The Response Mechanism of Ecosystem Service Trade-Offs Along an Aridity Gradient in Humid and Semi-Humid Regions: A Case Study of Northeast China
Abstract
1. Introduction
2. Materials and Methods
2.1. Study Area
2.2. Data and Preprocessing
2.2.1. Topographic Data
2.2.2. Meteorological Data
2.2.3. Vegetation Data
2.2.4. Soil Data
2.2.5. Human Activity Data
2.3. Methods
2.3.1. Quantification of ESs
- CS
- WY
- HQ
- SR
2.3.2. Relationships Between ESs
2.3.3. ES Responses to Aridity
2.3.4. Driver Analysis of ES Trade-Offs Based on the AI Threshold
3. Results
3.1. Spatial Patterns of ESs
3.2. Analysis of ES Relationships
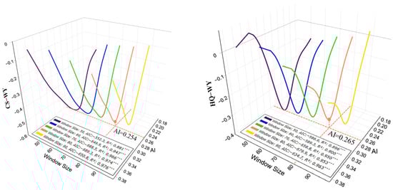
3.3. Response of ES Trade-Offs to Aridity
3.4. Driver Analysis of ES Trade-Offs
4. Discussion
4.1. Effects of Aridity on ES Trade-Offs
4.2. Drivers of ES Trade-Offs
4.3. ES Policy Implications and Limitations
5. Conclusions
Supplementary Materials
Author Contributions
Funding
Data Availability Statement
Conflicts of Interest
References
- Millennium Ecosystem Assessment. Ecosystems and Human Well-Being: Synthesis; Island Press: Washington, DC, USA, 2005. [Google Scholar]
- Costanza, R.; De Groot, R.; Sutton, P.; Van Der Ploeg, S.; Anderson, S.J.; Kubiszewski, I.; Farber, S.; Turner, R.K. Changes in the global value of ecosystem services. Glob. Environ. Chang. 2014, 26, 152–158. [Google Scholar] [CrossRef]
- Thomas, D.S.G. (Ed.) Arid Zone Geomorphology; Wiley: Hoboken, NJ, USA, 2011. [Google Scholar] [CrossRef]
- Zhang, S.; Chen, Y.; Zhou, X.; Zhu, B. Spatial patterns and drivers of ecosystem multifunctionality in China: Arid vs. humid regions. Sci. Total Environ. 2024, 920, 170868. [Google Scholar] [CrossRef]
- Zhao, J.; Wang, Y.; Zhang, Z.; Zhang, H.; Guo, X.; Yu, S.; Du, W.; Huang, F. The Variations of Land Surface Phenology in Northeast China and Its Responses to Climate Change from 1982 to 2013. Remote Sens. 2016, 8, 400. [Google Scholar] [CrossRef]
- IPCC. Climate Change 2023: Synthesis Report. Contribution of Working Groups I, II and III to the Sixth Assessment Report of the Intergovernmental Panel on Climate Change; Lee, H., Romero, J., Eds.; IPCC: Geneva, Switzerland, 2023; pp. 35–115. [Google Scholar] [CrossRef]
- Xu, D.; Lu, H.; Chu, G.; Shen, C.; Li, F.; Wu, J.; Wang, L.; Li, H.; Yu, Y.; Jin, Y. Asynchronous 500-year summer monsoon rainfall cycles between Northeast and Central China during the Holocene. Glob. Planet. Chang. 2020, 195, 103324. [Google Scholar] [CrossRef]
- Yuan, W.; Zheng, Y.; Piao, S.; Ciais, P.; Lombardozzi, D.; Wang, Y.; Ryu, Y.; Chen, G.; Dong, W.; Hu, Z. Increased atmospheric vapor pressure deficit reduces global vegetation growth. Sci. Adv. 2019, 5, eaax1396. [Google Scholar] [CrossRef] [PubMed]
- Yuan, B.; Guo, S.; Zhang, X.; Mu, H.; Cao, S.; Xia, Z.; Pan, X.; Du, P. Quantifying the drought sensitivity of vegetation types in northern China from 1982 to 2022. Agric. For. Meteorol. 2024, 359, 110293. [Google Scholar] [CrossRef]
- World Meteorological Organization. State of Global Water Resources 2021; United Nations: New York, NY, USA, 2022. [Google Scholar]
- Raudsepp-Hearne, C.; Peterson, G.D.; Bennett, E.M. Ecosystem service bundles for analyzing tradeoffs in diverse landscapes. Proc. Natl. Acad. Sci. USA 2010, 107, 5242–5247. [Google Scholar] [CrossRef]
- Zhao, J.; Li, C. Investigating Ecosystem Service Trade-Offs/Synergies and Their Influencing Factors in the Yangtze River Delta Region, China. Land 2022, 11, 106. [Google Scholar] [CrossRef]
- Bennett, E.M.; Peterson, G.D.; Gordon, L.J. Understanding relationships among multiple ecosystem services. Ecol. Lett. 2009, 12, 1394–1404. [Google Scholar] [CrossRef]
- Barnes, A.D.; Deslippe, J.R.; Potapov, A.M.; Romero-Olivares, A.L.; Schipper, L.A.; Alster, C.J. Does warming erode network stability and ecosystem multifunctionality? Trends Ecol. Evol. 2024, 39, 892–894. [Google Scholar] [CrossRef]
- Huang, B.; Lu, F.; Wang, X.; Wu, X.; Zheng, H.; Su, Y.; Yuan, Y.; Ouyang, Z. The impact of ecological restoration on ecosystem services change modulated by drought and rising CO2. Glob. Chang. Biol. 2023, 29, 5304–5320. [Google Scholar] [CrossRef] [PubMed]
- Tariq, A.; Sardans, J.; Zeng, F.; Graciano, C.; Hughes, A.C.; Farré-Armengol, G.; Peñuelas, J. Impact of aridity rise and arid lands expansion on carbon-storing capacity, biodiversity loss, and ecosystem services. Glob. Chang. Biol. 2024, 30, e17292. [Google Scholar] [CrossRef]
- Ren, Z.; Li, C.; Fu, B.; Wang, S.; Stringer, L.C. Effects of aridification on soil total carbon pools in China’s drylands. Glob. Change Biol. 2023, 30, e17091. [Google Scholar] [CrossRef] [PubMed]
- Ding, J.; Eldridge, D. Intensifying aridity induces tradeoffs among biodiversity and ecosystem services supported by trees. Glob. Ecol. Biogeogr. 2024, 33, e13894. [Google Scholar] [CrossRef]
- Hu, B.; Wu, H.; Han, H.; Cheng, X.; Kang, F. Dramatic shift in the drivers of ecosystem service trade-offs across an aridity gradient: Evidence from China’s Loess Plateau. Sci. Total Environ. 2023, 858, 159836. [Google Scholar] [CrossRef]
- Huang, F.; Zuo, L.; Gao, J.; Jiang, Y.; Du, F.; Zhang, Y. Exploring the driving factors of trade-offs and synergies among ecological functional zones based on ecosystem service bundles. Ecol. Indic. 2023, 146, 109827. [Google Scholar] [CrossRef]
- Zhang, Z.; Tong, Z.; Zhang, L.; Liu, Y. What are the dominant factors and optimal driving threshold for the synergy and tradeoff between ecosystem services, from a nonlinear coupling perspective? J. Clean. Prod. 2023, 422, 138609. [Google Scholar] [CrossRef]
- Lickley, M.; Solomon, S. Drivers, timing and some impacts of global aridity change. Environ. Res. Lett. 2018, 13, 104010. [Google Scholar] [CrossRef]
- Li, C.; Fu, B.; Wang, S.; Stringer, L.C.; Zhou, W.; Ren, Z.; Hu, M.; Zhang, Y.; Rodriguez-Caballero, E.; Weber, B. Climate-driven ecological thresholds in China’s drylands modulated by grazing. Nat. Sustain. 2023, 6, 1363–1372. [Google Scholar] [CrossRef]
- Zhang, J.; Feng, Y.; Maestre, F.T.; Berdugo, M.; Wang, J.; Coleine, C.; Sáez-Sandino, T.; García-Velázquez, L.; Singh, B.K.; Delgado-Baquerizo, M. Water availability creates global thresholds in multidimensional soil biodiversity and functions. Nat. Ecol. Evol. 2023, 7, 1002–1011. [Google Scholar] [CrossRef]
- Berdugo, M.; Delgado-Baquerizo, M.; Soliveres, S.; Hernández-Clemente, R.; Zhao, Y.; Gaitán, J.J.; Gross, N.; Saiz, H.; Maire, V.; Lehmann, A. Global ecosystem thresholds driven by aridity. Science 2020, 367, 787–790. [Google Scholar] [CrossRef] [PubMed]
- Li, D.; Cao, W.; Dou, Y.; Wu, S.; Liu, J.; Li, S. Non-linear effects of natural and anthropogenic drivers on ecosystem services: Integrating thresholds into conservation planning. J. Environ. Manage. 2022, 321, 116047. [Google Scholar] [CrossRef]
- Kaiser, M.S.; Speckman, P.L.; Jones, J.R. Statistical Models for Limiting Nutrient Relations in Inland Waters. J. Am. Stat. Assoc. 1994, 89, 410–423. [Google Scholar] [CrossRef]
- Pedersen, E.J.; Miller, D.L.; Simpson, G.L.; Ross, N. Hierarchical generalized additive models in ecology: An introduction with mgcv. PeerJ 2019, 7, e6876. [Google Scholar] [CrossRef]
- Gao, J.; Zuo, L.; Liu, W. Environmental determinants impacting the spatial heterogeneity of karst ecosystem services in Southwest China. Land Degrad. Dev. 2021, 32, 1718–1731. [Google Scholar] [CrossRef]
- Wen, W.; Wang, Q.; Chen, T. Integrating the threshold effects of driving forces on ecosystem service into the ecological security zoning: A case study in the southwest China. Acta Ecol. Sin. 2024, 44, 3142–3156. [Google Scholar] [CrossRef]
- Khokhar, M.S.; Cheng, K.; Ayoub, M.; Zakria; Eric, L.K. Multi-Dimension Projection for Non-Linear Data Via Spearman Correlation Analysis (MD-SCA). In Proceedings of the 2019 8th International Conference on Information and Communication Technologies (ICICT), Karachi, Pakistan, 16–17 November 2019; pp. 14–18. [Google Scholar] [CrossRef]
- Ma, Y.; Liu, Y.; Wang, J.; Zhen, Z.; Li, F.; Feng, F.; Zhao, Y. Understanding ecosystem services of detailed forest and wetland types using remote sensing and deep learning techniques in Northern China. J. Environ. Manage. 2024, 372, 123410. [Google Scholar] [CrossRef] [PubMed]
- Benitez, J.; Henseler, J.; Castillo, A.; Schuberth, F. How to perform and report an impactful analysis using partial least squares: Guidelines for confirmatory and explanatory IS research. Inf. Manag. 2020, 57, 103168. [Google Scholar] [CrossRef]
- Wang, S.; Xu, X.; Huang, L. Spatial and Temporal Variability of Soil Erosion in Northeast China from 2000 to 2020. Remote Sens. 2022, 15, 225. [Google Scholar] [CrossRef]
- Song, F.; Su, F.; Mi, C.; Sun, D. Analysis of driving forces on wetland ecosystem services value change: A case in Northeast China. Sci. Total Environ. 2021, 751, 141778. [Google Scholar] [CrossRef]
- Hu, H.; Luo, B.; Wei, S.; Wei, S.; Sun, L.; Luo, S.; Ma, H. Biomass carbon density and carbon sequestration capacity in seven typical forest types of the Xiaoxing’ an Mountains, China. Chin. J. Plant Ecol. 2015, 39, 140–158. [Google Scholar] [CrossRef]
- Wang, H.; Zhang, C.; Yao, X.; Yun, W.; Ma, J.; Gao, L.; Li, P. Scenario simulation of the tradeoff between ecological land and farmland in black soil region of Northeast China. Land Use Policy 2022, 114, 105991. [Google Scholar] [CrossRef]
- Peng, S. 1-km Monthly Precipitation Dataset for China (1901–2023); National Tibetan Plateau/Third Pole Environment Data Center: Beijing, China, 2020. [Google Scholar] [CrossRef]
- Peng, S. 1-km Monthly Potential Evapotranspiration Dataset for China (1901–2023); National Tibetan Plateau/Third Pole Environment Data Center: Beijing, China, 2022. [Google Scholar] [CrossRef]
- Peng, S. 1-km Monthly Mean Temperature Dataset for China (1901–2023); National Tibetan Plateau/Third Pole Environment Data Center: Beijing, China, 2019. [Google Scholar] [CrossRef]
- Yan, F.; Shangguan, W.; Zhang, J.; Hu, B. Depth-to-bedrock map of China at a spatial resolution of 100 meters. Sci. Data 2020, 7, 2. [Google Scholar] [CrossRef] [PubMed]
- Zhao, Y.; Qu, Z.; Zhang, Y.; Ao, Y.; Han, L.; Kang, S.; Sun, Y. Effects of human activity intensity on habitat quality based on nighttime light remote sensing: A case study of Northern Shaanxi, China. Sci. Total Environ. 2022, 851, 158037. [Google Scholar] [CrossRef]
- Sharma, A.; Goyal, M.K. Assessment of ecosystem resilience to hydroclimatic disturbances in India. Glob. Chang. Biol. 2018, 24, 632–643. [Google Scholar] [CrossRef] [PubMed]
- Xu, Q.; Dong, Y.; Yang, R. Influence of land urbanization on carbon sequestration of urban vegetation: A temporal cooperativity analysis in Guangzhou as an example. Sci. Total Environ. 2018, 635, 26–34. [Google Scholar] [CrossRef]
- Sharp, R.; Chaplin-Kramer, R.; Wood, S.; Guerry, A.; Tallis, H.; Ricketts, T.; Nelson, E.; Ennaanay, D.; Wolny, S.; Olwero, N. InVEST User’s Guide; Stanford University: Stanford, CA, USA, 2018; Available online: https://naturalcapitalproject.stanford.edu/software/invest/ (accessed on 1 May 2025).
- Renard, K.G.; Foster, G.R.; Weesies, G.A.; McCool, D.K.; Yoder, D.C. Predicting Soil Erosion by Water: A Guide to Conservation Planning with the Revised Universal Soil Loss Equation (RUSLE); USDA Agriculture Handbook No. 703; U.S. Government Printing Office: Washington, DC, USA, 1997; pp. 1–251. [Google Scholar]
- Wang, X.; Wu, J.; Liu, Y.; Hai, X.; Shanguan, Z.; Deng, L. Driving factors of ecosystem services and their spatiotemporal change assessment based on land use types in the Loess Plateau. J. Environ. Manage. 2022, 311, 114835. [Google Scholar] [CrossRef]
- Yang, Z.; Zhan, J.; Wang, C.; Twumasi-Ankrah, M.J. Coupling coordination analysis and spatiotemporal heterogeneity between sustainable development and ecosystem services in Shanxi Province, China. Sci. Total Environ. 2022, 836, 155625. [Google Scholar] [CrossRef]
- Karimi, J.D.; Corstanje, R.; Harris, J.A. Bundling ecosystem services at a high resolution in the UK: Trade-offs and synergies in urban landscapes. Landsc. Ecol. 2021, 36, 1817–1835. [Google Scholar] [CrossRef]
- Felipe-Lucia, M.R.; Soliveres, S.; Penone, C.; Fischer, M.; Ammer, C.; Boch, S.; Boeddinghaus, R.S.; Bonkowski, M.; Buscot, F.; Fiore-Donno, A.M. Land-use intensity alters networks between biodiversity, ecosystem functions, and services. Proc. Natl. Acad. Sci. USA 2020, 117, 28140–28149. [Google Scholar] [CrossRef]
- Ha, N.T.; Manley-Harris, M.; Pham, T.D.; Hawes, I. The use of radar and optical satellite imagery combined with advanced machine learning and metaheuristic optimization techniques to detect and quantify above ground biomass of intertidal seagrass in a New Zealand estuary. Int. J. Remote Sens. 2021, 42, 4712–4738. [Google Scholar] [CrossRef]
- Tian, D.; Yan, Y.; Zhang, Z.; Jiang, L. Driving mechanisms of biomass mean annual increment in planted and natural forests in China. For. Ecol. Manag. 2024, 569, 122191. [Google Scholar] [CrossRef]
- Hair, J.F.; Risher, J.J.; Sarstedt, M.; Ringle, C.M. When to use and how to report the results of PLS-SEM. Eur. Bus. Rev. 2019, 31, 2–24. [Google Scholar] [CrossRef]
- Sanchez, G. PLS Path Modeling with R; Trowchez Editions: Berkeley, CA, USA, 2013. [Google Scholar]
- Anav, A.; Friedlingstein, P.; Beer, C.; Ciais, P.; Harper, A.; Jones, C.; Murray-Tortarolo, G.; Papale, D.; Parazoo, N.C.; Peylin, P. Spatiotemporal patterns of terrestrial gross primary production: A review. Rev. Geophys. 2015, 53, 785–818. [Google Scholar] [CrossRef]
- Nadrowski, K.; Wirth, C.; Scherer-Lorenzen, M. Is forest diversity driving ecosystem function and service? Curr. Opin. Environ. Sustain. 2010, 2, 75–79. [Google Scholar] [CrossRef]
- Li, D.; Dou, Y.; Li, X.; Li, Z.; Fu, Y.; Zhang, J.; Zhao, Y.; Wang, Y.; Liang, E.; Rossi, S. Drought limits vegetation carbon sequestration by affecting photosynthetic capacity of semi-arid ecosystems on the Loess Plateau. Sci. Total Environ. 2024, 912, 168778. [Google Scholar] [CrossRef] [PubMed]
- Wu, C.; Peng, J.; Ciais, P.; Peñuelas, J.; Wang, H.; Beguería, S.; Black, T.A.; Jassal, R.S.; Zhang, X.; Yuan, W. Increased drought effects on the phenology of autumn leaf senescence. Nat. Clim. Chang. 2022, 12, 943–949. [Google Scholar] [CrossRef]
- Choat, B.; Jansen, S.; Brodribb, T.J.; Cochard, H.; Delzon, S.; Bhaskar, R.; Bucci, S.J.; Feild, T.S.; Gleason, S.M.; Hacke, U.G. Global convergence in the vulnerability of forests to drought. Nature 2012, 491, 752–755. [Google Scholar] [CrossRef]
- Li, D.; An, L.; Zhong, S.; Shen, L.; Wu, S. Declining coupling between vegetation and drought over the past three decades. Glob. Chang. Biol. 2024, 30, e17141. [Google Scholar] [CrossRef]
- Jiang, L.; Liu, W.; Liu, B.; Yuan, Y.; Bao, A. Monitoring vegetation sensitivity to drought events in China. Sci. Total Environ. 2023, 893, 164917. [Google Scholar] [CrossRef]
- Hu, Y.; Wei, F.; Wang, S.; Zhang, W.; Fensholt, R.; Xiao, X.; Fu, B. Critical thresholds for nonlinear responses of ecosystem water use efficiency to drought. Sci. Total Environ. 2024, 918, 170713. [Google Scholar] [CrossRef] [PubMed]
- López, R.; López De Heredia, U.; Collada, C.; Cano, F.J.; Emerson, B.C.; Cochard, H.; Gil, L. Vulnerability to cavitation, hydraulic efficiency, growth and survival in an insular pine (Pinus canariensis). Ann. Bot. 2013, 111, 1167–1179. [Google Scholar] [CrossRef] [PubMed]
- Burt, T.P.; Butcher, D.P. Topographic controls of soil moisture distributions. J. Soil Sci. 1985, 36, 469–486. [Google Scholar] [CrossRef]
- Cantón, Y.; Del Barrio, G.; Solé-Benet, A.; Lázaro, R. Topographic controls on the spatial distribution of ground cover in the Tabernas badlands of SE Spain. CATENA 2004, 55, 341–365. [Google Scholar] [CrossRef]
- Liang, L.; Li, L.; Liu, Q. Spatial distribution of reference evapotranspiration considering topography in the Taoer river basin of Northeast China. Hydrol. Res. 2010, 41, 424–437. [Google Scholar] [CrossRef]
- Ma, J.; Wang, G.; Sun, S.; Li, J.; Huang, P.; Guo, L.; Li, K.; Lin, S. Most High Mountainous Areas Around the World Present Elevation-Dependent Aridification After the 1970s. Earths Future 2024, 12, e2023EF003936. [Google Scholar] [CrossRef]
- Pang, Z.; Kong, Y.; Froehlich, K.; Huang, T.; Yuan, L.; Li, Z.; Wang, F. Processes affecting isotopes in precipitation of an arid region. Tellus B Chem. Phys. Meteorol. 2011, 63, 352–359. [Google Scholar] [CrossRef]
- Xue, C.; Chen, X.; Xue, L.; Zhang, H.; Chen, J.; Li, D. Modeling the spatially heterogeneous relationships between tradeoffs and synergies among ecosystem services and potential drivers considering geographic scale in Bairin Left Banner, China. Sci. Total Environ. 2023, 855, 158834. [Google Scholar] [CrossRef]
- Bai, P.; Liu, X.; Zhang, Y.; Liu, C. Assessing the Impacts of Vegetation Greenness Change on Evapotranspiration and Water Yield in China. Water Resour. Res. 2020, 56, e2019WR027019. [Google Scholar] [CrossRef]
- Wang, Y.; Quan, D.; Zhu, W.; Lin, Z.; Jin, R. Habitat Quality Assessment under the Change of Vegetation Coverage in the Tumen River Cross-Border Basin. Sustainability 2023, 15, 9269. [Google Scholar] [CrossRef]
- Jiang, X.J.; Liu, W.; Chen, C.; Liu, J.; Yuan, Z.-Q.; Jin, B.; Yu, X. Effects of three morphometric features of roots on soil water flow behavior in three sites in China. Geoderma 2018, 320, 161–171. [Google Scholar] [CrossRef]
- Jia, X.; Shao, M.; Yu, D.; Zhang, Y.; Binley, A. Spatial variations in soil-water carrying capacity of three typical revegetation species on the Loess Plateau, China. Agric. Ecosyst. Environ. 2019, 273, 25–35. [Google Scholar] [CrossRef]
- Zhang, L.; Yang, L.; Zohner, C.M.; Crowther, T.W.; Li, M.; Shen, F.; Guo, M.; Qin, J.; Yao, L.; Zhou, C. Direct and indirect impacts of urbanization on vegetation growth across the world’s cities. Sci. Adv. 2022, 8, eabo0095. [Google Scholar] [CrossRef] [PubMed]
- Lange, M.; Koller-France, E.; Hildebrandt, A.; Oelmann, Y.; Wilcke, W.; Gleixner, G. How Plant Diversity Impacts the Coupled Water, Nutrient and Carbon Cycles. In Mechanisms Underlying the Relationship between Biodiversity and Ecosystem Function; Eisenhauer, N., Bohan, D.A., Dumbrell, A.J., Eds.; Academic Press: Cambridge, MA, USA, 2019; pp. 185–219. [Google Scholar] [CrossRef]
- Wall, D.H.; Six, J. Give soils their due. Science 2015, 347, 695. [Google Scholar] [CrossRef]
- Ma, Y.; Woolf, D.; Fan, M.; Qiao, L.; Li, R.; Lehmann, J. Global crop production increase by soil organic carbon. Nat. Geosci. 2023, 16, 1159–1165. [Google Scholar] [CrossRef]
- Zhao, Y.; Wang, X.; Chen, F.; Li, J.; Wu, J.; Sun, Y.; Zhang, Y.; Deng, T.; Jiang, S.; Zhou, X. Soil organic matter enhances aboveground biomass in alpine grassland under drought. Geoderma 2023, 433, 116430. [Google Scholar] [CrossRef]
- Amarasinghe, A.; Chen, C.; Van Zwieten, L.; Rashti, M.R. The role of edaphic variables and management practices in regulating soil microbial resilience to drought—A meta-analysis. Sci. Total Environ. 2023, 912, 169544. [Google Scholar] [CrossRef]
- Feifel, M.; Durner, W.; Hohenbrink, T.L.H.; Peters, A. Effects of improved water retention by increased soil organic matter on the water balance of arable soils: A numerical analysis. Vadose Zone J. 2023, 22, e20302. [Google Scholar] [CrossRef]
- Yao, Y.; Fu, B.J.; Liu, Y.X.; Li, Y.; Wang, S.; Zhan, T.Y.; Wang, Y.J.; Gao, D.X. Evaluation of ecosystem resilience to drought based on drought intensity and recovery time. Agric. For. Meteorol. 2022, 314, 108809. [Google Scholar] [CrossRef]
- Xiong, C.; Ren, H.; Xu, D.; Gao, Y. Spatial scale effects on the value of ecosystem services in China’s terrestrial area. J. Environ. Manage. 2024, 366, 121745. [Google Scholar] [CrossRef]
- Liu, Q.; Qiao, J.; Li, M.; Huang, M. Spatiotemporal heterogeneity of ecosystem service interactions and their drivers at different spatial scales in the Yellow River Basin. Sci. Total Environ. 2024, 908, 168486. [Google Scholar] [CrossRef] [PubMed]
- Agudelo, C.A.R.; Bustos, S.L.H.; Moreno, C.A.P. Modeling interactions among multiple ecosystem services. A critical review. Ecol. Model. 2020, 429, 109103. [Google Scholar] [CrossRef]
- Zhu, W.; Pan, Y.; He, H.; Yu, D.; Hu, H. Simulation of Maximum Light Use Efficiency for Typical Vegetation Types in China. Chin. Sci. Bull. 2006, 51, 700–706. [Google Scholar] [CrossRef]
- Allen, R.G.; Pereira, L.S.; Raes, D.; Smith, M. Crop Evapotranspiration—Guidelines for Computing Crop Water Requirements; FAO Irrigation and Drainage Paper No. 56; FAO: Rome, Italy, 1998. [Google Scholar]
- Xin, P.; Tian, T.; Zhang, M.; Han, W.; Song, Y. Assessment of Habitat Quality Changes and Driving Factors in Jilin Province Based on InVEST Model and Geodetector. Chin. J. Appl. Ecol. 2024, 35, 2853–2860. [Google Scholar]
- Sallustio, L.; De Toni, A.; Strollo, A.; Di Febbraro, M.; Gissi, E.; Casella, L.; Geneletti, D.; Munafò, M.; Vizzarri, M.; Marchetti, M. Assessing Habitat Quality in Relation to the Spatial Distribution of Protected Areas in Italy. J. Environ. Manag. 2017, 201, 129–137. [Google Scholar] [CrossRef]
- Zhu, C.; Zhang, X.; Zhou, M.; He, S.; Gan, M.; Yang, L.; Wang, K. Impacts of Urbanization and Landscape Pattern on Habitat Quality Using OLS and GWR Models in Hangzhou, China. Ecol. Indic. 2020, 117, 106654. [Google Scholar] [CrossRef]
- Sun, X.; Jiang, Z.; Liu, F.; Zhang, D. Monitoring spatio-temporal dynamics of habitat quality in Nansihu Lake basin, eastern China, from 1980 to 2015. Ecol. Indic. 2019, 102, 716–723. [Google Scholar] [CrossRef]
- Hack, J.; Molewijk, D.; Beißler, M.R. A Conceptual Approach to Modeling the Geospatial Impact of Typical Urban Threats on the Habitat Quality of River Corridors. Remote Sens. 2020, 12, 1345. [Google Scholar] [CrossRef]
- Ministry of Water Resources of the People’s Republic of China. China Water Resources Bulletin 2021; Ministry of Water Resources: Beijing, China, 2022. [Google Scholar]
- Water Resources Department of Inner Mongolia Autonomous Region. Inner Mongolia Water Resources Bulletin 2021; Water Resources Department: Hohhot, China, 2022. [Google Scholar]
- Moriasi, D.N.; Arnold, J.G.; Van Liew, M.W.; Bingner, R.L.; Harmel, R.D.; Veith, T.L. Model Evaluation Guidelines for Systematic Quantification of Accuracy in Watershed Simulations. Trans. ASABE 2007, 50, 885–900. [Google Scholar] [CrossRef]
- Wang, J.Q.; Xing, Y.Q.; Chang, X.Q.; Yang, H. Analysis of Spatial Distribution of Ecosystem Services and Driving Factors in Northeast China. Environ. Sci. 2024, 45, 5385–5394. [Google Scholar]
- Mao, D.; He, X.; Wang, Z.; Tian, Y.; Xiang, H.; Yu, H.; Zheng, H. Diverse Policies Leading to Contrasting Impacts on Land Cover and Ecosystem Services in Northeast China. J. Clean. Prod. 2019, 240, 117961. [Google Scholar] [CrossRef]






Disclaimer/Publisher’s Note: The statements, opinions and data contained in all publications are solely those of the individual author(s) and contributor(s) and not of MDPI and/or the editor(s). MDPI and/or the editor(s) disclaim responsibility for any injury to people or property resulting from any ideas, methods, instructions or products referred to in the content. |
© 2025 by the authors. Licensee MDPI, Basel, Switzerland. This article is an open access article distributed under the terms and conditions of the Creative Commons Attribution (CC BY) license (https://creativecommons.org/licenses/by/4.0/).
Share and Cite
Liu, Y.; Zhen, Z.; Zhao, Y. The Response Mechanism of Ecosystem Service Trade-Offs Along an Aridity Gradient in Humid and Semi-Humid Regions: A Case Study of Northeast China. Remote Sens. 2025, 17, 1624. https://doi.org/10.3390/rs17091624
Liu Y, Zhen Z, Zhao Y. The Response Mechanism of Ecosystem Service Trade-Offs Along an Aridity Gradient in Humid and Semi-Humid Regions: A Case Study of Northeast China. Remote Sensing. 2025; 17(9):1624. https://doi.org/10.3390/rs17091624
Chicago/Turabian StyleLiu, Yuetong, Zhen Zhen, and Yinghui Zhao. 2025. "The Response Mechanism of Ecosystem Service Trade-Offs Along an Aridity Gradient in Humid and Semi-Humid Regions: A Case Study of Northeast China" Remote Sensing 17, no. 9: 1624. https://doi.org/10.3390/rs17091624
APA StyleLiu, Y., Zhen, Z., & Zhao, Y. (2025). The Response Mechanism of Ecosystem Service Trade-Offs Along an Aridity Gradient in Humid and Semi-Humid Regions: A Case Study of Northeast China. Remote Sensing, 17(9), 1624. https://doi.org/10.3390/rs17091624

