A Study on Improved Langley Plot Calibration Methods Using Noise Reduction for Field Solar Spectral Irradiance (SSI) Observation Instruments
Abstract
1. Introduction
2. Data Sources and Calibration Theory
2.1. Data Sources
2.2. Spectral and Radiometric Calibration Theory
2.2.1. Spectral Calibration and Spectral Testing
2.2.2. Radiometric Calibration
3. Testing and Calibration
3.1. Two Methods for Handling Solar Spectral Dark Noise
3.2. Spectral and Radiometric Testing
3.2.1. Spectral Testing
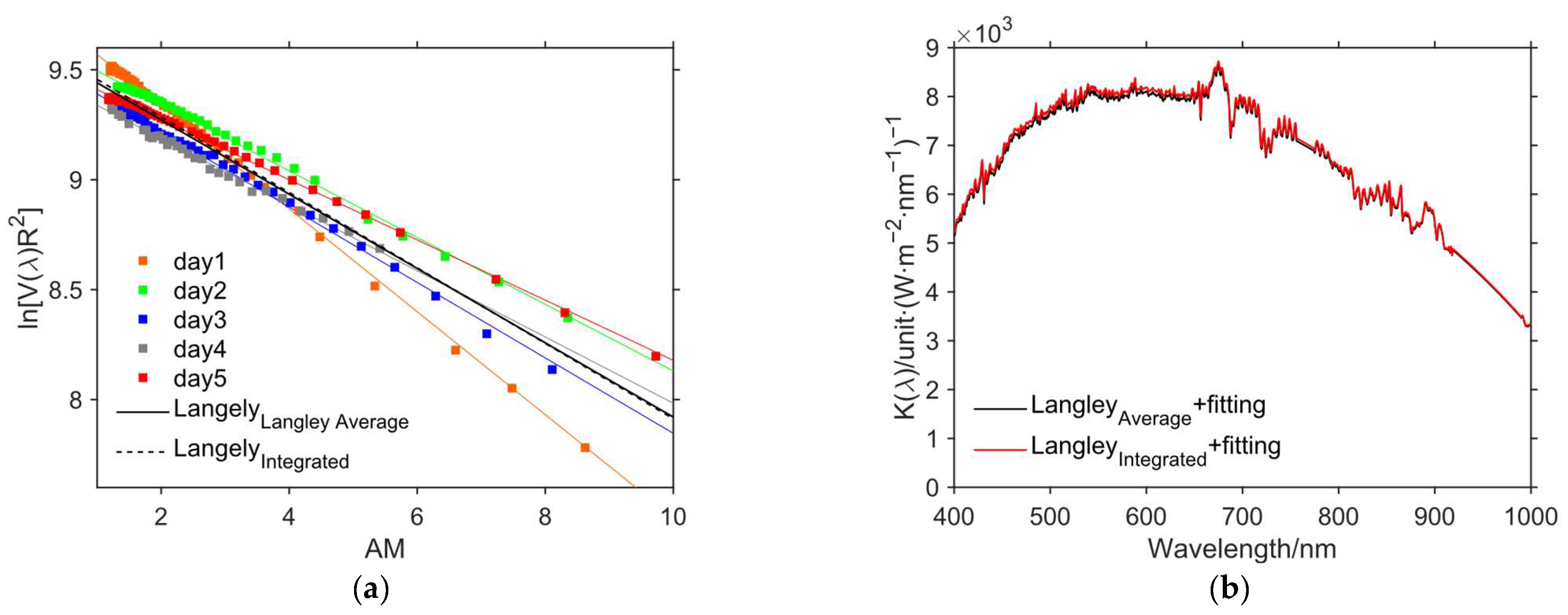
3.2.2. Radiometric Calibration
3.3. Uncertainty Assessment
4. Results and Discussion
4.1. SSI
4.2. AOD
5. Conclusions
Author Contributions
Funding
Data Availability Statement
Conflicts of Interest
References
- Brown, H.; Liu, X.; Feng, Y.; Jiang, Y.; Wu, M.; Lu, Z.; Wu, C.; Murphy, S.; Pokhrel, R. Radiative effect and climate impacts of brown carbon with the Community Atmosphere Model (CAM5). Atmos. Chem. Phys. 2018, 18, 17745–17768. [Google Scholar] [CrossRef]
- Charlesworth, E.; Plöger, F.; Birner, T.; Baikhadzhaev, R.; Abalos, M.; Abraham, N.L.; Akiyoshi, H.; Bekki, S.; Dennison, F.; Jöckel, P.; et al. Stratospheric water vapor affecting atmospheric circulation. Nat. Commun. 2023, 14, 3925. [Google Scholar] [CrossRef] [PubMed]
- Poulsen, C.J.; Tabor, C.; White, J.D. Long-term climate forcing by atmospheric oxygen concentrations. Science 2015, 348, 1238–1241. [Google Scholar] [CrossRef] [PubMed]
- Levy, H., II; Horowitz, L.W.; Schwarzkopf, M.D.; Ming, Y.; Golaz, J.; Naik, V.; Ramaswamy, V. The roles of aerosol direct and indirect effects in past and future climate change. J. Geophys. Res.-Atmos. 2013, 118, 4521–4532. [Google Scholar] [CrossRef]
- Wang, J.; Li, J.; Ye, J.; Zhao, J.; Wu, Y.; Hu, J.; Liu, D.; Nie, D.; Shen, F.; Huang, X.; et al. Fast sulfate formation from oxidation of SO2 by NO2 and HONO observed in Beijing haze. Nat. Commun. 2020, 11, 2844. [Google Scholar] [CrossRef] [PubMed]
- Zhang, S.; Wu, J.; Fan, W.; Yang, Q.; Zhao, D. Review of aerosol optical depth retrieval using visibility data. Earth-Sci. Rev. 2020, 200, 102986. [Google Scholar] [CrossRef]
- Zhang, X.Y.; Wang, Y.Q.; Zhang, X.C.; Guo, W.; Niu, T.; Gong, S.L.; Yin, Y.; Zhao, P.; Jin, J.L.; Yu, M. Aerosol monitoring at multiple locations in China: Contributions of EC and dust to aerosol light absorption. Tellus Ser. B-Chem. Phys. Meteorol. 2008, 60, 647–656. [Google Scholar] [CrossRef]
- Lim, S.S.; Vos, T.; Flaxman, A.D.; Danaei, G.; Shibuya, K.; Adair-Rohani, H.; AlMazroa, M.A.; Amann, M.; Anderson, H.R.; Andrews, K.G.; et al. A comparative risk assessment of burden of disease and injury attributable to 67 risk factors and risk factor clusters in 21 regions, 1990–2010: A systematic analysis for the Global Burden of Disease Study 2010. Lancet 2012, 380, 2224–2260. [Google Scholar] [CrossRef]
- Sokolik, I.N.; Toon, O.B. Direct radiative forcing by anthropogenic airborne mineral aerosols. Nature 1996, 381, 681–683. [Google Scholar] [CrossRef]
- Zhang, H.; Zhao, S.Y.; Wang, Z.L.; Zhang, X.Y.; Song, L.C. The updated effective radiative forcing of major anthropogenic aerosols and their effects on global climate at present and in the future. Int. J. Climatol. 2016, 36, 4029–4044. [Google Scholar] [CrossRef]
- Kramer, R.J.; He, H.; Soden, B.J.; Oreopoulos, L.; Myhre, G.; Forster, P.M.; Smith, C.J. Observational Evidence of Increasing Global Radiative Forcing. Geophys. Res. Lett. 2021, 48, e2020GL091585. [Google Scholar] [CrossRef]
- Dergiades, T.; Kaufmann, R.K.; Panagiotidis, T. Long-run changes in radiative forcing and surface temperature: The effect of human activity over the last five centuries. J. Environ. Econ. Manag. 2016, 76, 67–85. [Google Scholar] [CrossRef]
- Nakajima, T.; Sekiguchi, M.; Takemura, T.; Uno, I.; Higurashi, A.; Kim, D.; Sohn, B.J.; Oh, S.-N.; Nakajima, T.Y.; Ohta, S.; et al. Significance of direct and indirect radiative forcings of aerosols in the East China Sea region. J. Geophys. Res. Atmos. 2003, 108, 8658. [Google Scholar] [CrossRef]
- Vitale, D.; Bilancia, M. Role of the natural and anthropogenic radiative forcings on global warming: Evidence from cointegration-VECM analysis. Environ. Ecol. Stat. 2013, 20, 413–444. [Google Scholar] [CrossRef]
- Che, H.; Xia, X.; Zhu, J.; Wang, H.; Wang, Y.; Sun, J.; Zhang, X.; Shi, G. Aerosol optical properties under the condition of heavy haze over an urban site of Beijing, China. Environ. Sci. Pollut. Res. 2015, 22, 1043–1053. [Google Scholar] [CrossRef] [PubMed]
- Zhao, H.; Che, H.; Zhang, X.; Ma, Y.; Wang, Y.; Wang, X.; Liu, C.; Hou, B.; Che, H. Aerosol optical properties over urban and industrial region of Northeast China by using ground-based sun-photometer measurement. Atmos. Environ. 2013, 75, 270–278. [Google Scholar] [CrossRef]
- Pan, L.; Che, H.; Geng, F.; Xia, X.; Wang, Y.; Zhu, C.; Chen, M.; Gao, W.; Guo, J. Aerosol optical properties based on ground measurements over the Chinese Yangtze Delta Region. Atmos. Environ. 2010, 44, 2587–2596. [Google Scholar] [CrossRef]
- Che, H.; Wang, Y.; Sun, J. Aerosol optical properties at Mt. Waliguan Observatory, China. Atmos. Environ. 2011, 45, 6004–6009. [Google Scholar] [CrossRef]
- Ogunjobi, K.; He, Z.; Simmer, C. Spectral aerosol optical properties from AERONET Sun-photometric measurements over West Africa. Atmos. Res. 2008, 88, 89–107. [Google Scholar] [CrossRef]
- Zhang, M.; Gong, W.; Ma, Y.; Wang, L.; Chen, Z. Transmission and division of total optical depth method: A universal calibration method for Sun photometric measurements. Geophys. Res. Lett. 2016, 43, 2974–2980. [Google Scholar] [CrossRef]
- Xu, Q.; Zheng, X.; Li, Z.; Zhang, W.; Wang, X.; Li, J.; Li, X. Absolute spectral radiance responsivity calibration of sun photometers. Rev. Sci. Instrum. 2010, 81, 033103. [Google Scholar] [CrossRef] [PubMed]
- Redondas, A.; Nevas, S.; Berjón, A.; Sildoja, M.-M.; León-Luis, S.F.; Carreño, V.; Santana-Díaz, D. Wavelength calibration of Brewer spectrophotometer using a tunable pulsed laser and implications to the Brewer ozone retrieval. Atmos. Meas. Tech. 2018, 11, 3759–3768. [Google Scholar] [CrossRef]
- Guo, Y.; Gong, C.; Hu, Y.; Zheng, F.; Liu, Y. On-Orbit Wavelength Calibration Error Analysis of the Spaceborne Hyperspectral Greenhouse Gas Monitoring Instrument Using the Solar Fraunhofer Lines. Remote Sens. 2024, 16, 3367. [Google Scholar] [CrossRef]
- Zhai, W.; Li, J.; Zheng, X.; Li, Z.; Meng, B.; Zhang, W.; Wang, X. Research on Method of Calibrating Sun Channels of Sun Radiometers. Acta Opt. Sin. 2012, 32, 131–136. [Google Scholar]
- Bolsée, D.; Pereira, N.; Decuyper, W.; Gillotay, D.; Yu, H.; Sperfeld, P.; Pape, S.; Cuevas, E.; Redondas, A.; Hernandéz, Y.; et al. Accurate Determination of the TOA Solar Spectral NIR Irradiance Using a Primary Standard Source and the Bouguer-Langley Technique. Sol. Phys. 2014, 289, 2433–2457. [Google Scholar] [CrossRef]
- Toledano, C.; González, R.; Fuertes, D.; Cuevas, E.; Eck, T.F.; Kazadzis, S.; Kouremeti, N.; Gröbner, J.; Goloub, P.; Blarel, L.; et al. Assessment of Sun photometer Langley calibration at the high-elevation sites Mauna Loa and Izana. Atmos. Chem. Phys. 2018, 18, 14555–14567. [Google Scholar] [CrossRef]
- Kouremeti, N.; Nevas, S.; Kazadzis, S.; Gröbner, J.; Schneider, P.; Schwind, K.M. SI-traceable solar irradiance measurements for aerosol optical depth retrieval. Metrologia 2022, 59, 044001. [Google Scholar] [CrossRef]
- Li, J.Y.; Wei, H.L.; Xu, Q.S.; Zhan, J. Atmospheric aerosol optical characteristics measured at several typical zones in China. Opt. Precis. Eng. 2012, 20, 1166–1174. [Google Scholar]
- Estellés, V.; Campanelli, M.; Smyth, T.J.; Utrillas, M.P.; Martínez-Lozano, J.A. AERONET and Euroskyrad (ESR) aerosol optical depth intercomparison on Cimel CE318 and Prede POM01 radiometers. In Proceedings of the Conference on Remote Sensing of Clouds and the Atmosphere XV, Toulouse, France, 21–23 September 2010; p. 78270Y. [Google Scholar]
- Tang, X.X.; Li, J.-Y.; Xu, G.; Sun, F.-Y.; Dai, C.-M.; Wei, H.-L. Mixing Calibration Method for Spectral Sun-Photometer. Spectrosc. Spectr. Anal. 2023, 43, 2536–2542. [Google Scholar]
- Stubbs, C.W.; Doherty, P.; Cramer, C.; Narayan, G.; Brown, Y.J.; Lykke, K.R.; Woodward, J.T.; Tonry, J.L. Precise Throughput Determination of the Panstarrs Telescope and the Gigapixel Imager Using a Calibrated Silicon Photodiode and a Tunable Laser: Initial Results. Astrophys. J. Suppl. Ser. 2010, 191, 376–388. [Google Scholar] [CrossRef]
- Soria-Moya, A.; Fernández, E.F.; Almonacid, F.; Mallick, T.K. Spectral losses of high concentrator photovoltaic modules depending on latitude. AIP Conf. Proc. 2015, 1679, 050013. [Google Scholar]
- Pu, D.W.; Lagba, T.; Sheng, M.; Liu, J.; Wang, Q.; Wang, M.-M.; Zhou, Y.; Lu, H.-Y.; Tsoja, W.; Norsang, G. Surface Solar Spectral Observation Along 30° N in China. Spectrosc. Spectr. Anal. 2023, 43, 1881–1887. [Google Scholar]
- Hansen, J.E.; Travis, L.D. Light-Scattering in Planetary Atmospheres. Space Sci. Rev. 1974, 16, 527–610. [Google Scholar] [CrossRef]
- Jeong, U.; Tsay, S.; Pantina, P.; Butler, J.J.; Loftus, A.M.; Abuhassan, N.; Herman, J.R.; Dimov, A.; Holben, B.N.; Swap, R.J. Langley Calibration Analysis of Solar Spectroradiometric Measurements: Spectral Aerosol Optical Thickness Retrievals. J. Geophys. Res. Atmos. 2018, 123, 4221–4238. [Google Scholar] [CrossRef]

















| Performance Parameter | Value |
|---|---|
| Spectral Wavelength Range | 285 nm~1000 nm |
| Spectral Resolution | <2.5 nm |
| Spectral Spacing | 0.6 nm |
| Wavelength Accuracy | ±0.3 nm |
| Wavelength Repeatability | ±0.05 nm |
| Performance Parameter | Value |
|---|---|
| Spectral Wavelength Range | |
| Spectral Resolution () | |
| Spectral Spacing () | |
| Wavelength Average Value () | |
| Wavelength Accuracy () | |
| Wavelength Repeatability (s) |
| Performance Parameter | Value |
|---|---|
| Average Value of n-Time Measured Signals Va(λ) | . |
| Standard Deviion of n-Time Measured Signals sV(λ) | |
| Measur.ment Repeatability δm(λ) | |
| Signal-to-Noise Ratio SNR(λ) | |
| Spectral Responsivity K(λ) |
| Performance Parameter | Value |
|---|---|
| Tunable Wavelength Range | 285 nm~2300 nm |
| Pulse Energy (OPO) | 450 μJ |
| Pulse Duration | 3~6 ns |
| Wavelength Accuracy | 0.2 nm |
| Source of Uncertainty | Uncertainty (%) | Combined Uncertainty (%) | |
|---|---|---|---|
| GSSIM | Measurement Repeatability | 0.226 | |
| solar tracking accuracy | 0.14 (k = 1) | ||
| Light Source (Solar) | Solar Radiation Instability | 0.1 | |
| Observation Environment | atmospheric inhomogeneity | 0.2 | |
| 0.347 | |||
| Source of Uncertainty | Uncertainty (nm) | Combined Uncertainty (nm) | |
|---|---|---|---|
| GSSIM | Wavelength Repeatability | 0.003 | |
| Light Source (Solar) | Wavelength Accuracy | 0~0.2 | |
| Spectral Calibration Algorithm | Wavelength Accuracy | 0.195~0.223 | |
| 0.195~0.299 | |||
| Source of Uncertainty | Uncertainty (%) | Combined Uncertainty (%) | |
|---|---|---|---|
| GSSIM | Noise | 0.010~0.089 (k = 1.96) | |
| Spectral Calibration Uncertainty | 0.2~0.26 | ||
| Relative Radiometric Calibration Accuracy | 0.347 | ||
| Light Source (Solar) | Monthly Variation in Spaceborne SSI | 0.5 | |
| Observation Environment | atmospheric inhomogeneity | 0.31 | |
| Algorithm | 1 | ||
| 1.23~1.24 | |||
| Name | Element | Wavelength (nm) | GSSIM Central Wavelength (nm) | δλ (nm) |
|---|---|---|---|---|
| h | H-δ | 410.175 | 409.962 | 0.213 |
| e | Fe | 438.355 | 438.584 | 0.229 |
| F | H-β | 486.134 | 486.327 | 0.193 |
| E2 | Fe | 527.039 | 526.801 | 0.238 |
| B | O2 | 686.719 | 688.097 | 1.378 |
| A | O2 | 759.37 | 761.138 | 1.768 |
| Z | O2 | 822.696 | 822.866 | 0.17 |
Disclaimer/Publisher’s Note: The statements, opinions and data contained in all publications are solely those of the individual author(s) and contributor(s) and not of MDPI and/or the editor(s). MDPI and/or the editor(s) disclaim responsibility for any injury to people or property resulting from any ideas, methods, instructions or products referred to in the content. |
© 2025 by the authors. Licensee MDPI, Basel, Switzerland. This article is an open access article distributed under the terms and conditions of the Creative Commons Attribution (CC BY) license (https://creativecommons.org/licenses/by/4.0/).
Share and Cite
Li, G.; Zhou, A.; Huang, Y.; Yang, X.; Li, Z. A Study on Improved Langley Plot Calibration Methods Using Noise Reduction for Field Solar Spectral Irradiance (SSI) Observation Instruments. Remote Sens. 2025, 17, 754. https://doi.org/10.3390/rs17050754
Li G, Zhou A, Huang Y, Yang X, Li Z. A Study on Improved Langley Plot Calibration Methods Using Noise Reduction for Field Solar Spectral Irradiance (SSI) Observation Instruments. Remote Sensing. 2025; 17(5):754. https://doi.org/10.3390/rs17050754
Chicago/Turabian StyleLi, Guanrui, Aiming Zhou, Yu Huang, Xiaohu Yang, and Zhanfeng Li. 2025. "A Study on Improved Langley Plot Calibration Methods Using Noise Reduction for Field Solar Spectral Irradiance (SSI) Observation Instruments" Remote Sensing 17, no. 5: 754. https://doi.org/10.3390/rs17050754
APA StyleLi, G., Zhou, A., Huang, Y., Yang, X., & Li, Z. (2025). A Study on Improved Langley Plot Calibration Methods Using Noise Reduction for Field Solar Spectral Irradiance (SSI) Observation Instruments. Remote Sensing, 17(5), 754. https://doi.org/10.3390/rs17050754

