAS is feasible under limited spectral information; however, its performance remains highly dependent on appropriate wavelength configuration, instrument spectral response, and observation conditions, underscoring the importance of tailored parameter optimization for different sensor characteristics.
Although this study provides initial validation of the DWDOAS methodology and its practical feasibility, several aspects warrant further investigation. The current wavelength selection strategy is based on continuous peak–trough regions of NO2 absorption; future work could assess the sensitivity of individual wavelengths to further reduce the number of spectral channels and data volume while maintaining retrieval accuracy. In addition, certain wavelength–resolution combinations exhibit relatively large systematic biases despite high stability, suggesting potential for improvement through refined fitting weights and constraints.
Furthermore, the Gaussian convolution applied to simulate different spectral resolutions may introduce artificial smoothing effects. More physically representative approaches, such as convolution using instrument-specific spectral response functions or radiative transfer modeling tools (e.g., SCIATRAN or HEIPRO), should be explored to better reproduce realistic observation characteristics. Future extensions of this work will also incorporate ancillary information, including aerosol optical properties and cloud products, to conduct more comprehensive sensitivity analyses under realistic atmospheric conditions. Systematic cross-validation with independent observations—such as satellite data, ground-based multi-axis DOAS measurements, and other external datasets—will be essential for robust assessment of retrieval accuracy and stability.
Finally, the demonstrated efficiency and adaptability of the DWDOAS algorithm provide valuable guidance for the design of future miniaturized satellite instruments with high temporal resolution. Further studies may extend this approach to other trace gases, such as formaldehyde (HCHO), and promote broader application of discrete-wavelength retrieval strategies in atmospheric remote sensing.

Author Contributions

Conceptualization, R.S.; Methodology, R.S. and L.X.; Software, R.S. and L.X.; Validation, R.S.; Formal analysis, R.S.; Investigation, R.S.; Resources, R.S. and L.X.; Data curation, R.S.; Writing original draft, R.S.; Writing—review & editing, R.S., L.X., H.Z., F.S. and Y.Z.; Visualization, R.S. and L.X.; Supervision, Y.Z., H.Z. and F.S.; Project administration, H.Z. and F.S.; Funding acquisition, H.Z. All authors have read and agreed to the published version of the manuscript.

Funding

This study was financially supported by the National Key R&D Program of China (No. 2022YFB3904805).

Data Availability Statement

The TROPOMI Level 1B data (L1B_RA_BD4 and L1B_IR_UVN) used in this work is publicly available on the Copernicus Sentinel-5P data hub (https://dataspace.copernicus.eu/explore-data/data-collections/sentinel-data/sentinel-5p, access on 30 November 2025) [41,42]. The EMI-II Level 1B data used in this study are not yet publicly may be obtained from the authors upon reasonable request.

Acknowledgments

We are thankful to the following agencies for providing the satellite data: the Sentinel-5P TROPOMI Level 1B product is developed by KNMI with funding from the Netherlands Space Office (NSO) and processed with funding from the European Space Agency (ESA). We also thank the Anhui Institute of Optics and Fine Mechanics for providing satellite data related to EMI-II.

Conflicts of Interest

The authors declare no conflicts of interest.

Appendix A

Figure A1 illustrates the wavelength-dependent behavior of the IRR, NSI, and the composite Score at the 14 candidate discrete wavelengths selected in Figure 2. Each panel corresponds to one individual wavelength and characterizes its capability in preserving spectral absorption information, suppressing noise, and achieving overall retrieval performance. It should be noted that the 14 wavelengths shown in Appendix A represent the initial candidate set used for performance screening, whereas the 10 wavelength combination schemes listed in Table 3 are constructed from these candidates and optimized for NO2 retrieval. Therefore, Figure A1 serves to illustrate the intrinsic performance characteristics of individual wavelengths, while Table 3 summarizes the final wavelength combinations adopted in the main retrieval analysis.
Figure A1. FWHM-dependent performance of IRR, NSI, and the composite Score at the 14 candidate discrete wavelengths selected in Figure 2, showing wavelengths from 424 to 438 nm.
Figure A1. FWHM-dependent performance of IRR, NSI, and the composite Score at the 14 candidate discrete wavelengths selected in Figure 2, showing wavelengths from 424 to 438 nm.
Remotesensing 18 00481 g0a1
Figure A2. Same as Figure A1, showing wavelengths from 439 to 450 nm.
Figure A2. Same as Figure A1, showing wavelengths from 439 to 450 nm.
Remotesensing 18 00481 g0a2

Appendix B

Table A1, Table A2, Table A3 and Table A4 present the central value μ and standard deviation σ of the relative error probability density distributions for TROPOMI and EMI-IIunder different wavelength–spectral resolution configurations. Based on these statistics, an entropy-weighting method is applied to objectively determine the contribution of each parameter and calculate the comprehensive Index, which is used to quantitatively evaluate the impact of spectral configuration on DWDOAS retrieval performance.
Table A1. Central values of the relative error probability density distributions for TROPOMI.
Table A1. Central values of the relative error probability density distributions for TROPOMI.
Combination NumberFWHM (nm)
0.50.81.01.21.51.82.02.22.52.83.0
12.17−1.86−1.82−1.11−0.060.550.740.820.780.620.48
2−0.18 −2.02−0.970.411.442.042.71 −0.91
3−0.27−2.25−2.04−1.380.26 −1.37 −0.78
41.57−0.98−1.27−1.02−0.48−0.120.030.120.210.260.28
5−2.02−2.62−2.54−2.31−1.71−1.01−0.62−0.280.270.861.24
6−0.24−2.36−2.44−2.40−2.22−1.94−1.69−1.37−0.82−0.280.03
7−0.94−2.54−2.50−2.27−1.72−1.11−0.76−0.48−0.170.060.18
8−1.14−2.61−2.56−2.36−1.81−1.15−0.77−0.43−0.0230.370.64
9−0.74−2.17−2.17−1.91−1.39−0.96−0.71−0.46−0.080.340.67
10−0.39−1.66−1.73−1.50−1.06−0.74−0.58−0.46−0.34−0.26−0.24
1 Unit: ×1015 molecules · cm−2.
Table A2. Standard deviation of the relative error probability density distributions for TROPOMI.
Table A2. Standard deviation of the relative error probability density distributions for TROPOMI.
Combination NumberFWHM (nm)
0.50.81.01.21.51.82.02.22.52.83.0
113.48.809.418.375.855.005.155.576.287.107.70
210.3 9.147.825.668.3411.816.9 16.0
37.3911.010.89.467.91 1.69 15.8
411.16.447.617.336.436.055.86.156.476.877.08
58.8015.114.311.49.868.747.797.046.908.810.9
67.9611.913.913.611.811.011.211.611.29.818.78
76.2012.312.710.79.709.669.429.228.938.808.85
86.4114.213.711.29.519.158.628.187.457.257.87
96.499.379.349.048.637.967.537.316.656.266.60
106.389.219.048.808.348.108.108.188.629.5910.5
1 Unit: ×1014 molecules · cm−2.
Table A3. Central values of the relative error probability density distributions for EMI.
Table A3. Central values of the relative error probability density distributions for EMI.
Combination NumberFWHM (nm)
0.50.81.01.21.51.82.02.22.52.83.0
1−0.660.9831.221.150.730.260.013−0.18−0.42−0.60−0.71
21.45 0.430.700.18−0.48−0.68−0.77
30.681.551.661.350.010.72
4−0.190.731.011.041.061.081.111.381.451.561.59
51.602.042.142.161.961.681.491.841.631.461.35
61.221.751.972.162.112.062.05 2.622.54
71.031.521.871.911.721.691.622.121.951.791.69
81.331.82.051.981.821.711.622.061.831.671.57
91.321.61.611.561.441.381.331.721.581.471.43
101.221.451.461.441.351.311.291.681.611.571.55
1 Unit: ×1015 molecules · cm−2.
Table A4. Standard deviation of the relative error probability density distributions for EMI.
Table A4. Standard deviation of the relative error probability density distributions for EMI.
Combination NumberFWHM (nm)
0.50.81.01.21.51.82.02.22.52.83.0
114.713.714.112.39.319.737.8610.411.211.812.1
213.7 15.912.911.615.117.5
314.317.116.513.81525.7
412.59.5310.910.58.999.39.6510.310.811.511.9
516.619.718.817.916.214.913.814.415.918.22.05
61318.518.719.419.218.718.1 13.814.2
713.819.2191816.215.114.913.213.51414.7
815.119.519.318.115.814.913.913.414.215.917.6
912.915.31614.71312.11212.412.71314.0
1012.91414.2141313.11414.31618.420.1
1 Unit: ×1014 molecules · cm−2.

Appendix C

This appendix presents the global distribution of tropospheric NO2 vertical column densities (VCDs) derived from satellite observations, together with their relative differences. Figure A3 and Figure A4 summarize the comparison results for the TROPOMI and EMI-II sensors, respectively, using all available single-track data for representative months. In each figure, the left panel shows the global spatial distribution of DW-DOAS NO2 VCDs, while the right panel illustrates the relative differences with respect to the DOAS results, defined as (DW-DOAS − DOAS)/DOAS and expressed as percentages. To reduce retrieval uncertainties under high solar zenith angle conditions, the analysis is restricted to the latitude range of 60°S–60°N.
Figure A3. (Left) TROPOMI global DW-DOAS NO2 VCDs data for all orbits in December 2022 and March, June, and September 2023; (Right) Relative difference with DOAS results, calculated as (DWDOAS − DOAS)/DOAS and expressed as a percentage. Latitude range is limited to [60°S, 60°N].
Figure A3. (Left) TROPOMI global DW-DOAS NO2 VCDs data for all orbits in December 2022 and March, June, and September 2023; (Right) Relative difference with DOAS results, calculated as (DWDOAS − DOAS)/DOAS and expressed as a percentage. Latitude range is limited to [60°S, 60°N].
Remotesensing 18 00481 g0a3
Figure A4. (Left) All single-track global DW-DOAS NO2 VCDs data from EMI-II for December 2024 and March, June, and September 2025; (Right) Relative difference compared to DOAS results, calculated as (DWDOAS − DOAS)/DOAS and expressed as a percentage. Latitude range is limited to [60°S, 60°N].
Figure A4. (Left) All single-track global DW-DOAS NO2 VCDs data from EMI-II for December 2024 and March, June, and September 2025; (Right) Relative difference compared to DOAS results, calculated as (DWDOAS − DOAS)/DOAS and expressed as a percentage. Latitude range is limited to [60°S, 60°N].
Remotesensing 18 00481 g0a4

References

  1. Jion, M.M.M.F.; Jannat, J.N.; Mia, Y.; Ali, A.; Islam, S.; Ibrahim, S.M.; Pal, S.C.; Islam, A.; Sarker, A.; Malafaia, G.; et al. A Critical Review and Prospect of NO2 and SO2 Pollution over Asia: Hotspots, Trends, and Sources. Sci. Total Environ. 2023, 876, 162851. [Google Scholar] [CrossRef] [PubMed]
  2. Melamed, M.L.; Schmale, J.; Von Schneidemesser, E. Sustainable Policy—Key Considerations for Air Quality and Climate Change. Curr. Opin. Environ. Sustain. 2016, 23, 85–91. [Google Scholar] [CrossRef]
  3. Kuerban, M.; Waili, Y.; Fan, F.; Liu, Y.; Qin, W.; Dore, A.J.; Peng, J.; Xu, W.; Zhang, F. Spatio-Temporal Patterns of Air Pollution in China from 2015 to 2018 and Implications for Health Risks. Environ. Pollut. 2020, 258, 113659. [Google Scholar] [CrossRef]
  4. Wallace, J.M.; Hobbs, P.V. Atmospheric Chemistry. In Atmospheric Science, 2nd ed.; Wallace, J.M., Hobbs, P.V., Eds.; Academic Press: San Diego, CA, USA, 2006; pp. 153–207. [Google Scholar]
  5. Huang, T.; Zhu, X.; Zhong, Q.; Yun, X.; Meng, W.; Li, B.; Ma, J.; Zeng, E.Y.; Tao, S. Spatial and Temporal Trends in Global Emissions of Nitrogen Oxides from 1960 to 2014. Environ. Sci. Technol. 2017, 51, 7992–8000. [Google Scholar] [CrossRef] [PubMed]
  6. Richter, A.; Burrows, J.P.; Nüß, H.; Granier, C.; Niemeier, U. Increase in Tropospheric Nitrogen Dioxide over China Observed from Space. Nature 2005, 437, 129–132. [Google Scholar] [CrossRef]
  7. Streets, D.G.; Bond, T.C.; Carmichael, G.R.; Fernandes, S.D.; Fu, Q.; He, D.; Klimont, Z.; Nelson, S.M.; Tsai, N.Y.; Wang, M.Q.; et al. An Inventory of Gaseous and Primary Aerosol Emissions in Asia in the Year 2000. J. Geophys. Res. 2003, 108, GTE30.1–GTE30.23. [Google Scholar] [CrossRef]
  8. Burns, D.A.; Aherne, J.; Gay, D.A.; Lehmann, C.M.B. Acid Rain and Its Environmental Effects: Recent Scientific Advances. Atmos. Environ. 2016, 146, 1–4. [Google Scholar] [CrossRef]
  9. Dunlea, E.J.; Herndon, S.C.; Nelson, D.D.; Volkamer, R.M.; San Martini, F.; Sheehy, P.M.; Zahniser, M.S.; Shorter, J.H.; Wormhoudt, J.C.; Lamb, B.K.; et al. Evaluation of Nitrogen Dioxide Chemiluminescence Monitors in a Polluted Urban Environment. Atmos. Chem. Phys. 2007, 7, 2691–2704. [Google Scholar] [CrossRef]
  10. Xia, L.; Zhang, G.; Liu, L.; Li, B.; Zhan, M.; Kong, P.; Wang, H. Atmospheric CO2 and CO at Jingdezhen Station in Central China: Understanding the Regional Transport and Combustion Efficiency. Atmos. Environ. 2020, 222, 117104. [Google Scholar] [CrossRef]
  11. van Noije, T.P.C.; Eskes, H.J.; Dentener, F.J.; Stevenson, D.S.; Ellingsen, K.; Schultz, M.G.; Wild, O.; Amann, M.; Atherton, C.S.; Bergmann, D.J.; et al. Multi-Model Ensemble Simulations of Tropospheric NO2 Compared with GOME Retrievals for the Year 2000. Atmos. Chem. Phys. 2006, 6, 2943–2979. [Google Scholar] [CrossRef]
  12. van der A, R.J.; Eskes, H.J.; Boersma, K.F.; van Noije, T.P.C.; Van Roozendael, M.; De Smedt, I.; Peters, D.H.M.U.; Meijer, E.W. Trends, Seasonal Variability and Dominant NOx Source Derived from a Ten Year Record of NO2 Measured from Space. J. Geophys. Res. Atmos. 2008, 113. [Google Scholar] [CrossRef]
  13. Lerma, Z.O.; Cardenas, C.R.; Friedrich, M.M.; Stremme, W.; Bezanilla, A.; Arellano, E.J.; Grutter, M. Evaluation of OMI NO2 Vertical Columns Using MAX-DOAS Observations over Mexico City. Remote Sens. 2021, 13, 761. [Google Scholar] [CrossRef]
  14. Benavent, N.; Garcia-Nieto, D.; Wang, S.; Saiz-Lopez, A. MAX-DOAS Measurements and Vertical Profiles of Glyoxal and Formaldehyde in Madrid, Spain. Atmos. Environ. 2019, 199, 357–367. [Google Scholar] [CrossRef]
  15. Park, J.-U.; Kim, H.-J.; Park, J.-S.; Choi, J.; Park, S.S.; Bae, K.; Lee, J.-J.; Song, C.-K.; Park, S.; Shim, K.; et al. Airborne Observation with a Low-Cost Hyperspectral Instrument: Retrieval of NO2 Vertical Column Densities (VCDs) and the Satellite Sub-Grid Variability over Industrial Point Sources. Atmos. Meas. Tech. 2024, 17, 197–217. [Google Scholar] [CrossRef]
  16. Biswas, M.S.; Mali, P.; Lerot, C.; De Smedt, I.; Mahajan, A.S. Study of Atmospheric Glyoxal Using Multiple Axis Differential Optical Spectroscopy (MAX-DOAS) in India. Atmos. Environ. 2023, 314, 120109. [Google Scholar] [CrossRef]
  17. Xu, J.; Li, A.; Hu, Z.; Zhang, H.; Qin, M. Study of NO2 and HCHO Vertical Profile Measurement Based on Fast Synchronous Multi-Axis Differential Optical Absorption Spectroscopy (FS MAX-DOAS). Atmos. Meas. Tech. 2025, 18, 865–879. [Google Scholar] [CrossRef]
  18. Veefkind, J.P.; de Haan, J.F.; Sneep, M.; Levelt, P.F. Improvements to the OMI O2–O2 Operational Cloud Algorithm and Comparisons with Ground-Based Radar–Lidar Observations. Atmos. Meas. Tech. 2016, 9, 6035–6049. [Google Scholar] [CrossRef]
  19. van Geffen, J.; Eskes, H.; Compernolle, S.; Pinardi, G.; Verhoelst, T.; Lambert, J.-C.; Sneep, M.; ter Linden, M.; Ludewig, A.; Boersma, K.F.; et al. Sentinel-5P TROPOMI NO2 Retrieval: Impact of Version v2.2 Improvements and Comparisons with OMI and Ground-Based Data. Atmos. Meas. Tech. 2022, 15, 2037–2060. [Google Scholar] [CrossRef]
  20. Platt, U.; Stutz, J. Differential Optical Absorption Spectroscopy: Principles and Applications. In Physics of Earth and Space Environments; Springer: Berlin, Germany, 2008; ISBN 978-3-540-21193-8. [Google Scholar]
  21. Heue, K.-P.; Wagner, T.; Broccardo, S.P.; Walter, D.; Piketh, S.J.; Ross, K.E.; Beirle, S.; Platt, U. Direct Observation of Two Dimensional Trace Gas Distributions with an Airborne Imaging DOAS Instrument. Atmos. Chem. Phys. 2008, 8, 6707–6717. [Google Scholar] [CrossRef]
  22. Lohberger, F.; Hönninger, G.; Platt, U. Ground-Based Imaging Differential Optical Absorption Spectroscopy of Atmospheric Gases. Appl. Opt. 2004, 43, 4711. [Google Scholar] [CrossRef]
  23. Bobrowski, N.; Hönninger, G.; Lohberger, F.; Platt, U. IDOAS: A New Monitoring Technique to Study the 2D Distribution of Volcanic Gas Emissions. J. Volcanol. Geotherm. Res. 2006, 150, 329–338. [Google Scholar] [CrossRef]
  24. Ingmann, P.; Veihelmann, B.; Langen, J.; Lamarre, D.; Stark, H.; Courrèges-Lacoste, G.B. Requirements for the GMES Atmosphere Service and ESA’s Implementation Concept: Sentinels-4/-5 and -5p. Remote Sens. Environ. 2012, 120, 58–69. [Google Scholar] [CrossRef]
  25. Heath, D.F.; Krueger, A.J.; Roeder, H.A.; Henderson, B.D. The Solar Backscatter Ultraviolet and Total Ozone Mapping Spectrometer (SBUV/TOMS) for NIMBUS G. Opt. Eng. 1975, 14, 323–331. [Google Scholar] [CrossRef]
  26. Mori, T.; Burton, M. The SO2 Camera: A Simple, Fast and Cheap Method for Ground-based Imaging of SO2 in Volcanic Plumes. Geophys. Res. Lett. 2006, 33, 2006GL027916. [Google Scholar] [CrossRef]
  27. Bluth, G.J.S.; Shannon, J.M.; Watson, I.M.; Prata, A.J.; Realmuto, V.J. Development of an Ultra-Violet Digital Camera for Volcanic SO2 Imaging. J. Volcanol. Geotherm. Res. 2007, 161, 47–56. [Google Scholar] [CrossRef]
  28. Kern, C.; Kick, F.; Lübcke, P.; Vogel, L.; Wöhrbach, M.; Platt, U. Theoretical Description of Functionality, Applications, and Limitations of SO2 Cameras for the Remote Sensing of Volcanic Plumes. Atmos. Meas. Tech. 2010, 3, 733–749. [Google Scholar] [CrossRef]
  29. Dekemper, E.; Loodts, N.; Opstal, B.V.; Maes, J.; Vanhellemont, F.; Mateshvili, N.; Franssens, G.; Pieroux, D.; Bingen, C.; Robert, C.; et al. Tunable Acousto-Optic Spectral Imager for Atmospheric Composition Measurements in the Visible Spectral Domain. Appl. Opt. 2012, 51, 6259–6267. [Google Scholar] [CrossRef]
  30. Dekemper, E.; Vanhamel, J.; Van Opstal, B.; Fussen, D. The AOTF-Based NO2 Camera. Atmos. Meas. Tech. 2016, 9, 6025–6034. [Google Scholar] [CrossRef]
  31. Villena, C.R.; Anand, J.S.; Leigh, R.J.; Monks, P.S.; Parfitt, C.E.; Hey, J.D.V. Discrete-Wavelength DOAS NO2 Slant Column Retrievals from OMI and TROPOMI. Atmos. Meas. Tech. 2020, 13, 1735–1756. [Google Scholar] [CrossRef]
  32. Veefkind, J.P.; Aben, I.; McMullan, K.; Förster, H.; De Vries, J.; Otter, G.; Claas, J.; Eskes, H.J.; De Haan, J.F.; Kleipool, Q.; et al. TROPOMI on the ESA Sentinel-5 Precursor: A GMES Mission for Global Observations of the Atmospheric Composition for Climate, Air Quality and Ozone Layer Applications. Remote Sens. Environ. 2012, 120, 70–83. [Google Scholar] [CrossRef]
  33. Xia, C.; Liu, C.; Cai, Z.; Zhao, F.; Su, W.; Zhang, C.; Liu, Y. First Sulfur Dioxide Observations from the Environmental Trace Gases Monitoring Instrument (EMI) Onboard the GeoFen-5 Satellite. Sci. Bull. 2021, 66, 969–973. [Google Scholar] [CrossRef]
  34. Chan, K.L.; Wang, Z.; Ding, A.; Heue, K.-P.; Shen, Y.; Wang, J.; Zhang, F.; Shi, Y.; Hao, N.; Wenig, M. MAX-DOAS Measurements of Tropospheric NO2 and HCHO in Nanjing and a Comparison to Ozone Monitoring Instrument Observations. Atmos. Chem. Phys. 2019, 19, 10051–10071. [Google Scholar] [CrossRef]
  35. Serdyuchenko, A.; Gorshelev, V.; Weber, M.; Chehade, W.; Burrows, J.P. High Spectral Resolution Ozone Absorption Cross-Sections—Part 2: Temperature Dependence. Atmos. Meas. Tech. 2014, 7, 625–636. [Google Scholar] [CrossRef]
  36. Thalman, R.; Volkamer, R. Temperature Dependent Absorption Cross-Sections of O2–O2 Collision Pairs between 340 and 630 Nm and at Atmospherically Relevant Pressure. Phys. Chem. Chem. Phys. 2013, 15, 15371–15381. [Google Scholar] [CrossRef]
  37. Vandaele, A.C.; Hermans, C.; Simon, P.C.; Carleer, M.; Colin, R.; Fally, S.; Mérienne, M.F.; Jenouvrier, A.; Coquart, B. Measurements of the NO2 Absorption Cross-Section from 42 000 Cm−1 to 10 000 Cm−1 (238–1000 Nm) at 220 K and 294 K. J. Quant. Spectrosc. Radiat. Transf. 1998, 59, 171–184. [Google Scholar] [CrossRef]
  38. Boersma, K.F.; Eskes, H.J.; Veefkind, J.P.; Brinksma, E.J.; Levelt, P.F.; Stammes, P.; Gleason, J.F.; Bucsela, E.J. Near-Real Time Retrieval of Tropospheric NO2 from OMI. Atmos. Chem. Phys. 2007, 7, 2103–2118. [Google Scholar] [CrossRef]
  39. Zara, M.; Boersma, K.F.; De Smedt, I.; Richter, A.; Peters, E.; Van Geffen, J.H.G.M.; Beirle, S.; Wagner, T.; Van Roozendael, M.; Marchenko, S.; et al. Improved Slant Column Density Retrieval of Nitrogen Dioxide and Formaldehyde for OMI and GOME-2A from QA4ECV: Intercomparison, Uncertainty Characterisation, and Trends. Atmos. Meas. Tech. 2018, 11, 4033–4058. [Google Scholar] [CrossRef]
  40. Hausmann, M.; Brandenburger, U.; Brauers, T.; Dorn, H.-P. Simple Monte Carlo Methods to Estimate the Spectra Evaluation Error in Differential-Optical-Absorption Spectroscopy. Appl. Opt. 1999, 38, 462. [Google Scholar] [CrossRef]
  41. Copernicus Sentinel-5P, TROPOMI Level 1B Radiance Products, Version 02; European Space Agency: Paris, France, 2021. [CrossRef]
  42. Copernicus Sentinel-5P, TROPOMI Level 1B Irradiance Products, Version 02; European Space Agency: Paris, France, 2021. [CrossRef]
Figure 1. Flowchart of the spectral data retrieval and processing scheme for NO2 analysis.
Figure 1. Flowchart of the spectral data retrieval and processing scheme for NO2 analysis.
Remotesensing 18 00481 g001
Figure 2. Absorption cross-sections of relevant gases (solid lines) and the positions of selected wavelengths (dashed lines).
Figure 2. Absorption cross-sections of relevant gases (solid lines) and the positions of selected wavelengths (dashed lines).
Remotesensing 18 00481 g002
Figure 3. Simulation results under FWHM: (a) simulated irradiance spectra at different FWHM values, and (b) corresponding Score values as a function of FWHM.
Figure 3. Simulation results under FWHM: (a) simulated irradiance spectra at different FWHM values, and (b) corresponding Score values as a function of FWHM.
Remotesensing 18 00481 g003
Figure 4. Spatial distribution and consistency analysis of TROPOMI NO2 VCD retrievals on 20 December 2022: (a) VCD retrieved by the DOAS method, (b) VCDs retrieved by the DWDOAS method, (c) relative error between the two methods, calculated as (DWDOAS − DOAS)/DOAS, and (d) correlation between DOAS- and DWDOAS-derived VCD.
Figure 4. Spatial distribution and consistency analysis of TROPOMI NO2 VCD retrievals on 20 December 2022: (a) VCD retrieved by the DOAS method, (b) VCDs retrieved by the DWDOAS method, (c) relative error between the two methods, calculated as (DWDOAS − DOAS)/DOAS, and (d) correlation between DOAS- and DWDOAS-derived VCD.
Remotesensing 18 00481 g004
Figure 5. Relative error analysis of TROPOMI NO2 VCD along the orbit shown in Figure 4: (a) probability density distribution of relative errors, and (b) Monte Carlo–based error simulation results.
Figure 5. Relative error analysis of TROPOMI NO2 VCD along the orbit shown in Figure 4: (a) probability density distribution of relative errors, and (b) Monte Carlo–based error simulation results.
Remotesensing 18 00481 g005
Figure 6. NO2 VCD Retrieved by DWDOAS and DOAS for the Selected TROPOMI Orbit on 20 December 2022: (a) DOAS results, (b) DWDOAS results, (c) relative error between the two methods, (d) correlation analysis.
Figure 6. NO2 VCD Retrieved by DWDOAS and DOAS for the Selected TROPOMI Orbit on 20 December 2022: (a) DOAS results, (b) DWDOAS results, (c) relative error between the two methods, (d) correlation analysis.
Remotesensing 18 00481 g006
Figure 7. Relative Error Analysis for the Selected TROPOMI Orbit on 20 December 2022.
Figure 7. Relative Error Analysis for the Selected TROPOMI Orbit on 20 December 2022.
Remotesensing 18 00481 g007
Figure 8. NO2 VCD Retrieved by DWDOAS and DOAS for the Selected EMI-II Orbit on 10 December 2024: (a) DOAS results, (b) DWDOAS results, (c) relative error between the two methods, (d) correlation analysis.
Figure 8. NO2 VCD Retrieved by DWDOAS and DOAS for the Selected EMI-II Orbit on 10 December 2024: (a) DOAS results, (b) DWDOAS results, (c) relative error between the two methods, (d) correlation analysis.
Remotesensing 18 00481 g008
Figure 9. Relative Error Analysis for the Selected EMI-II Orbit on 10 December 2024.
Figure 9. Relative Error Analysis for the Selected EMI-II Orbit on 10 December 2024.
Remotesensing 18 00481 g009
Figure 10. Heatmap of the TROPOMI (left) and EMI-II (right) Index. Nan values represent invalid or missing data.
Figure 10. Heatmap of the TROPOMI (left) and EMI-II (right) Index. Nan values represent invalid or missing data.
Remotesensing 18 00481 g010
Figure 11. Per-pixel uncertainty and LOD of TROPOMI and EMI-II over the Pacific region: (a) TROPOMI-derived NO2 VCD with pixel-level uncertainty ranges (shaded), (b) LOD derived from two retrieval methods for TROPOMI, (c) EMI-II-derived NO2 VCD with pixel-level uncertainty ranges (shaded), and (d) LOD derived from two retrieval methods for EMI-II.
Figure 11. Per-pixel uncertainty and LOD of TROPOMI and EMI-II over the Pacific region: (a) TROPOMI-derived NO2 VCD with pixel-level uncertainty ranges (shaded), (b) LOD derived from two retrieval methods for TROPOMI, (c) EMI-II-derived NO2 VCD with pixel-level uncertainty ranges (shaded), and (d) LOD derived from two retrieval methods for EMI-II.
Remotesensing 18 00481 g011
Table 1. Instrument technical specifications.
Table 1. Instrument technical specifications.
ParametersTROPOMIEMI-II
Spectral range (nm)400–499401–550
Spectral resolution (nm)0.45–0.650.3–0.5
Spectral sampling (nm)0.1950.101
Spatial sampling(km2)5.5 × 3.548 × 13
Signal-to-noise ratio12001300
Table 2. Parameter configuration for NO2 retrieval; “√” means the parameters were used in the retrieval calculation.
Table 2. Parameter configuration for NO2 retrieval; “√” means the parameters were used in the retrieval calculation.
Retrieval ParameterRetrieval Condition
DOASDWDOAS
PolynomialOrder 5Order 2
Fitting window420–450 nm420–450 nm
Reference spectrumSolar irradianceSolar irradiance
O3 (223 K, I0-corrected) [35]
O4 (293 K) [36]
NO2 (294 K, I0-corrected) [37]
H2O
Ring Calculated using QDOASCalculated using QDOAS
Shift and stretchYESNO
Table 3. Wavelength Combination Schemes.
Table 3. Wavelength Combination Schemes.
Wavelength (nm)Combination Number
12345678910
424.465
426.430
428.000
429.774
430.895
432.520
435.056
437.990
439.198
441.766
444.712
446.685
448.071
449.854
1 Each column (Combination number 1–10) represents one wavelength combination. 2 A check mark (✔) indicates that the corresponding wavelength is included in that combination.
Table 4. Summary of index values calculated from TROPOMI observations.
Table 4. Summary of index values calculated from TROPOMI observations.
Combination NumberFWHM (nm)
0.50.81.01.21.51.82.02.22.52.83.0
10.7940.6450.640.4110.0620.1990.2610.2890.2850.2460.211
20.149 0.6970.3620.1650.5110.7351 0.44
30.1450.790.7230.5060.146 0.411 0.398
40.5830.3470.4510.3710.1970.080.0530.0830.1140.1340.142
50.6930.9510.9170.8130.6110.3850.2550.1420.1370.340.48
60.1420.8340.8820.8660.790.6950.6210.5280.3560.1750.085
70.3340.8940.8860.7920.6130.4260.3170.2290.1310.0960.133
80.3970.9370.9160.8260.6380.4320.310.2010.0680.1720.262
90.2760.7460.7460.6630.4990.360.2760.20.0760.1510.256
100.1680.5880.6080.5350.3950.2940.2430.210.1790.1660.171
1 w1 = 0.82; w2 = 0.18 2 Optimal configuration: FWHM = 2 nm, Combination number 1.
Table 5. Summary of index values calculated from EMI-II observations.
Table 5. Summary of index values calculated from EMI-II observations.
Combination NumberFWHM (nm)
0.50.81.01.21.51.82.02.22.52.83.0
10.3320.4070.4770.4360.2850.1620.0720.1480.2230.2800.313
20.535 0.2830.3200.1630.2870.3710.438
30.3320.6030.6260.5090.1580.482
40.1770.2880.3810.3840.3710.3800.3930.4740.4990.5380.551
50.6110.7690.7850.7790.7040.6120.5470.6500.6110.5920.365
60.4630.6750.7370.7980.7820.7620.752 0.8550.838
70.4210.6210.7140.7130.6390.6170.5960.7110.6690.6310.612
80.5190.7010.7670.7330.6610.6200.5830.6970.6440.6210.615
90.4890.5950.6060.5770.5230.4960.4810.5920.5580.5320.533
100.4620.5380.5430.5360.4990.4890.4950.6050.6060.6250.640
1 w1 = 0.71; w2 = 0.29 2 Optimal configuration: FWHM = 2 nm, Combination number 1.
Table 6. Statistical performance of EMI-II NO2 VCD retrievals in different concentration regimes defined by the LOD.
Table 6. Statistical performance of EMI-II NO2 VCD retrievals in different concentration regimes defined by the LOD.
IntervalSample SizeAverage Error
(×1014)
Average
Relative Error (%)
[0, 1.20 × 1015)159,97512.29648.7
[1.20 × 1015, 3.60 × 1015)736,7909.1341.23
[3.60 × 1015, +∞)425,64511.7124.43
Table 7. Statistical performance of TROPOMI NO2 VCD retrievals in different concentration regimes defined by the LOD.
Table 7. Statistical performance of TROPOMI NO2 VCD retrievals in different concentration regimes defined by the LOD.
IntervalSample SizeAverage Error
(×1014)
Average
Relative Error (%)
[0, 0.82 × 1015)84,29019.11820.6
[0.82 × 1015, 2.46 × 1015)7,224,9185.5124.81
[2.46 × 1015, +∞)9,303,2087.3715.89
Table 8. Average processing time per orbit for EMI-II and TROPOMI datasets (The unit is seconds).
Table 8. Average processing time per orbit for EMI-II and TROPOMI datasets (The unit is seconds).
DOASDWDOAS
EMI-II449.00 s134.42 s
TROPOMI2121.19 s154.99 s
Disclaimer/Publisher’s Note: The statements, opinions and data contained in all publications are solely those of the individual author(s) and contributor(s) and not of MDPI and/or the editor(s). MDPI and/or the editor(s) disclaim responsibility for any injury to people or property resulting from any ideas, methods, instructions or products referred to in the content.

Share and Cite

MDPI and ACS Style

Song, R.; Xi, L.; Zhou, H.; Zeng, Y.; Si, F. Feasibility and Optimization Analysis of Discrete-Wavelength DOAS for NO2 Retrieval Based on TROPOMI and EMI-II Observations. Remote Sens. 2026, 18, 481. https://doi.org/10.3390/rs18030481

AMA Style

Song R, Xi L, Zhou H, Zeng Y, Si F. Feasibility and Optimization Analysis of Discrete-Wavelength DOAS for NO2 Retrieval Based on TROPOMI and EMI-II Observations. Remote Sensing. 2026; 18(3):481. https://doi.org/10.3390/rs18030481

Chicago/Turabian Style

Song, Runze, Liang Xi, Haijin Zhou, Yi Zeng, and Fuqi Si. 2026. "Feasibility and Optimization Analysis of Discrete-Wavelength DOAS for NO2 Retrieval Based on TROPOMI and EMI-II Observations" Remote Sensing 18, no. 3: 481. https://doi.org/10.3390/rs18030481

APA Style

Song, R., Xi, L., Zhou, H., Zeng, Y., & Si, F. (2026). Feasibility and Optimization Analysis of Discrete-Wavelength DOAS for NO2 Retrieval Based on TROPOMI and EMI-II Observations. Remote Sensing, 18(3), 481. https://doi.org/10.3390/rs18030481

Note that from the first issue of 2016, this journal uses article numbers instead of page numbers. See further details here.

Article Metrics

Back to TopTop