The Importance of Humidity in the Afternoon Local-Scale Precipitation Intensity over Eastern China and Its Impacts on the Aerosol Effects
Abstract
1. Introduction
2. Data and Methods
2.1. Dataset
2.2. Identification of LSP
2.3. Numerical Experimental Design
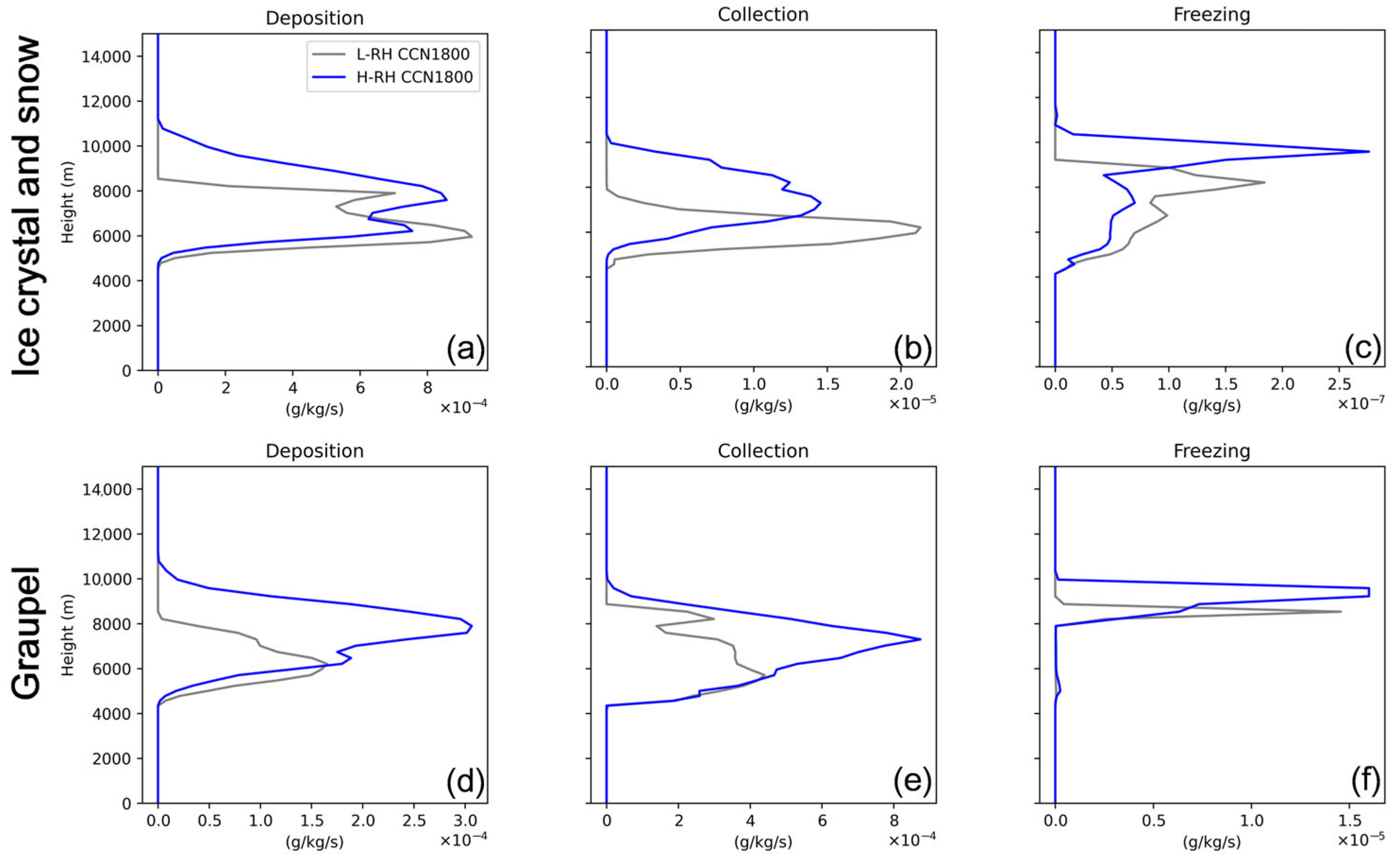
3. Results
3.1. Climatological Characteristics of LSP over Eastern China
3.2. Prestorm Meteorological Environments for Light and Heavy LSP
3.3. Idealized Simulations with Distinct Humidity Profiles
3.4. Effects of the Background Aerosol Concentration on Light and Heavy LSP
4. Discussion
5. Summary and Concluding Remarks
Author Contributions
Funding
Data Availability Statement
Acknowledgments
Conflicts of Interest
Appendix A
| Parameter | Abbreviation | Unit | Height Range |
|---|---|---|---|
| Convective available potential energy | CAPE | J kg−1 | Whole atmosphere |
| Convective inhibition | CIN | J kg−1 | Whole atmosphere |
| Lifting condensation level | LCL | km | Whole atmosphere |
| Level of free convection | LFC | km | Whole atmosphere |
| Equilibrium level | EL | km | Whole atmosphere |
| K index | K index | K | Whole atmosphere |
| Precipitable water | PW | mm | Whole atmosphere |
| Mixing ratio | Qv | g kg−1 | Ground surface |
| Moist static energy | MSE | J kg−1 | 0–1 km a.g.l |
Appendix B

Appendix C
References
- Guo, J.; Su, T.; Li, Z.; Miao, Y.; Li, J.; Liu, H.; Xu, H.; Cribb, M.; Zhai, P. Declining Frequency of Summertime Local-Scale Precipitation over Eastern China from 1970 to 2010 and Its Potential Link to Aerosols: Declining Local-Scale Rainfall in China. Geophys. Res. Lett. 2017, 44, 5700–5708. [Google Scholar] [CrossRef]
- Chen, S.; Behrangi, A.; Tian, Y.; Hu, J.; Hong, Y.; Tang, Q.; Hu, X.-M.; Stepanian, P.M.; Hu, B.; Zhang, X. Precipitation Spectra Analysis Over China with High-Resolution Measurements from Optimally-Merged Satellite/Gauge Observations—Part II: Diurnal Variability Analysis. IEEE J. Sel. Top. Appl. Earth Obs. Remote Sens. 2016, 9, 2979–2988. [Google Scholar] [CrossRef]
- Yuan, W.; Yu, R.; Fu, Y. Study of Different Diurnal Variations of Summer Long-Duration Rainfall Between the Southern and Northern Parts of the Huai River. Chin. J. Geophys. 2014, 57, 145–153. (In Chinese) [Google Scholar] [CrossRef]
- Dai, A.; Giorgi, F.; Trenberth, K.E. Observed and Model-Simulated Diurnal Cycles of Precipitation over the Contiguous United States. J. Geophys. Res. Atmos. 1999, 104, 6377–6402. [Google Scholar] [CrossRef]
- Yuan, W.; Yu, R.; Zhang, M.; Lin, W.; Chen, H.; Li, J. Regimes of Diurnal Variation of Summer Rainfall over Subtropical East Asia. J. Clim. 2012, 25, 3307–3320. [Google Scholar] [CrossRef]
- Wu, Y.; Huang, A.; Huang, D.; Chen, F.; Yang, B.; Zhou, Y.; Fang, D.; Zhang, L.; Wen, L. Diurnal Variations of Summer Precipitation over the Regions East to Tibetan Plateau. Clim. Dyn. 2018, 51, 4287–4307. [Google Scholar] [CrossRef]
- Tang, J.; Chen, S.; Li, Z.; Gao, L. Mapping the Distribution of Summer Precipitation Types over China Based on Radar Observations. Remote Sens. 2022, 14, 3437. [Google Scholar] [CrossRef]
- Yang, S.; Smith, E.A. Convective–Stratiform Precipitation Variability at Seasonal Scale from 8 Yr of TRMM Observations: Implications for Multiple Modes of Diurnal Variability. J. Clim. 2008, 21, 4087–4114. [Google Scholar] [CrossRef]
- Yu, R.; Yuan, W.; Li, J.; Fu, Y. Diurnal Phase of Late-Night against Late-Afternoon of Stratiform and Convective Precipitation in Summer Southern Contiguous China. Clim. Dyn. 2010, 35, 567–576. [Google Scholar] [CrossRef]
- Berg, P.; Moseley, C.; Haerter, J.O. Strong Increase in Convective Precipitation in Response to Higher Temperatures. Nat. Geosci. 2013, 6, 181–185. [Google Scholar] [CrossRef]
- Freitag, B.M.; Nair, U.S.; Niyogi, D. Urban Modification of Convection and Rainfall in Complex Terrain. Geophys. Res. Lett. 2018, 45, 2507–2515. [Google Scholar] [CrossRef]
- Sutanto, S.J.; Hoffmann, G.; Worden, J.; Scheepmaker, R.A.; Aben, I.; Röckmann, T. Atmospheric Processes Governing the Changes in Water Isotopologues during ENSO Events from Model and Satellite Measurements. J. Geophys. Res. Atmos. 2015, 120, 6712–6729. [Google Scholar] [CrossRef]
- Yin, S.; Chen, D.; Xie, Y. Diurnal Variations of Precipitation during the Warm Season over China. Int. J. Climatol. 2009, 29, 1154–1170. [Google Scholar] [CrossRef]
- Guo, J.; Su, T.; Chen, D.; Wang, J.; Li, Z.; Lv, Y.; Guo, X.; Liu, H.; Cribb, M.; Zhai, P. Declining Summertime Local-Scale Precipitation Frequency Over China and the United States, 1981–2012: The Disparate Roles of Aerosols. Geophys. Res. Lett. 2019, 46, 13281–13289. [Google Scholar] [CrossRef]
- Yang, L.; Smith, J.A.; Baeck, M.L.; Bou-Zeid, E.; Jessup, S.M.; Tian, F.; Hu, H. Impact of Urbanization on Heavy Convective Precipitation under Strong Large-Scale Forcing: A Case Study over the Milwaukee–Lake Michigan Region. J. Hydrometeorol. 2014, 15, 261–278. [Google Scholar] [CrossRef]
- Keil, C.; Craig, G.C. Regime-Dependent Forecast Uncertainty of Convective Precipitation. Meteorol. Z. 2011, 20, 145–151. [Google Scholar] [CrossRef] [PubMed]
- Lee, Y.; Kummerow, C.D.; Ebert-Uphoff, I. Applying Machine Learning Methods to Detect Convection Using Geostationary Operational Environmental Satellite-16 (GOES-16) Advanced Baseline Imager (ABI) Data. Atmos. Meas. Tech. 2021, 14, 2699–2716. [Google Scholar] [CrossRef]
- Tian, F.; Zhang, X.; Sun, J.; Xia, K.; Hua, S.; Wei, Q.; Xue, L.; Yang, B. Climatology and Pre-Convection Environmental Conditions of Dry and Wet Thunderstorm High Winds over Eastern China. Theor. Appl. Clim. 2024, 155, 1493–1506. [Google Scholar] [CrossRef]
- Doswell, C.A.; Brooks, H.E.; Maddox, R.A. Flash Flood Forecasting: An Ingredients-Based Methodology. Weather Forecast. 1996, 11, 560–581. [Google Scholar] [CrossRef]
- Johns, R.H.; Doswell, C.A. Severe Local Storms Forecasting. Weather Forecast. 1992, 7, 588–612. [Google Scholar] [CrossRef]
- Sun, Y.; Wang, Y.; Zhao, C.; Zhou, Y.; Yang, Y.; Yang, X.; Fan, H.; Zhao, X.; Yang, J. Vertical Dependency of Aerosol Impacts on Local Scale Convective Precipitation. Geophys. Res. Lett. 2023, 50, e2022GL102186. [Google Scholar] [CrossRef]
- Zhang, J.; Guo, J.; Li, J.; Shao, J.; Tong, B.; Zhang, S. The Prestorm Environment and Prediction for Local- and Nonlocal-Scale Precipitation: Insights Gained from High-Resolution Radiosonde Measurements Across China. JGR Atmos. 2022, 127, e2021JD036395. [Google Scholar] [CrossRef]
- Dagan, G.; Koren, I.; Altaratz, O.; Heiblum, R.H. Aerosol Effect on the Evolution of the Thermodynamic Properties of Warm Convective Cloud Fields. Sci. Rep. 2016, 6, 38769. [Google Scholar] [CrossRef] [PubMed]
- Meyer, J.; Neuper, M.; Mathias, L.; Zehe, E.; Pfister, L. Atmospheric Conditions Favouring Extreme Precipitation and Flash Floods in Temperate Regions of Europe. Hydrol. Earth Syst. Sci. 2022, 26, 6163–6183. [Google Scholar] [CrossRef]
- Seeley, J.T.; Romps, D.M. Why Does Tropical Convective Available Potential Energy (CAPE) Increase with Warming? Geophys. Res. Lett. 2015, 42, 10429–10437. [Google Scholar] [CrossRef]
- Zhang, W.; Zhou, T.; Wu, P. Anthropogenic Amplification of Precipitation Variability over the Past Century. Science 2024, 385, 427–432. [Google Scholar] [CrossRef]
- Fan, J.; Zhang, R.; Li, G.; Tao, W.-K. Effects of Aerosols and Relative Humidity on Cumulus Clouds. J. Geophys. Res. Atmos. 2007, 112, D14204. [Google Scholar] [CrossRef]
- Khain, A.; Lynn, B. Simulation of a Supercell Storm in Clean and Dirty Atmosphere Using Weather Research and Forecast Model with Spectral Bin Microphysics. J. Geophys. Res. Atmos. 2009, 114, D19209. [Google Scholar] [CrossRef]
- Takemi, T. Dependence of the Precipitation Intensity in Mesoscale Convective Systems to Temperature Lapse Rate. Atmos. Res. 2010, 96, 273–285. [Google Scholar] [CrossRef]
- Gayatri, K.; Patade, S.; Prabha, T.V. Aerosol–Cloud Interaction in Deep Convective Clouds over the Indian Peninsula Using Spectral (Bin) Microphysics. J. Atmos. Sci. 2017, 74, 3145–3166. [Google Scholar] [CrossRef]
- Lohmann, U.; Feichter, J. Global Indirect Aerosol Effects: A Review. Atmos. Chem. Phys. 2005, 5, 715–737. [Google Scholar] [CrossRef]
- Stevens, B.; Feingold, G. Untangling Aerosol Effects on Clouds and Precipitation in a Buffered System. Nature 2009, 461, 607–613. [Google Scholar] [CrossRef] [PubMed]
- Twomey, S. Pollution and the Planetary Albedo. Atmos. Environ. 2007, 41, 120–125. [Google Scholar] [CrossRef]
- Chand, D.; Wood, R.; Anderson, T.L.; Satheesh, S.K.; Charlson, R.J. Satellite-Derived Direct Radiative Effect of Aerosols Dependent on Cloud Cover. Nat. Geosci. 2009, 2, 181–184. [Google Scholar] [CrossRef]
- Haywood, J.M.; Shine, K.P. The Effect of Anthropogenic Sulfate and Soot Aerosol on the Clear Sky Planetary Radiation Budget. Geophys. Res. Lett. 1995, 22, 603–606. [Google Scholar] [CrossRef]
- Johnson, B.T.; Shine, K.P.; Forster, P.M. The Semi-Direct Aerosol Effect: Impact of Absorbing Aerosols on Marine Stratocumulus. Q. J. R. Meteorol. Soc. 2004, 130, 1407–1422. [Google Scholar] [CrossRef]
- Hansen, J.; Sato, M.; Ruedy, R. Radiative Forcing and Climate Response. J. Geophys. Res. Atmos. 1997, 102, 6831–6864. [Google Scholar] [CrossRef]
- Ackerman, A.S.; Toon, O.B.; Stevens, D.E.; Heymsfield, A.J.; Ramanathan, V.; Welton, E.J. Reduction of Tropical Cloudiness by Soot. Science 2000, 288, 1042–1047. [Google Scholar] [CrossRef] [PubMed]
- Ramanathan, V.; Crutzen, P.J.; Kiehl, J.T.; Rosenfeld, D. Aerosols, Climate, and the Hydrological Cycle. Science 2001, 294, 2119–2124. [Google Scholar] [CrossRef]
- DeMott, P.J.; Prenni, A.J.; Liu, X.; Kreidenweis, S.M.; Petters, M.D.; Twohy, C.H.; Richardson, M.S.; Eidhammer, T.; Rogers, D.C. Predicting Global Atmospheric Ice Nuclei Distributions and Their Impacts on Climate. Proc. Natl. Acad. Sci. USA 2010, 107, 11217–11222. [Google Scholar] [CrossRef] [PubMed]
- Chen, Q.; Yin, Y.; Jiang, H.; Chu, Z.; Xue, L.; Shi, R.; Zhang, X.; Chen, J. The Roles of Mineral Dust as Cloud Condensation Nuclei and Ice Nuclei During the Evolution of a Hail Storm. J. Geophys. Res. Atmos. 2019, 124, 14262–14284. [Google Scholar] [CrossRef]
- Khain, A.; Rosenfeld, D.; Pokrovsky, A. Aerosol Impact on the Dynamics and Microphysics of Deep Convective Clouds. Q. J. R. Meteorol. Soc. 2005, 131, 2639–2663. [Google Scholar] [CrossRef]
- Yun, Y.; Zhang, D.-L.; Gao, W.; Yin, J.; Zhao, C.; Li, J.; Guo, J.; Liu, H. Spatiotemporal Variations of the Effects of Aerosols on Clouds and Precipitation in an Extreme-Rain-Producing MCS in South China. J. Geophys. Res. Atmos. 2024, 129, e2023JD040014. [Google Scholar] [CrossRef]
- Intergovernmental Panel on Climate Change (IPCC). Climate Change 2021—The Physical Science Basis: Working Group I Contribution to the Sixth Assessment Report of the Intergovernmental Panel on Climate Change, 1st ed.; Cambridge University Press: Cambridge, UK; New York, NY, USA, 2023; ISBN 978-1-00-915789-6. [Google Scholar]
- Lee, H.; Yum, S.S.; Lee, S.-S. A Modeling Study of the Aerosol Effects on Ice Microphysics in Convective Cloud and Precipitation Development under Different Thermodynamic Conditions. Atmos. Res. 2014, 145–146, 112–129. [Google Scholar] [CrossRef]
- Altaratz, O.; Bar-Or, R.Z.; Wollner, U.; Koren, I. Relative Humidity and Its Effect on Aerosol Optical Depth in the Vicinity of Convective Clouds. Environ. Res. Lett. 2013, 8, 034025. [Google Scholar] [CrossRef]
- Cui, Z.; Carslaw, K.S.; Blyth, A.M. The Coupled Effect of Mid-Tropospheric Moisture and Aerosol Abundance on Deep Convective Cloud Dynamics and Microphysics. Atmosphere 2011, 2, 222–241. [Google Scholar] [CrossRef]
- Zhang, M.; Deng, X.; Zhu, R.; Ren, Y.; Xue, H. The Impact of Aerosol Vertical Distribution on a Deep Convective Cloud. Atmosphere 2021, 12, 675. [Google Scholar] [CrossRef]
- Guo, J.; Deng, M.; Fan, J.; Li, Z.; Chen, Q.; Zhai, P.; Dai, Z.; Li, X. Precipitation and Air Pollution at Mountain and Plain Stations in Northern China: Insights Gained from Observations and Modeling. J. Geophys. Res. Atmos. 2014, 119, 4793–4807. [Google Scholar] [CrossRef]
- American Meteorological Society, 2024: Bergeron–Findeisen Process. Glossary of Meteorology. Available online: https://glossary.ametsoc.org/wiki/Bergeron-findeisen_process (accessed on 15 February 2025).
- Bergeron, T. On the Physics of Clouds and Precipitation. In Proceedings of the 5th Assembly U.G.G.I., Lisbon, Portugal, 17–26 September 1933; pp. 156–180. [Google Scholar]
- Findeisen, W. Kolloid-Meteorologische Vorgänge Bei Niederschlagsbildung. Meteor. Z. 1938, 55, 121. [Google Scholar]
- Wegener, A. Thermodynamik Der Atmosphäre; JA Barth: Leipzig, Germany, 1911; p. 331. [Google Scholar]
- Lohmann, U. Possible Aerosol Effects on Ice Clouds via Contact Nucleation. J. Atmos. Sci. 2002, 59, 647–656. [Google Scholar] [CrossRef]
- Lynn, B.; Khain, A.; Rosenfeld, D.; Woodley, W.L. Effects of Aerosols on Precipitation from Orographic Clouds. J. Geophys. Res. Atmos. 2007, 112, D10225. [Google Scholar] [CrossRef]
- Altaratz, O.; Koren, I.; Reisin, T.; Kostinski, A.; Feingold, G.; Levin, Z.; Yin, Y. Aerosols’ Influence on the Interplay between Condensation, Evaporation and Rain in Warm Cumulus Cloud. Atmos. Chem. Phys. 2008, 8, 15–24. [Google Scholar] [CrossRef]
- Heiblum, R.H.; Pinto, L.; Altaratz, O.; Dagan, G.; Koren, I. Core and Margin in Warm Convective Clouds—Part 2: Aerosol Effects on Core Properties. Atmos. Chem. Phys. 2019, 19, 10739–10755. [Google Scholar] [CrossRef]
- Marquis, J.N.; Feng, Z.; Varble, A.; Nelson, T.C.; Houston, A.; Peters, J.M.; Mulholland, J.P.; Hardin, J. Near-Cloud Atmospheric Ingredients for Deep Convection Initiation. Mon. Weather Rev. 2023, 151, 1247–1267. [Google Scholar] [CrossRef]
- Morrison, H. An Analytic Description of the Structure and Evolution of Growing Deep Cumulus Updrafts. J. Atmos. Sci. 2017, 74, 809–834. [Google Scholar] [CrossRef]
- Dagan, G.; Koren, I.; Altaratz, O.; Feingold, G. Feedback Mechanisms of Shallow Convective Clouds in a Warmer Climate as Demonstrated by Changes in Buoyancy. Environ. Res. Lett. 2018, 13, 054033. [Google Scholar] [CrossRef]
- Lin, Y.; Kumjian, M.R. Influences of CAPE on Hail Production in Simulated Supercell Storms. J. Atmos. Sci. 2022, 79, 179–204. [Google Scholar] [CrossRef]
- Chen, G.; Morawska, L.; Zhang, W.; Li, S.; Cao, W.; Ren, H.; Wang, B.; Wang, H.; Knibbs, L.D.; Williams, G.; et al. Spatiotemporal Variation of PM1 Pollution in China. Atmos. Environ. 2018, 178, 198–205. [Google Scholar] [CrossRef]
- Guo, J.; Yan, Y.; Chen, D.; Lv, Y.; Han, Y.; Guo, X.; Liu, L.; Miao, Y.; Chen, T.; Nie, J.; et al. The Response of Warm-Season Precipitation Extremes in China to Global Warming: An Observational Perspective from Radiosonde Measurements. Clim. Dyn. 2020, 54, 3977–3989. [Google Scholar] [CrossRef]
- Guo, J.; Miao, Y.; Zhang, Y.; Liu, H.; Li, Z.; Zhang, W.; He, J.; Lou, M.; Yan, Y.; Bian, L.; et al. The Climatology of Planetary Boundary Layer Height in China Derived from Radiosonde and Reanalysis Data. Atmos. Chem. Phys. 2016, 16, 13309–13319. [Google Scholar] [CrossRef]
- Ishida, H.; Nakjima, T.Y.; Yokota, T.; Kikuchi, N.; Watanabe, H. Investigation of GOSAT TANSO-CAI Cloud Screening Ability through an Intersatellite Comparison. J. Appl. Meteorol. Climatol. 2011, 50, 1571–1586. [Google Scholar] [CrossRef]
- Ishida, H.; Nakajima, T.Y. Development of an Unbiased Cloud Detection Algorithm for a Spaceborne Multispectral Imager. J. Geophys. Res. Atmos. 2009, 114, D07206. [Google Scholar] [CrossRef]
- Letu, H.; Nagao, T.M.; Nakajima, T.Y.; Matsumae, Y. Method for Validating Cloud Mask Obtained from Satellite Measurements Using Ground-Based Sky Camera. Appl. Opt. 2014, 53, 7523–7533. [Google Scholar] [CrossRef]
- Nakajima, T.Y.; Tsuchiya, T.; Ishida, H.; Matsui, T.N.; Shimoda, H. Cloud Detection Performance of Spaceborne Visible-to-Infrared Multispectral Imagers. Appl. Opt. 2011, 50, 2601–2616. [Google Scholar] [CrossRef] [PubMed]
- Eyre, J. A Fast Radiative Transfer Model for Satellite Sounding Systems. Available online: https://www.ecmwf.int/en/elibrary/74431-fast-radiative-transfer-model-satellite-sounding-systems (accessed on 16 February 2025).
- Kouki, M.; Toshiharu, I.; Hiroshi, S.; Ryo, Y. Algorithm Theoretical Basis Document for Cloud Type/Phase Product. Meteorol. Satell. Cent. Tech. Note 2016, 61, 19–31. [Google Scholar]
- Nieman, S.J.; Schmetz, J.; Menzel, W.P. A Comparison of Several Techniques to Assign Heights to Cloud Tracers. J. Appl. Meteorol. Climatol. 1993, 32, 1559–1568. [Google Scholar] [CrossRef]
- Schmetz, J.; Holmlund, K.; Hoffman, J.; Strauss, B.; Mason, B.; Gaertner, V.; Koch, A.; Berg, L.V.D. Operational Cloud-Motion Winds from Meteosat Infrared Images. J. Appl. Meteorol. Climatol. 1993, 32, 1206–1225. [Google Scholar] [CrossRef]
- Rossow, W.B.; Walker, A.W.; Garder, L.C. Comparison of ISCCP and Other Cloud Amounts. J. Clim. 1993, 6, 2394–2418. [Google Scholar] [CrossRef]
- Rossow, W.B.; Mosher, F.; Kinsella, E.; Arking, A.; Desbois, M.; Harrison, E.; Minnis, P.; Ruprecht, E.; Seze, G.; Simmer, C.; et al. ISCCP Cloud Algorithm Intercomparison. J. Appl. Meteorol. Climatol. 1985, 24, 877–903. [Google Scholar] [CrossRef]
- Rossow, W.B.; Garder, L.C. Cloud Detection Using Satellite Measurements of Infrared and Visible Radiances for ISCCP. J. Clim. 1993, 6, 2341–2369. [Google Scholar] [CrossRef]
- Rossow, W.B.; Schiffer, R.A. Advances in Understanding Clouds from ISCCP. Bull. Am. Meteorol. Soc. 1999, 80, 2261–2288. [Google Scholar] [CrossRef]
- Huo, J.; Lu, D.; Duan, S.; Bi, Y.; Liu, B. Comparison of the Cloud Top Heights Retrieved from MODIS and AHI Satellite Data with Ground-Based Ka-Band Radar. Atmos. Meas. Tech. 2020, 13, 1–11. [Google Scholar] [CrossRef]
- Hsu, N.C.; Tsay, S.-C.; King, M.D.; Herman, J.R. Aerosol Properties over Bright-Reflecting Source Regions. IEEE Trans. Geosci. Remote Sens. 2004, 42, 557–569. [Google Scholar] [CrossRef]
- Zhang, T.; Zang, L.; Mao, F.; Wan, Y.; Zhu, Y. Evaluation of Himawari-8/AHI, MERRA-2, and CAMS Aerosol Products over China. Remote Sens. 2020, 12, 1684. [Google Scholar] [CrossRef]
- Fan, J.; Rosenfeld, D.; Zhang, Y.; Giangrande, S.E.; Li, Z.; Machado, L.A.T.; Martin, S.T.; Yang, Y.; Wang, J.; Artaxo, P.; et al. Substantial Convection and Precipitation Enhancements by Ultrafine Aerosol Particles. Science 2018, 359, 411–418. [Google Scholar] [CrossRef]
- Skamarock, W.C.; Klemp, J.B.; Dudhia, J.; Gill, D.O.; Liu, Z.; Berner, J.; Wang, W.; Powers, J.G.; Duda, M.G.; Barker, D.M.; et al. A Description of the Advanced Research WRF Version 4; National Center for Atmospheric Research (NCAR): Boulder, CO, USA, 2019; p. 145. [Google Scholar]
- Chandrakar, K.K.; Morrison, H.; Grabowski, W.W.; Bryan, G.H. Comparison of Lagrangian Superdroplet and Eulerian Double-Moment Spectral Microphysics Schemes in Large-Eddy Simulations of an Isolated Cumulus Congestus Cloud. J. Atmos. Sci. 2022, 79, 1887–1910. [Google Scholar] [CrossRef]
- Grabowski, W.W. Comparison of Eulerian Bin and Lagrangian Particle-Based Microphysics in Simulations of Nonprecipitating Cumulus. J. Atmos. Sci. 2020, 77, 3951–3970. [Google Scholar] [CrossRef]
- Grabowski, W.W. Separating Physical Impacts from Natural Variability Using Piggybacking Technique. Adv. Geosci. 2019, 49, 105–111. [Google Scholar] [CrossRef]
- Lasher-Trapp, S.G.; Cooper, W.A.; Blyth, A.M. Broadening of Droplet Size Distributions from Entrainment and Mixing in a Cumulus Cloud. Q. J. R. Meteorol. Soc. 2005, 131, 195–220. [Google Scholar] [CrossRef]
- Morrison, H.; Witte, M.; Bryan, G.H.; Harrington, J.Y.; Lebo, Z.J. Broadening of Modeled Cloud Droplet Spectra Using Bin Microphysics in an Eulerian Spatial Domain. J. Atmos. Sci. 2018, 75, 4005–4030. [Google Scholar] [CrossRef]
- Seidel, D.J.; Ao, C.O.; Li, K. Estimating Climatological Planetary Boundary Layer Heights from Radiosonde Observations: Comparison of Methods and Uncertainty Analysis. J. Geophys. Res. Atmos. 2010, 115, D16113. [Google Scholar] [CrossRef]
- Chandrakar, K.K.; Grabowski, W.W.; Morrison, H.; Bryan, G.H. Impact of Entrainment Mixing and Turbulent Fluctuations on Droplet Size Distributions in a Cumulus Cloud: An Investigation Using Lagrangian Microphysics with a Subgrid-Scale Model. J. Atmos. Sci. 2021, 78, 2983–3005. [Google Scholar] [CrossRef]
- Khain, A.P.; Leung, L.R.; Lynn, B.; Ghan, S. Effects of Aerosols on the Dynamics and Microphysics of Squall Lines Simulated by Spectral Bin and Bulk Parameterization Schemes. J. Geophys. Res. Atmos. 2009, 114, D22203. [Google Scholar] [CrossRef]
- Lynn, B.H.; Khain, A.P.; Dudhia, J.; Rosenfeld, D.; Pokrovsky, A.; Seifert, A. Spectral (Bin) Microphysics Coupled with a Mesoscale Model (MM5). Part II: Simulation of a CaPE Rain Event with a Squall Line. Mon. Weather Rev. 2005, 133, 59–71. [Google Scholar] [CrossRef]
- Shpund, J.; Khain, A.; Lynn, B.; Fan, J.; Han, B.; Ryzhkov, A.; Snyder, J.; Dudhia, J.; Gill, D. Simulating a Mesoscale Convective System Using WRF With a New Spectral Bin Microphysics: 1: Hail vs Graupel. J. Geophys. Res. Atmos. 2019, 124, 14072–14101. [Google Scholar] [CrossRef]
- Khain, A.P.; Beheng, K.D.; Heymsfield, A.; Korolev, A.; Krichak, S.O.; Levin, Z.; Pinsky, M.; Phillips, V.; Prabhakaran, T.; Teller, A.; et al. Representation of Microphysical Processes in Cloud-Resolving Models: Spectral (Bin) Microphysics versus Bulk Parameterization: BIN VS BULK. Rev. Geophys. 2015, 53, 247–322. [Google Scholar] [CrossRef]
- Milbrandt, J.A.; McTaggart-Cowan, R. Sedimentation-Induced Errors in Bulk Microphysics Schemes. J. Atmos. Sci. 2010, 67, 3931–3948. [Google Scholar] [CrossRef]
- Jaenicke, R. Aerosol Physics and Chemistry. In Physical and Chemical Properties of the Air; Fischer, G., Ed.; Landolt-Bornstein Numerical Data and Functional Relationships in Science and Technology New Series Group V; Springer: Berlin/Heidelberg, Germany, 1988; Volume 4B, pp. 391–457. [Google Scholar]
- Yin, Y.; Levin, Z.; Reisin, T.G.; Tzivion, S. The Effects of Giant Cloud Condensation Nuclei on the Development of Precipitation in Convective Clouds—A Numerical Study. Atmos. Res. 2000, 53, 91–116. [Google Scholar] [CrossRef]
- Liu, P.; Yin, Y.; Chen, Q.; Lou, X. Numerical Simulation of Hygroscopic Seeding Effects on Warm Convective Clouds and Rainfall Reduction. J. Appl. Meteorol. Sci. 2019, 30, 211–222. (In Chinese) [Google Scholar] [CrossRef]
- Fan, J.; Leung, L.R.; Rosenfeld, D.; Chen, Q.; Li, Z.; Zhang, J.; Yan, H. Microphysical Effects Determine Macrophysical Response for Aerosol Impacts on Deep Convective Clouds. Proc. Natl. Acad. Sci. USA 2013, 110, E4581–E4590. [Google Scholar] [CrossRef] [PubMed]
- Pruppacher, H.R.; Klett, J.D. Microphysics of Clouds and Precipitation, 2nd ed.; Atmospheric and Oceanographic Sciences Library; Springer: Dordrecht, The Netherlands, 2010. [Google Scholar]
- Wang, M.; Fu, Y.; Zhao, C.; Zhong, L.; Li, R.; Wang, D.; Qiu, X.; Zhou, S. Characteristics of Summer Cloud Precipitation along Latitude 30°N in East Asia Derived from Tropical Rainfall Measuring Mission Precipitation Radar and Visible and Infrared Scanner Measurements. Int. J. Climatol. 2022, 42, 5373–5392. [Google Scholar] [CrossRef]
- Houze, R.A. Orographic Effects on Precipitating Clouds. Rev. Geophys. 2012, 50, 2011RG000365. [Google Scholar] [CrossRef]
- Houze, R.A., Jr. Mesoscale Convective Systems. Rev. Geophys. 2004, 42. [Google Scholar] [CrossRef]
- Romatschke, U.; Houze, R.A. Characteristics of Precipitating Convective Systems in the Premonsoon Season of South Asia. J. Hydrometeorol. 2011, 12, 157–180. [Google Scholar] [CrossRef]
- Rossow, W.B.; Garder, L.C. Validation of ISCCP Cloud Detections. J. Clim. 1993, 6, 2370–2393. [Google Scholar] [CrossRef]
- Gayatri, K.; Patade, S.; Fan, J.; Prabhakaran, T. Pathways of Precipitation Formation in Different Thermodynamic and Aerosol Environments over the Indian Peninsula. Atmos. Res. 2022, 266, 105934. [Google Scholar] [CrossRef]
- Wang, C. A Modeling Study of the Response of Tropical Deep Convection to the Increase of Cloud Condensation Nuclei Concentration: 1. Dynamics and Microphysics. J. Geophys. Res. Atmos. 2005, 110, D21211. [Google Scholar] [CrossRef]
- Abbott, T.H.; Cronin, T.W. Aerosol Invigoration of Atmospheric Convection through Increases in Humidity. Science 2021, 371, 83–85. [Google Scholar] [CrossRef] [PubMed]
- Jo, E.; Lasher-Trapp, S. Entrainment in a Simulated Supercell Thunderstorm. Part III: The Influence of Decreased Environmental Humidity and General Effects upon Precipitation Efficiency. J. Atmos. Sci. 2023, 80, 1107–1122. [Google Scholar] [CrossRef]
- Zhao, C.; Tie, X.; Lin, Y. A Possible Positive Feedback of Reduction of Precipitation and Increase in Aerosols over Eastern Central China. Geophys. Res. Lett. 2006, 33, L11814. [Google Scholar] [CrossRef]
- Salby, M.L. Fundamentals of Atmospheric Physics; International Geophysics Series; Academic Press: San Diego, CA, USA, 1996; ISBN 978-0-12-615160-2. [Google Scholar]
- Wallace, J.M.; Hobbs, P.V. Atmospheric Thermodynamics. In Atmospheric Science: An Introductory Survey, 2nd ed.; Academic Press: San Diego, CA, USA, 2006; pp. 63–102. [Google Scholar]
- George, J.J. Forecasting the Movement, Deepening, and Filling of Cyclones. In Weather Forecasting for Aeronautics; Academic Press: New York, NY, USA; London, UK, 1961; Volume 65, p. 68. [Google Scholar]
- Cotton, W.R.; Bryan, G.H.; van Den Heever, S.C. Storm and Cloud Dynamics; Academic Press: San Diego, CA, USA, 2011; pp. 610–611. [Google Scholar]














| Mode (i) | Ni (cm−3) | Ri (μm) | logσi |
|---|---|---|---|
| 1 | 3200.00 | 0.010 | 0.161 |
| 2 | 2900.00 | 0.058 | 0.217 |
| 3 | 0.30 | 0.900 | 0.380 |
Disclaimer/Publisher’s Note: The statements, opinions and data contained in all publications are solely those of the individual author(s) and contributor(s) and not of MDPI and/or the editor(s). MDPI and/or the editor(s) disclaim responsibility for any injury to people or property resulting from any ideas, methods, instructions or products referred to in the content. |
© 2025 by the authors. Licensee MDPI, Basel, Switzerland. This article is an open access article distributed under the terms and conditions of the Creative Commons Attribution (CC BY) license (https://creativecommons.org/licenses/by/4.0/).
Share and Cite
Tang, X.; Chen, Q.; Guo, J.; Yang, J.; Zou, Z.; Chen, J.; Sun, Y. The Importance of Humidity in the Afternoon Local-Scale Precipitation Intensity over Eastern China and Its Impacts on the Aerosol Effects. Remote Sens. 2025, 17, 778. https://doi.org/10.3390/rs17050778
Tang X, Chen Q, Guo J, Yang J, Zou Z, Chen J, Sun Y. The Importance of Humidity in the Afternoon Local-Scale Precipitation Intensity over Eastern China and Its Impacts on the Aerosol Effects. Remote Sensing. 2025; 17(5):778. https://doi.org/10.3390/rs17050778
Chicago/Turabian StyleTang, Xinlei, Qian Chen, Jianping Guo, Jing Yang, Zeyong Zou, Jinghua Chen, and Yue Sun. 2025. "The Importance of Humidity in the Afternoon Local-Scale Precipitation Intensity over Eastern China and Its Impacts on the Aerosol Effects" Remote Sensing 17, no. 5: 778. https://doi.org/10.3390/rs17050778
APA StyleTang, X., Chen, Q., Guo, J., Yang, J., Zou, Z., Chen, J., & Sun, Y. (2025). The Importance of Humidity in the Afternoon Local-Scale Precipitation Intensity over Eastern China and Its Impacts on the Aerosol Effects. Remote Sensing, 17(5), 778. https://doi.org/10.3390/rs17050778
