Quantitative Assessment of the Computing Performance for the Parallel Implementation of a Time-Domain Airborne SAR Raw Data Focusing Procedure
Highlights
- Two implementation strategies for Time-Domain (TD) airborne Synthetic Aperture Radar (SAR) focusing are presented and quantitatively compared using real airborne SAR data. The pixel-wise strategy consistently outperforms the matrix-wise strategy by 19–36% in computing time, with the performance gap widening for larger output grids, while both methods produce identical focused images.
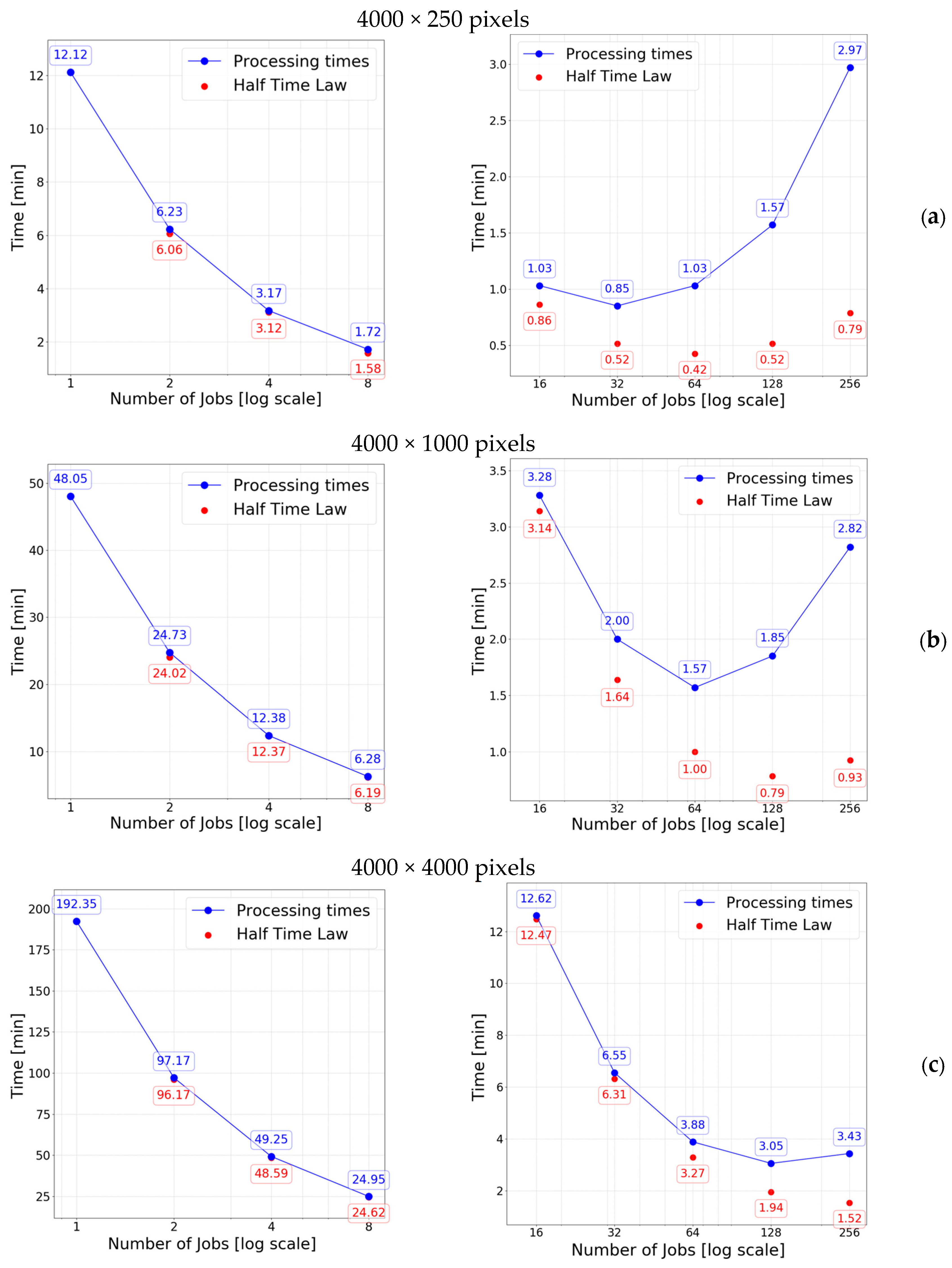
- For both proposed implementation strategies, TD focusing can be substantially accelerated through the proper application of parallel processing techniques. Depending on available hardware capabilities, significant speedup factors can be achieved. For instance, with the considered Information Technology (IT) platform, up to 177× have been achieved. Specifically, if we consider a SAR raw data size of 4000 × 200,000 samples, covering an area of approximately 3 km in slant range and 8 km in azimuth, and apply the pixel-wise approach to implement the TD focusing, by setting an azimuth resolution of 30 cm, over an output grid of 4000 × 32,000 pixels, with a single-job of the IT platform available at IREA-CNR we need 1560 min of computing time. Exploiting 256 jobs on the same platform, we reduce this computing time to just 8 min.
- Time-Domain SAR focusing becomes operationally viable for near-real-time airborne monitoring and emergency response applications, with processing times reduced to minutes for large-scale datasets when appropriate parallelization strategies are applied.
- The identified scaling behavior and efficiency limits allow for predicting processing times and optimization of resource allocation in operational SAR scenarios. Since computing efficiency deteriorates beyond specific parallelization thresholds, the presented results allow establishing practical criteria for balancing performance improvements against costs/inefficiencies related to parallelization.
Abstract
1. Introduction
2. Materials and Methods
2.1. Rationale of the TD Airborne SAR Focusing Procedure
- and are the total number of azimuth and range samples, respectively, of the considered range-focused SAR signal;
- are the azimuth indexes of the range-focused SAR signal; they are thus related to the so-called SAR slow time ;
- are the range indices of the range-focused SAR signal; they are thus related to the so-called SAR fast time;
- is the range index corresponding to the antenna-to-target distance ;
- is the weighting function that compensates for signal attenuation effects;
- and are the center azimuth index and the length (in pixels) of the synthetic aperture, respectively, relevant to the target .
2.2. Implementation of the TD Airborne SAR Focusing Procedure
- is an I × L matrix that stores all the targets to be focused;
- and are I × L matrices that contain the quantities and , respectively, relevant to the targets of the considered output grid;
- An external Digital Elevation Model (DEM) that specifies, in a defined coordinate system, the ground position of each target of the considered output grid. Specifically, the DEM comprises three I × L matrices (, , , in Figure 1); in a geocentric Cartesian system (just to quote an example), these three matrices store the x, y, and z coordinates of the ground position of the targets.
2.2.1. Pixel-Wise Strategy
- the target position, recorded in the three matrices , , and in correspondence to the yellow cell in Figure 2, which matches the blue cell of the matrix ;
- the synthetic aperture center index, pointing to the dark green cell of the GNSS vectors in Figure 2;
- the synthetic aperture length, which allows selecting the light green cells, around the dark green ones, of the GNSS vectors in Figure 2.
2.2.2. Matrix-Wise Strategy
- the target positions, recorded in the three matrices , , and in correspondence to all the cells (highlighted in yellow in Figure 3), matched to all the cells of the matrix ;
2.2.3. Parallel Implementation
- 1.
- Assessment of the Available Computational Resources. The parallelization degree J is determined by multiplying the number of Worker Nodes (WNs) times the number of cores available in the processing infrastructure. This evaluation establishes the number J of portions into which the output grid will be divided.
- 2.
- Output Grid Splitting and Focusing. Based on the previous evaluation, the output grid is split into J adjacent, non-overlapping, equal-sized portions along the azimuth direction, while keeping the full range dimension intact. Each portion represents a task, which we refer to as a “job”, to be processed (i.e., focused) by using a single core on a designated WN. To prevent memory overload in the computing system, only the necessary data (referred to as “data package”) for performing the assigned job are allocated to each core.For each job, the data package includes the relevant portions of the external DEM, along with the corresponding segments of the matrices and , which are consistently partitioned with the output grid. Since these data matrices have the same dimensions as the output grid, each data portion has the same dimensions as well, making their partition straightforward once J is fixed.Selecting for each job the proper azimuth portions of the GNSS vectors and the range-focused SAR data matrix is, instead, not straightforward as well. Indeed, the GNSS vectors and the data matrix have all the same azimuth dimensions, which are, however, different from the azimuth dimension of the output grid. Therefore, this operation requires determining the minimum and maximum azimuth indexes ( and , respectively) of interest for the considered job. This is achieved by inspecting the indices contained in the portions of the matrices and relevant to the considered job. These indices indeed allow marking the track segment (i.e., the bounds of the GNSS vectors) that should be considered to focus each entire portion and, in turn, the azimuth boundaries of the matrix, which, similarly to the output grid, is not cut in the range dimension.
- 3.
- Tiling of Focused Data. Once all the portions are separately focused, each one is mapped directly to its corresponding position within the output grid. Since the portions are non-overlapping, no merging operations are required. This operation ultimately yields the final SLC image.
3. Results
3.1. Pixel-Wise vs. Matrix-Wise Strategy
3.1.1. Single-Job Case
3.1.2. Multi-Job Case
3.2. Pixel-Wise Strategy: Parallel Processing Case
4. Discussion
5. Conclusions
Author Contributions
Funding
Data Availability Statement
Conflicts of Interest
References
- Curlander, J.C.; McDonough, R.N. Synthetic Aperture Radar: Systems and Signal Processing; Wiley: New York, NY, USA, 1991; ISBN 978-0-471-85770-9. [Google Scholar]
- Perna, S.; Soldovieri, F.; Amin, M. Editorial for Special Issue “Radar Imaging in Challenging Scenarios from Smart and Flexible Platforms”. Remote Sens. 2020, 12, 1272. [Google Scholar] [CrossRef]
- Esposito, C.; Gifuni, A.; Perna, S. Measurement of the Antenna Phase Center Position in Anechoic Chamber. IEEE Antennas Wirel. Propag. Lett. 2018, 17, 2183–2187. [Google Scholar] [CrossRef]
- Moreira, A. Yonghong Huang Airborne SAR Processing of Highly Squinted Data Using a Chirp Scaling Approach with Integrated Motion Compensation. IEEE Trans. Geosci. Remote Sens. 1994, 32, 1029–1040. [Google Scholar] [CrossRef]
- Fornaro, G. Trajectory Deviations in Airborne SAR: Analysis and Compensation. IEEE Trans. Aerosp. Electron. Syst. 1999, 35, 997–1009. [Google Scholar] [CrossRef]
- Yegulalp, A.F. Fast Backprojection Algorithm for Synthetic Aperture Radar. In Proceedings of the 1999 IEEE Radar Conference. Radar into the Next Millennium (Cat. No.99CH36249), Waltham, MA, USA, 22 April 1999; IEEE: Piscataway, NJ, USA, 1999; pp. 60–65. [Google Scholar]
- Ulander, L.M.H.; Hellsten, H.; Stenstrom, G. Synthetic-Aperture Radar Processing Using Fast Factorized Back-Projection. IEEE Trans. Aerosp. Electron. Syst. 2003, 39, 760–776. [Google Scholar] [CrossRef]
- Frey, O.; Magnard, C.; Ruegg, M.; Meier, E. Focusing of Airborne Synthetic Aperture Radar Data From Highly Nonlinear Flight Tracks. IEEE Trans. Geosci. Remote Sens. 2009, 47, 1844–1858. [Google Scholar] [CrossRef]
- Berardino, P.; Natale, A.; Esposito, C.; Lanari, R.; Perna, S. On the Time-Domain Airborne SAR Focusing in the Presence of Strong Azimuth Variations of the Squint Angle. IEEE Trans. Geosci. Remote Sens. 2023, 61, 5212818. [Google Scholar] [CrossRef]
- Esposito, C.; Natale, A.; Lanari, R.; Berardino, P.; Perna, S. On the Capabilities of the IREA-CNR Airborne SAR Infrastructure. Remote Sens. 2024, 16, 3704. [Google Scholar] [CrossRef]
- Franceschetti, G.; Lanari, R. Synthetic Aperture Radar Processing; CRC Press: Boca Raton, FL, USA, 1999; ISBN 978-0-203-73748-4. [Google Scholar]
- IDL Interactive Data Language. Available online: https://www.nv5geospatialsoftware.com/docs/using_idl_home.html (accessed on 12 May 2025).
- MATLAB. Available online: https://it.mathworks.com/products/matlab.html (accessed on 12 May 2025).
- Altman, Y.M. Accelerating MATLAB Performance: 1001 Tips to Speed up MATLAB Programs; Chapman and Hall/CRC: Boca Raton, FL, USA, 2014; ISBN 978-0-429-18874-9. [Google Scholar]
- Grama, A.Y.; Gupta, A.; Kumar, V. Isoefficiency: Measuring the Scalability of Parallel Algorithms and Architectures. IEEE Parallel Distrib. Technol. Syst. Appl. 1993, 1, 12–21. [Google Scholar] [CrossRef]
- Robey, R.; Zamora, Y. Parallel and High Performance Computing, 1st ed.; Manning Publications: New York, NY, USA, 2021; ISBN 978-1-61729-646-8. [Google Scholar]
- Buber, E.; Diri, B. Performance Analysis and CPU vs GPU Comparison for Deep Learning. In Proceedings of the 2018 6th International Conference on Control Engineering & Information Technology (CEIT), Istanbul, Turkey, 25–27 October 2018; IEEE: Piscataway, NJ, USA, 2018; pp. 1–6. [Google Scholar]
- Asano, S.; Maruyama, T.; Yamaguchi, Y. Performance Comparison of FPGA, GPU and CPU in Image Processing. In Proceedings of the 2009 International Conference on Field Programmable Logic and Applications, Prague, Czech Republic, 31 August–2 September 2009; IEEE: Piscataway, NJ, USA, 2009; pp. 126–131. [Google Scholar]
- Frey, O.; Werner, C.L.; Wegmuller, U. GPU-Based Parallelized Time-Domain Back-Projection Processing for Agile SAR Platforms. In Proceedings of the 2014 IEEE Geoscience and Remote Sensing Symposium, Quebec City, QC, Canada, 13–18 July 2014; IEEE: Piscataway, NJ, USA, 2014; pp. 1132–1135. [Google Scholar]










| Carrier frequency [GHz] | 9.55 |
| Azimuth sampling [m] | 0.04 |
| Range sampling [m] | 0.75 |
| Number of azimuth samples | ~200,000 |
| Number of range samples | ~4000 |
| Output Grid Size [Pixels] | 4000 × 250 | 4000 × 1000 | 4000 × 4000 | 4000 × 8000 | 4000 × 16,000 | 4000 × 32,000 | |
| Processed range resolution [m] | 0.75 | ||||||
| Processed azimuth resolution [m] | 0.30 | ||||||
| Range pixel spacing [m] | 0.75 | ||||||
| Azimuth pixel spacing [m] | 0.25 | ||||||
| Covered area | Range [m] | 3000 | |||||
| Azimuth [m] | 62.5 | 250 | 1000 | 2000 | 4000 | 8000 | |
| Output Grid Size [Pixels] | Pixel-Wise Processing Time [min] | Matrix-Wise Processing Time [min] | Relative Difference [%] |
|---|---|---|---|
| 4000 × 250 | 12.12 | 14.45 | 19% |
| 4000 × 1000 | 48.05 | 58.63 | 22% |
| 4000 × 4000 | 192.35 | 260.90 | 36% |
| 4000 × 8000 | 388.52 | 523.35 | 35% |
| 4000 × 16,000 | 781.25 | 1052.18 | 35% |
| 4000 × 32,000 | 1560.37 | 2106.73 | 35% |
Disclaimer/Publisher’s Note: The statements, opinions and data contained in all publications are solely those of the individual author(s) and contributor(s) and not of MDPI and/or the editor(s). MDPI and/or the editor(s) disclaim responsibility for any injury to people or property resulting from any ideas, methods, instructions or products referred to in the content. |
© 2026 by the authors. Licensee MDPI, Basel, Switzerland. This article is an open access article distributed under the terms and conditions of the Creative Commons Attribution (CC BY) license.
Share and Cite
Euillades, J.; Berardino, P.; Esposito, C.; Natale, A.; Lanari, R.; Perna, S. Quantitative Assessment of the Computing Performance for the Parallel Implementation of a Time-Domain Airborne SAR Raw Data Focusing Procedure. Remote Sens. 2026, 18, 221. https://doi.org/10.3390/rs18020221
Euillades J, Berardino P, Esposito C, Natale A, Lanari R, Perna S. Quantitative Assessment of the Computing Performance for the Parallel Implementation of a Time-Domain Airborne SAR Raw Data Focusing Procedure. Remote Sensing. 2026; 18(2):221. https://doi.org/10.3390/rs18020221
Chicago/Turabian StyleEuillades, Jorge, Paolo Berardino, Carmen Esposito, Antonio Natale, Riccardo Lanari, and Stefano Perna. 2026. "Quantitative Assessment of the Computing Performance for the Parallel Implementation of a Time-Domain Airborne SAR Raw Data Focusing Procedure" Remote Sensing 18, no. 2: 221. https://doi.org/10.3390/rs18020221
APA StyleEuillades, J., Berardino, P., Esposito, C., Natale, A., Lanari, R., & Perna, S. (2026). Quantitative Assessment of the Computing Performance for the Parallel Implementation of a Time-Domain Airborne SAR Raw Data Focusing Procedure. Remote Sensing, 18(2), 221. https://doi.org/10.3390/rs18020221

