Next Article in Journal
EFPNet: An Efficient Feature Perception Network for Real-Time Detection of Small UAV Targets
Previous Article in Journal
Agri-Fuse Spatiotemporal Fusion Integrated Multi-Model Synergy for High-Precision Cotton Yield Estimation in Arid Regions
 
 
Font Type:
Arial Georgia Verdana
Font Size:
Aa Aa Aa
Line Spacing:
Column Width:
Background:
Article

A Mirror-Reflection Method for Measuring Microwave Emissivity of Flat Scenes with Ground-Based Radiometers

1
School of Information, Hunan University of Humanities, Science and Technology, Loudi 417099, China
2
Hubei LuoJia Laboratory, Wuhan University, Wuhan 430079, China
*
Author to whom correspondence should be addressed.
Remote Sens. 2026, 18(2), 341; https://doi.org/10.3390/rs18020341
Submission received: 29 November 2025 / Revised: 11 January 2026 / Accepted: 13 January 2026 / Published: 20 January 2026

Highlights

What are the main findings?
  • A mirror-reflection-based measurement principle is established, showing that the mirror regions in passive microwave images can be explicitly modeled as a superposition of radiation contributions from the flat scene and the reference wall, rather than being treated as imaging artifacts.
  • By exploiting this mirror-reflection mechanism, a practical emissivity retrieval method is developed that enables quantitative estimation of flat-scene emissivity using ground-based radiometers without conventional absolute calibration, within a physically valid incidence-angle range.
What are the implications of the main findings?
  • The main findings demonstrate that mirror regions in passive microwave images can be physically interpreted and quantitatively modeled, which enables the development of a mirror-reflection-based emissivity measurement method for flat scenes without relying on conventional absolute radiometer calibration.
  • By exploiting the mirror-reflection geometry and a reference wall, the proposed method significantly simplifies the emissivity measurement procedure, avoiding additional calibration hardware and complex calibration operations under controlled experimental conditions.
  • The method improves the practical usability of passive microwave imaging systems for ground-based applications involving flat and homogeneous surfaces, such as system testing, experimental validation, and scenario-specific observations in security inspection, scene monitoring, and near-range remote sensing.

Abstract

Accurate brightness temperature (TB) measurements and microwave emissivity retrieval in passive microwave sensing conventionally rely on absolute radiometric calibration, which often requires additional hardware and complex procedures. Under well-defined geometric and environmental conditions, this study proposes a mirror-reflection-based method for measuring the microwave emissivity of flat scenes using ground-based radiometers without conventional absolute calibration. The method employs a simplified four-step observation sequence, in which the radiometer measures the pure flat scene, the flat scene with mirror reflection, the reference wall, and the cold sky. A geometric model is developed to determine the effective incidence-angle range, and an analytical framework is developed to evaluate retrieval accuracy. Numerical simulations are conducted to examine the effects of scene material, reference-wall property, operating frequency, polarization, and radiometric sensitivity. Outdoor experiments are further performed to assess feasibility under practical measurement conditions. The results show that, within moderate incidence-angle ranges and under stable radiometric conditions, the retrieved emissivities of flat scenes agree well with theoretical predictions. These findings indicate that the proposed mirror-reflection-based approach provides a feasible supplementary or alternative solution for emissivity estimation of flat targets in ground-based measurements when absolute calibration is unavailable or impractical, rather than a replacement for conventional calibration techniques.

1. Introduction

Microwave emissivity is a fundamental physical parameter of natural scenes and man-made objects in passive microwave remote sensing, target detection, and related applications [1,2]. Passive microwave radiometry has been widely used to measure the spatial distribution of brightness temperature (TB) over land and ocean surfaces [3,4,5], enabling the retrieval of key geophysical parameters such as soil moisture [3], snow depth [6], ice thickness [7], sea surface salinity [8], and sea surface temperature [5]. Reliable emissivity measurements are therefore essential for improving radiative transfer models and retrieval algorithms, and are commonly supported by field experiments using passive microwave radiometers [9].
Beyond Earth observation, passive microwave sensing has also shown growing potential in personal security inspection, scene surveillance, and target detection [10,11,12,13]. In these applications, accurate emissivity characterization of different materials (e.g., wood, metal, and composites) is crucial for material classification and scene interpretation [14,15,16]. Consequently, accurate and practical emissivity measurement methods remain a common requirement across a wide range of passive microwave sensing scenarios [17].
In conventional passive microwave remote sensing, emissivity is retrieved from calibrated TB measurements combined with the physical temperature of the observed surface [18,19]. This process relies critically on absolute radiometric calibration of the microwave radiometer [20]. Existing calibration approaches include external and internal methods [21]. External calibration typically requires periodic observations of reference sources with known TB, such as the cold sky and microwave absorbers [22], which often involve bulky hardware and complex operational procedures, especially for ground-based large-aperture radiometers. Internal calibration similarly depends on accurately characterized reference loads [22,23]. For passive interferometric radiometers, additional calibration subsystems, such as correlated-noise sources and calibration switches, are required, further increasing system complexity [24,25,26]. As a result, absolute calibration for large-aperture microwave radiometers is widely recognized as technically challenging and costly.
Under specific geometric conditions, a mirror-reflection phenomenon can be observed in passive microwave imaging when a flat and sufficiently smooth surface (e.g., calm water or flat concrete) behaves as a specular reflector at microwave wavelengths. Under such conditions, the measured TB is not solely determined by the intrinsic emission of the surface, but also includes reflected downwelling radiation from the upper hemisphere, such as the cold sky or nearby reference structures with known radiometric properties. Representative examples of this mirror-like effect have been reported in previous studies using different passive microwave imaging systems [27,28,29], illustrating a common physical mechanism applicable to ground-based radiometers observing flat scenes.
Figure 1 presents representative examples of mirror-like effects reported in previous passive microwave imaging studies [27,28,29]. These examples illustrate how objects or structures located above a flat surface can appear as mirrored features in the microwave image due to specular reflection.
It should be noted that Figure 1 serves as a conceptual illustration of the mirror-reflection phenomenon. The images shown therein were obtained using different passive microwave imaging systems, including security-inspection and experimental radiometers, and are not limited to a single instrument configuration. Nevertheless, the same physical mechanism applies to ground-based large-aperture microwave radiometers when observing flat scenes under appropriate geometric conditions.
Motivated by this phenomenon, this study proposes a microwave emissivity measurement method that explicitly exploits controlled mirror reflections generated by a reference wall. In the proposed configuration, the reflected radiation originates from well-characterized reference scenes (i.e., the reference wall and the cold sky), enabling quantitative modeling of the mirror-reflection signal for emissivity retrieval. A preliminary mirror-based approach was previously reported by Lu et al. [12]. However, its accuracy was limited by neglecting the incidence-angle dependence of emissivity nd by stringent geometric constraints. To address these limitations, this study develops an improved method that incorporates incidence-angle-dependent emissivity and establishes a rigorous geometric and radiometric framework, thereby extending the applicability of the mirror-reflection approach to flat scenes under controlled conditions.
Compared with conventional absolute calibration techniques, the proposed method can reduce hardware requirements and operational complexity for ground-based emissivity measurements of flat scenes. It is not intended to replace absolute calibration in general radiometric applications, but rather to provide a practical supplementary or alternative solution when absolute in situ calibration is unavailable or impractical.
The remainder of this study is organized as follows: Section 2 describes the proposed emissivity measurement method. Section 3 presents numerical simulations to evaluate its feasibility and accuracy. Section 4 reports outdoor experimental validation, followed by discussions in Section 5. Finally, Section 6 concludes the paper.

2. Materials and Methods

This section presents a microwave emissivity measurement method for flat scenes and targets based on a controlled mirror-reflection configuration. The underlying assumptions, measurement procedure, and analytical formulations for emissivity retrieval are described.

2.1. Microwave Emissivity Measurement Method

The proposed method is developed under several explicit assumptions. First, the observed scene or target is approximately flat and sufficiently smooth within the antenna footprint, such that specular reflection dominates. Second, the reference wall exhibits spatially homogeneous, stable, and well-characterized microwave emissivity over the illuminated area. Under these conditions, the method is applicable to controlled experimental or field-test scenarios involving flat scenes, rather than complex or heterogeneous terrains.
The measurement consists of a four-step observation sequence, in which the microwave radiometer sequentially observes the pure flat scene, the flat scene with mirror reflection, the reference wall, and the cold sky (Figure 2).
For a linear microwave radiometer, the output voltage V can be expressed as
V = G T B + v o f f ,
where G and voff denote the receiver gain and offset, respectively, and TB is the antenna temperature.
  • Step 1: Imaging the Pure Flat Scene
The radiometer first observes the flat scene directly (Figure 2a), yielding the corresponding output voltage Vt(θ):
V t ( θ ) = G ( e t ( θ ) T t p h y + ( 1 e t ( θ ) ) T down a t m o ( 90 θ ) ) + v o f f ,
where et (θ) is the emissivity of the flat scene at incidence angle θ, Ttphy is the physical temperature of the flat scene, and Tdownatmo denotes the atmospheric down-welling radiation, which depends on the pitch angle in the same manner as the radiometer observation.
  • Step 2: Imaging the Flat Scene with Mirror Reflection
A reference wall is placed adjacent to the flat scene within the radiometer field of view (Figure 2b). The wall is characterized by a known emissivity ew(θ), which may be high but is not necessarily unity in practice. The corresponding output voltage Vm(θ) is
V m ( θ ) = G ( e t ( θ ) T t p h y + ( 1 e t ( θ ) ( e w ( 90 θ ) T w p h y + ( 1 e w ( 90 θ ) T down a t m o ( 90 θ ) ) + v o f f ,
For an ideal microwave absorber with ew(θ) ≈ 1. Equation (3) reduces to the simplified form in Equation (4). In practical experiments, however, Equation (3) is retained, and the finite emissivity of the reference wall is explicitly incorporated.
V m ( θ ) = G ( e t ( θ ) T t p h y + ( 1 e t ( θ ) ) T w p h y ) + v o f f ,
  • Step 3: Imaging the Reference Wall
The radiometer then observes the reference wall directly (Figure 2c):
V r ( θ ) = G ( e w ( θ ) T w p h y + ( 1 e w ( θ ) ) T down a t m o ( θ ) ) + v o f f ,
When an ideal absorbing wall is assumed, this expression simplifies to Equation (6); otherwise, Equation (5) is used without approximation.
V r ( θ ) = G T w p h y + v o f f ,
  • Step 4: Imaging the Cold Sky
Finally, the radiometer observes the cold sky at the same incidence angle (Figure 2d):
V s ( θ ) = G T d o w n a t m o ( θ ) + v o f f ,
By combining Equations(2), (3), (5), and (7), the emissivity of the flat scene can be retrieved without explicit knowledge of the receiver gain and offset:
e t ( θ ) = 1 V t ( θ ) V m ( θ ) V s ( 90 θ ) V r ( 90 θ ) ,
Here, the complementary angle 90° − θ arises from the specular reflection geometry of the flat surface. Vt(θ), Vm(θ), Vr(θ), and Vs(θ) represent the radiometer output voltages measured from the pure flat scene, the flat scene with mirror-reflection, the reference wall, and the cold sky, respectively.
During the measurement sequence, the physical temperatures of the flat scene and the reference wall are assumed constant. Although the system involves multiple unknown parameters, independent measurements of scene and wall temperatures (e.g., using an infrared camera), together with prior knowledge of atmospheric downwelling radiation, render the system solvable. Notably, since the gain and offset terms are eliminated, emissivity can be retrieved without absolute radiometric calibration, highlighting the practical utility of the proposed method. A typical arrangement for the emissivity measurement method is shown in Figure 3.

2.2. Incidence Angle of the Estimated Microwave Emissivity

In the proposed method, the incidence angles associated with the four observation scenes are critical for emissivity retrieval, as indicated in Equation (8). To retrieve the emissivity of a flat scene at a given incidence angle θ, the pure flat scene and its corresponding mirror-reflection scene must be observed under identical geometric conditions. In contrast, observations of the reference wall and the cold sky correspond to complementary incidence angles, defined as θw = 90° − θ. A consistent geometric definition of the incidence-angle ranges involved in all four observations is therefore required. Figure 4 illustrates the unified geometric configuration used to determine the incidence angles associated with both the reference wall and the mirror-reflection path. The heights of the radiometer and the reference wall are denoted by h1 and h2, respectively, and their horizontal separation ( A B ) is L. The incidence angles at the bottom and top of the reference wall are given by Equations (9) and (10), defining a continuous angular range along the wall.
θ b = a tan d ( h 1 L ) ,
θ t = a tan d ( h 2 h 1 L ) ,
The portion of the wall below the radiometer height mainly receives radiation reflected from the flat scene rather than downwelling sky radiation and is therefore excluded. As a result, the effective incidence-angle range of the reference-wall observation is limited to 0 ≤ θθt.
The same geometry determines the incidence-angle range associated with the mirror-reflection path from the flat scene. The incidence angles corresponding to the nearest and farthest points of the mirror image are given by Equations (11) and (12), yielding an effective range from θn to θf.
θ n = a tan d ( L h 1 + h 2 ) ,
θ f = a tan d ( L h 1 ) ,
Although the pure flat-scene and cold-sky observations nominally span broader angular domains, the emissivity retrieval is jointly constrained by the overlapping incidence-angle sets associated with the reference wall and the mirror-reflection geometry. From an idealized geometric perspective, the effective incidence-angle range for emissivity estimation is expressed by Equation (13).
θ e = θ m ( C   U   θ w ) ,
Here, C denotes the complementary set of incidence angles, U represents the complete angular domain from 0° to 90°, and θw ⊂ U is the incidence-angle set associated with the reference wall.
It should be emphasized that the above analysis represents an idealized geometric description. In practical radiometric observations, the measured antenna temperature is a beam-weighted integral over the antenna radiation pattern rather than a single geometric ray. Consequently, the effective incidence angle depends on the antenna beamwidth and main-beam efficiency. The proposed geometric model provides a reasonable approximation when the radiometer has a narrow beam and high main-beam efficiency, such that radiation from sidelobes and backlobes is negligible. This condition is typically satisfied for ground-based millimeter-wave radiometers, including the W-band system used in this study. For radiometers operating at lower frequencies with wider beams or reduced main-beam efficiency, additional antenna-pattern corrections would be required, and the method is therefore not intended as a universal solution for all radiometric systems.
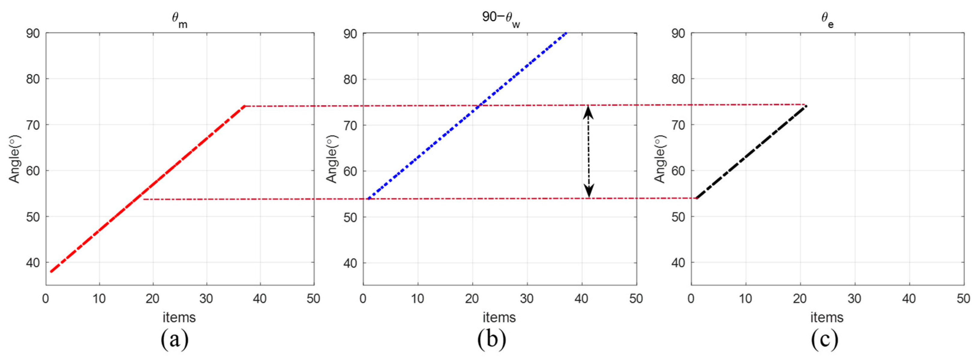
Representative numerical examples of the effective incidence-angle range under different geometric parameters are shown in Figure 5 and Figure 6, demonstrating the strong dependence of the estimated incidence angle on h1, h2, and L. For example, when the radiometer height is h1 = 0.5 m, the reference-wall height is h2 = 2 m, and the horizontal distance is L = 2 m, the effective incidence angles of the mirror reflection θm are shown in Figure 5a, the complementary angles (90° − θw) of the reference wall are shown in Figure 5b, and the resulting effective incidence angles of the estimated emissivity θe (between 54° and 74°) are shown in Figure 5c.
Furthermore, Figure 6 presents the relationships between the effective incidence angle θe and the parameters h1, h2, and L. The results indicate that θe strongly depends on the radiometer height, the reference-wall height, and the radiometer–wall distance. These parameters must therefore be chosen carefully to ensure that the emissivity is estimated at a desired incidence angle.

2.3. Measurement Accuracy

The proposed emissivity measurement method is derived under well-defined geometric and radiometric assumptions. Under these controlled conditions, the measurement accuracy can be analytically evaluated to identify the dominant error sources.
According to Equation (8), the uncertainty of the retrieved emissivity is given by Equation (14), where the voltage fluctuations associated with the four observation scenes are primarily determined by the radiometric sensitivity of the microwave radiometer. The radiometric sensitivity is described by Equation (15), and the resulting emissivity uncertainty is proportional to Equation (16).
Δ e t ( θ ) = ( V m ( θ ) V t ( θ ) ) ( Δ V r ( θ ) Δ V s ( θ ) ) ( V r ( 90 θ ) V s ( 90 θ ) ) 2 Δ V m ( θ ) Δ V t ( θ ) V r ( 90 θ ) V s ( 90 θ ) ,
Δ T = T A + T s y s B τ ,
where ∆ denotes the fluctuation, TA is the antenna temperature, Tsys is the system noise temperature, B is the system bandwidth, and τ is the integration time.
Accordingly, the emissivity uncertainty in Equation (14) satisfies
Δ e t ( θ ) ( V m ( θ ) V t ( θ ) ) ( Δ V r ( θ ) Δ V s ( θ ) ) ( V r ( 90 θ ) V s ( 90 θ ) ) 2 Δ V m ( θ ) Δ V t ( θ ) V r ( 90 θ ) V s ( 90 θ ) 1 B τ ,
Equation (16) indicates that the retrieval accuracy is governed by two primary factors: the radiometric sensitivity of the system and the radiometric contrast between the reference wall and the cold-sky background [20,22,30]. Higher radiometric sensitivity reduces output-voltage fluctuations, and averaging measurements acquired at the same incidence angle further suppresses random noise. In addition, due to the linear response of the radiometer [20,23], a larger brightness-temperature difference between the reference wall and the sky increases the denominator in Equation (16), improving numerical stability and reducing error amplification in the emissivity inversion [25,30].
Consequently, employing a reference wall with relatively high and well-characterized microwave emissivity—such as a microwave-absorbing material with emissivity approaching unity—provides stronger radiometric contrast and yields higher retrieval accuracy under otherwise identical conditions [22,26].

2.4. Practical Considerations and Limitations

The accuracy analysis in Section 2.3 is based on idealized geometric and radiometric assumptions. In practical measurements, several non-ideal factors may affect the reliability of the retrieved emissivity.
First, the flat target should fully cover the antenna’s main lobe and preferably the dominant sidelobes. Insufficient coverage introduces contamination from surrounding scenes and leads to systematic bias. This effect can be mitigated by increasing the target area or reducing the radiometer–target distance.
Second, deviations from ideal flatness or misalignment between the flat target and the reference wall modify the effective incidence-angle distribution within the antenna beam. Such geometric imperfections introduce angular mixing and additional scattering, reducing the validity of the geometric assumptions and degrading retrieval accuracy.
Third, temporal variability in atmospheric conditions, particularly fluctuations in downwelling sky TB, may affect the stability of the cold-sky reference. Although averaging and sufficient integration time can suppress random noise, stable environmental conditions remain important for accurate measurements.
Finally, accuracy requirements differ across applications. Compared with high-precision earth remote sensing, applications such as security inspection, scene surveillance, and target detection generally tolerate lower absolute accuracy while emphasizing operational simplicity. Accordingly, the proposed method is best suited for controlled ground-based measurements of flat scenes, serving as a practical alternative when conventional absolute calibration is unavailable or impractical.

3. Numerical Simulation

Numerical simulations are conducted with Matlab 2016 a to evaluate the feasibility and performance of the proposed microwave emissivity measurement method under controlled and idealized conditions. The simulations focus on assessing the retrieval consistency, effective incidence-angle range, and sensitivity to target dielectric properties, rather than demonstrating ultimate measurement accuracy.

3.1. Effectiveness of the Measurement Method

The simulated scene consists of a flat ground surface, a reference wall, and the cold sky, as illustrated in Figure 3. A W-band (94 GHz) microwave radiometer with a sensitivity of 0.5 K is assumed. Both the flat ground and the reference wall are modeled as concrete, with a complex dielectric constant of 6.1955 − j × 0.3386. The atmospheric condition is modeled using the standard mid-latitude summer atmospheric profile (“SUMMER MIDLAT”), which provides representative vertical distributions of temperature, pressure, and humidity for radiative transfer simulations. This atmospheric model is adopted as a typical reference condition rather than representing a specific time or location.
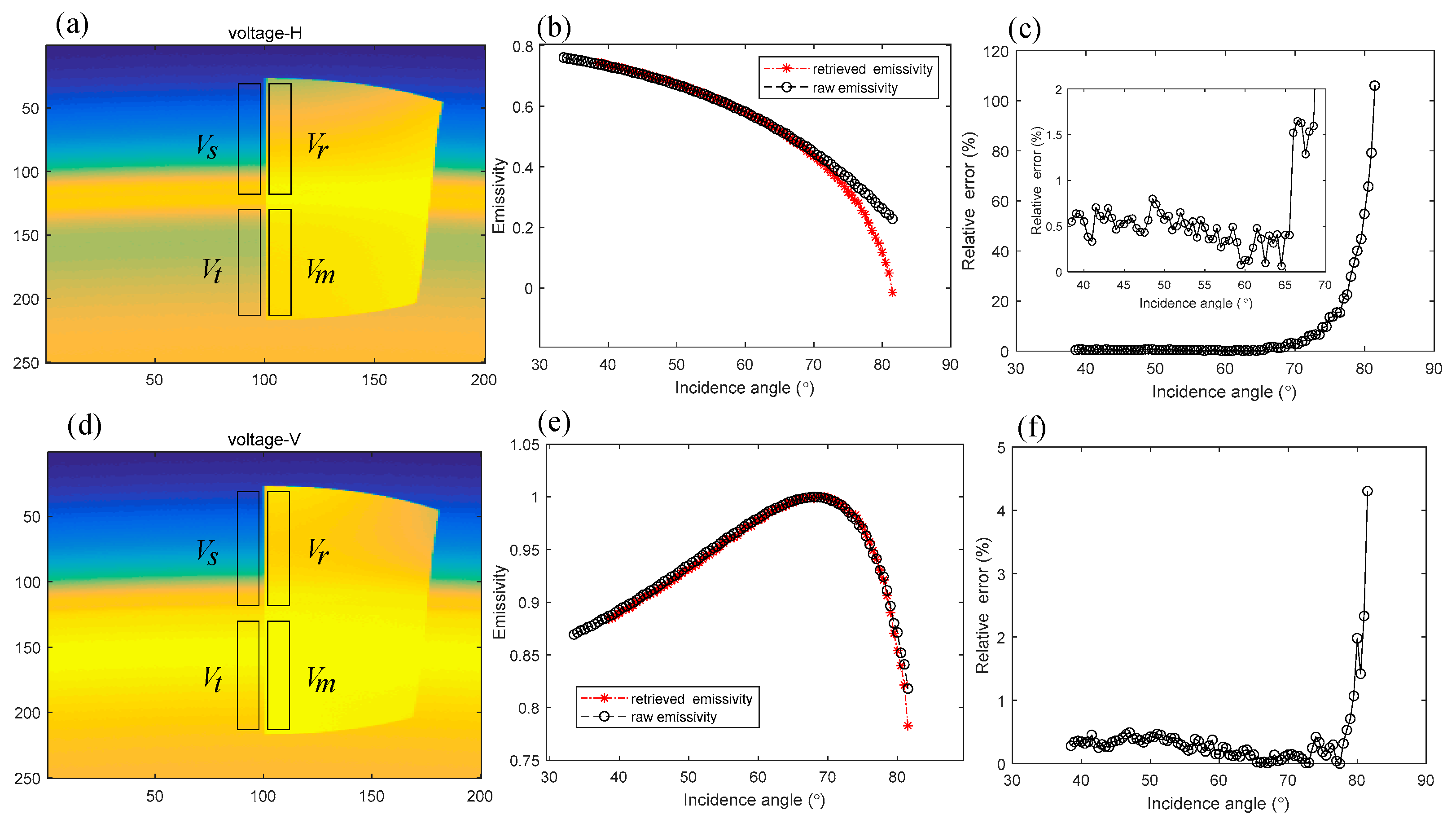
The radiometer and the reference wall are positioned at heights of 0.5 m and 10 m, respectively, with a horizontal separation of 10 m. The physical temperatures of the ground surface and the ambient environment are set to 300 K and 298 K. Figure 7 shows the simulation results at 94 GHz, for both horizontal and vertical polarizations.
Figure 7a,d present the simulated voltage distribution maps corresponding to the four observation scenes. Based on these simulated voltages, the proposed retrieval method is applied. Figure 7b,e compare the retrieved emissivity of the flat concrete surface with the corresponding theoretical emissivity as a function of incidence angle, while Figure 7c,f show the relative deviations.
The retrieved emissivity agrees well with the theoretical values over a broad incidence-angle range for both polarizations. Specifically, reliable retrieval is achieved for incidence angles below approximately 70° for horizontal polarization and 80° for vertical polarization. At larger angles, the relative error increases, which is mainly attributed to the strong angular dependence of surface emissivity and the increased sensitivity to geometric and radiometric uncertainties near-grazing incidence. Additionally, the downwelling radiation from the atmosphere may be partially blocked by nearby horizons, buildings, or even the radiometer setup itself, which further limits the effective incidence-angle range. These trends are consistent with the physical limitations discussed in Section 4 and indicate the effective operating range of the proposed method.
To further assess robustness with respect to target material properties, an additional simulation is performed for a flat water surface with a complex dielectric constant of 7.3240 − j × 13.2800, while all other parameters remain unchanged. Figure 8 shows the corresponding simulation results.
Due to the higher dielectric loss of water, the voltage distributions differ markedly from those of the concrete surface. Nevertheless, Figure 8b,e show that the retrieved emissivity remains in good agreement with the theoretical values for both polarizations. High retrieval consistency is obtained for incidence angles below approximately 65° for horizontal polarization and 80° for vertical polarization, while larger errors again occur at near-grazing angles, exhibiting trends similar to those observed for the concrete surface.
Overall, the numerical simulations demonstrate that the proposed method can provide consistent emissivity estimates for flat scenes with markedly different dielectric properties, including both low-loss and high-loss surfaces, within moderate and physically realizable incidence-angle ranges. The degradation in accuracy at large incidence angles reflects inherent physical and geometric limitations rather than numerical instability, underscoring the importance of controlled observation geometry for practical applications.

3.2. Accuracy Analysis of the Measurement Method

As discussed in Section 2, the accuracy of the proposed emissivity measurement method is jointly influenced by the radiometric sensitivity of the system and the electromagnetic properties of both the flat scene and the reference wall. Under the idealized simulation conditions, this subsection analyzes the dominant factors affecting retrieval accuracy from these two perspectives.

3.2.1. Influence of Flat-Scene Emissivity

According to Equation (14), the numerator of the emissivity retrieval expression is determined by the voltage difference between the flat scene with mirror reflection and the pure flat scene. Subtracting Equation (2) from Equation (3) yields the voltage difference in Equation (17), which explicitly depends on the emissivity of the flat scene.
V m ( θ ) V t ( θ ) = G ( 1 e t ( θ ) ) ( e w ( 90 θ ) )     ( T w p h y T down a t m o ( 90 θ ) ) ,
Equation (17) indicates that a higher flat-scene emissivity results in a larger numerator in Equation (14), leading to stronger error amplification under identical radiometric noise conditions. Consequently, the retrieval becomes less stable for high-emissivity surfaces.
This theoretical behavior is consistent with the simulation results in Figure 7 and Figure 8. Compared with the water surface, the concrete surface exhibits a lower emissivity at W-band frequencies and correspondingly smaller relative deviations over most incidence angles. These results confirm that the proposed method achieves higher retrieval accuracy for flat scenes with relatively lower microwave emissivity.

3.2.2. Influence of Reference-Wall Emissivity

The electromagnetic properties of the reference wall primarily affect the denominator of the retrieval expression Equation (14), which is governed by the voltage contrast between the reference wall and the cold sky. Based on Equations (5) and (7), this voltage difference is expressed in Equation (18), indicating that a higher reference-wall emissivity increases the denominator and improves numerical stability.
V r ( θ ) V s ( θ ) = G e w ( θ ) ( T w p h y T down a t m o ( θ ) ) ,
To quantify this effect, additional simulations are conducted using metal, concrete, and microwave-absorbing materials as reference walls, while all other parameters remain identical.
The emissivities of these reference walls are approximately 0.14, 0.80, and 1.0, respectively. The corresponding simulation results, shown in Figure 9 and Figure 10, demonstrate that the retrieved emissivities are generally consistent with the theoretical values for all reference-wall materials, except at near-grazing incidence angles. As expected from Equation (18), retrieval accuracy improves monotonically with increasing reference-wall emissivity. The microwave-absorbing reference wall provides the largest voltage contrast relative to the cold-sky background and thus yields the most stable retrieval. These trends are fully consistent with the theoretical analysis and confirm that a high-emissivity, well-characterized reference wall is advantageous for improving the robustness of the proposed method.
Overall, the numerical results in this subsection demonstrate that, under idealized geometric and radiometric conditions, the proposed method remains feasible for different flat-scene and reference-wall materials. The observed accuracy variations primarily reflect intrinsic radiometric contrast and angular sensitivity rather than numerical instability, highlighting the importance of controlled material properties and observation geometry in practical applications.

3.2.3. Effect of Operating Frequency and Radiometric Sensitivity

As discussed in Section 2, the retrieval accuracy of the proposed emissivity measurement method is jointly influenced by the operating frequency and the radiometric sensitivity of the microwave radiometer. The operating frequency affects atmospheric emission and the angular dependence of surface emissivity, whereas the radiometric sensitivity determines the magnitude of random fluctuations in the measured output voltage. To evaluate these effects, numerical simulations were conducted using the same geometric configuration as in Figure 7, while varying the frequency and system sensitivity independently.
(1)
Frequency Dependence
To evaluate the effect of operating frequency, simulations were conducted at 10.7 and 37 GHz with the system sensitivity fixed at 0.5 K. Figure 11 and Figure 12 present the retrieved and raw emissivities of a flat concrete surface, together with the corresponding relative errors, for horizontal and vertical polarizations, respectively. The results show that the proposed method provides consistent performance across frequencies within a moderate incidence-angle range. For both 10.7 and 37 GHz, accurate emissivity retrieval is achieved for incidence angles of approximately 38–70°, with relative errors below 2% for both polarizations. Beyond this range, the retrieval accuracy gradually degrades.
A comparison of the two frequencies indicates that larger relative errors occur at higher frequencies for large incidence angles. This behavior is mainly attributed to increased atmospheric emission and stronger angular sensitivity of surface emissivity at higher frequencies, especially near-grazing incidence.
(2)
Radiometric Sensitivity Dependence
In practical applications, the retrieval accuracy is strongly influenced by the radiometric sensitivity of the microwave radiometer, which governs the magnitude of random fluctuations in the measured output voltage. To quantify this effect, additional simulations were performed at 94 GHz, with all parameters identical to those in Figure 7 except for the system sensitivity.
For horizontal polarization, the retrieved emissivities obtained with system sensitivities of 0, 1, 5, and 10 K are shown in Figure 11c, with the corresponding relative errors in Figure 11f. The results indicate that reduced radiometric sensitivity leads to increased fluctuations in the retrieved emissivity and larger relative errors, particularly at large incidence angles. High retrieval accuracy is maintained for sensitivities of 0–1 K, whereas noticeable degradation occurs at 5 K and becomes more pronounced at 10 K, consistent with the error propagation analysis in Section 2.
To further assess statistical robustness under realistic noise conditions, each simulation was repeated 100 times, and the mean absolute error between the retrieved and raw emissivities was computed. The resulting statistical errors, summarized in Figure 12, provide an integrated evaluation of retrieval accuracy as a function of incidence angle and radiometric sensitivity for both polarizations. For a flat concrete surface at 94 GHz, the proposed method achieves mean errors below 0.06 for horizontal polarization and below 0.04 for vertical polarization within effective incidence-angle ranges of 37–82°. These results quantitatively confirm that decreasing radiometric sensitivity systematically degrades retrieval accuracy, while also demonstrating the robustness of the proposed method under realistic measurement noise.

3.2.4. Polarization Effects

As discussed in Section 2, the retrieval accuracy of the proposed emissivity measurement method is also polarization dependent. The relative errors obtained under horizontal and vertical polarizations are summarized in Figure 7, Figure 9, Figure 10 and Figure 11. For all simulated cases, the errors associated with vertical polarization are consistently smaller than those for horizontal polarization, with the difference becoming more pronounced at large incidence angles. This indicates that emissivity retrieval is generally more accurate under vertical polarization.
This behavior can be attributed to the weaker angular sensitivity of vertically polarized emissivity and the reduced amplification of radiometric noise near-grazing incidence. As a result, vertical polarization provides improved numerical stability in the inversion process.
To further evaluate the statistical robustness of this polarization dependence, the emissivity retrieval was repeated 100 times for each radiometric sensitivity level, and the mean absolute error was calculated to represent long-term radiometric performance. The results shown in Figure 13 demonstrate that the mean emissivity error increases with decreasing radiometric sensitivity for both polarizations. However, for all sensitivity levels, the mean error under vertical polarization remains consistently lower than that under horizontal polarization, confirming its superior retrieval accuracy.
This trend is consistent with the analytical error model in Equation (14), in which the retrieval uncertainty is inversely proportional to the voltage contrast between the reference wall and the cold-sky background. In practice, this voltage contrast is larger for vertical polarization, leading to enhanced numerical stability and reduced sensitivity to radiometric noise.
Overall, although the retrieval accuracy depends on multiple factors—including scene properties, reference wall characteristics, operating frequency, polarization, and radiometric sensitivity—the proposed method can provide reliable emissivity estimates under controlled conditions. Noticeable degradation primarily occurs at near-grazing incidence angles or under poor radiometric sensitivity, while vertical polarization generally offers more robust performance.

4. Outdoor Experimental Validation

Outdoor experiments were conducted to validate the proposed mirror-reflection-based microwave emissivity measurement method under realistic conditions. A scanning W-band microwave radiometer produced by ourself operating at 94 GHz was employed, as shown in Figure 14. The system has a bandwidth of 1 GHz and an integration time of 20 ms. Its key specifications are summarized in Table 1.
The antenna parameters listed in Table 1 indicate a narrow beamwidth (0.8°) and high main-beam efficiency (>0.90), which satisfy the assumptions underlying the geometric incidence-angle approximation introduced in Section 2.2 and effectively suppress contributions from sidelobes and backlobes.
It should be emphasized that the purpose of the outdoor experiment is not to demonstrate ultimate emissivity retrieval accuracy under ideal laboratory conditions, but rather to verify the feasibility, robustness, and internal consistency of the proposed method in a practical outdoor environment. In particular, the reference wall used in the experiment is not an ideal microwave absorber. Therefore, the general formulations in Equations (2), (3), and (5), which explicitly account for the finite emissivity of the reference wall, are adopted in the data processing, while the simplified expressions assuming an ideal absorber are used only for theoretical analysis.
In addition, for the absolutely calibrated results used for comparison, a conventional two-point calibration was implemented, in which the warm load was provided by an internally heated microwave absorber at ambient-to-elevated temperature, and the cold load was obtained from observations of the cold sky at high elevation angles. These two reference sources were used to determine the system gain and offset prior to generating the calibrated TB map.
The experiment was carried out in a building complex with a flat concrete ground, as shown in Figure 15a. The corresponding radiometer output voltage distribution, obtained without absolute calibration, is presented in Figure 15b. Due to the specular reflection characteristics of the smooth concrete surface, a clear mirror image of the surrounding structures is observed. Rectangular regions corresponding to the pure flat scene, the flat scene with mirror reflection, the reference wall, and the cold sky are selected for emissivity retrieval, with the detailed voltage distributions shown in Figure 16.
Using the proposed method, the emissivity of the concrete ground is retrieved and compared with results obtained from conventional absolute calibration. The calibrated TB map and the corresponding emissivity of the pure concrete surface are shown in Figure 17.
Since the incidence angle is approximately constant along each image row and decreases gradually from row 1 to row 40, row-wise mean emissivities are calculated. Figure 18 compares the emissivity retrieved by the proposed method with that derived from absolute calibration.
Both results exhibit a consistent increase in emissivity with incidence angle under vertical polarization, in agreement with theoretical expectations. The retrieved emissivity closely matches the absolutely calibrated result, with only a small systematic bias. These results confirm that, under controlled outdoor conditions and well-defined geometry, the proposed method can provide physically reasonable and quantitatively reliable emissivity estimates for flat ground surfaces. At the same time, the experiment clarifies that the applicability of the method is currently limited to flat targets and structured measurement configurations, rather than complex natural scenes.

5. Discussion

As discussed above, the proposed mirror-reflection-based method enables reliable retrieval of microwave emissivity for flat scenes within an effective incidence-angle range determined by the geometric intersection between the mirror-reflection angles and the complementary incidence angles of the reference wall (Equation (13)). This effective range is governed by the measurement geometry, including the radiometer height, reference wall height, and their horizontal separation, and is therefore inherently narrower than the full angular range defined by the mirror-reference wall alone (Figure 5). This geometric constraint represents a fundamental limitation of the proposed approach.
According to Equation (10), the incidence angles associated with the reference wall are confined to a finite interval well below 90°, as determined by the system geometry. For specular or quasi-specular flat surfaces, the maximum physically meaningful incidence angle is further restricted by near-grazing effects and polarization-dependent phenomena such as the Brewster angle. Consequently, incidence angles approaching 90° are neither physically attainable nor relevant for practical emissivity analysis and should not be assumed in emissivity retrieval.
Since microwave emissivity exhibits a well-established dependence on the incidence angle, numerous emissivity–angle models have been developed for physically realizable angular ranges [31,32]. Owing to the linear response of microwave radiometers, the measured output voltage can also be expressed as a function of incidence angle. Within this framework, voltage measurements acquired from the reference wall over its accessible incidence-angle set θw can be used to fit established emissivity–angle models over an extended but physically meaningful angular domain, rather than an idealized 0~90° range.
The complementary incidence-angle set introduced by the mirror-reflection geometry effectively extends the observable angular coverage beyond that directly accessible from the reference wall alone, while remaining within the physically valid incidence-angle domain. This formulation avoids unrealistic near-90° assumptions while preserving sufficient angular completeness for emissivity estimation.
Under these conditions, Equation (13) can be further simplified to Equation (19), indicating that the emissivity of a flat scene can be accurately retrieved within the directly observable incidence-angle range θm using the proposed method. The retrieved emissivity within this range θe can then be combined with established emissivity–angle models to reconstruct emissivity behavior over a broader, yet physically realizable, angular domain.
θ e = θ m ( 90 θ w ) = θ m
Overall, the main contribution of this work is to demonstrate that, under well-controlled geometric and radiometric conditions, the emissivity of flat targets can be retrieved without relying on conventional absolute calibration. This method is intended as a practical supplementary tool for ground-based large-aperture microwave radiometers in experimental validation, system testing, and scenario-specific measurements, rather than as a general replacement for standard absolute calibration techniques.

6. Conclusions

Absolute calibration is commonly required in passive microwave remote sensing to obtain accurate TB maps and reliable emissivity estimates, but it often relies on additional hardware and complex procedures that are impractical in some ground-based applications. To address this limitation under controlled conditions, this study proposes a mirror-reflection-based emissivity measurement method tailored for ground-based observations of flat scenes.
The method employs a reference wall and a simplified four-step measurement sequence, in which the radiometer sequentially observes the pure flat scene, the mirror-reflection scene, the reference wall, and the cold sky. By explicitly incorporating the geometric relationship among these components, a physically meaningful incidence-angle range for emissivity retrieval is defined, avoiding unrealistic near-grazing assumptions.
Numerical simulations systematically evaluate the influences of surface material, reference-wall emissivity, operating frequency, polarization, and radiometric sensitivity. The results indicate that, within moderate and physically realizable incidence-angle ranges, the retrieved emissivities of flat concrete and water surfaces agree well with theoretical predictions, whereas increased deviations occur at large incidence angles due to geometric and radiometric constraints. Outdoor experiments using a W-band scanning radiometer further confirm the feasibility and internal consistency of the proposed method under realistic measurement conditions, even without absolute calibration.
Overall, this work demonstrates that mirror-reflection measurements can provide reliable emissivity estimates for flat targets in ground-based scenarios with well-controlled geometry and stable radiometric conditions. The proposed approach is intended as a supplementary, scenario-specific alternative when absolute calibration is unavailable or impractical, rather than a replacement for conventional absolute calibration techniques.

Author Contributions

Conceptualization, S.L., T.Z. and H.L.; methodology, Y.C.; software, Y.X., X.M. and J.C.; validation, Y.X., X.M. and J.C.; formal analysis, T.Z.; investigation, H.L.; data curation, S.L.; writing—original draft preparation, S.L. and T.Z.; writing—review and editing, T.Z. and H.L.; supervision, Y.C.; funding acquisition, H.L. All authors have read and agreed to the published version of the manuscript.

Funding

This research was funded by the Special Fund of Hubei Luojia Laboratory 220500001, in part by the National Natural Science Foundation of China under Grants 62201591, 62471339, and 42374035.

Data Availability Statement

The data used to support the findings of this study are included within the article.

Conflicts of Interest

The authors declare no conflicts of interest.

References

  1. Prigent, C.; Rossow, W.B.; Matthews, E. Global maps of microwave land surface emissivities: Potential for land surface characterization. Radio Sci. 1998, 33, 745–751. [Google Scholar] [CrossRef]
  2. Yujiri, L.; Shoucri, M.; Moffa, P. Passive millimeter-wave imaging. IEEE Microw. Mag. 2003, 4, 39–50. [Google Scholar] [CrossRef]
  3. Sawada, Y.; Koike, T.; Ikoma, E.; Kitsuregawa, M. Monitoring and predicting agricultural droughts for a water-limited subcontinental region by integrating a land surface model and microwave remote sensing. IEEE Trans. Geosci. Remote Sens. 2020, 58, 14–33. [Google Scholar] [CrossRef]
  4. Lu, H.; Li, H.; Cheng, Y.; Zhu, D.; Li, Y.; Dang, P.; Lv, R.; Yu, R.; Fu, Y. An L-band phased array radiometer for sea surface salinity in coastal zones. IEEE J. Sel. Top. Appl. Earth Observ. Remote Sens. 2021, 14, 1520–1531. [Google Scholar] [CrossRef]
  5. Kerr, Y.H.; Waldteufel, P.; Wigneron, J.-P.; Delwart, S.; Cabot, F.; Boutin, J.; Escorihuela, M.-J.; Font, J.; Reul, N.; Gruhier, C.; et al. The SMOS mission: New tool for monitoring key elements of the global water cycle. Proc. IEEE 2010, 98, 666–687. [Google Scholar] [CrossRef]
  6. Dai, L.; Che, T.; Xie, H.; Wu, X. Estimation of snow depth over the Qinghai-Tibetan plateau based on AMSR-E and MODIS data. Remote Sens. 2018, 10, 1989. [Google Scholar] [CrossRef]
  7. Markus, T.; Cavalieri, D.; Gasiewski, A.; Klein, M.; Maslanik, J.; Powell, D.; Stankov, B.; Stroeve, J.; Sturm, M. Microwave signatures of snow on sea ice: Observations. IEEE Trans. Geosci. Remote Sens. 2006, 44, 3081–3090. [Google Scholar] [CrossRef]
  8. Li, Y.; Wang, C.; Lu, H.; Song, G.; Yang, X.; Li, P.; Lv, R.; Li, H.; Chen, W. Spaceborne high precision sea surface salinity remote sensing by interferometric radiometry. IEEE J. Sel. Top. Appl. Earth Observ. Remote Sens. 2021, 14, 9383–9395. [Google Scholar] [CrossRef]
  9. Kang, C.S.; Kanniah, K.D.; Kerr, Y.H. Calibration of SMOS soil moisture retrieval algorithm: A case of tropical site in malaysia. IEEE Trans. Geosci. Remote Sens. 2019, 57, 3827–3839. [Google Scholar] [CrossRef]
  10. Salmon, N.A. Indoor full-body security screening: Radiometric microwave imaging phenomenology and polarimetric scene simulation. IEEE Access 2020, 8, 144621–144637. [Google Scholar] [CrossRef]
  11. Lu, H.; Li, Y.; Li, H.; Lv, R.; Lang, L.; Li, Q.; Song, G.; Li, P.; Wang, K.; Xue, L.; et al. Ship detection by an airborne passive interferometric microwave sensor (PIMS). IEEE Trans. Geosci. Remote Sens. 2020, 58, 2682–2694. [Google Scholar] [CrossRef]
  12. Lu, H.; Li, Y.; Xie, X.; Li, Y.; Fan, Q.; Lang, L.; Chen, G.; Lv, R.; Li, H.; Li, Q. Aircraft detection by a ground-based passive interferometric microwave sensor (PIMS). IEEE Trans. Geosci. Remote Sens. 2023, 61, 1–13. [Google Scholar] [CrossRef]
  13. Lu, H.; Li, H.; Chen, L.; Cheng, Y.; Zhu, D.; Li, Y.; Lv, R.; Chen, G.; Su, X.; Lang, L.; et al. A ship detection and tracking algorithm for an airborne passive interferometric microwave sensor (PIMS). IEEE J. Sel. Top. Appl. Earth Observ. Remote Sens. 2021, 14, 3519–3532. [Google Scholar] [CrossRef]
  14. Cheng, Y.; Qiao, L.; Zhu, D.; Wang, Y.; Zhao, Z. Passive polarimetric imaging of millimeter and terahertz waves for personnel security screening. Opt. Lett. 2021, 46, 1233. [Google Scholar] [CrossRef]
  15. Su, J.; Tian, Y.; Hu, F.; Cheng, Y.; Hu, Y. Material clustering using passive millimeter-wave polarimetric imagery. IEEE Photon. J. 2018, 11, 1–9. [Google Scholar] [CrossRef]
  16. Hu, F.; Cheng, Y.; Gui, L.; Wu, L.; Zhang, X.; Peng, X.; Su, J. Polarization-based material classification technique using passive millimeter-wave polarimetric imagery. Appl. Opt. 2016, 55, 8690–8697. [Google Scholar] [CrossRef]
  17. Salmon, N.A. Outdoor passive millimeter-wave imaging: Phenomenology and scene simulation. IEEE Trans. Antennas Propag. 2018, 66, 897–908. [Google Scholar] [CrossRef]
  18. Zurita, A.M.; Corbella, I.; Martín-Neira, M.; Plaza, M.A.; Torres, F.; Benito, F.J. Towards a SMOS operational mission: SMOSOps-hexagonal. IEEE J. Sel. Top. Appl. Earth Observ. Remote Sens. 2013, 6, 1769–1780. [Google Scholar] [CrossRef]
  19. Su, J.; Tian, Y.; Hu, F.; Cheng, Y.; Zhang, Z. Errors analysis and improvement on measurement method for microwave/millimeter-wave emissivity of small targets by radiometer. IEEE Access 2019, 7, 103427–103432. [Google Scholar] [CrossRef]
  20. Hersman, M.S.; Poe, G.A. Sensitivity of the total power radiometer with periodic absolute calibration. IEEE Trans. Microw. Theory Tech. 1981, 29, 32–40. [Google Scholar] [CrossRef]
  21. Lu, H.; Li, Q.; Jin, R.; Chen, K.; Li, Y.; Feng, L.; Li, H.; Li, Y. A hybrid calibration method for aperture synthesis radiometers. IEEE Geosci. Remote Sens. Lett. 2016, 13, 651–655. [Google Scholar] [CrossRef]
  22. Brown, M.A.; Torres, F.; Corbella, I.; Colliander, A. SMOS calibration. IEEE Trans. Geosci. Remote Sens. 2008, 46, 646–658. [Google Scholar] [CrossRef]
  23. Kroodsma, R.A.; McKague, D.S.; Ruf, C.S. Inter-calibration of microwave radiometers using the vicarious cold calibra-tion double difference method. IEEE J. Sel. Top. Appl. Earth Observ. Remote Sens. 2012, 5, 1006–1013. [Google Scholar] [CrossRef]
  24. Lemmetyinen, J.; Uusitalo, J.; Rautiainen, K.; Kainulainen, J.; Fabritius, N.; Levander, M.; Kangas, V.; Greus, H.; Pihlflyckt, J.; Kontu, A.; et al. SMOS calibration subsystem. IEEE Trans. Geosci. Remote Sens. 2007, 45, 3691–3700. [Google Scholar] [CrossRef]
  25. Corbella, I.; Torres, F.; Camps, A.; Colliander, A.; Martin-Neira, M.; Ribo, S.; Rautiainen, K.; Duffo, N.; Vall-Llossera, M. MIRAS end-to-end calibration: Application to SMOS L1 processor. IEEE Trans. Geosci. Remote Sens. 2005, 43, 1126–1134. [Google Scholar] [CrossRef]
  26. Corbella, I.; Torres, F.; Duffo, N.; Martin-Neira, M.; Gonzalez-Gambau, V.; Camps, A.; Vall-Llossera, M. On-ground characterization of the SMOS payload. IEEE Trans. Geosci. Remote Sens. 2009, 47, 3123–3133. [Google Scholar] [CrossRef]
  27. Cheng, Y.; You, Y.; Zhu, D.; Wang, Y.; Zhao, Z. Reflection removal using dual-polarization and saliency in millimeter-wave and terahertz imaging. IEEE Trans. Geosci. Remote Sens. 2021, 59, 9439–9447. [Google Scholar] [CrossRef]
  28. Martin, R.; Schuetz, C.A.; Dillon, T.E.; Chen, C.; Samluk, J.; Stein, J.E.L.; Mirotznik, M.; Prather, D.W. Design and performance of a distributed aperture millimeter-wave imaging system using optical upconversion. Proc. SPIE 2009, 7309, 730908-1–730908-10. [Google Scholar]
  29. Peichl, M.; Dill, S.; Süß, H. Microwave radiometry—Imaging technologies and applications. In Proceedings of the WFMN 2007, Chemnitz, Germany, 4–5 July 2007; Volume 0210, pp. 75–83. [Google Scholar]
  30. Tien, K.-J.-C.; De Roo, R.D.; Judge, J.; Pham, H. Comparison of calibration techniques for ground-based C-band radiometers. IEEE Geosci. Remote Sens. Lett. 2007, 4, 83–87. [Google Scholar] [CrossRef]
  31. Meissner, T.; Wentz, F.J. The emissivity of the ocean surface between 6 and 90 GHz over a large range of wind speeds and earth incidence angles. IEEE Trans. Geosci. Remote Sens. 2012, 50, 3004–3026. [Google Scholar] [CrossRef]
  32. Ringerud, S.; Kummerow, C.D.; Peters-Lidard, C.D. A semi-empirical model for computing land surface emissivity in the microwave region. IEEE Trans. Geosci. Remote Sens. 2015, 53, 1935–1946. [Google Scholar] [CrossRef]
Figure 1. Examples of mirror-like effects in passive microwave imagery reported in previous studies. (a) Figures 1 and 4 in [27]; (b) Figure 2 in [28]; (c) Figure 17 in [29].
Figure 1. Examples of mirror-like effects in passive microwave imagery reported in previous studies. (a) Figures 1 and 4 in [27]; (b) Figure 2 in [28]; (c) Figure 17 in [29].
Remotesensing 18 00341 g001
Figure 2. Schematic of the proposed microwave emissivity measurement procedure: (a) pure flat scene; (b) flat scene with mirror reflection from the reference wall; (c) reference wall; and (d) cold sky.
Figure 2. Schematic of the proposed microwave emissivity measurement procedure: (a) pure flat scene; (b) flat scene with mirror reflection from the reference wall; (c) reference wall; and (d) cold sky.
Remotesensing 18 00341 g002
Figure 3. Idealized configuration for the microwave emissivity measurement method, consisting of the pure flat scene, the flat scene with mirror reflection, the reference wall, and the cold sky.
Figure 3. Idealized configuration for the microwave emissivity measurement method, consisting of the pure flat scene, the flat scene with mirror reflection, the reference wall, and the cold sky.
Remotesensing 18 00341 g003
Figure 4. Geometric configuration for calculating the incidence angles of the reference wall and the flat scene with the reference wall.
Figure 4. Geometric configuration for calculating the incidence angles of the reference wall and the flat scene with the reference wall.
Remotesensing 18 00341 g004
Figure 5. (a) Effective incidence angles of the mirror reference walls (θm); (b) the complementary incidence angles derived as 90° − θw; (c) the resulting incidence angles available for microwave emissivity estimation (θe). The calculations are based on a radiometer height of 0.5 m, a reference wall height of 2 m, and a radiometer–wall horizontal distance of 2 m.
Figure 5. (a) Effective incidence angles of the mirror reference walls (θm); (b) the complementary incidence angles derived as 90° − θw; (c) the resulting incidence angles available for microwave emissivity estimation (θe). The calculations are based on a radiometer height of 0.5 m, a reference wall height of 2 m, and a radiometer–wall horizontal distance of 2 m.
Remotesensing 18 00341 g005
Figure 6. Incidence angles available for microwave emissivity estimation (θe) under varying parameters: (a) radiometer height h1; (b) horizontal distance L; and (c) reference wall height h2. All other parameters are identical to those used in Figure 5.
Figure 6. Incidence angles available for microwave emissivity estimation (θe) under varying parameters: (a) radiometer height h1; (b) horizontal distance L; and (c) reference wall height h2. All other parameters are identical to those used in Figure 5.
Remotesensing 18 00341 g006
Figure 7. (a,d) Voltage distribution maps of the idealized scene shown in Figure 3; (b,e) retrieved and raw microwave emissivity of the flat concrete ground as a function of incidence angle; (c,f) relative deviations between the retrieved and raw emissivities at 94 G. Panels (ac) correspond to horizontal polarization, and panels (df) correspond to vertical polarization.
Figure 7. (a,d) Voltage distribution maps of the idealized scene shown in Figure 3; (b,e) retrieved and raw microwave emissivity of the flat concrete ground as a function of incidence angle; (c,f) relative deviations between the retrieved and raw emissivities at 94 G. Panels (ac) correspond to horizontal polarization, and panels (df) correspond to vertical polarization.
Remotesensing 18 00341 g007
Figure 8. (a,d) Voltage distribution maps of the idealized scene in Figure 3 for a water surface with a concrete reference wall; (b,e) retrieved and raw microwave emissivity of the flat water surface as a function of incidence angle; (c,f) relative deviations between the retrieved and raw emissivities at 94 GHz. Panels (ac) correspond to horizontal polarization, and panels (df) correspond to vertical polarization. All other simulation parameters are identical to those used in Figure 7.
Figure 8. (a,d) Voltage distribution maps of the idealized scene in Figure 3 for a water surface with a concrete reference wall; (b,e) retrieved and raw microwave emissivity of the flat water surface as a function of incidence angle; (c,f) relative deviations between the retrieved and raw emissivities at 94 GHz. Panels (ac) correspond to horizontal polarization, and panels (df) correspond to vertical polarization. All other simulation parameters are identical to those used in Figure 7.
Remotesensing 18 00341 g008
Figure 9. (a,d) Voltage distribution maps of the idealized scene in Figure 3 with a metal reference wall; (b,e) retrieved and raw microwave emissivity as a function of incidence angle; (c,f) relative deviations between the retrieved and raw emissivities at 94 GHz. Panels (ac) correspond to horizontal polarization, and panels (df) correspond to vertical polarization. All other simulation parameters are identical to those used in Figure 7.
Figure 9. (a,d) Voltage distribution maps of the idealized scene in Figure 3 with a metal reference wall; (b,e) retrieved and raw microwave emissivity as a function of incidence angle; (c,f) relative deviations between the retrieved and raw emissivities at 94 GHz. Panels (ac) correspond to horizontal polarization, and panels (df) correspond to vertical polarization. All other simulation parameters are identical to those used in Figure 7.
Remotesensing 18 00341 g009
Figure 10. (a,d) Voltage distribution maps of the idealized scene in Figure 3 with a microwave-absorbing reference wall; (b,e) retrieved and raw microwave emissivity as a function of incidence angle; (c,f) relative deviations between the retrieved and raw emissivities at 94 GHz. Panels (ac) correspond to horizontal polarization, and panels (df) correspond to vertical polarization. All other simulation parameters are identical to those used in Figure 7.
Figure 10. (a,d) Voltage distribution maps of the idealized scene in Figure 3 with a microwave-absorbing reference wall; (b,e) retrieved and raw microwave emissivity as a function of incidence angle; (c,f) relative deviations between the retrieved and raw emissivities at 94 GHz. Panels (ac) correspond to horizontal polarization, and panels (df) correspond to vertical polarization. All other simulation parameters are identical to those used in Figure 7.
Remotesensing 18 00341 g010
Figure 11. Retrieved microwave emissivity of a concrete flat ground under horizontal polarization at different operating frequencies and radiometric sensitivities: (a) retrieved and raw emissivities at 10.7 GHz with a system sensitivity of 0.5 K; (b) retrieved and raw emissivities at 37 GHz with a system sensitivity of 0.5 K; (c) retrieved and raw emissivities at 94 GHz with system sensitivities of 0 K, 1 K, 5 K, and 10 K; (d) relative errors between retrieved and raw emissivities at 10.7 GHz; (e) relative errors at 37 GHz; (f) relative errors at 94 GHz for different system sensitivities (0 K, 1 K, 5 K, and 10 K).
Figure 11. Retrieved microwave emissivity of a concrete flat ground under horizontal polarization at different operating frequencies and radiometric sensitivities: (a) retrieved and raw emissivities at 10.7 GHz with a system sensitivity of 0.5 K; (b) retrieved and raw emissivities at 37 GHz with a system sensitivity of 0.5 K; (c) retrieved and raw emissivities at 94 GHz with system sensitivities of 0 K, 1 K, 5 K, and 10 K; (d) relative errors between retrieved and raw emissivities at 10.7 GHz; (e) relative errors at 37 GHz; (f) relative errors at 94 GHz for different system sensitivities (0 K, 1 K, 5 K, and 10 K).
Remotesensing 18 00341 g011
Figure 12. Comparison between retrieved and theoretical microwave emissivities of a flat concrete surface and the corresponding relative errors under vertical polarization. (a) Results at 10.7 GHz; (b) results at 37 GHz with a system sensitivity of 0.5 K; (c) results at 94 GHz for system sensitivities of 0 K, 1 K, 5 K, and 10 K; (df) relative errors corresponding to (ac), respectively.
Figure 12. Comparison between retrieved and theoretical microwave emissivities of a flat concrete surface and the corresponding relative errors under vertical polarization. (a) Results at 10.7 GHz; (b) results at 37 GHz with a system sensitivity of 0.5 K; (c) results at 94 GHz for system sensitivities of 0 K, 1 K, 5 K, and 10 K; (df) relative errors corresponding to (ac), respectively.
Remotesensing 18 00341 g012
Figure 13. Mean of the emissivity errors vs. radiometric sensitivity at horizontal and vertical polarization for the flat ground made of concrete.
Figure 13. Mean of the emissivity errors vs. radiometric sensitivity at horizontal and vertical polarization for the flat ground made of concrete.
Remotesensing 18 00341 g013
Figure 14. Millimeter radiometer in the experiments.
Figure 14. Millimeter radiometer in the experiments.
Remotesensing 18 00341 g014
Figure 15. (a) Optical image of the experimental building scene with a flat concrete ground; (b) corresponding radiometer output voltage distribution map. Rectangles in (b) denote the regions associated with the pure flat scene, the mirror-reflection scene, the reference wall, and the cold sky.
Figure 15. (a) Optical image of the experimental building scene with a flat concrete ground; (b) corresponding radiometer output voltage distribution map. Rectangles in (b) denote the regions associated with the pure flat scene, the mirror-reflection scene, the reference wall, and the cold sky.
Remotesensing 18 00341 g015
Figure 16. Measured voltage distributions for (a) the pure flat ground, (b) the flat ground with mirror reflection, (c) the cold sky, and (d) the reference wall.
Figure 16. Measured voltage distributions for (a) the pure flat ground, (b) the flat ground with mirror reflection, (c) the cold sky, and (d) the reference wall.
Remotesensing 18 00341 g016
Figure 17. (a) Measured microwave emissivity with absolute calibration and (b) the measured microwave emissivity with absolute calibration in the pure ground in Figure 15a.
Figure 17. (a) Measured microwave emissivity with absolute calibration and (b) the measured microwave emissivity with absolute calibration in the pure ground in Figure 15a.
Remotesensing 18 00341 g017
Figure 18. Measured microwave emissivity and the retrieved microwave emissivity by the proposed method within the pure ground in Figure 15a.
Figure 18. Measured microwave emissivity and the retrieved microwave emissivity by the proposed method within the pure ground in Figure 15a.
Remotesensing 18 00341 g018
Table 1. Specifications of the millimeter-wave radiometer used in the experiments.
Table 1. Specifications of the millimeter-wave radiometer used in the experiments.
SpecificationParameter
Operating Frequency94 GHz
PolarizationLinear (H/V selectable)
Integration time5~40 ms
System bandwidth1 GHz
Noise figure5.5 dB
Radiometric sensitivity<0.8 K
Liner dynamic range30 K~350 K
Antenna typeCassegrain reflector
Antenna aperture diameter0.30 m
Antenna gain (G)≈44 dBi
Half-power beamwidth (HPBW)0.8°
Main-beam efficiency>0.90
Sidelobe level<−20 dB
Scanning step0.1°~0.4°
Disclaimer/Publisher’s Note: The statements, opinions and data contained in all publications are solely those of the individual author(s) and contributor(s) and not of MDPI and/or the editor(s). MDPI and/or the editor(s) disclaim responsibility for any injury to people or property resulting from any ideas, methods, instructions or products referred to in the content.

Share and Cite

MDPI and ACS Style

Li, S.; Zhou, T.; Cheng, Y.; Xu, Y.; Mei, X.; Chen, J.; Lu, H. A Mirror-Reflection Method for Measuring Microwave Emissivity of Flat Scenes with Ground-Based Radiometers. Remote Sens. 2026, 18, 341. https://doi.org/10.3390/rs18020341

AMA Style

Li S, Zhou T, Cheng Y, Xu Y, Mei X, Chen J, Lu H. A Mirror-Reflection Method for Measuring Microwave Emissivity of Flat Scenes with Ground-Based Radiometers. Remote Sensing. 2026; 18(2):341. https://doi.org/10.3390/rs18020341

Chicago/Turabian Style

Li, Shilin, Taoyun Zhou, Yun Cheng, Yiming Xu, Xiaokang Mei, Jieqia Chen, and Hailiang Lu. 2026. "A Mirror-Reflection Method for Measuring Microwave Emissivity of Flat Scenes with Ground-Based Radiometers" Remote Sensing 18, no. 2: 341. https://doi.org/10.3390/rs18020341

APA Style

Li, S., Zhou, T., Cheng, Y., Xu, Y., Mei, X., Chen, J., & Lu, H. (2026). A Mirror-Reflection Method for Measuring Microwave Emissivity of Flat Scenes with Ground-Based Radiometers. Remote Sensing, 18(2), 341. https://doi.org/10.3390/rs18020341

Note that from the first issue of 2016, this journal uses article numbers instead of page numbers. See further details here.

Article Metrics

Back to TopTop