Detecting Shifts of Monsoon Precipitation Patterns and a Large Increase in Soil Erosion Potential During 1979–2020 in Nepal
Highlights
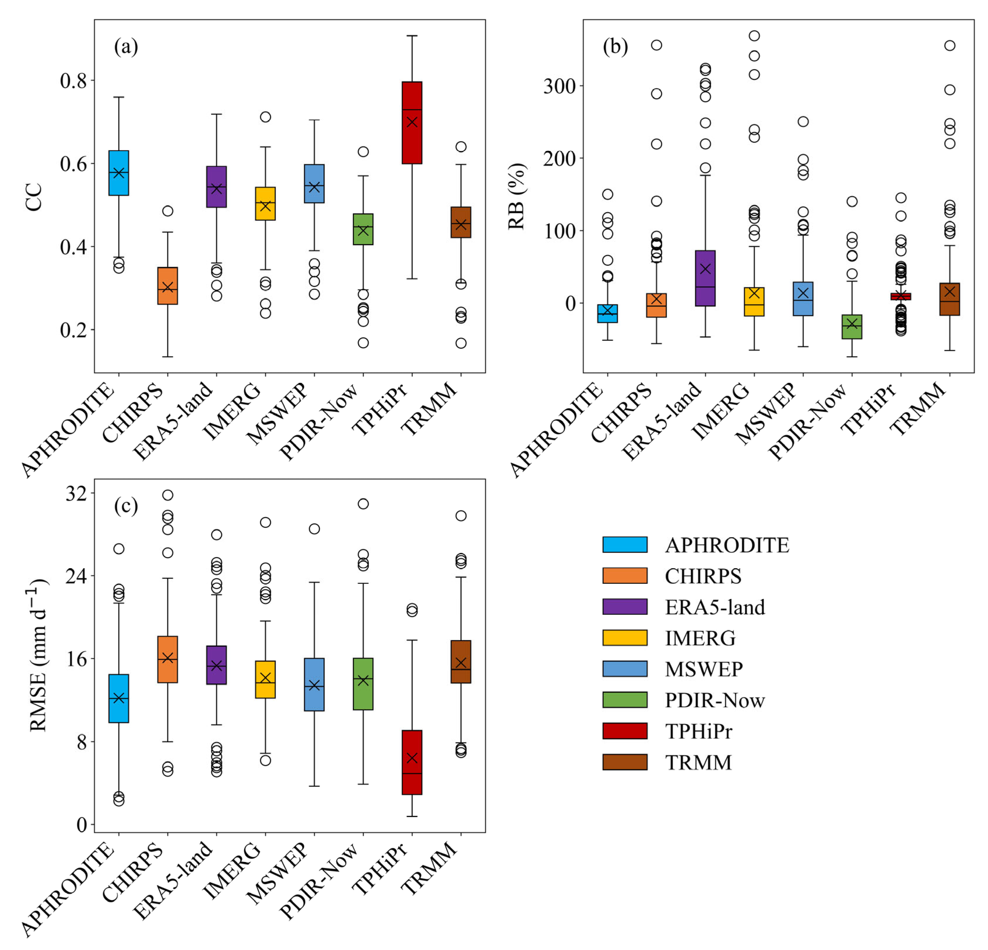
- TPHiPr outperformed seven other gridded precipitation datasets in capturing Nepal’s complex rainfall patterns, especially at high altitudes.
- Rainfall-runoff erosivity (R-factor) is rising nationwide due to increased frequent and intense extreme precipitation, notably in high-altitude regions.
- Soil erosion risk is increasing across Nepal, including areas with declining total rainfall, requiring targeted soil conservation in vulnerable zones.
- Watershed management policies must address both intensified monsoon erosion/flooding in central/eastern Nepal and elevated dry-season water scarcity in western Nepal.
Abstract
1. Introduction
2. Materials and Methods
2.1. Study Area
2.2. Precipitation Datasets
2.2.1. Observed Precipitation Data
2.2.2. Gridded Precipitation Datasets (GPDs)
2.3. Data Analysis Methods
2.3.1. Precipitation Data Quality Control Methods
2.3.2. Gridded Precipitation Datasets Validation Methods
2.3.3. R-Factor Calculation Methods
2.3.4. Spatiotemporal Characteristic Analysis Methods
3. Results
3.1. Validation of GPDs Using Ground Precipitation Observations
3.1.1. Mean Daily Precipitation by Altitude
3.1.2. Precipitation Intensity
3.2. Spatiotemporal Patterns of Precipitation Based on TPHiPr
3.2.1. Seasonal and Annual Precipitation
3.2.2. Spatial Distribution and Trend of Annual Precipitation
3.2.3. Variations of Extreme Precipitation
3.3. Spatiotemporal Patterns of R-Factor Based on TPHiPr
3.3.1. Seasonal and Annual R-Factor
3.3.2. Spatial Distribution and Trend of R-Factor
3.3.3. R-Factor Variation with Altitude
4. Discussion
4.1. Data Limitations and Their Impact on Rainfall Erosivity Assessment
4.2. Analysis of Spatiotemporal Variations in Precipitation and Their Physical Mechanisms
4.2.1. Seasonal and Annual Precipitation
4.2.2. Extreme Precipitation
4.3. Rising R-Factor and a Large Variability Across Nepal
4.4. Toward Better Future Management of Soil and Water Resources
5. Conclusions
Supplementary Materials
Author Contributions
Funding
Data Availability Statement
Acknowledgments
Conflicts of Interest
References
- Chalise, D.; Kumar, L.; Kristiansen, P. Land degradation by soil erosion in Nepal: A review. Soil Syst. 2019, 3, 12. [Google Scholar] [CrossRef]
- Joshi, J.; Tara, N.B.; Keshar, M.S.; Hiroshi, O. Soil erosion and sediment disaster in Nepal-A review. J. Fac. Agric. Kyushu Univ. 1998, 42, 491–502. [Google Scholar] [CrossRef] [PubMed]
- Talchabhadel, R.; Prajapati, R.; Aryal, A.; Maharjan, M. Assessment of rainfall erosivity (R-factor) during 1986-2015 across Nepal: A step towards soil loss estimation. Environ. Monit. Assess. 2020, 192, 293. [Google Scholar] [CrossRef] [PubMed]
- Bhatta, L.D.; van Oort, B.E.H.; Stork, N.E.; Baral, H. Ecosystem services and livelihoods in a changing climate: Understanding local adaptations in the Upper Koshi, Nepal. Int. J. Biodivers. Sci. Ecosyst. Serv. Manag. 2015, 11, 145–155. [Google Scholar] [CrossRef]
- Duncan, J.M.A.; Biggs, E.M.; Dash, J.; Atkinson, P.M. Spatio-temporal trends in precipitation and their implications for water resources management in climate-sensitive Nepal. Appl. Geogr. 2013, 43, 138–146. [Google Scholar] [CrossRef]
- UN. Case Studies on Sustainable Livelihoods in Rural Areas of Nepal: Ecosystem Restoration and Conservation for Resilient Livelihoods in the Rupa Lake Watershed of Nepal; United Nations: New York, NY, USA, 2020. [Google Scholar]
- Wischmeier, W.H.; Smith, D.D. Predicting Rainfall Erosion Losses; Agriculture Handbook Number 537; U.S. Government Printing Office: Washington, DC, USA, 1978; pp. 285–291.
- Renard, K.G.; Laflen, J.M.; Foster, G.R.; McCool, D.K. The revised universal soil loss equation. In Soil Erosion Research Methods; Routledge: New York, NY, USA, 2017; pp. 105–126. [Google Scholar]
- Wang, W.; Yin, S.; He, Z.; Chen, D.; Wang, H.; Klik, A. Projections of rainfall erosivity in climate change scenarios for mainland China. Catena 2023, 232, 107391. [Google Scholar] [CrossRef]
- Yin, S.; Nearing, M.A.; Borrelli, P.; Xue, X. Rainfall erosivity: An overview of methodologies and applications. Vadose Zone J. 2017, 16, 1–16. [Google Scholar] [CrossRef]
- Segura, C.; Sun, G.; McNulty, S.; Zhang, Y. Potential impacts of climate change on soil erosion vulnerability across the conterminous United States. J. Soil Water Conserv. 2014, 69, 171–181. [Google Scholar] [CrossRef]
- Panda, S.; Misra, D.; Amatya, D.M.; Grace, J.M.; Thompson, A. Advances in modeling soil erosion risk. In Ch 9: Understanding and Preventing Soil Erosion; Seeger, M., Ed.; Burleigh Dodds Science Publishing: Cambridge, UK, 2024; pp. 127–150. [Google Scholar]
- Aggarwal, D.; Attada, R.; Shukla, K.K.; Chakraborty, R.; Kunchala, R.K. Monsoon precipitation characteristics and extreme precipitation events over Northwest India using Indian high resolution regional reanalysis. Atmos. Res. 2022, 267, 105993. [Google Scholar] [CrossRef]
- Ghosh, S.; Vittal, H.; Sharma, T.; Karmakar, S.; Kasiviswanathan, K.S.; Dhanesh, Y.; Sudheer, K.P.; Sunthe, S.S. Indian Summer Monsoon Rainfall: Implications of Contrasting Trends in the Spatial Variability of Means and Extremes. PLoS ONE 2016, 11, e0158670. [Google Scholar] [CrossRef]
- Krishnan, R.; Sabin, T.P.; Madhura, R.K.; Vellore, R.K.; Mujumdar, M.; Sanjay, J.; Rajeevan, M. Non-monsoonal precipitation response over the Western Himalayas to climate change. Clim. Dyn. 2018, 52, 4091–4109. [Google Scholar] [CrossRef]
- Bohlinger, P.; Sorteberg, A. A comprehensive view on trends in extreme precipitation in Nepal and their spatial distribution. Int. J. Climatol. 2017, 38, 1833–1845. [Google Scholar] [CrossRef]
- Maharjan, M.; Yoneda, M.; Talchabhadel, R.; Thapa, B.R.; Aryal, A. Use of indices on daily timescales to study changes in extreme precipitation across Nepal over 40 years (1976–2015). Earth Space Sci. 2023, 10, e2020EA001509. [Google Scholar] [CrossRef]
- Yin, C.; Bai, C.; Zhu, Y.; Shao, M.A.; Han, X.; Qiao, J. Future soil erosion risk in China: Differences in Erosion driven by general and extreme precipitation under climate change. Earth’s Future 2025, 13, e2024EF005390. [Google Scholar] [CrossRef]
- Mukherjee, S.; Panda, S.; Amatya, D.M.; Lew, R.; Dobre, M.; Campbell, J.L.; Johnson, S.L.; Elder, K.; Jalowska, A.M.; Grace, J.M. Hydro-geomorphological assessment of culvert vulnerability to flood induced erosion and siltation using ensemble modeling approach. J. Environ. Model. Softw. 2025, 183, 106243. [Google Scholar] [CrossRef]
- Yu, L.; Zhang, Y.; Yang, Y. Using High-Density Rain Gauges to Validate the Accuracy of Satellite Precipitation Products over Complex Terrains. Atmosphere 2020, 11, 633. [Google Scholar] [CrossRef]
- Wu, L.; Li, C.; Wang, L.; He, Z.; Zhang, Y.; Wang, W.; Yang, L.; Wei, J.; Xie, X. Spatiotemporal variability of alpine precipitable water over arid northwestern China. Hydrol. Process. 2020, 34, 3524–3538. [Google Scholar] [CrossRef]
- Liu, J.; Du, J.; Yang, Y.; Wang, Y. Evaluating extreme precipitation estimations based on the GPM IMERG products over the Yangtze River Basin, China. Geomatics. Nat. Hazards Risk 2020, 11, 601–618. [Google Scholar] [CrossRef]
- Tan, X.; Ma, Z.; He, K.; Han, X.; Ji, Q.; He, Y. Evaluations on gridded precipitation products spanning more than half a century over the Tibetan Plateau and its surroundings. J. Hydrol. 2020, 582, 124455. [Google Scholar] [CrossRef]
- Kumar, M.; Hodnebrog, Ø.; Daloz, A.S.; Sen, S.; Badiger, S.; Krishnaswamy, J. Measuring precipitation in Eastern Himalaya: Ground validation of eleven satellite, model and gauge interpolated gridded products. J. Hydrol. 2021, 599, 126252. [Google Scholar] [CrossRef]
- Sun, Q.; Miao, C.; Duan, Q.; Ashouri, H.; Sorooshian, S.; Hsu, K. A Review of global precipitation data sets: Data sources, estimation, and intercomparisons. Rev. Geophys. 2018, 56, 79–107. [Google Scholar] [CrossRef]
- Sun, H.; Su, F. Precipitation Correction and Reconstruction for Streamflow Simulation Based on 262 Rain Gauges in the Upper Brahmaputra of Southern Tibetan Plateau. J. Hydrol. 2020, 590, 125484. [Google Scholar] [CrossRef]
- Xiang, Y.; Zeng, C.; Zhang, F.; Wang, L. Effects of climate change on runoff in a representative Himalayan basin assessed through optimal integration of multi-source precipitation data. J. Hydrol. Reg. Stud. 2024, 53, 101828. [Google Scholar] [CrossRef]
- Duan, Z.; Liu, J.; Tuo, Y.; Chiogna, G.; Disse, M. Evaluation of eight high spatial resolution gridded precipitation products in Adige Basin (Italy) at multiple temporal and spatial scales. Sci. Total Environ. 2016, 573, 1536–1553. [Google Scholar] [CrossRef]
- Mukherjee, S.; Amatya, D.M.; Jalowska, A.M.; Campbell, J.L.; Johnson, S.L.; Elder, K.; Panda, S.; Grace, J.M.; Kikoyo, D. Comparison of on-site versus NOAA’s extreme precipitation intensity-duration-frequency estimates for six forest headwater catchments across the continental United States. Stoch. Environ. Res. Risk Assess. 2023, 37, 4051–4070. [Google Scholar] [CrossRef]
- Bocchiola, D.; Brunetti, L.; Soncini, A.; Polinelli, F.; Gianinetto, M. Impact of climate change on agricultural productivity and food security in the Himalayas: A case study in Nepal. Agric. Syst. 2019, 171, 113–125. [Google Scholar] [CrossRef]
- Bruijnzeel, L.; Sun, G.; Zhang, J.; Tiwari, K.; Hao, L. Forests, Water, and Livelihoods in the Lesser Himalaya. Eos 2024, 105. [Google Scholar] [CrossRef]
- Li, H.; Haugen, J.E.; Xu, C. Precipitation pattern in the Western Himalayas revealed by four datasets. Hydrol. Earth Syst. Sci. 2018, 22, 5097–5110. [Google Scholar] [CrossRef]
- Ouyang, L.; Yang, K.; Lu, H.; Chen, Y.; Lazhu; Zhou, X.; Wang, Y. Ground-Based Observations Reveal Unique Valley Precipitation Patterns in the Central Himalaya. J. Geophys. Res. Atmos. 2020, 125, e2019JD031502. [Google Scholar] [CrossRef]
- Hamal, K.; Khadka, N.; Rai, S.; Joshi, B.B.; Dotel, J.; Khadka, L.; Bag, N.; Ghimire, S.K.; Shrestha, D. Evaluation of the TRMM Product for Spatio-temporal Characteristics of Precipitation over Nepal (1998–2018). J. Inst. Sci. Technol. 2020, 25, 39–48. [Google Scholar] [CrossRef]
- Hamal, K.; Sharma, S.; Khadka, N.; Baniya, B.; Ali, M.; Shrestha, M.S.; Xu, T.; Shrestha, D.; Dawadi, B. Evaluation of MERRA-2 Precipitation Products Using Gauge Observation in Nepal. Hydrology 2020, 7, 40. [Google Scholar] [CrossRef]
- Kumar, S.; Amarnath, G.; Ghosh, S.; Park, E.; Baghel, T.; Wang, J.; Pramanik, M.; Belbase, D. Assessing the Performance of the Satellite-Based Precipitation Products (SPP) in the Data-Sparse Himalayan Terrain. Remote Sens. 2022, 14, 4810. [Google Scholar] [CrossRef]
- Nepal, B.; Bao, Q.; Wu, G. Assessing Multi-Source Precipitation Estimates in Nepal: A Benchmark for Sub-Seasonal Model Assessment. J. Geophys. Res. Atmos. 2024, 129, e2024JD040759. [Google Scholar] [CrossRef]
- Sharma, S.; Chen, Y.; Zhou, X.; Yang, K.; Li, X.; Niu, X.; Khadka, N. Evaluation of GPM-Era Satellite Precipitation Products on the Southern Slopes of the Central Himalayas Against Rain Gauge Data. Remote Sens. 2020, 12, 1836. [Google Scholar] [CrossRef]
- Sharma, S.; Khadka, N.; Hamal, K.; Shrestha, D.; Talchabhadel, R.; Chen, Y. How Accurately Can Satellite Products (TMPA and IMERG) Detect Precipitation Patterns, Extremities, and Drought Across the Nepalese Himalaya? Earth Space Sci. 2020, 7, e2020EA001315. [Google Scholar] [CrossRef]
- Tong, K.; Su, F.; Yang, D.; Hao, Z. Evaluation of satellite precipitation retrievals and their potential utilities in hydrologic modeling over the Tibetan Plateau. J. Hydrol. 2014, 519, 423–437. [Google Scholar] [CrossRef]
- Talchabhadel, R.; Shah, S.; Aryal, B. Evaluation of the Spatiotemporal Distribution of Precipitation Using 28 Precipitation Indices and 4 IMERG Datasets over Nepal. Remote Sens. 2022, 14, 5954. [Google Scholar] [CrossRef]
- Sharma, S.; Khadka, N.; Hamal, K.; Baniya, B.; Luintel, N.; Joshi, B.B. Spatial and Temporal Analysis of Precipitation and Its Extremities in Seven Provinces of Nepal (2001–2016). Appl. Ecol. Environ. Sci. 2020, 8, 64–73. [Google Scholar]
- Shrestha, D.; Sharma, S.; Hamal, K.; Jadoon, U.K.; Dawadi, B. Spatial Distribution of Extreme Precipitation Events and Its Trend in Nepal. Appl. Ecol. Environ. Sci. 2021, 9, 58–66. [Google Scholar] [CrossRef]
- Ban, J.K.; Yu, I.; Jeong, S. Estimation of soil erosion using RUSLE model and GIS techniques for conservation planning from Kulekhani Reservoir Catchment, Nepal. J. Korean Soc. Hazard Mitig. 2016, 16, 323–330. [Google Scholar] [CrossRef][Green Version]
- Koirala, P.; Thakuri, S.; Joshi, S.; Chauhan, R. Estimation of soil erosion in Nepal using a RUSLE modeling and geospatial tool. Geosciences 2019, 9, 147. [Google Scholar] [CrossRef]
- Uddin, K.; Matin, M.A.; Maharjan, S. Assessment of land cover change and its impact on changes in soil erosion risk in Nepal. Sustainability 2018, 10, 4715. [Google Scholar] [CrossRef]
- Uddin, K.; Murthy, M.S.R.; Wahid, S.M.; Matin, M.A. Estimation of soil erosion dynamics in the Koshi Basin using GIS and remote sensing to assess priority areas for conservation. PLoS ONE 2016, 11, e0150494. [Google Scholar] [CrossRef]
- Talchabhadel, R.; Karki, R.; Thapa, B.R.; Maharjan, M.; Parajuli, B. Spatio-temporal variability of extreme precipitation in Nepal. Int. J. Climatol. 2018, 38, 4296–4313. [Google Scholar] [CrossRef]
- Regmi, S.; Bookhagen, B. The spatial pattern of extreme precipitation from 40 years of gauge data in the central Himalaya. Weather Clim. Extrem. 2022, 37, 100470. [Google Scholar] [CrossRef]
- Dai, W.; Subedi, R.; Jin, K.; Hao, L. Spatiotemporal variation of potential evapotranspiration and meteorological drought based on multi-source data in Nepal. Nat. Hazards Res. 2023, 3, 271–279. [Google Scholar] [CrossRef]
- Deng, W.; Kong, B.; Su, Y.; Song, X. On the Water Resource Availability and Rural Households’ Livelihood Adaptation Chain Framework in Mountainous Areas of Nepal: Taking Koshi River Basin as an Example. Mt. Res. 2019, 37, 564–574. [Google Scholar]
- Parajuli, S.; Shrestha, J.; Ghimire, S. Organic farming in Nepal: A viable option for food security and agricultural sustainability. Arch. Agric. Environ. Sci. 2020, 5, 223–230. [Google Scholar] [CrossRef]
- Luo, Y.; Wang, L.; Hu, C.; Hao, L.; Sun, G. Changing extreme precipitation patterns in Nepal over 1971–2015. Earth Space Sci. 2024, 11, e2024EA003563. [Google Scholar] [CrossRef]
- Du, H.; Tan, M.L.; Zhang, F.; Chun, K.P.; Li, L.; Kabir, M.H. Evaluating the effectiveness of CHIRPS data for hydroclimatic studies. Theor. Appl. Climatol. 2024, 155, 1519–1539. [Google Scholar] [CrossRef]
- Prakash, S. Performance assessment of CHIRPS, MSWEP, SM2RAIN-CCI, and TMPA precipitation products across India. J. Hydrol. 2019, 571, 50–59. [Google Scholar] [CrossRef]
- Muñoz-Sabater, J.; Dutra, E.; Agustí-Panareda, A.; Albergel, C.; Arduini, G.; Balsamo, G.; Boussetta, S.; Choulga, M.; Harrigan, S.; Hersbach, H.; et al. ERA5-Land: A state-of-the-art global reanalysis dataset for land applications. Earth Syst. Sci. Data 2021, 13, 4349–4383. [Google Scholar] [CrossRef]
- Wu, X.; Su, J.; Ren, W.; Lü, H.; Yuan, F. Statistical comparison and hydrological utility evaluation of ERA5-Land and IMERG precipitation products on the Tibetan Plateau. J. Hydrol. 2023, 620, 129384. [Google Scholar] [CrossRef]
- Prakash, S.; Srinivasan, J.A. Comprehensive Evaluation of Near-Real-Time and Research Products of IMERG Precipitation over India for the Southwest Monsoon Period. Remote Sens. 2021, 13, 3676. [Google Scholar] [CrossRef]
- Wang, Z.; Zhong, R.; Lai, C.; Chen, J. Evaluation of the GPM IMERG satellite-based precipitation products and the hydrological utility. Atmos. Res. 2017, 196, 151–163. [Google Scholar] [CrossRef]
- Zhou, C.; Gao, W.; Hu, J.; Du, L.; Du, L. Capability of IMERG V6 Early, Late, and Final Precipitation Products for Monitoring Extreme Precipitation Events. Remote Sens. 2021, 13, 689. [Google Scholar] [CrossRef]
- Beck, H.E.; Wood, E.F.; Pan, M.; Fisher, C.K.; Miralles, D.G.; van Dijk, A.I.J.M.; McVicar, T.R.; Adler, R.F. MSWEP V2 Global 3-Hourly 0.1° Precipitation: Methodology and Quantitative Assessment. Bull. Am. Meteorol. Soc. 2019, 100, 473–500. [Google Scholar] [CrossRef]
- Beck, H.E.; van Dijk, A.I.J.M.; Levizzani, V.; Schellekens, J.; Miralles, D.G.; Martens, B.; de Roo, A. MSWEP: 3-hourly 0.25° global gridded precipitation (1979–2015) by merging gauge, satellite, and reanalysis data. Hydrol. Earth Syst. Sci. 2017, 21, 589–615. [Google Scholar] [CrossRef]
- Liu, J.; Shangguan, D.; Liu, S.; Ding, Y.; Wang, S.; Wang, X. Evaluation and comparison of CHIRPS and MSWEP daily-precipitation products in the Qinghai-Tibet Plateau during the period of 1981–2015. Atmos. Res. 2019, 230, 104634. [Google Scholar] [CrossRef]
- Liu, Z. Comprehensive Evaluation of High-Resolution Satellite Precipitation Products over the Qinghai–Tibetan Plateau Using the New Ground Observation Network. Remote Sens. 2023, 15, 3381. [Google Scholar] [CrossRef]
- Nadeem, M.U.; Anjum, M.N.; Afzal, A.; Azam, M.; Hussain, F.; Usman, M.; Javaid, M.M.; Mukhtar, M.A.; Majeed, F. Assessment of Multi-Satellite Precipitation Products over the Himalayan Mountains of Pakistan, South Asia. Sustainability 2022, 14, 8490. [Google Scholar] [CrossRef]
- Nguyen, P.; Ombadi, M.; Gorooh, V.A.; Shearer, E.J.; Sadeghi, M.; Sorooshian, S.; Hsu, K.; Bolvin, D.; Ralph, M.F. PERSIANN Dynamic Infrared–Rain Rate (PDIR-Now): A Near-Real-Time, Quasi-Global Satellite Precipitation Dataset. J. Hydrometeorol. 2020, 21, 2893–2906. [Google Scholar] [CrossRef]
- Jiang, Y.; Yang, K.; Qi, Y.; Zhou, X.; He, J.; Lu, H.; Li, X.; Chen, Y.; Li, X.; Zhou, B.; et al. TPHiPr: A long-term (1979–2020) high-accuracy precipitation dataset (1∕30°, daily) for the Third Pole region based on high-resolution atmospheric modeling and dense observations. Earth Syst. Sci. Data 2023, 15, 621–638. [Google Scholar] [CrossRef]
- Subba, S.; Ma, Y.; Ma, W.; Cun-Bo Han, C. Extreme precipitation detection ability of four high-resolution precipitation product datasets in hilly area: A case study in Nepal. Adv. Clim. Change Res. 2024, 15, 390–405. [Google Scholar] [CrossRef]
- Bharti, V.; Singh, C. Evaluation of error in TRMM 3B42V7 precipitation estimates over the Himalayan region. J. Geophys. Res. Atmos. 2015, 120, 12458–12473. [Google Scholar] [CrossRef]
- Huffman, G.J.; Bolvin, D.T.; Nelkin, E.J.; Wolff, D.B.; Adler, R.F.; Gu, G.; Hong, Y.; Bowman, K.P.; Stocker, E.F. The TRMM Multi-satellite Precipitation Analysis (TMPA): Quasi-Global, Multiyear, Combined-Sensor Precipitation Estimates at Fine Scales. J. Hydrometeorol. 2007, 8, 38–55. [Google Scholar] [CrossRef]
- Zhang, Z.; Jin, Q.; Chen, X.; Xu, C.; Chen, S.; Moss, E.M.; Huang, Y. Evaluation of TRMM Multisatellite Precipitation Analysis in the Yangtze River Basin with a Typical Monsoon Climate. Adv. Meteorol. 2016, 2016, 7329765. [Google Scholar] [CrossRef]
- Malede, D.A.; Agumassie, T.A.; Kosgei, J.R.; Phan, A.B.; Andualem, T.G. Evaluation of Satellite Rainfall Estimates in a Rugged Topographical Basin Over South Gojjam Basin, Ethiopia. J. Indian Soc. Remote Sens. 2022, 50, 1333–1346. [Google Scholar] [CrossRef]
- Zhang, M.; Leon, C.D.; Migliaccio, K. Evaluation and comparison of interpolated gauge rainfall data and gridded rainfall data in Florida, USA. Hydrol. Sci. J. 2018, 63, 561–582. [Google Scholar] [CrossRef]
- Wu, X.; Na, Z. Evaluation and Comparison of Six High-Resolution Daily Precipitation Products in Mainland China. Remote Sens. 2023, 15, 223. [Google Scholar] [CrossRef]
- Talchabhadel, R.; Aryal, A.; Kawaike, K.; Yamanoi, K.; Nakagawa, H. A comprehensive analysis of projected changes of extreme precipitation indices in West Rapti River basin, Nepal under changing climate. Int. J. Climatol. 2020, 41, E2581–E2599. [Google Scholar] [CrossRef]
- Lemunyon, J.L.; Gilbert, R.G. The concept and need for a phosphorus assessment tool. J. Prod. Agric. 1993, 6, 483–496. [Google Scholar] [CrossRef]
- Chervenkov, H.; Slavov, K. Theil-Sen estimator vs. ordinary least squares–trend analysis for selected ETCCDI climate indices. Proc. Bulg. Acad. Sci. 2019, 72, 47–54. [Google Scholar]
- Rahman, M.A.; Yunsheng, L.; Sultana, N. Analysis and prediction of rainfall trends over Bangladesh using Mann–Kendall, Spearman’s rho tests and ARIMA model. Meteorol. Atmos. Phys. 2017, 129, 409–424. [Google Scholar] [CrossRef]
- Soomro, S.E.H.; Hu, C.; Jian, S.; Wu, Q.; Boota, M.W.; Aamir Soomro, M.H.A. Precipitation changes and their relationships with vegetation responses during 1982–2015 in Kunhar River basin, Pakistan. Water Supply 2021, 21, 3657–3671. [Google Scholar] [CrossRef]
- Harpold, A.A.; Kaplan, M.L.; Klos, P.Z.; Link, T.; McNamara, J.P.; Rajagopal, S.; Steele, C.M. Rain or snow: Hydrologic processes, observations, prediction, and research needs. Hydrol. Earth Syst. Sci. 2017, 21, 1–22. [Google Scholar] [CrossRef]
- Tapiador, F.J.; Turk, F.J.; Petersen, W.; Hou, A.Y.; García-Ortega, E.; Machado, L.A.T.; de Castro, M. Global precipitation measurement: Methods, datasets and applications. Atmos. Res. 2012, 104–105, 70–97. [Google Scholar] [CrossRef]
- Herrera, S.; Kotlarski, S.; Soares, P.M.M.; Cardoso, R.M.; Jaczewski, A.; Gutiérrez, J.M.; Maraun, D. Uncertainty in gridded precipitation products: Influence of station density, interpolation method and grid resolution. Int. J. Climatol. 2019, 39, 3717–3729. [Google Scholar] [CrossRef]
- Maggioni, V.; Nikolopoulos, E.I.; Anagnostou, E.N.; Borga, M. Modeling Satellite Precipitation Errors Over Mountainous Terrain: The Influence of Gauge Density, Seasonality, and Temporal Resolution. IEEE Trans. Geosci. Remote Sens. 2017, 55, 4130–4140. [Google Scholar] [CrossRef]
- Shang, W.; Duan, K.; Ren, X.; Guo, Y.; Guan, W.; Li, S. Changes in the dominant mode of summer precipitation over the central-eastern Tibetan Plateau around the mid-1990s. J. Geophys. Res. Atmos. 2022, 127, e2022JD036617. [Google Scholar] [CrossRef]
- Madhura, R.K.; Krishnan, R.; Revadekar, J.V.; Mujumdar, M.; Goswami, B.N. Changes in western disturbances over the Western Himalayas in a warming environment. Clim. Dyn. 2015, 44, 1157–1168. [Google Scholar] [CrossRef]
- Burbank, D.W.; Bookhagen, B.; Gabet, E.J.; Putkonen, J. Modern climate and erosion in the Himalaya. Comptes Rendus Geosci. 2012, 344, 610–626. [Google Scholar] [CrossRef]
- Perry, L.B.; Matthews, T.; Guy, H.; Koch, I.; Khadka, A.; Elmore, A.C.; Shrestha, D.; Tuladhar, S.; Baidya, S.K.; Maharjan, S.; et al. Precipitation characteristics and moisture source regions on Mt. Everest in the Khumbu, Nepal. One Earth 2020, 3, 594–607. [Google Scholar] [CrossRef]
- Pandey, A.; Mishra, S.K.; Gautam, A.K. Soil erosion modeling using satellite rainfall estimates. J. Water Resour. Hydraul. Eng. 2015, 4, 318–325. [Google Scholar] [CrossRef]
- Karki, R.; Hasson, S.; Schickhoff, U.; Scholten, T. Rising precipitation extremes across Nepal. Climate 2017, 5, 4. [Google Scholar] [CrossRef]
- Panagos, P.; Ballabio, C.; Borrelli, P.; Meusburger, K.; Klik, A.; Rousseva, S.; Perčec Tadić, M.; Michaelides, S.; Hrabalíková, M.; Olsen, P.; et al. Rainfall erosivity in Europe. Sci. Total Environ. 2015, 511, 801–814. [Google Scholar] [CrossRef]
- Karpouzoglou, T.; Dewulf, A.; Clark, J. Advancing adaptive governance of social-ecological systems through theoretical multiplicity. Environ. Sci. Policy 2016, 57, 1–9. [Google Scholar] [CrossRef]
- Smadja, J.; Aubriot, O.; Puschiasis, O.; Duplan, T.; Grimaldi, J.; Hugonnet, M.; Buchheit, P. Climate change and water resources in the Himalayas. J. Alp. Res. Rev. Géograph. Alp. 2015, 103-2, 1–26. [Google Scholar]
- Uprety, M.; Ochoa-Tocachi, B.F.; Paul, J.D.; Regmi, S.; Buytaert, W. Improving water resources management using participatory monitoring in a remote mountainous region of Nepal. J. Hydrol. Reg. Stud. 2019, 23, 100604. [Google Scholar] [CrossRef]
- Jin, K.; Liu, N.; Tang, R.; Sun, G.; Hao, L. Quantifying Long Term (2000–2020) Water Balances Across Nepal by Integrating Remote Sensing and an Ecohydrological Model. Remote Sens. 2025, 17, 1819. [Google Scholar] [CrossRef]









| Precipitation Datasets | Spatial Resolution | Temporal Resolution | Time Period | Data Sources |
|---|---|---|---|---|
| Weather station | point | Daily | 1971–2020 | https://www.dhm.gov.np/data-service/ (accessed on 26 August 2024) |
| APHRODITE | 0.25° | Daily | 1981–2015 | https://www.chikyu.ac.jp/precip/ (accessed on 26 August 2024) |
| CHIRPS | 0.05° | Daily | 1981–present | https://www.chc.ucsb.edu/ (accessed on 26 August 2024) |
| ERA5-land | 0.1° | Hourly | 1950–present | https://cds.climate.copernicus.eu/ (accessed on 26 August 2024) |
| IMERG | 0.1° | Half-hourly | 2000–2021 | https://gpm.nasa.gov/data/imerg/ (accessed on 26 August 2024) |
| MSWEP | 0.1° | 3-hourly | 1979–2020 | https://www.gloh2o.org/mswep/ (accessed on 26 August 2024) |
| PDIR-Now | 0.04° | Hourly | 2000–present | https://chrsdata.eng.uci.edu/ (accessed on 26 August 2024) |
| TPHiPr | 0.03° | Daily | 1979–2020 | https://data.tpdc.ac.cn/en/ (accessed on 26 August 2024) |
| TRMM | 0.25° | 3-hourly | 1998–2019 | https://gpm.nasa.gov/missions/trmm/ (accessed on 26 August 2024) |
| Variable | Abbreviation | Unit | Formula or Description | Optimal Value |
|---|---|---|---|---|
| Spearman’s Rank Correlation Coefficient | CC | – | ||
| Relative Bias | RB | % | 0 | |
| Root Mean Square Error | RMSE | mm | 0 | |
| Probability of Detection | POD | – | 1 | |
| False Alarm Rate | FAR | – | 0 | |
| Critical Success Index | CSI | – | 1 | |
| Frequency Bias Index | FBI | – | 1 | |
| Heavy Rainfall Days | R25d | days | Annual number of days with daily rainfall amount ≥ 25 mm | – |
| 95th Percentile of Rainfall | R95 | mm | Annual 95th percentile of precipitation on wet days with daily rainfall amount ≥ 1 mm | – |
| Maximum Consecutive Wet Days | CWD | days | Annual maximum number of consecutive wet days with daily rainfall amount ≥ 1 mm | – |
| Region | Precipitation (mm)/Proportion (%)/Trend (mm per Period) | ||
|---|---|---|---|
| Annual | Monsoon (Jun. to Sep.) | Non-Monsoon (Oct. to May) | |
| National | 1742/100/3.6 * | 1359/78/3.0 * | 383/22/0.6 |
| West | 1457/100/1.6 | 1137/80/2.0 | 320/20/−0.4 |
| Central | 1984/100/4.5 * | 1585/76/3.0 | 399/24/1.5 |
| East | 1911/100/5.9 ** | 1447/78/4.7 ** | 464/22/1.3 |
| Elevation (m) | Multi-Year Average Annual R (MJ mm ha−1 hr−1 yr−1) | Changing Rate of Annual R (MJ mm ha−1 hr−1 yr−2) |
|---|---|---|
| Whole region | 968 | 6.3 ** |
| <1000 | 1156 | 7.4 * |
| 1000–2000 | 1091 | 5.5 * |
| 2000–3000 | 1058 | 7.0 ** |
| 3000–4000 | 839 | 6.7 ** |
| 4000–5000 | 580 | 5.2 ** |
| >5000 | 435 | 4.0 ** |
Disclaimer/Publisher’s Note: The statements, opinions and data contained in all publications are solely those of the individual author(s) and contributor(s) and not of MDPI and/or the editor(s). MDPI and/or the editor(s) disclaim responsibility for any injury to people or property resulting from any ideas, methods, instructions or products referred to in the content. |
© 2025 by the authors. Licensee MDPI, Basel, Switzerland. This article is an open access article distributed under the terms and conditions of the Creative Commons Attribution (CC BY) license.
Share and Cite
Tang, R.; Awasthi, R.P.; Jin, K.; Wang, L.; Liu, N.; Tiwari, K.R.; Song, C.; Amatya, D.M.; Sun, G.; Hao, L. Detecting Shifts of Monsoon Precipitation Patterns and a Large Increase in Soil Erosion Potential During 1979–2020 in Nepal. Remote Sens. 2026, 18, 69. https://doi.org/10.3390/rs18010069
Tang R, Awasthi RP, Jin K, Wang L, Liu N, Tiwari KR, Song C, Amatya DM, Sun G, Hao L. Detecting Shifts of Monsoon Precipitation Patterns and a Large Increase in Soil Erosion Potential During 1979–2020 in Nepal. Remote Sensing. 2026; 18(1):69. https://doi.org/10.3390/rs18010069
Chicago/Turabian StyleTang, Run, Ram Prasad Awasthi, Kailun Jin, Lang Wang, Ning Liu, Krishna Raj Tiwari, Conghe Song, Devendra M. Amatya, Ge Sun, and Lu Hao. 2026. "Detecting Shifts of Monsoon Precipitation Patterns and a Large Increase in Soil Erosion Potential During 1979–2020 in Nepal" Remote Sensing 18, no. 1: 69. https://doi.org/10.3390/rs18010069
APA StyleTang, R., Awasthi, R. P., Jin, K., Wang, L., Liu, N., Tiwari, K. R., Song, C., Amatya, D. M., Sun, G., & Hao, L. (2026). Detecting Shifts of Monsoon Precipitation Patterns and a Large Increase in Soil Erosion Potential During 1979–2020 in Nepal. Remote Sensing, 18(1), 69. https://doi.org/10.3390/rs18010069

