Improving Wheat Yield Prediction with Multi-Source Remote Sensing Data and Machine Learning in Arid Regions
Abstract
1. Introduction
2. Materials and Methods
2.1. Description of the Study Area
2.2. Data Sources
2.2.1. Ground Truth Data
2.2.2. Remote Sensing Data
2.2.3. Climate Data
2.2.4. Wheat Yield Data
2.3. Yield Estimation
| Feature | Formulation | References |
|---|---|---|
| Normalized Difference Vegetation Index (NDVI) | (NIR − R)/(NIR + R) | [51] |
| Enhanced Vegetation Index (EVI) | EVI = G × ((NIR − RED)/(NIR + C1 × RED − C2 × BLUE + L)) | [52] |
| Atmospheric Resistance Vegetation Index (ARVI) | (NIR − (2 × R − B))/(NIR − (2 × R − B)) | [53] |
2.3.1. Machine Learning Methods for Predicting Crop Yield
2.3.2. Optimal Wheat Training Time for Yield Estimation
2.3.3. Model Evaluation for Yield Estimation
3. Results
3.1. Crop Classification
3.2. Yield Estimation
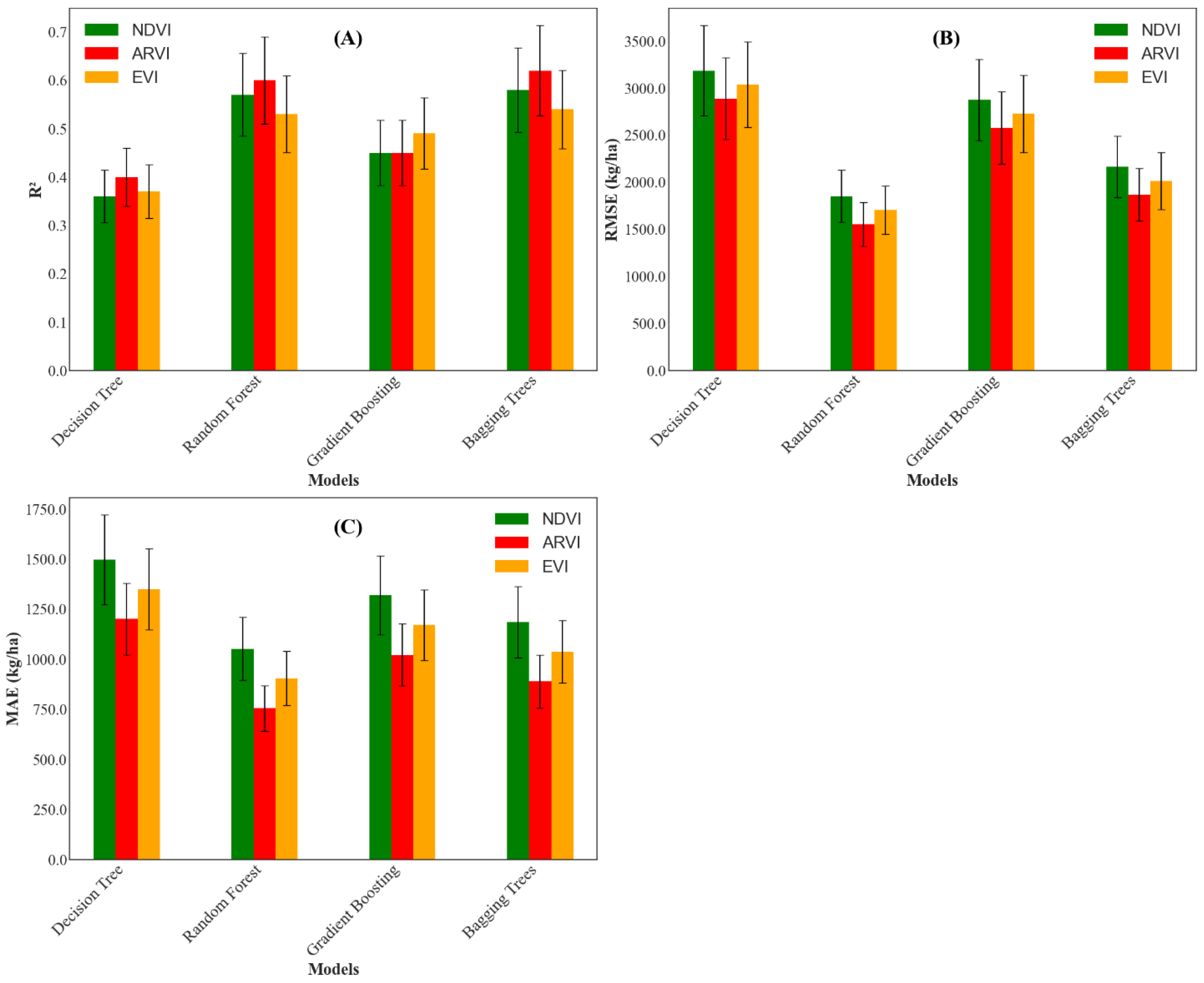
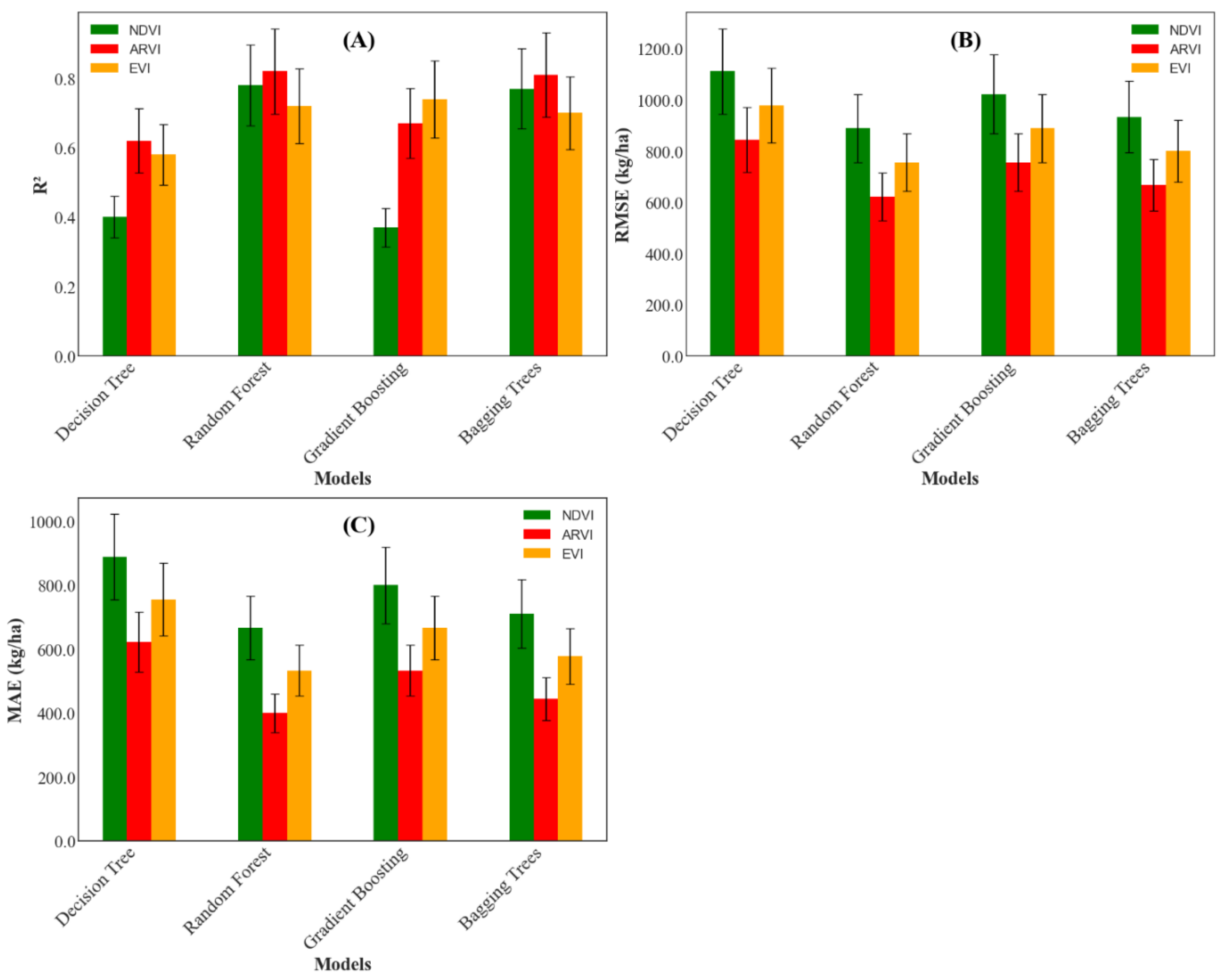
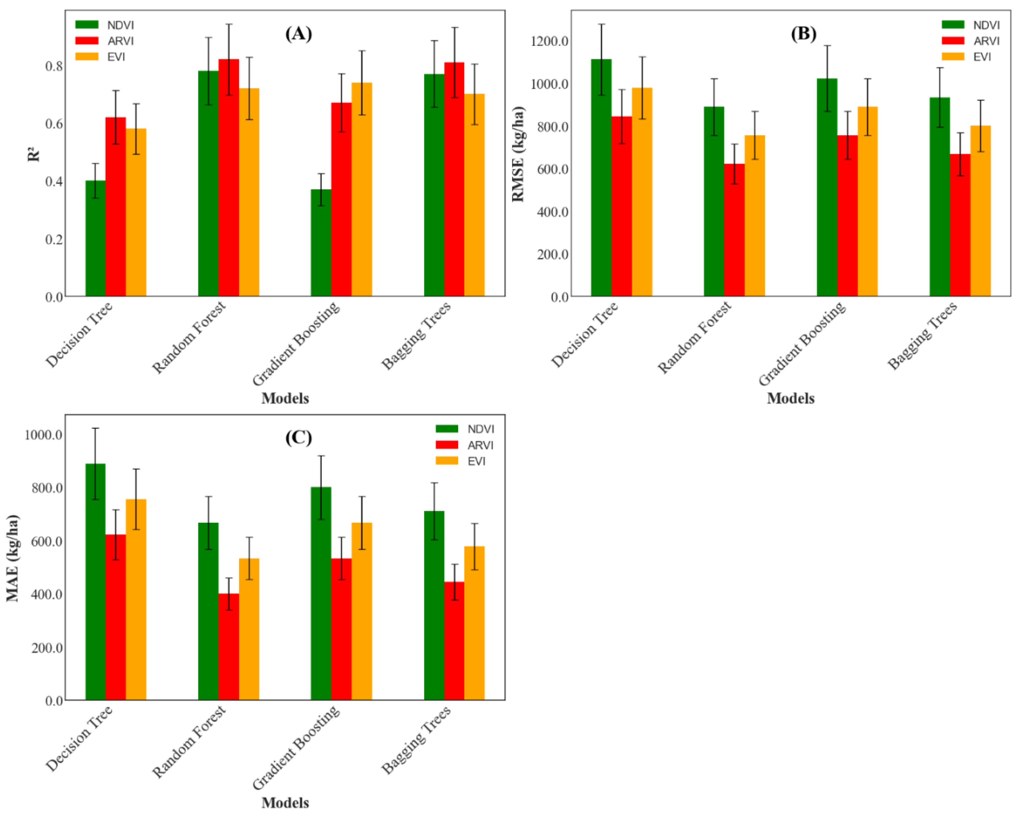
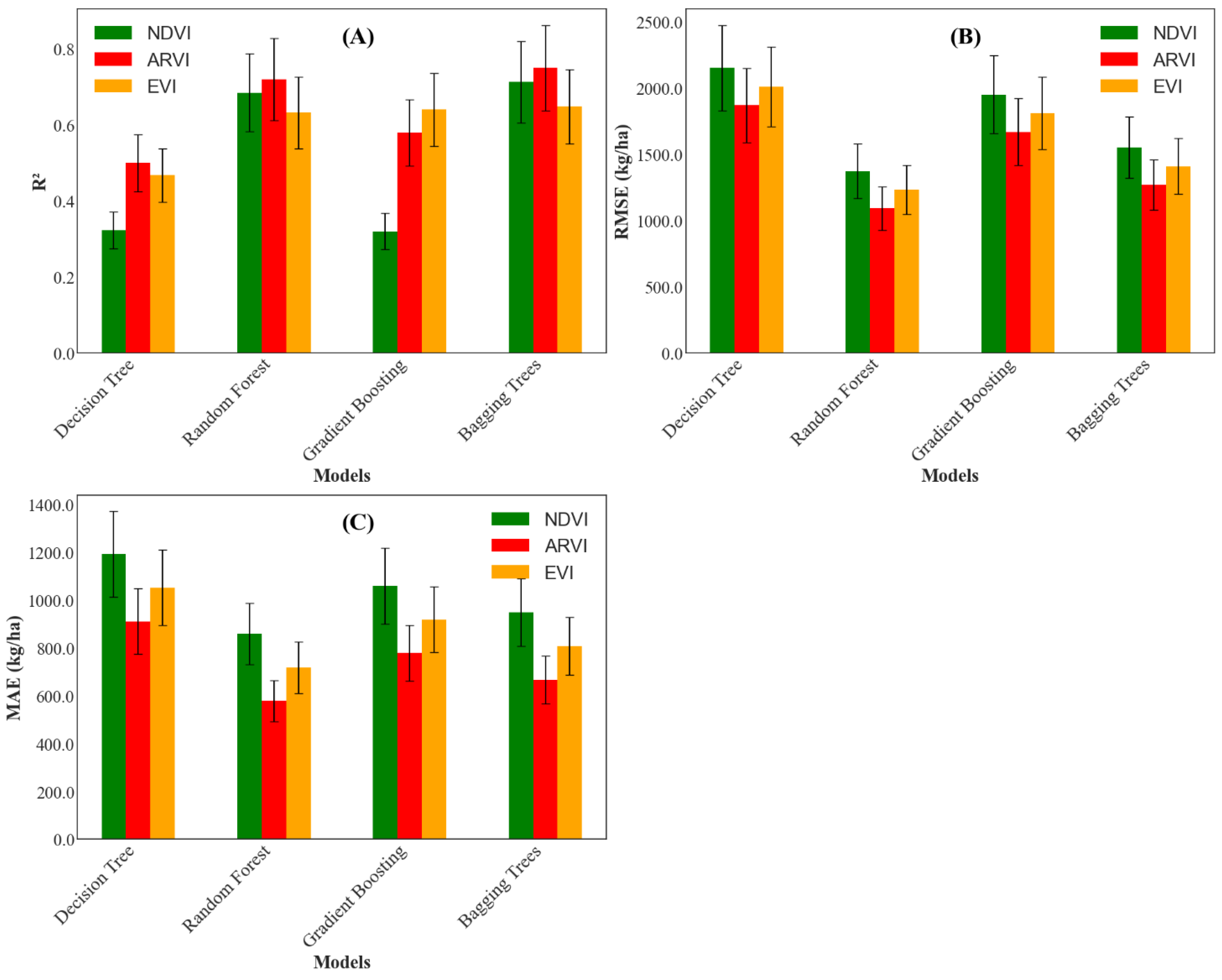
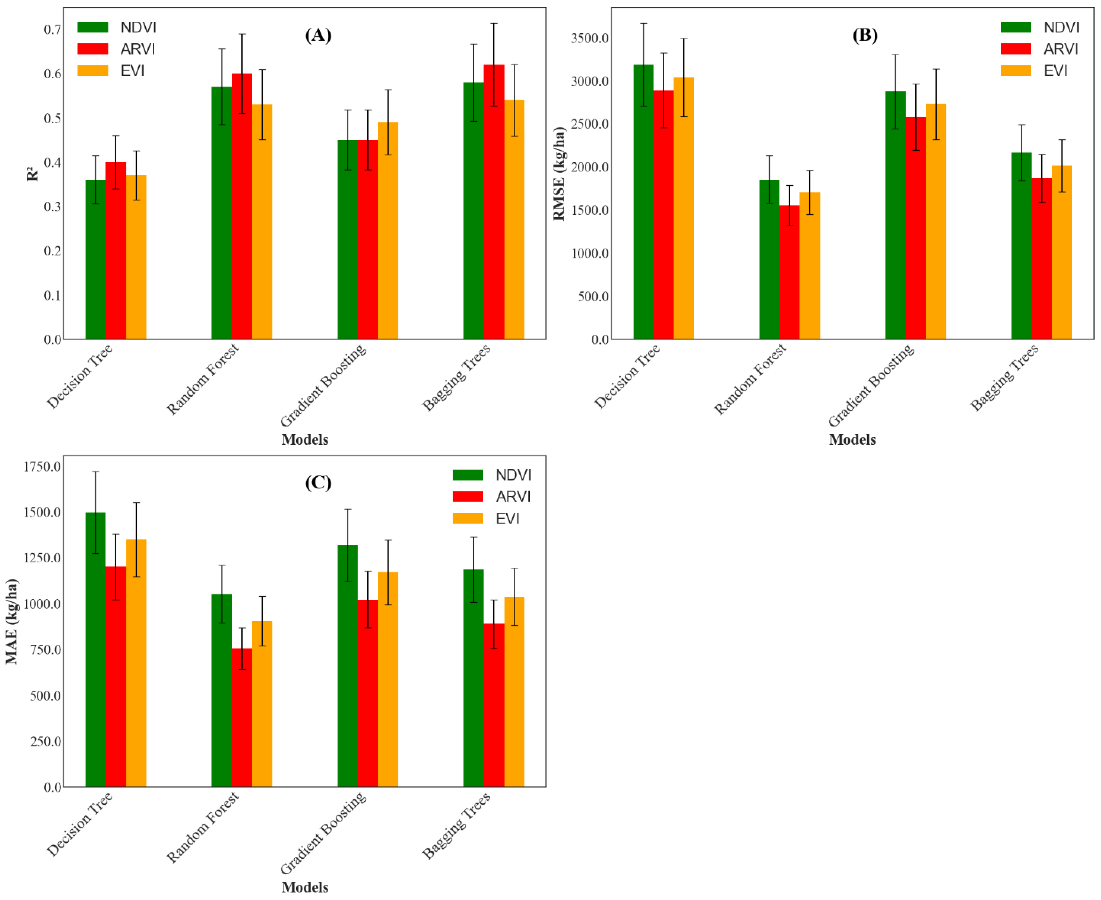
3.2.1. Model Performance for Estimating Yields
3.2.2. Spatial Patterns of Wheat Yield Predicted
4. Discussion
4.1. Arid Region Yield Estimation Model Performance with Different Indices
4.2. Yield Estimation Model Performance in Different Time Windows
4.3. Uncertainties in the Study
5. Conclusions
Author Contributions
Funding
Data Availability Statement
Acknowledgments
Conflicts of Interest
References
- Hossain, A.; Skalicky, M.; Brestic, M.; Maitra, S.; Ashraful Alam, M.; Syed, M.A.; Hossain, J.; Sarkar, S.; Saha, S.; Bhadra, P. Consequences and mitigation strategies of abiotic stresses in wheat (Triticum aestivum L.) under the changing climate. Agronomy 2021, 11, 241. [Google Scholar] [CrossRef]
- Foley, J.A.; Ramankutty, N.; Brauman, K.A.; Cassidy, E.S.; Gerber, J.S.; Johnston, M.; Mueller, N.D.; O’Connell, C.; Ray, D.K.; West, P.C. Solutions for a cultivated planet. Nature 2011, 478, 337–342. [Google Scholar] [CrossRef] [PubMed]
- Tian, X.; Engel, B.A.; Qian, H.; Hua, E.; Sun, S.; Wang, Y. Will reaching the maximum achievable yield potential meet future global food demand? J. Clean. Prod. 2021, 294, 126285. [Google Scholar] [CrossRef]
- Rockström, J.; Steffen, W.; Noone, K.; Persson, Å.; Chapin, F.S.; Lambin, E.F.; Lenton, T.M.; Scheffer, M.; Folke, C.; Schellnhuber, H.J. A safe operating space for humanity. Nature 2009, 461, 472–475. [Google Scholar] [CrossRef] [PubMed]
- Steffen, W.; Broadgate, W.; Deutsch, L.; Gaffney, O.; Ludwig, C. The trajectory of the Anthropocene: The great acceleration. Anthropocene Rev. 2015, 2, 81–98. [Google Scholar] [CrossRef]
- Ashraf, M.N.; Mahmood, M.H.; Sultan, M.; Banaeian, N.; Usman, M.; Ibrahim, S.M.; Butt, M.U.; Waseem, M.; Ali, I.; Shakoor, A. Investigation of input and output energy for wheat production: A comprehensive study for Tehsil Mailsi (Pakistan). Sustainability 2020, 12, 6884. [Google Scholar] [CrossRef]
- Curtis, T.; Halford, N. Food security: The challenge of increasing wheat yield and the importance of not compromising food safety. Ann. Appl. Biol. 2014, 164, 354–372. [Google Scholar] [CrossRef]
- Igrejas, G.; Branlard, G. The importance of wheat. In Wheat Quality for Improving Processing and Human Health; Springer: Cham, Switzerland, 2020; pp. 1–7. [Google Scholar]
- Jabeen, M.; Ahmed, S.R.; Ahmed, M. Enhancing water use efficiency and grain yield of wheat by optimizing irrigation supply in arid and semi-arid regions of Pakistan. Saudi J.Biol. Sci. 2022, 29, 878–885. [Google Scholar] [CrossRef]
- Gavasso-Rita, Y.L.; Papalexiou, S.M.; Li, Y.; Elshorbagy, A.; Li, Z.; Schuster-Wallace, C. Crop models and their use in assessing crop production and food security: A review. Food Energy Secur. 2024, 13, e503. [Google Scholar] [CrossRef]
- Balaghi, R.; Tychon, B.; Eerens, H.; Jlibene, M. Empirical regression models using NDVI, rainfall and temperature data for the early prediction of wheat grain yields in Morocco. Int. J. Appl. Earth Observ. Geoinf. 2008, 10, 438–452. [Google Scholar] [CrossRef]
- Chlingaryan, A.; Sukkarieh, S.; Whelan, B. Machine learning approaches for crop yield prediction and nitrogen status estimation in precision agriculture: A review. Comput. Electron. Agric. 2018, 151, 61–69. [Google Scholar] [CrossRef]
- Government of Pakistan (GOP). 2023 Wheat Policy Analysis for 2023-24 Crop. Available online: https://api.gov.pk/Policies (accessed on 14 August 2024).
- Di Paola, A.; Valentini, R.; Santini, M. An overview of available crop growth and yield models for studies and assessments in agriculture. J. Sci. Food Agric. 2016, 96, 709–714. [Google Scholar] [CrossRef] [PubMed]
- Reynolds, M.; Kropff, M.; Crossa, J.; Koo, J.; Kruseman, G.; Molero Milan, A.; Rutkoski, J.; Schulthess, U.; Sonder, K.; Tonnang, H. Role of modelling in international crop research: Overview and some case studies. Agronomy 2018, 8, 291. [Google Scholar] [CrossRef]
- Zhang, Z.; Song, X.; Tao, F.; Zhang, S.; Shi, W. Climate trends and crop production in China at county scale, 1980 to 2008. Theor. Appl. Climatol. 2016, 123, 291–302. [Google Scholar] [CrossRef]
- Basso, B.; Liu, L. Seasonal crop yield forecast: Methods, applications, and accuracies. Adv. Agron. 2019, 154, 201–255. [Google Scholar]
- Hoogenboom, G.; Jones, J.W.; Wilkens, P.W.; Porter, C.H.; Batchelor, W.D.; Hunt, L.A.; Tsuji, G.Y. Decision Support System for Agrotechnology Transfer Version 4.0 (CD-ROM); University of Hawaii: Honolulu, HI, USA, 2004. [Google Scholar]
- McCown, R.L.; Hammer, G.L.; Hargreaves, J.N.G.; Holzworth, D.P.; Freebairn, D.M. APSIM: A novel software system for model development, model testing, and simulation in agricultural systems research. Agric. Syst. 1996, 50, 255–271. [Google Scholar] [CrossRef]
- Zhang, Z.; Li, Z.; Chen, Y.; Zhang, L.; Tao, F. Improving regional wheat yields estimations by multi-step-assimilating of a crop model with multi-source data. Agric. For. Meteorol. 2020, 290, 107993. [Google Scholar] [CrossRef]
- Filippi, P.; Jones, E.J.; Wimalathunge, N.S.; Somarathna, P.D.; Pozza, L.E.; Ugbaje, S.U.; Jephcott, T.G.; Paterson, S.E.; Whelan, B.M.; Bishop, T.F. An approach to forecast grain crop yield using multi-layered, multi-farm data sets and machine learning. Precis. Agric. 2019, 20, 1015–1029. [Google Scholar] [CrossRef]
- Lobell, D.B. The use of satellite data for crop yield gap analysis. Field Crops Res. 2013, 143, 56–64. [Google Scholar] [CrossRef]
- Aghighi, H.; Azadbakht, M.; Ashourloo, D.; Shahrabi, H.S.; Radiom, S. Machine learning regression techniques for the silage maize yield prediction using time-series images of Landsat 8 OLI. IEEE J. Sel. Top. Appl. Earth Observ. Remote Sens. 2018, 11, 4563–4577. [Google Scholar] [CrossRef]
- Ali, A.M.; Abouelghar, M.; Belal, A.A.; Saleh, N.; Yones, M.; Selim, A.I.; Savin, I. Crop yield prediction using multi sensors remote sensing. Egypt. J. Remote Sens. Space Sci. 2022, 25, 711–716. [Google Scholar]
- Dokoohaki, H.; Kivi, M.S.; Martinez-Feria, R.; Miguez, F.E.; Hoogenboom, G. A comprehensive uncertainty quantification of large-scale process-based crop modeling frameworks. Environ. Res. Lett. 2021, 16, 084010. [Google Scholar] [CrossRef]
- Leng, G.; Hall, J.W. Predicting spatial and temporal variability in crop yields: An inter-comparison of machine learning, regression and process-based models. Environ. Res. Lett. 2020, 15, 044027. [Google Scholar] [CrossRef]
- Sharma, A.; Jain, A.; Gupta, P.; Chowdary, V. Machine learning applications for precision agriculture: A comprehensive review. IEEE Access 2020, 9, 4843–4873. [Google Scholar] [CrossRef]
- Joshi, A.; Pradhan, B.; Gite, S.; Chakraborty, S. Remote-sensing data and deep-learning techniques in crop mapping and yield prediction: A systematic review. Remote Sens. 2023, 15, 2014. [Google Scholar] [CrossRef]
- Stas, M.; Van Orshoven, J.; Dong, Q.; Heremans, S.; Zhang, B. In A comparison of machine learning algorithms for regional wheat yield prediction using NDVI time series of SPOT-VGT. In Proceedings of the 2016 Fifth International Conference on Agro-Geoinformatics (Agro-Geoinformatics), Wuhan, China, 18–20 July 2016; pp. 1–5. [Google Scholar]
- Saeed, U.; Dempewolf, J.; Becker-Reshef, I.; Khan, A.; Ahmad, A.; Wajid, S.A. Forecasting wheat yield from weather data and MODIS NDVI using Random Forests for Punjab province, Pakistan. Int. J. Remote Sens. 2017, 38, 4831–4854. [Google Scholar] [CrossRef]
- Satir, O.; Berberoglu, S. Crop yield prediction under soil salinity using satellite derived vegetation indices. Field Crops Res. 2016, 192, 134–143. [Google Scholar] [CrossRef]
- Gupta, S.; Geetha, A.; Sankaran, K.S.; Zamani, A.S.; Ritonga, M.; Raj, R.; Ray, S.; Mohammed, H.S. Machine Learning-and Feature Selection-Enabled Framework for Accurate Crop Yield Prediction. J. Food Qual. 2022, 2022, 6293985. [Google Scholar] [CrossRef]
- Ismael, H.R.; Abdulazeez, A.M.; Hasan, D.A. Comparative study for classification algorithms performance in crop yields prediction systems. Qubahan Acad. J. 2021, 1, 119–124. [Google Scholar] [CrossRef]
- Ma, L.; Long, H.; Tang, L.; Tu, S.; Zhang, Y.; Qu, Y. Analysis of the spatial variations of determinants of agricultural production efficiency in China. Comput. Electron. Agric. 2021, 180, 105890. [Google Scholar] [CrossRef]
- Bharadiya, J.P.; Tzenios, N.T.; Reddy, M. Forecasting of crop yield using remote sensing data, agrarian factors and machine learning approaches. J. Eng. Res. Rep. 2023, 24, 29–44. [Google Scholar] [CrossRef]
- Khanal, S.; Fulton, J.; Klopfenstein, A.; Douridas, N.; Shearer, S. Integration of high resolution remotely sensed data and machine learning techniques for spatial prediction of soil properties and corn yield. Comput. Electron. Agric. 2018, 153, 213–225. [Google Scholar] [CrossRef]
- Pham, H.T.; Awange, J.; Kuhn, M.; Nguyen, B.V.; Bui, L.K. Enhancing crop yield prediction utilizing machine learning on satellite-based vegetation health indices. Sensors 2022, 22, 719. [Google Scholar] [CrossRef] [PubMed]
- Vannoppen, A.; Gobin, A. Estimating farm wheat yields from NDVI and meteorological data. Agronomy 2021, 11, 946. [Google Scholar] [CrossRef]
- Van Klompenburg, T.; Kassahun, A.; Catal, C. Crop yield prediction using machine learning: A systematic literature review. Comput. Electron. Agric. 2020, 177, 105709. [Google Scholar] [CrossRef]
- Tian, Y.; Ackermann, K.; McCarthy, C.; Sternberg, T.; Purevtseren, M.; Limuge, C.; Hoshino, B. Seasonal dynamics of the land-surface characteristics in arid regions retrieved by optical and microwave satellite data. Remote Sens. 2024, 16, 3143. [Google Scholar] [CrossRef]
- Hoffman, A.L.; Kemanian, A.R.; Forest, C.E. The response of maize, sorghum, and soybean yield to growing-phase climate revealed with machine learning. Environ. Res. Lett. 2020, 15, 094013. [Google Scholar] [CrossRef]
- Senay, G.B.; Bohms, S.; Singh, R.K.; Gowda, P.H.; Velpuri, N.M.; Alemu, H.; Verdin, J.P. Operational evapotranspiration mapping using remote sensing and weather datasets: A new parameterization for the SSEB approach. JAWRA J. Am. Water Resour. Assoc. 2013, 49, 577–591. [Google Scholar] [CrossRef]
- Gorelick, N.; Hancher, M.; Dixon, M.; Ilyushchenko, S.; Thau, D.; Moore, R. Google Earth Engine: Planetary-scale geospatial analysis for everyone. Remote Sens. Environ. 2017, 202, 18–27. [Google Scholar] [CrossRef]
- Jin, Z.; Azzari, G.; You, C.; Di Tommaso, S.; Aston, S.; Burke, M.; Lobell, D.B. Smallholder maize area and yield mapping at national scales with Google Earth Engine. Remote Sens. Environ. 2019, 228, 115–128. [Google Scholar] [CrossRef]
- Raza, A.; Shahid, M.A.; Safdar, M.; Zaman, M.; Sabir, R.M.; Muzammal, H.; Ahmed, M.M. Impact of Land Use and Land Cover Change on Agricultural Production in District Bahawalnagar, Pakistan. Environ. Sci. Proc. 2024, 29, 46. [Google Scholar] [CrossRef]
- Foga, S.; Scaramuzza, P.L.; Guo, S.; Zhu, Z.; Dilley Jr, R.D.; Beckmann, T.; Schmidt, G.L.; Dwyer, J.L.; Hughes, M.J.; Laue, B. Cloud detection algorithm comparison and validation for operational Landsat data products. Remote Sens. Environ. 2017, 194, 379–390. [Google Scholar] [CrossRef]
- Rezaei, E.E.; Webber, H.; Asseng, S.; Boote, K.; Durand, J.L.; Ewert, F.; Martre, P.; MacCarthy, D.S. Climate change impacts on crop yields. Nat. Rev. Earth Environ. 2023, 4, 831–846. [Google Scholar] [CrossRef]
- Cotrina Cabello, G.G.; Ruiz Rodriguez, A.; Husnain Gondal, A.; Areche, F.O.; Flores, D.D.C.; Astete, J.A.Q.; Camayo-Lapa, B.F.; Yapias, R.J.M.; Jabbar, A.; Yovera Saldarriaga, J. Plant adaptability to climate change and drought stress for crop growth and production. CABI Rev. 2023. [Google Scholar] [CrossRef]
- Abatzoglou, J.T.; Dobrowski, S.Z.; Parks, S.A.; Hegewisch, K.C. TerraClimate, a high-resolution global dataset of monthly climate and climatic water balance from 1958–2015. Sci. Data 2018, 5, 170191. [Google Scholar] [CrossRef] [PubMed]
- Chen, Y.; Zhang, Z.; Tao, F.; Wang, P.; Wei, X. Spatio-temporal patterns of winter wheat yield potential and yield gap during the past three decades in North China. Field Crops Res. 2017, 206, 11–20. [Google Scholar] [CrossRef]
- Rouse, J.W.; Haas, R.H.; Schell, J.A.; Deering, D.W. Monitoring Vegetation Systems in the Great Plains with ERTS; NASA Special Publications: Washington, DC, USA, 1974; Volume 351, p. 309. [Google Scholar]
- Justice, C.O.; Townshend, J.; Holben, B.; Tucker, C.J. Analysis of the phenology of global vegetation using meteorological satellite data. Int. J. Remote Sens. 1985, 6, 1271–1318. [Google Scholar] [CrossRef]
- Kaufman, Y.J.; Tanre, D. Atmospherically resistant vegetation index (ARVI) for EOS-MODIS. IEEE Trans. Geosci. Remote Sens. 1992, 30, 261–270. [Google Scholar] [CrossRef]
- Liaqat, M.U.; Cheema, M.J.M.; Huang, W.; Mahmood, T.; Zaman, M.; Khan, M.M. Evaluation of MODIS and Landsat multiband vegetation indices used for wheat yield estimation in irrigated Indus Basin. Comput. Electron. Agric. 2017, 138, 39–47. [Google Scholar] [CrossRef]
- Kaya, Y.; Polat, N. A linear approach for wheat yield prediction by using different spectral vegetation indices. Int. J. Eng. Geosci. 2023, 8, 52–62. [Google Scholar] [CrossRef]
- Marti, J.; Bort, J.; Slafer, G.; Araus, J. Can wheat yield be assessed by early measurements of Normalized Difference Vegetation Index? Ann. Appl. Biol. 2007, 150, 253–257. [Google Scholar] [CrossRef]
- Xu, M.; Watanachaturaporn, P.; Varshney, P.K.; Arora, M.K. Decision tree regression for soft classification of remote sensing data. Remote Sens. Environ. 2005, 97, 322–336. [Google Scholar] [CrossRef]
- Nayak, H.S.; Silva, J.V.; Parihar, C.M.; Krupnik, T.J.; Sena, D.R.; Kakraliya, S.K.; Jat, H.S.; Sidhu, H.S.; Sharma, P.C.; Jat, M.L. Interpretable machine learning methods to explain on-farm yield variability of high productivity wheat in Northwest India. Field Crops Res. 2022, 287, 108640. [Google Scholar] [CrossRef]
- Chutia, D.; Bhattacharyya, D.K.; Sarma, J.; Raju, P.N.L. An effective ensemble classification framework using random forests and a correlation based feature selection technique. Trans. GIS 2017, 21, 1165–1178. [Google Scholar] [CrossRef]
- Pes, B. Learning from high-dimensional and class-imbalanced datasets using random forests. Information 2021, 12, 286. [Google Scholar] [CrossRef]
- Bentéjac, C.; Csörgő, A.; Martínez-Muñoz, G. A comparative analysis of gradient boosting algorithms. Artif. Intell. Rev. 2021, 54, 1937–1967. [Google Scholar] [CrossRef]
- Zeng, J.; Zhang, M.; Lin, S.-B. Fully corrective gradient boosting with squared hinge: Fast learning rates and early stopping. Neural Netw. 2022, 147, 136–151. [Google Scholar] [CrossRef] [PubMed]
- Hong, H.; Liu, J.; Zhu, A.-X. Modeling landslide susceptibility using LogitBoost alternating decision trees and forest by penalizing attributes with the bagging ensemble. Sci. Total Environ. 2020, 718, 137231. [Google Scholar] [CrossRef]
- Izquierdo-Verdiguier, E.; Zurita-Milla, R. An evaluation of Guided Regularized Random Forest for classification and regression tasks in remote sensing. Int. J. Appl. Earth Observ. Geoinf. 2020, 88, 102051. [Google Scholar] [CrossRef]
- Pantazi, X.E.; Moshou, D.; Alexandridis, T.; Whetton, R.L.; Mouazen, A.M. Wheat yield prediction using machine learning and advanced sensing techniques. Comput. Electron. Agric. 2016, 121, 57–65. [Google Scholar] [CrossRef]
- Xiong, Z.; Cui, Y.; Liu, Z.; Zhao, Y.; Hu, M.; Hu, J. Evaluating explorative prediction power of machine learning algorithms for materials discovery using k-fold forward cross-validation. Computat. Mater. Sci. 2020, 171, 109203. [Google Scholar] [CrossRef]
- Jamali, M.; Soufizadeh, S.; Yeganeh, B.; Emam, Y. Wheat leaf traits monitoring based on machine learning algorithms and high-resolution satellite imagery. Ecol. Inform. 2023, 74, 101967. [Google Scholar] [CrossRef]
- Pang, A.; Chang, M.W.; Chen, Y. Evaluation of random forests (RF) for regional and local-scale wheat yield prediction in southeast Australia. Sensors 2022, 22, 717. [Google Scholar] [CrossRef] [PubMed]
- Shen, Y.; Mercatoris, B.; Cao, Z.; Kwan, P.; Guo, L.; Yao, H.; Cheng, Q. Improving wheat yield prediction accuracy using LSTM-RF framework based on UAV thermal infrared and multispectral imagery. Agriculture 2022, 12, 892. [Google Scholar] [CrossRef]
- Ebrahimi-Khusfi, Z.; Mirakbari, M.; Khosroshahi, M. Vegetation response to changes in temperature, rainfall, and dust in arid environments. Environ. Monit. Assess. 2020, 192, 691. [Google Scholar] [CrossRef]
- Somvanshi, S.S.; Kumari, M. Comparative analysis of different vegetation indices with respect to atmospheric particulate pollution using sentinel data. Appl. Comput. Geosci. 2020, 7, 100032. [Google Scholar] [CrossRef]
- Xue, J.; Su, B. Significant remote sensing vegetation indices: A review of developments and applications. J. Sens. 2017, 2017, 1353691. [Google Scholar] [CrossRef]
- Zhen, Z.; Chen, S.; Yin, T.; Gastellu-Etchegorry, J.-P. Globally quantitative analysis of the impact of atmosphere and spectral response function on 2-band enhanced vegetation index (EVI2) over Sentinel-2 and Landsat-8. ISPRS J. Photogramm. Remote Sens. 2023, 205, 206–226. [Google Scholar] [CrossRef]
- Sharma, V.; Tsai, M.-L.; Chen, C.-W.; Sun, P.-P.; Nargotra, P.; Dong, C.-D. Advances in machine learning technology for sustainable biofuel production systems in lignocellulosic biorefineries. Sci. Total Environ. 2023, 886, 163972. [Google Scholar] [CrossRef]
- Raufu, I.O. Exploring the relationship between remote sensing-based vegetation indices and land surface temperature through quantitative analysis. J. Bulg. Geogr. Soc. 2024, 50, 95–112. [Google Scholar] [CrossRef]
- Ahmed, Z.; Gui, D.; Murtaza, G.; Yunfei, L.; Ali, S. An overview of smart irrigation management for improving water productivity under climate change in drylands. Agronomy 2023, 13, 2113. [Google Scholar] [CrossRef]
- Tarate, S.B.; Patel, N.; Danodia, A.; Pokhariyal, S.; Parida, B.R. Geospatial technology for sustainable agricultural water management in india—A systematic review. Geomatics 2024, 4, 91–123. [Google Scholar] [CrossRef]
- Zhang, Y.; Wang, L.; Chen, X.; Liu, Y.; Wang, S.; Wang, L. Prediction of winter wheat yield at county level in China using ensemble learning. Prog. Phys. Geogr. Earth Environ. 2022, 46, 676–696. [Google Scholar] [CrossRef]
- Badagliacca, G.; Messina, G.; Praticò, S.; Lo Presti, E.; Preiti, G.; Monti, M.; Modica, G. Multispectral vegetation indices and machine learning approaches for durum wheat (Triticum durum Desf.) yield prediction across different varieties. AgriEngineering 2023, 5, 2032–2048. [Google Scholar] [CrossRef]
- Ata-Ul-Karim, S.T.; Liu, X.; Lu, Z.; Zheng, H.; Cao, W.; Zhu, Y. Estimation of nitrogen fertilizer requirement for rice crop using critical nitrogen dilution curve. Field Crops Res. 2017, 201, 32–40. [Google Scholar] [CrossRef]
- Zhang, J.; Pan, Y.; Tao, X.; Wang, B.; Cao, Q.; Tian, Y.; Zhu, Y.; Cao, W.; Liu, X. In-season mapping of rice yield potential at jointing stage using Sentinel-2 images integrated with high-precision UAS data. Eur. J. Agron. 2023, 146, 126808. [Google Scholar] [CrossRef]
- Chowdhury, M.; Anand, R.; Dhar, T.; Kurmi, R.; Sahni, R.K.; Kushwah, A. Digital insights into plant health: Exploring vegetation indices through computer vision. In Applications of Computer Vision and Drone Technology in Agriculture 4.0; Springer: Singapore, 2024; pp. 7–30. [Google Scholar]
- Berahim, Z.; Dorairaj, D.; Omar, M.H.; Saud, H.M.; Ismail, M.R. Spermine mediated improvements on stomatal features, growth, grain filling and yield of rice under differing water availability. Sci. Rep. 2021, 11, 10669. [Google Scholar] [CrossRef]
- Lana, M.A.; Vasconcelos, A.C.F.; Gornott, C.; Schaffert, A.; Bonatti, M.; Volk, J.; Graef, F.; Kersebaum, K.C.; Sieber, S. Is dry soil planting an adaptation strategy for maize cultivation in semi-arid Tanzania? Food Secur. 2018, 10, 897–910. [Google Scholar] [CrossRef]
- Yao, B.; Ata-Ul-Karim, S.T.; Li, Y.; Ye, T.; Zhu, Y.; Cao, W.; Cao, Q.; Tang, L. Plant nitrogen status at phenological stages can well estimate wheat yield and its components. Field Crops Res. 2023, 297, 108950. [Google Scholar] [CrossRef]
- Weissteiner, C.; Kühbauch, W. Regional yield forecasts of malting barley (Hordeum vulgare L.) by NOAA-AVHRR remote sensing data and ancillary data. J. Agron. Crop Sci. 2005, 191, 308–320. [Google Scholar] [CrossRef]
- Skendžić, S.; Zovko, M.; Lešić, V.; Pajač Živković, I.; Lemić, D. Detection and evaluation of environmental stress in winter wheat using remote and proximal sensing methods and vegetation indices—A review. Diversity 2023, 15, 481. [Google Scholar] [CrossRef]
- Xiao, C.; Wu, Y.; Zhu, X. Evaluation of the Monitoring Capability of 20 Vegetation Indices and 5 Mainstream Satellite Band Settings for Drought in Spring Wheat Using a Simulation Method. Remote Sens. 2023, 15, 4838. [Google Scholar] [CrossRef]
- Wang, L.; Tian, Y.; Yao, X.; Zhu, Y.; Cao, W. Predicting grain yield and protein content in wheat by fusing multi-sensor and multi-temporal remote-sensing images. Field Crops Res. 2014, 164, 178–188. [Google Scholar] [CrossRef]
- Hassan, M.A.; Yang, M.; Rasheed, A.; Yang, G.; Reynolds, M.; Xia, X.; Xiao, Y.; He, Z. A rapid monitoring of NDVI across the wheat growth cycle for grain yield prediction using a multi-spectral UAV platform. Plant Sci. 2019, 282, 95–103. [Google Scholar] [CrossRef]
- Kheir, A.M.; Alrajhi, A.A.; Ghoneim, A.M.; Ali, E.F.; Magrashi, A.; Zoghdan, M.G.; Abdelkhalik, S.A.; Fahmy, A.E.; Elnashar, A. Modeling deficit irrigation-based evapotranspiration optimizes wheat yield and water productivity in arid regions. Agric. Water Manag. 2021, 256, 107122. [Google Scholar] [CrossRef]
- Kheiri, M.; Kambouzia, J.; Rahimi-Moghaddam, S.; Moghaddam, S.M.; Vasa, L.; Azadi, H. Effects of agro-climatic indices on wheat yield in arid, semi-arid, and sub-humid regions of Iran. Reg. Environ. Change 2024, 24, 10. [Google Scholar] [CrossRef]
- Hao, S.; Ryu, D.; Western, A.; Perry, E.; Bogena, H.; Franssen, H.J.H. Performance of a wheat yield prediction model and factors influencing the performance: A review and meta-analysis. Agric. Syst. 2021, 194, 103278. [Google Scholar] [CrossRef]
- Wang, J.; Chen, J.; Zhang, J.; Yang, S.; Zhang, S.; Bai, Y.; Xu, R. Consistency and uncertainty of remote sensing-based approaches for regional yield gap estimation: A comprehensive assessment of process-based and data-driven models. Field Crops Res. 2023, 302, 109088. [Google Scholar] [CrossRef]
- Arp, L.; Hoos, H.; van Bodegom, P.; Francis, A.; Wheeler, J.; van Laar, D.; Baratchi, M. Training-free thick cloud removal for Sentinel-2 imagery using value propagation interpolation. ISPRS J. Photogramm. Remote Sens. 2024, 216, 168–184. [Google Scholar] [CrossRef]
- Morales, A.; Villalobos, F.J. Using machine learning for crop yield prediction in the past or the future. Front. Plant Sci. 2023, 14, 1128388. [Google Scholar] [CrossRef] [PubMed]
- Gaur, M.K.; Squires, V.R. Geographic extent and characteristics of the world’s arid zones and their peoples. In Climate Variability Impacts on Land Use and Livelihoods in Drylands; Springer: Cham, Switzerland, 2018; pp. 3–20. [Google Scholar]
- Qader, S.H.; Dash, J.; Alegana, V.A.; Khwarahm, N.R.; Tatem, A.J.; Atkinson, P.M. The role of earth observation in achieving sustainable agricultural production in arid and semi-arid regions of the world. Remote Sens. 2021, 13, 3382. [Google Scholar] [CrossRef]
- Rigden, A.; Mueller, N.D.; Holbrook, N.; Pillai, N.; Huybers, P. Combined influence of soil moisture and atmospheric evaporative demand is important for accurately predicting US maize yields. Nat. Food 2020, 1, 127–133. [Google Scholar] [CrossRef] [PubMed]
- Kheiri, M.; Soufizadeh, S.; Movahhed Moghaddam, S.; Ghaffari, A. Exploring the impact of weather variability on phenology, length of growing period, and yield of contrast dryland wheat cultivars. Agric. Res. 2021, 10, 556–568. [Google Scholar] [CrossRef]












Disclaimer/Publisher’s Note: The statements, opinions and data contained in all publications are solely those of the individual author(s) and contributor(s) and not of MDPI and/or the editor(s). MDPI and/or the editor(s) disclaim responsibility for any injury to people or property resulting from any ideas, methods, instructions or products referred to in the content. |
© 2025 by the authors. Licensee MDPI, Basel, Switzerland. This article is an open access article distributed under the terms and conditions of the Creative Commons Attribution (CC BY) license (https://creativecommons.org/licenses/by/4.0/).
Share and Cite
Raza, A.; Shahid, M.A.; Zaman, M.; Miao, Y.; Huang, Y.; Safdar, M.; Maqbool, S.; Muhammad, N.E. Improving Wheat Yield Prediction with Multi-Source Remote Sensing Data and Machine Learning in Arid Regions. Remote Sens. 2025, 17, 774. https://doi.org/10.3390/rs17050774
Raza A, Shahid MA, Zaman M, Miao Y, Huang Y, Safdar M, Maqbool S, Muhammad NE. Improving Wheat Yield Prediction with Multi-Source Remote Sensing Data and Machine Learning in Arid Regions. Remote Sensing. 2025; 17(5):774. https://doi.org/10.3390/rs17050774
Chicago/Turabian StyleRaza, Aamir, Muhammad Adnan Shahid, Muhammad Zaman, Yuxin Miao, Yanbo Huang, Muhammad Safdar, Sheraz Maqbool, and Nalain E. Muhammad. 2025. "Improving Wheat Yield Prediction with Multi-Source Remote Sensing Data and Machine Learning in Arid Regions" Remote Sensing 17, no. 5: 774. https://doi.org/10.3390/rs17050774
APA StyleRaza, A., Shahid, M. A., Zaman, M., Miao, Y., Huang, Y., Safdar, M., Maqbool, S., & Muhammad, N. E. (2025). Improving Wheat Yield Prediction with Multi-Source Remote Sensing Data and Machine Learning in Arid Regions. Remote Sensing, 17(5), 774. https://doi.org/10.3390/rs17050774

