Multi-Scenario Land Use and Carbon Storage Assessment in the Yellow River Delta Under Climate Change and Resource Development
Abstract
1. Introduction
2. Study Area and Data
2.1. Study Area Overview
2.2. Data Sources and Preprocessing
3. Research Methodology
3.1. Comprehensive Prediction of Seawater Inundation Risk
3.1.1. Active Flooding Algorithm
3.1.2. SBAS-InSAR (Small Baseline Subset-InSAR) LS Monitoring
3.2. PLUS Model for LULCC Simulation
3.2.1. Model Principle
3.2.2. Parameter Setting
- 1.
- Neighborhood weights
- 2.
- Transfer cost matrix
3.3. InVEST Model for Carbon Storage Assessment
3.4. Multi-Scenario Setting
- (1)
- NDS (Natural Development Scenario): This scenario is based on the SSP2–45 pathway, representing a moderate socio-economic development trajectory and emissions model. It assumes that social and economic policies remain stable, with no active interventions to influence future land use changes. LULCC is expected to follow the trends and characteristics observed from 2000 to 2010 (Table S3). The future LULC structure is forecasted based on historical transition probabilities, without any restrictions on land type conversion. Under this scenario, the YRD will maintain its current rate of LS, and SLR is projected to reach 15.90 cm by 2030 and 20.46 cm by 2060.
- (2)
- EPS (Ecological Protection Scenario): This scenario is based on the SSP1–26 pathway, which represents a sustainable, green development trajectory characterized by low levels of socio-economic development and emissions. Aligned with the national “dual carbon” targets and the Paris Agreement, this scenario emphasizes the limitation of carbon emissions. The principle of ecological priority is central to this scenario, imposing strict restrictions on the conversion of woodlands and water bodies (including rivers, lakes, reservoirs and ponds, tidal flats, and wetlands) into construction lands, cultivated land (paddy fields, drylands), or unused lands. However, other land types may be converted to woodlands, grasslands, or water bodies (Table S4). In this scenario, ecological nodes are also protected. As a result, the LS rate is expected to decrease to 50% of its current rate, and SLR is projected to reach 13.74 cm by 2030 and 16.68 cm by 2060 under this climate model.
- (3)
- EGS (Economic Growth Scenario): This scenario is based on the SSP5–85 pathway, representing a model of the highest socio-economic development and emissions. In this scenario, the primary focus is on regional economic growth and infrastructure development, with no policy interventions to limit land use changes. Given the current trends in land use transitions and urban expansion, the likelihood of converting other land types into construction lands is increased, while the reverse conversion of construction lands is heavily restricted (Table S5). Under this scenario, the LS rate in the study area is expected to rise to 150% of its current level. The impact of carbon emissions on SLR will be most pronounced, with a projected SLR of 15.51 cm by 2030 and 22.41 cm by 2060.
4. Results and Discussion
4.1. LULCC Characteristics from 1990 to 2020
4.1.1. Spatiotemporal Evolution of LULC
4.1.2. LULCC and Transfer Characteristics
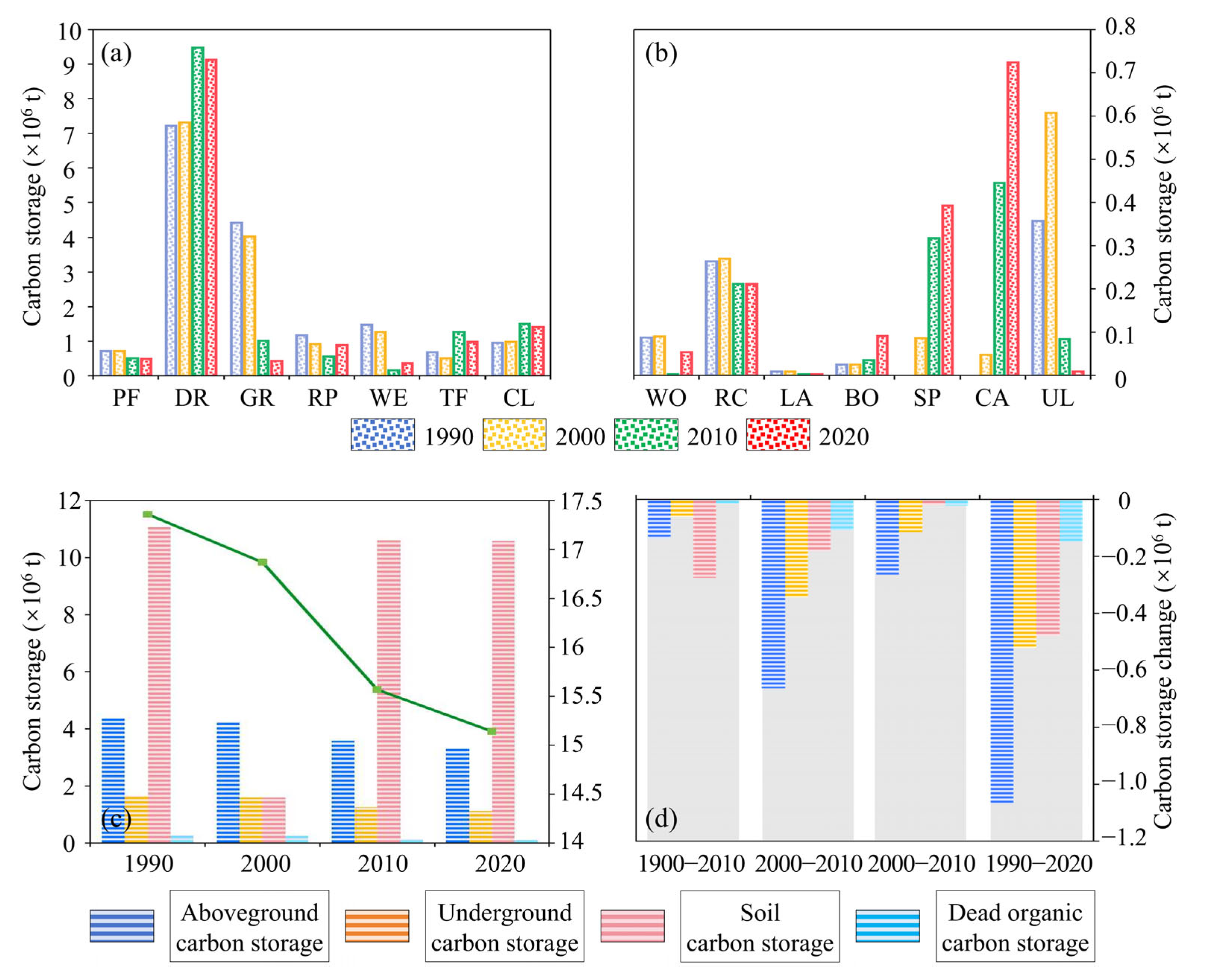
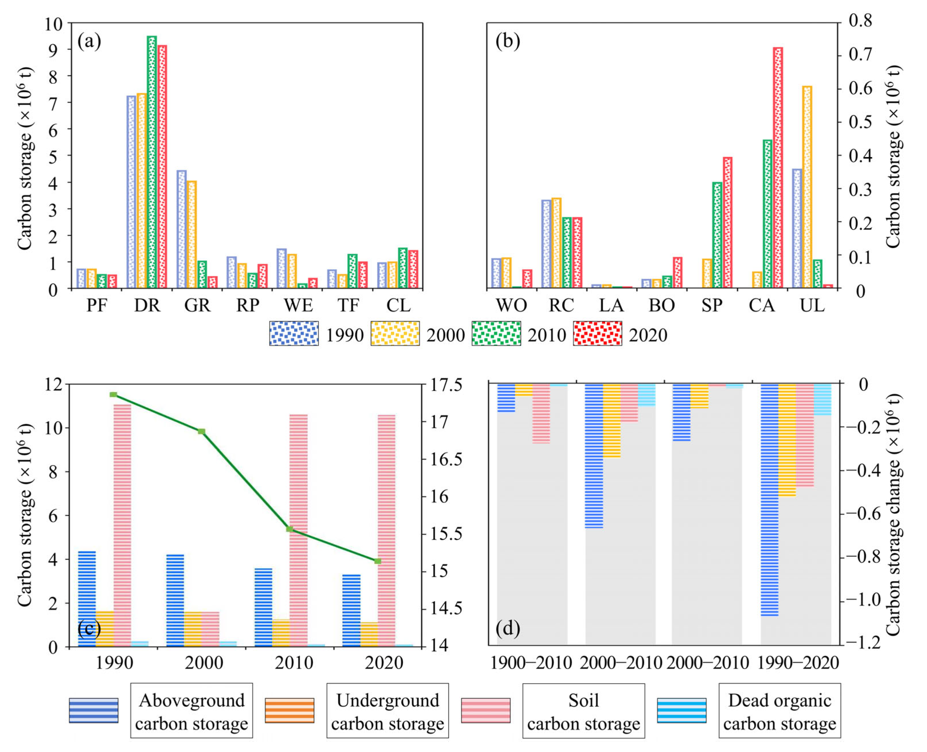
4.2. Carbon Storage Changes from 1990 to 2020
4.2.1. Spatial and Temporal Distribution of Carbon Storage
4.2.2. Response of Carbon Storage to LULCC
4.3. Multi-Scenario Prediction of LULC and Carbon Storage Based on Seawater Inundation Model
4.3.1. Multi-Scenario Seawater Inundation Prediction
4.3.2. Temporal and Spatial Changes of LULC and Carbon Storage Under Multiple Scenarios
5. Conclusions
- (1)
- From 1990 to 2020, land use in the YRD showed a clear trend of coastal expansion and production-oriented transformation, with grasslands, wetlands, and unused lands extensively converted into drylands, culture areas, construction lands, and salt pans. The most intensive changes occurred between 2000 and 2010, reflecting rapid urbanization and industrial restructuring. Despite significant reductions in ecological land, 84.08% of drylands remained stable, underscoring their dominance. These patterns highlight the persistent trade-off between economic development and ecological preservation, emphasizing the need for more balanced land management strategies;
- (2)
- From 1990 to 2020, carbon storage in the YRD declined overall, with pronounced spatial heterogeneity. Low-carbon densities were concentrated in coastal areas dominated by construction lands, tidal flats, salt pans, and culture areas, while inland grasslands, paddy fields, and woodlands served as key carbon sinks. The region experienced a net carbon loss of 2.22 × 106 t, largely driven by the conversion of high-carbon ecosystems to low-carbon land uses. Carbon sink areas accounted for only 10.78% of the landscape, highlighting the profound impact of LULCC on carbon dynamics and the urgent need for targeted land management and ecological restoration to enhance long-term sequestration;
- (3)
- By integrating IPCC AR6 climate scenarios (SSP1–26, SSP2–45, SSP5–85) with LS monitoring data, this study conducted a multi-scenario assessment of seawater inundation risk in the YRD under future SLR-LS coupling. The results revealed significant spatial heterogeneity in LS, with low-lying areas experiencing severe subsidence facing the highest inundation risk. From the EPS to the EGS, inundation progressively expanded into zones with intensified LS. By 2030 and 2060, under high-emission and development scenarios, carbon-rich ecosystems such as wetlands and grasslands are projected to face compounded threats from both inundation and accelerated development, leading to substantial carbon loss and ecological degradation. These findings highlight the urgent need to regulate resource extraction and enhance coastal protection planning to mitigate future risks.
Supplementary Materials
Author Contributions
Funding
Data Availability Statement
Acknowledgments
Conflicts of Interest
References
- Qin, D.H.; Stocker, T. Highlights of the IPCC working group I fifth assessment report. Adv. Clim. Change Res. 2014, 10, 1–6. [Google Scholar] [CrossRef]
- Rogelj, J.; Den Elzen, M.; Höhne, N.; Fransen, T.; Fekete, H.; Winkler, H.; Schaeffer, R.; Sha, F.; Riahi, K.; Meinshausen, M. Paris Agreement climate proposals need a boost to keep warming well below 2 °C. Nature 2016, 534, 631–639. [Google Scholar] [CrossRef] [PubMed]
- Falkner, R. The Paris Agreement and the new logic of international climate politics. Int. Aff. 2016, 92, 1107–1125. [Google Scholar] [CrossRef]
- Schuerch, M.; Spencer, T.; Temmerman, S.; Kirwan, M.L.; Wolff, C.; Lincke, D.; McOwen, C.J.; Pickering, M.D.; Reef, R.; Vafeidis, A.T.; et al. Future response of global coastal wetlands to sea-level rise. Nature 2018, 561, 231–234. [Google Scholar] [CrossRef]
- Xu, X.F. Frequent occurrence of extreme weather and out-of-balance climate systems. Innov. Geosci. 2024, 2, 100049. [Google Scholar] [CrossRef]
- Van Hooidonk, R.; Maynard, J.A.; Planes, S. Temporary refugia for coral reefs in a warming world. Nat. Clim. Change 2013, 3, 508–511. [Google Scholar] [CrossRef]
- Tamura, M.; Kumano, N.; Yotsukuri, M.; Yokoki, H. Global assessment of the effectiveness of adaptation in coastal areas based on RCP/SSP scenarios. Clim. Change 2019, 152, 363–377. [Google Scholar] [CrossRef]
- Ericson, J.P.; Vörösmarty, C.J.; Dingman, S.L.; Ward, L.G.; Meybeck, M. Effective sea-level rise and deltas: Causes of change and human dimension implications. Glob. Planet. Change 2006, 50, 63–82. [Google Scholar] [CrossRef]
- Paola, C.; Twilley, R.R.; Edmonds, D.A.; Kim, W.; Mohrig, D.; Parker, G.; Viparelli, E.; Voller, V.R. Natural processes in delta restoration: Application to the Mississippi Delta. Annu. Rev. Mar. Sci. 2011, 3, 67–91. [Google Scholar] [CrossRef]
- Macreadie, P.I.; Costa, M.D.P.; Atwood, T.B.; Friess, D.A.; Kelleway, J.J.; Kennedy, H.; Lovelock, C.E.; Serrano, O.; Duarte, C.M. Blue carbon as a natural climate solution. Nat. Rev. Earth Environ. 2021, 2, 826–839. [Google Scholar] [CrossRef]
- Higgins, S.A. Advances in delta-subsidence research using satellite methods. Hydrogeol. J. 2016, 24, 587. [Google Scholar] [CrossRef]
- Zhang, J.Z.; Huang, H.J.; Bi, H.B. Land subsidence in the modern Yellow River Delta based on InSAR time series analysis. Nat. Hazards 2015, 75, 2385–2397. [Google Scholar] [CrossRef]
- Liu, Y.L.; Liu, J.Q.; Xia, X.F.; Bi, H.B.; Huang, H.J.; Ding, R.W.; Zhao, L.H. Land subsidence of the Yellow River Delta in China driven by river sediment compaction. Sci. Total Environ. 2021, 750, 142165. [Google Scholar] [CrossRef] [PubMed]
- Wang, G.Y.; Li, P.; Li, Z.D.; Ding, D.; Qiao, L.L.; Xu, J.S.; Li, G.X.; Wang, H.J. Coastal dam inundation assessment for the Yellow River Delta: Measurements, analysis and scenario. Remote Sens. 2020, 12, 3658. [Google Scholar] [CrossRef]
- Li, P.; Wang, G.Y.; Liang, C.R.; Wang, H.J.; Li, Z.H. InSAR-derived coastal subsidence reveals new inundation scenarios over the Yellow River Delta. IEEE J. Sel. Top. Appl. Earth Obs. Remote Sens. 2023, 16, 8431–8441. [Google Scholar] [CrossRef]
- Chen, Z.F.; Wang, W.G.; Forzieri, G.; Cescatti, A. Transition from positive to negative indirect CO2 effects on the vegetation carbon uptake. Nat. Commun. 2024, 15, 1500. [Google Scholar] [CrossRef]
- Tan, L.S.; Ge, Z.M.; Li, S.H.; Zhou, K.; Lai, D.Y.F.; Temmerman, S.; Dai, Z.J. Impacts of land-use change on carbon dynamics in China’s coastal wetlands. Sci. Total Environ. 2023, 890, 164206. [Google Scholar] [CrossRef]
- Sasmito, S.D.; Taillardat, P.; Clendenning, J.N.; Cameron, C.; Friess, D.A.; Murdiyarso, D.; Hutley, L.B. Effect of land-use and land-cover change on mangrove blue carbon: A systematic review. Glob. Change Biol. 2019, 25, 4291–4302. [Google Scholar] [CrossRef]
- Zhu, L.Y.; Song, R.X.; Sun, S.; Li, Y.; Hu, K. Land use/land cover change and its impact on ecosystem carbon storage in coastal areas of China from 1980 to 2050. Ecol. Indic. 2022, 142, 109178. [Google Scholar] [CrossRef]
- Fu, X.; Liu, G.H.; Chai, S.Y.; Huang, C.; Li, F.D. Spatial-temporal analysis of wetland landscape pattern under the influence of artificial dykes in the Yellow River delta. Chin. J. Popul. Resour. Environ. 2013, 11, 109–117. [Google Scholar] [CrossRef]
- Guo, X.S.; Fan, N.; Liu, Y.H.; Liu, X.L.; Wang, Z.K.; Xie, X.T.; Jia, Y.G. Deep seabed mining: Frontiers in engineering geology and environment. Int. J. Coal Sci. Technol. 2023, 10, 23. [Google Scholar] [CrossRef]
- Natural Capital Project. InVEST 3.14.2, Stanford University: Stanford, CA, USA; University of Minnesota: Minneapolis, MN, USA; Chinese Academy of Sciences: Beijing, China; The Nature Conservancy: Arlington County, VA, USA; World Wildlife Fund: Gland, Switzerland; Stockholm Resilience Centre and the Royal Swedish Academy of Sciences: Stockhom, Sweden, 2024.
- García-Ontiyuelo, M.; Acuña-Alonso, C.; Valero, E.; Álvarez, X. Geospatial mapping of carbon estimates for forested areas using the InVEST model and Sentinel-2: A case study in Galicia (NW Spain). Sci. Total Environ. 2024, 922, 171297. [Google Scholar] [CrossRef] [PubMed]
- Li, C.Q.; Xu, H.Q.; Du, P.J.; Tang, F. Predicting land cover changes and carbon stock fluctuations in Fuzhou, China: A deep learning and InVEST approach. Ecol. Indic. 2024, 167, 112658. [Google Scholar] [CrossRef]
- Aitali, R.; Snoussi, M.; Kolker, A.S.; Oujidi, B.; Mhammdi, N. Effects of land use/land cover changes on carbon storage in North African Coastal Wetlands. J. Mar. Sci. Eng. 2022, 10, 364. [Google Scholar] [CrossRef]
- Etemadi, H.; Smoak, J.M.; Karami, J. Land use change assessment in coastal mangrove forests of Iran utilizing satellite imagery and CA-Markov algorithms to monitor and predict future change. Environ. Earth Sci. 2018, 77, 208. [Google Scholar] [CrossRef]
- Firozjaei, M.K.; Sedighi, A.; Argany, M.; Jelokhani-Niaraki, M.; Arsanjani, J.J. A geographical direction-based approach for capturing the local variation of urban expansion in the application of CA-Markov model. Cities 2019, 93, 120–135. [Google Scholar] [CrossRef]
- Liu, X.P.; Liang, X.; Li, X.; Xu, X.C.; Ou, J.P.; Chen, Y.M.; Li, S.Y.; Wang, S.J.; Pei, F.S. A future land use simulation model (FLUS) for simulating multiple land use scenarios by coupling human and natural effects. Landsc. Urban Plan. 2017, 168, 94–116. [Google Scholar] [CrossRef]
- Çağlıyan, A.; Dağlı, D. Monitoring land use land cover changes and modelling of urban growth using a future land use simulation model (FLUS) in Diyarbakır, Turkey. Sustainability 2022, 14, 9180. [Google Scholar] [CrossRef]
- Liang, X.; Guan, Q.F.; Clarke, K.C.; Liu, S.S.; Wang, B.Y.; Yao, Y. Understanding the drivers of sustainable land expansion using a patch-generating land use simulation (PLUS) model: A case study in Wuhan, China. Comput. Environ. Urban Syst. 2021, 85, 101569. [Google Scholar] [CrossRef]
- Zhang, S.Q.; Yang, P.; Xia, J.; Wang, W.Y.; Cai, W.; Chen, N.C.; Hu, S.; Luo, X.G.; Li, J.; Zhan, C.S. Land use/land cover prediction and analysis of the middle reaches of the Yangtze River under different scenarios. Sci. Total Environ. 2022, 833, 155238. [Google Scholar] [CrossRef]
- Luo, G.P.; Yin, C.Y.; Chen, X.; Xu, W.Q.; Lu, L. Combining system dynamic model and CLUE-S model to improve land use scenario analyses at regional scale: A case study of Sangong watershed in Xinjiang, China. Ecol. Complex. 2010, 7, 198–207. [Google Scholar] [CrossRef]
- Verburg, P.H.; Soepboer, W.; Veldkamp, A.; Limpiada, R.; Espaldon, V.; Mastura, S.S.A. Modeling the spatial dynamics of regional land use: The CLUE-S model. Environ. Manag. 2002, 30, 391–405. [Google Scholar] [CrossRef] [PubMed]
- Khachoo, Y.H.; Cutugno, M.; Robustelli, U.; Pugliano, G. Impact of land use and land cover (LULC) changes on carbon stocks and economic implications in Calabria using Google Earth Engine (GEE). Sensors 2024, 24, 5836. [Google Scholar] [CrossRef] [PubMed]
- Grassi, G.; Conchedda, G.; Federici, S.; Abad Viñas, R.; Korosuo, A.; Melo, J.; Rossi, S.; Sandker, M.; Somogyi, Z.; Vizzarri, M.; et al. Carbon fluxes from land 2000–2020: Bringing clarity to countries’ reporting. Earth Syst. Sci. Data 2022, 14, 4643–4666. [Google Scholar] [CrossRef]
- Zhao, J.F.; Liu, D.S.; Zhu, Y.J.; Peng, H.W.; Xie, H.F. A review of forest carbon cycle models on spatiotemporal scales. J. Clean. Prod. 2022, 339, 130692. [Google Scholar] [CrossRef]
- Zhang, J.J.; Yang, J.; Liu, P.F.; Liu, Y.; Zheng, Y.W.; Shen, X.Y.; Li, B.C.; Song, H.Q.; Liang, Z.Z. Effects of land use/cover change on terrestrial carbon stocks in the Yellow River Basin of China from 2000 to 2030. Remote Sens. 2024, 16, 1810. [Google Scholar] [CrossRef]
- Ding, Q.L.; Chen, Y.; Bu, L.T.; Ye, Y.M. Multi-scenario analysis of habitat quality in the Yellow River delta by coupling FLUS with InVEST model. Int. J. Environ. Res. Public Health 2021, 18, 2389. [Google Scholar] [CrossRef]
- Duan, H.L.; Yu, X.B. Land-use change, habitat connectivity, and conservation gaps: A case study of shorebird species in the Yellow River Delta of China using the InVEST model and network analysis. Remote Sens. 2022, 14, 6191. [Google Scholar] [CrossRef]
- Liu, X.L.; Zheng, J.W.; Zhang, H.; Zhang, S.T.; Liu, B.H.; Shan, H.X.; Jia, Y.G. Sediment critical shear stress and geotechnical properties along the modern Yellow River Delta, China. Mar. Georesour. Geotechnol. 2018, 36, 875–882. [Google Scholar] [CrossRef]
- Jiang, D.J.; Fu, X.F.; Wang, K. Vegetation dynamics and their response to freshwater inflow and climate variables in the Yellow River Delta, China. Quat. Int. 2013, 304, 75–84. [Google Scholar] [CrossRef]
- Liu, X.L.; Jia, Y.G.; Zheng, J.W.; Yang, X.J.; Shan, H.X. Consolidation of sediments discharged from the Yellow River: Implications for sediment erodibility. Ocean Dyn. 2013, 63, 371–384. [Google Scholar] [CrossRef]
- Liu, Y.X.; Huang, H.J.; Qiu, Z.F.; Fan, J.Y. Detecting coastline change from satellite images based on beach slope estimation in a tidal flat. Int. J. Appl. Earth Obs. Geoinf. 2013, 23, 165–176. [Google Scholar] [CrossRef]
- Liu, X.L.; Liu, J.P.; Wang, Y.P. Sediment dynamics and geohazards in estuaries and deltas. Front. Earth Sci. 2023, 10, 1079804. [Google Scholar] [CrossRef]
- Wang, G.Y.; Li, P.; Li, Z.H.; Liang, C.R.; Wang, H.J. Coastal subsidence detection and characterization caused by brine mining over the Yellow River Delta using time series InSAR and PCA. Int. J. Appl. Earth Obs. Geoinf. 2022, 114, 103077. [Google Scholar] [CrossRef]
- Zhang, J. Sea Level Change in Coastal China Seas During the 21st Based on SSPs Scenarios. Master’s Dissertation, Zhejiang Ocean University, Zhoushan, China, 2022. (In Chinese). [Google Scholar] [CrossRef]
- Fan, J.P.; Zeng, G.H.; Body, M.; Hacid, M.S. Seeded region growing: An extensive and comparative study. Pattern Recognit. Lett. 2005, 26, 1139–1156. [Google Scholar] [CrossRef]
- Dawson, R.; Hall, J.; Sayers, P.; Bates, P.; Rosu, C. Sampling-based flood risk analysis for fluvial dike systems. Stoch. Environ. Res. Risk Assess. 2005, 19, 388–402. [Google Scholar] [CrossRef]
- Liu, R.Y.; Liu, N. Flood area and damage estimation in Zhejiang, China. J. Environ. Manag. 2002, 66, 1–8. [Google Scholar] [CrossRef]
- Palamakumbure, L.; Ratnayake, A.S.; Premasiri, H.M.R.; Ratnayake, N.P.; Katupotha, J.; Dushyantha, N.; Weththasinghe, S.; Weerakoon, W.A.P. Sea-level inundation and risk assessment along the south and southwest coasts of Sri Lanka. Geoenviron. Disasters 2020, 7, 17. [Google Scholar] [CrossRef]
- Berardino, P.; Fornaro, G.; Lanari, R.; Sansosti, E. A new algorithm for surface deformation monitoring based on small baseline differential SAR interferograms. IEEE Trans. Geosci. Remote Sens. 2002, 40, 2375–2383. [Google Scholar] [CrossRef]
- Hooper, A. A multi-temporal InSAR method incorporating both persistent scatterer and small baseline approaches. Geophys. Res. Lett. 2008, 35, 302–307. [Google Scholar] [CrossRef]
- Wang, S.Y.; Zhang, G.; Chen, Z.W.; Cui, H.; Zheng, Y.Z.; Xu, Z.X.; Li, Q.H. Surface deformation extraction from small baseline subset synthetic aperture radar interferometry (SBAS-InSAR) using coherence-optimized baseline combinations. GISci. Remote Sens. 2022, 59, 295–309. [Google Scholar] [CrossRef]
- Li, S.F.; Hong, Z.L.; Xue, X.P.; Zheng, X.F.; Du, S.S.; Liu, X.F. Evolution characteristics and multi-scenario prediction of habitat quality in Yulin City based on PLUS and InVEST models. Sci. Rep. 2024, 14, 11852. [Google Scholar] [CrossRef] [PubMed]
- Wang, J.B.; Wu, Y.F.; Gou, A.P. Habitat quality evolution characteristics and multi-scenario prediction in Shenzhen based on PLUS and InVEST models. Front. Environ. Sci. 2023, 11, 1146347. [Google Scholar] [CrossRef]
- Wei, R.H.; Fan, Y.M.; Wu, H.Q.; Zheng, K.; Fan, J.; Liu, Z.; Xuan, J.W.; Zhou, J.E. The value of ecosystem services in arid and semi-arid regions: A multi-scenario analysis of land use simulation in the Kashgar region of Xinjiang. Ecol. Model. 2024, 488, 110579. [Google Scholar] [CrossRef]
- Sang, L.L.; Zhang, C.; Yang, J.Y.; Zhu, D.H.; Yun, W.J. Simulation of land use spatial pattern of towns and villages based on CA-Markov model. Math. Comput. Model. 2011, 54, 938–943. [Google Scholar] [CrossRef]
- Yang, X.D.; Bai, Y.P.; Che, L.; Qiao, F.W.; Xie, L.X. Incorporating ecological constraints into urban growth boundaries: A case study of ecologically fragile areas in the Upper Yellow River. Ecol. Indic. 2021, 124, 107436. [Google Scholar] [CrossRef]
- Wang, Q.H.; Kalantar-Zadeh, K.; Kis, A.; Coleman, J.N.; Strano, M.S. Electronics and optoelectronics of two-dimensional transition metal dichalcogenides. Nat. Nanotechnol. 2012, 7, 699–712. [Google Scholar] [CrossRef]
- Wickramasuriya, R.C.; Bregt, A.K.; Van Delden, H.; Hagen-Zanker, A. The dynamics of shifting cultivation captured in an extended Constrained Cellular Automata land use model. Ecol. Model. 2009, 220, 2302–2309. [Google Scholar] [CrossRef]
- Sun, C.M.; Hall, J.A.; Blank, R.B.; Bouladoux, N.; Oukka, M.; Mora, J.R.; Belkaid, Y. Small intestine lamina propria dendritic cells promote de novo generation of Foxp3 T reg cells via retinoic acid. J. Exp. Med. 2007, 204, 1775–1785. [Google Scholar] [CrossRef]
- Li, Y.; Geng, H.C. Spatiotemporal trends in ecosystem carbon stock evolution and quantitative attribution in a karst watershed in southwest China. Ecol. Indic. 2023, 153, 110429. [Google Scholar] [CrossRef]
- Nelson, E.; Mendoza, G.; Regetz, J.; Polasky, S.; Tallis, H.; Cameron, D.; Chan, K.M.; Daily, G.C.; Goldstein, J.; Kareiva, P.M.; et al. Modeling multiple ecosystem services, biodiversity conservation, commodity production, and tradeoffs at landscape scales. Front. Ecol. Environ. 2009, 7, 4–11. [Google Scholar] [CrossRef]
- Bacani, V.M.; da Silva, B.H.M.; Sato, A.A.D.S.A.; Sampaio, B.D.S.; da Cunha, E.R.; Vick, E.P.; de Oliveirira, V.F.R.; Decco, H.F. Carbon storage and sequestration in a eucalyptus productive zone in the Brazilian Cerrado, using the Ca-Markov/Random Forest and InVEST models. J. Clean. Prod. 2024, 444, 141291. [Google Scholar] [CrossRef]
- Gong, W.F.; Duan, X.Y.; Mao, M.J.; Hu, J.H.; Sun, Y.X.; Wu, G.H.; Zhang, Y.Y.; Xie, Y.D.; Qiu, X.C.; Rao, X.D.; et al. Assessing the impact of land use and changes in land cover related to carbon storage by linking trajectory analysis and InVEST models in the Nandu River Basin on Hainan Island in China. Front. Environ. Sci. 2022, 10, 1038752. [Google Scholar] [CrossRef]
- Xu, L.; Yu, G.R.; He, N.P. Increased soil organic carbon storage in Chinese terrestrial ecosystems from the 1980s to the 2010s. J. Geogr. Sci. 2019, 29, 49–66. [Google Scholar] [CrossRef]
- Yang, F.; Li, S.C.; Gao, Y.; Li, M.J.; Wu, P.F. Inconsistent carbon budget estimation using dynamic/static carbon density under land use and land cover change: A case study in Henan Province, China. Land 2022, 11, 2232. [Google Scholar] [CrossRef]
- Yang, J.; Xie, B.P.; Zhang, D.G. Spatio-temporal evolution of carbon stocks in the Yellow River Basin based on InVEST and CA-Markov models. Chin. J. Eco-Agric. 2021, 29, 1018–1029. [Google Scholar] [CrossRef]
- Giardina, C.P.; Ryan, M.G. Evidence that decomposition rates of organic carbon in mineral soil do not vary with temperature. Nature 2000, 404, 858–861. [Google Scholar] [CrossRef]
- Chuai, X.W.; Huang, X.J.; Lai, L.; Wang, W.J.; Peng, J.W.; Zhao, R.Q. Land use structure optimization based on carbon storage in several regional terrestrial ecosystems across China. Environ. Sci. Policy 2013, 25, 50–61. [Google Scholar] [CrossRef]
- Kok, K.; Pedde, S.; Gramberger, M.; Harrison, P.A.; Holman, I.P. New European socio-economic scenarios for climate change research: Operationalising concepts to extend the shared socio-economic pathways. Reg. Environ. Change 2019, 19, 643–654. [Google Scholar] [CrossRef]
- Wu, J.Y.; Luo, J.G.; Zhang, H.; Qin, S.; Yu, M.J. Projections of land use change and habitat quality assessment by coupling climate change and development patterns. Sci. Total Environ. 2022, 847, 157491. [Google Scholar] [CrossRef]
- Wang, H.J.; Yang, Z.S.; Bi, N.S.; Li, H.D. Rapid shifts of the river plume pathway off the Huanghe (Yellow) River mouth in response to water-sediment regulation scheme in 2005. Chin. Sci. Bull. 2005, 50, 2878–2884. [Google Scholar] [CrossRef]
- Wang, H.J.; Wu, X.; Bi, N.S.; Li, S.; Yuan, P.; Wang, A.M.; Syvitski, J.P.M.; Saito, Y.; Yang, Z.S.; Liu, S.M.; et al. Impacts of the dam-orientated water-sediment regulation scheme on the lower reaches and delta of the Yellow River (Huanghe): A review. Glob. Planet. Change 2017, 157, 93–113. [Google Scholar] [CrossRef]
- Chen, W.G.; Zhang, Q.P.; Kong, X.B.; Duan, X.F.; Zuo, X.Y.; Tan, M.; Zhao, J.; Dong, T. Optimizing rules and empirical research of provincial permanent basic farmland layout based on the “Three-line” coordination. Trans. CSAE 2021, 37, 248–257. [Google Scholar] [CrossRef]
- Nwankwo, C.; Tse, A.C.; Nwankwoala, H.O.; Giadom, F.D.; Acra, E.J. Below ground carbon stock and carbon sequestration potentials of mangrove sediments in Eastern Niger Delta, Nigeria: Implication for climate change. Sci. Afr. 2023, 22, e01898. [Google Scholar] [CrossRef]
- Sendrowski, A.; Wohl, E.; Hilton, R.; Kramer, N.; Ascough, P. Wood-based carbon storage in the Mackenzie River Delta: The world’s largest mapped riverine wood deposit. Geophys. Res. Lett. 2023, 50, e2022GL100913. [Google Scholar] [CrossRef]
- Raich, J.W.; Nadelhoffer, K.J. Belowground carbon allocation in forest ecosystems: Global trends. Ecology 1989, 70, 1346–1354. [Google Scholar] [CrossRef]
- Duan, H.Z.; Li, Y.S.; Li, B.Q.; Li, H. Fast InSAR time-series analysis method in a full-resolution SAR coordinate system: A case study of the Yellow River Delta. Sustainability 2022, 14, 10597. [Google Scholar] [CrossRef]
- Wang, F.W.; Miyajima, M.; Dahal, R.; Timilsina, M.; Li, T.L.; Fujiu, M.; Kuwada, Y.; Zhao, Q.L. Effects of topographic and geological features on building damage caused by 2015.4.25 Mw7. 8 Gorkha earthquake in Nepal: A preliminary investigation report. Geoenviron. Disasters 2016, 3, 7. [Google Scholar] [CrossRef]
- Fang, J.Y.; Nicholls, R.J.; Brown, S.; Lincke, D.; Hinkel, J.; Vafeidis, A.T.; Du, S.Q.; Zhao, Q.; Liu, M.; Shi, P.J. Benefits of subsidence control for coastal flooding in China. Nat. Commun. 2022, 13, 6946. [Google Scholar] [CrossRef]












| Data Category | Data Description | Year | Data Source | Data Type |
|---|---|---|---|---|
| Remote sensing | Land use | 1990, 2000, 2010, 2020 | https://www.resdc.cn/, accessed on 25 September 2024 | Raster |
| Sentinel-1A | 2020–2024 | https://dataspace.copernicus.eu/, accessed on 24 September 2024 | ||
| Landsat 8 OLI_TIRS | 2021 | https://www.gscloud.cn/home, accessed on 24 September 2024 | ||
| Natural environment | DEM | 2020 | https://www.nasa.gov/, accessed on 24 September 2024 | Raster |
| Slope | Obtained by DEM calculation | |||
| Average annual temperature | https://www.resdc.cn/, accessed on 25 September 2024 | |||
| Average annual precipitation | ||||
| Soil type | Unknown | |||
| Socio-economic | Population density | 2020 | https://www.resdc.cn/, accessed on 25 September 2024 | Raster |
| GDP | ||||
| Location conditions | Distance to protected area | 2020 | https://www.webmap.cn/, accessed on 26 September 2024 | Vector |
| Distance to water | ||||
| Distance to city | ||||
| Distance to railway | ||||
| Distance to highway | ||||
| Distance to national highway | ||||
| Distance to provincial highway | ||||
| Distance to county highway | ||||
| Others | SLR | 2030, 2060 | [46] | Statistics |
| Carbon density | 2010 | https://www.nesdc.org.cn/, accessed on 27 September 2024 |
| Land Use Type | Aboveground Carbon Density | Underground Carbon Density | Soil Carbon Density | Dead Organic Carbon Density |
|---|---|---|---|---|
| PF | 8.5 | 5 | 25.5 | 0.3 |
| DR | 10 | 3.3 | 17.8 | 0.3 |
| WO | 34.2 | 7.4 | 19.2 | 2.8 |
| GR | 14.3 | 6.2 | 15.7 | 1.5 |
| RC | 1.25 | 0.4 | 20 | 0 |
| LA | 1.25 | 0.4 | 25 | 0 |
| RP | 0.8 | 0.4 | 27 | 0 |
| BO | 1.5 | 0.5 | 15 | 0 |
| WE | 2 | 0.6 | 16.6 | 0.1 |
| TF | 0 | 0 | 16 | 0 |
| SP | 0 | 0 | 12.8 | 0 |
| CA | 0.5 | 0.1 | 12 | 0 |
| CL | 0 | 0 | 14.4 | 0 |
| UL | 0 | 0 | 17.7 | 0 |
| Land Use Type | PF | DR | WO | GR | RC | LA | RP | BO | WE | TF | SP | CA | CL | UL |
|---|---|---|---|---|---|---|---|---|---|---|---|---|---|---|
| PF | 22.89 | 114.19 | 0 | 0.01 | 0.03 | 0.04 | 4.91 | 0 | 0 | 0 | 1.42 | 0.01 | 38.47 | 0 |
| DR | 67.62 | 1933.87 | 0.01 | 9.41 | 3.26 | 0.03 | 62.34 | 0.25 | 14.16 | 0.03 | 6.95 | 24.89 | 177.09 | 0 |
| WO | 0.15 | 10.58 | 0.47 | 0 | 0.09 | 0 | 0.16 | 0.03 | 0 | 0 | 0.27 | 0 | 2.12 | 0 |
| GR | 8.19 | 385.72 | 8.06 | 73.17 | 3.25 | 0 | 73.99 | 0.45 | 110.86 | 133.68 | 81.10 | 172.37 | 118.46 | 0.07 |
| RC | 0.06 | 8.48 | 0.04 | 0.55 | 85.40 | 0 | 0.08 | 14.86 | 0.08 | 11.02 | 0.02 | 0.54 | 1.08 | 0 |
| LA | 0 | 0.66 | 0 | 0.34 | 0 | 1.10 | 0.83 | 0 | 0.11 | 0 | 0 | 0.15 | 0.45 | 0 |
| RP | 8.28 | 74.29 | 0 | 0.55 | 0.25 | 0 | 110.72 | 1.16 | 10.52 | 0.97 | 39.14 | 130.73 | 35.33 | 0 |
| BO | 0 | 8.32 | 0 | 0 | 1.37 | 0 | 0.35 | 4.89 | 0.06 | 0.20 | 0.04 | 0.01 | 0.05 | 0 |
| WE | 14.45 | 260.39 | 0 | 16.52 | 1.11 | 0 | 15.96 | 3.91 | 41.01 | 58.01 | 69.11 | 182.82 | 100.16 | 1.20 |
| TF | 0 | 0 | 0 | 5.74 | 2.55 | 0 | 0.26 | 11.92 | 0.02 | 313.36 | 0.33 | 7.90 | 1.78 | 0.27 |
| SP | 0 | 0 | 0 | 0 | 0 | 0 | 0 | 0 | 0 | 0 | 0 | 0 | 0 | 0 |
| CA | 0 | 0 | 0 | 0 | 0 | 0 | 0 | 0 | 0 | 0 | 0 | 0 | 0 | 0 |
| CL | 0.96 | 89.77 | 0 | 4.10 | 0.22 | 0.03 | 3.32 | 0.03 | 8.08 | 12.05 | 94.59 | 2.70 | 441.50 | 0 |
| UL | 0.04 | 22.43 | 0 | 0.25 | 0.09 | 0 | 10.89 | 11.57 | 0 | 34.35 | 13.90 | 52.18 | 55.78 | 0.60 |
| Scenario Simulation | EPS | NDS | EGS | |||
|---|---|---|---|---|---|---|
| Year | 2030 | 2060 | 2030 | 2060 | 2030 | 2060 |
| Height of SLR (cm) | 13.74 | 16.68 | 15.90 | 20.46 | 15.51 | 22.41 |
| Inundation area (km2) | 68.93 | 478.78 | 95.30 | 571.80 | 428.90 | 590.52 |
| Land area (km2) | 6227.64 | 5817.80 | 6201.27 | 5724.78 | 5867.67 | 5706.05 |
| Lost carbon storage (×106 t) | 0.17 | 1.35 | 0.24 | 1.58 | 1.23 | 1.73 |
| Remaining carbon storage (×106 t) | 14.43 | 13.26 | 14.34 | 12.88 | 14.24 | 13.73 |
Disclaimer/Publisher’s Note: The statements, opinions and data contained in all publications are solely those of the individual author(s) and contributor(s) and not of MDPI and/or the editor(s). MDPI and/or the editor(s) disclaim responsibility for any injury to people or property resulting from any ideas, methods, instructions or products referred to in the content. |
© 2025 by the authors. Licensee MDPI, Basel, Switzerland. This article is an open access article distributed under the terms and conditions of the Creative Commons Attribution (CC BY) license (https://creativecommons.org/licenses/by/4.0/).
Share and Cite
Wang, Z.; Liu, X.; Zhang, S.; Meng, X.; Zhang, H.; Guo, X. Multi-Scenario Land Use and Carbon Storage Assessment in the Yellow River Delta Under Climate Change and Resource Development. Remote Sens. 2025, 17, 1603. https://doi.org/10.3390/rs17091603
Wang Z, Liu X, Zhang S, Meng X, Zhang H, Guo X. Multi-Scenario Land Use and Carbon Storage Assessment in the Yellow River Delta Under Climate Change and Resource Development. Remote Sensing. 2025; 17(9):1603. https://doi.org/10.3390/rs17091603
Chicago/Turabian StyleWang, Zekun, Xiaolei Liu, Shaopeng Zhang, Xiangshuai Meng, Hongjun Zhang, and Xingsen Guo. 2025. "Multi-Scenario Land Use and Carbon Storage Assessment in the Yellow River Delta Under Climate Change and Resource Development" Remote Sensing 17, no. 9: 1603. https://doi.org/10.3390/rs17091603
APA StyleWang, Z., Liu, X., Zhang, S., Meng, X., Zhang, H., & Guo, X. (2025). Multi-Scenario Land Use and Carbon Storage Assessment in the Yellow River Delta Under Climate Change and Resource Development. Remote Sensing, 17(9), 1603. https://doi.org/10.3390/rs17091603

