A Robust Direction-of-Arrival (DOA) Estimator for Weak Targets Based on a Dimension-Reduced Matrix Filter with Deep Nulling and Multiple-Measurement-Vector Orthogonal Matching Pursuit
Abstract
1. Introduction
2. Materials and Methods
2.1. Signal Model and Pre-Whitening Operation
2.1.1. Element-Space Signal Model
2.1.2. Beam-Space Signal Model and Pre-Whitening Operation
2.2. Robust DOA Estimator Based on a Matrix Filter and MOMP Algorithm
| Algorithm 1 Multiple-Measurement-Vector Orthogonal Matching Pursuit (MOMP) | |
| ine Step 1 | Input: , , . |
| ine Step 2 | Initialization: residual , subset , and . |
| ine Step 3 | At the i-th iteration step: |
| (a) Choose atom satisfying , and ; | |
| (b) Update , and ; | |
| (c) Update ; | |
| (d) If , return to step 3; if , terminate the iteration and switch to step 4. | |
| ine Step 4 | Output: The solution and residual . |
| ine | |
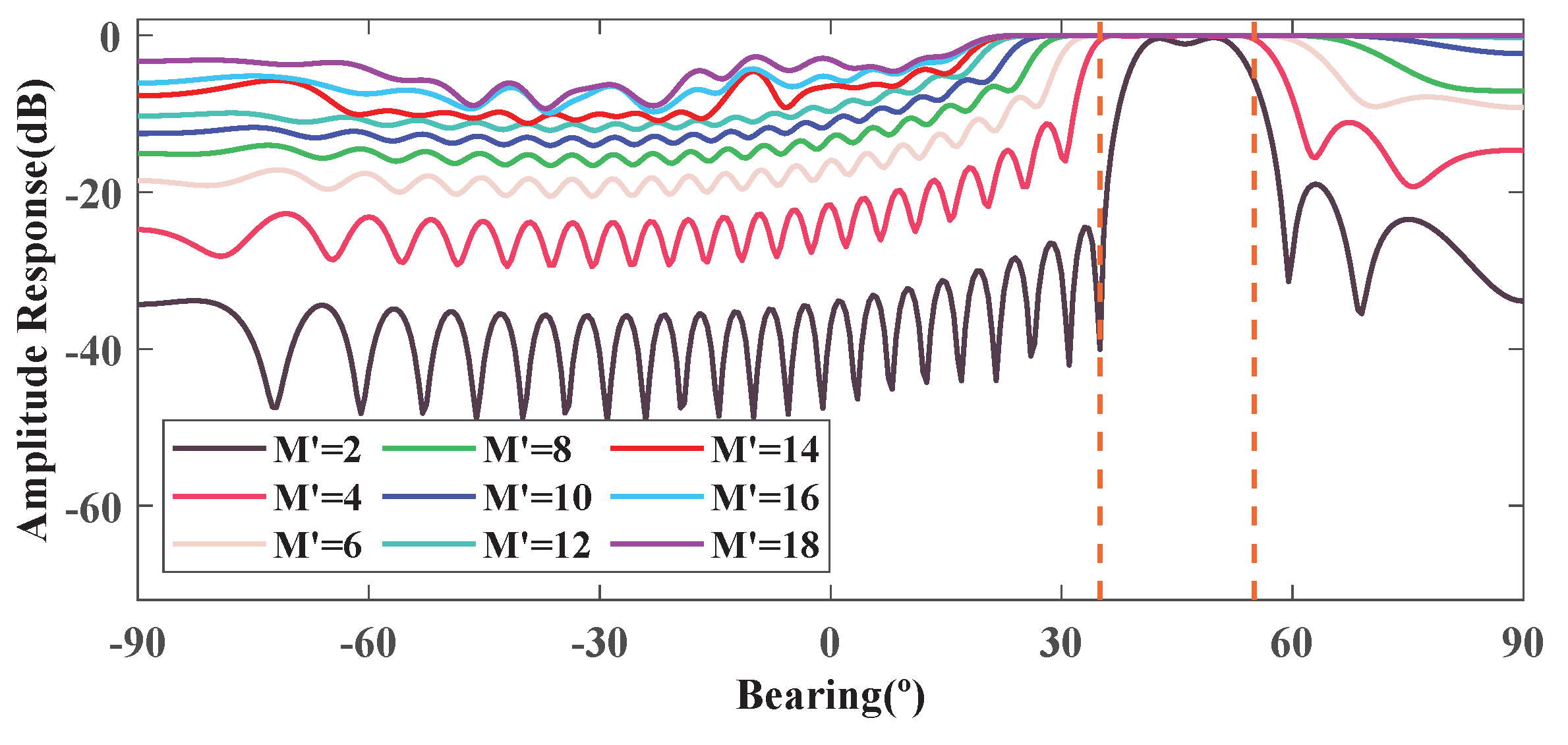
2.3. Design of Dimension-Reduced Matrix Filter with Deep Nulling
2.3.1. Design of Dimension-Reduced Matrix Filter with Nulling
2.3.2. Design of Dimension-Reduced Matrix Filter with Deep Nulling
- Step 1
- Input: , , , SA, , .
- Step 2
- Initialization: .
- Step 3
- Preprocess with MVDR algorithm [36]:(a) Search spectral peaks in stopband and record their normalized amplitudes ;(b) Record the directions corresponding to the peaks.
- Step 4
- Generate the projection matrix:(a) The sector of the main lobe where each peak is located is identified; the th sector of the main lobe is denoted as ,where and are the left and right boundary angulars of the main lobe corresponding to the th peak, respectively.(b) The projection matrix is constructed as follows: at frequency .
- Step 5
- Formulate the optimization problem:(a) Conventional form:
- Step 6
- Transform Equation (19) into SOCP form:where denotes the vectorization operator stacking the columns of a matrix on top of each other, , , ⊗ denotes the Kronecker matrix product and is an identity matrix of dimension . Substituting Equations (20)–(22) into Equation (19), Equation (19) can be rewritten as
- Step 7
- Solve the SOCP Problem: Use an SOCP solver (e.g., mosek) to solve for .
- Step 8
- Output: Reshape back to matrix form .
3. Discussion
3.1. The Influence of the GP Operation
3.2. The Performance of the DR-MFDN-MOMP with the GP Operation
3.3. The Efficiency of the Presented Algorithm
4. Results
5. Conclusions
- (1)
- The DR-MFDN effectively suppresses strong interfering sources by forming deep nulls in their directions, thereby significantly improving interference suppression and localization accuracy compared to conventional methods like DR-MFN. This enhancement is crucial for weak target detection.
- (2)
- The Gaussian pre-whitening operation prevents the transformation of white noise into colored noise, preserving the beam-space characteristics and ensuring robustness in DOA estimation. This is particularly important for maintaining accuracy in high-noise environments.
- (3)
- The MOMP algorithm, combined with the DR-MFDN, provides higher resolution and better performance in handling short snapshots compared to traditional algorithms such as MUSIC. This makes the proposed estimator more suitable for real-time applications.
- (4)
- Experimental results from both simulations and sea trials demonstrate that the presented DR-MFDN-MOMP(GP) estimator outperforms existing methods in terms of interference suppression, localization accuracy, and computational efficiency. The method is highly cost-effective and suitable for practical implementation.
Author Contributions
Funding
Data Availability Statement
Acknowledgments
Conflicts of Interest
Abbreviations
| BTRs | Bearing-Time Records |
| CMF | Conventional matrix filter |
| DOA | Direction-of-arrival |
| DR-MFDN | Dimension reduced matrix filter with deep nulling |
| DR-MFN | Dimension-reduced matrix filter with nulling |
| GP | Gaussian pre-whitening |
| INR | Interference-to-noise ratio |
| MMV | Multiple-measurement-vector |
| MOMP | Multiple-measurement-vector orthogonal matching pursuit |
| MUSIC | Multiple signal classification |
| MVDR | Minimum variance distortionless response |
| NP | None pre-whitening |
| OMP | Orthogonal matching pursuit |
| OP | Orthogonal pre-whitening |
| QMFs | Quiescent matrix filters |
| RMSE | Root-mean-square errors |
| SA | Stopband attenuation |
| SNR | Signal-to-noise ratio |
| SpSF | Sparse spectrum fitting |
| STFT | Short-time Fourier transform |
Appendix A
References
- Vaccaro, R.; Harrison, B. Optimal matrix-filter design. IEEE Trans. Signal Process. 1996, 44, 705–709. [Google Scholar] [CrossRef]
- Vaccaro, R.J.; Harrison, B.F. Matrix filters for short data records. In Proceedings of the 28th Conference on Information Sciences and Systems; Princeton University: Princeton, NJ, USA, 1994. [Google Scholar]
- Vaccaro, R.; Harrison, B. Matrix filters for passive sonar. In Proceedings of the 2001 IEEE International Conference on Acoustics, Speech, and Signal Processing, Proceedings (Cat. No.01CH37221), Salt Lake City, UT, USA, 7–11 May 2001; Volume 5, pp. 2921–2924. [Google Scholar] [CrossRef]
- Vaccaro, R.J.; Chhetri, A.; Harrison, B.F. Matrix filter design for passive sonar interference suppression. J. Acoust. Soc. Am. 2004, 115, 3010–3020. [Google Scholar] [CrossRef]
- MacInnes, C. Source localization using subspace estimation and spatial filtering. IEEE J. Ocean Eng. 2004, 29, 488–497. [Google Scholar] [CrossRef]
- Yan, S.; Ma, Y. Matched field noise suppression: A generalized spatial filtering approach. Chin. Sci. Bull. 2004, 49, 2220–2223. [Google Scholar] [CrossRef]
- Yan, S.; Hou, C.; Ma, X. Matrix spatial prefiltering approach for direction-of-arrival estimation. Chin. J. Acoust. 2007, 32, 151–157. [Google Scholar]
- Han, D.; Zhang, X.H. Optimal Matrix Filter Design with Application to Filtering Short Data Records. IEEE Signal Process. Lett. 2010, 17, 521–524. [Google Scholar] [CrossRef]
- Hassanien, A.; Elkader, S.; Gershman, A.; Wong, K. Convex optimization based beam-space preprocessing with improved robustness against out-of-sector sources. IEEE Trans. Signal Process. 2006, 54, 1587–1595. [Google Scholar] [CrossRef]
- Yang, Y.; Zhang, Y.; Yang, L. Wideband sparse spatial spectrum estimation using matrix filter with nulling in a strong interference environment. J. Acoust. Soc. Am. 2018, 143, 3891–3898. [Google Scholar] [CrossRef]
- Feng, J.; Yang, Y.; Sun, C. Adaptive spatial matrix filter design with application to DOA estimation. J. Syst. Simul. 2007, 19, 4798–4802. [Google Scholar]
- Wang, X.; Amin, M.; Wang, X.; Cao, X. Sparse Array Quiescent Beamformer Design Combining Adaptive and Deterministic Constraints. IEEE Trans. Antennas Propag. 2017, 65, 5808–5818. [Google Scholar] [CrossRef]
- Wang, X.; Aboutanios, E. Adaptive Reduced-Dimensional Beamspace Beamformer Design by Analogue Beam Selection. In Proceedings of the ICASSP 2019—2019 IEEE International Conference on Acoustics, Speech and Signal Processing (ICASSP), Brighton, UK, 12–17 May 2019; pp. 4350–4354. [Google Scholar] [CrossRef]
- Schmidt, R. Multiple emitter location and signal parameter estimation. IEEE Trans. Antennas Propag. 1986, 34, 276–280. [Google Scholar] [CrossRef]
- Yan, S. Optimal Array Signal Processing: Modal Array Processing and Direction-of-Arrival Estimation; Science Press: Beijing, China, 2018; pp. 214–223. [Google Scholar]
- Zoltowski, M.; Kautz, G.; Silverstein, S. Beamspace Root-MUSIC. IEEE Trans. Signal Process. 1993, 41, 344–364. [Google Scholar] [CrossRef]
- Gershman, A. Direction finding using beamspace root estimator banks. IEEE Trans. Signal Process. 1998, 46, 3131–3135. [Google Scholar] [CrossRef] [PubMed]
- Karabulut, G.; Kurt, T.; Yongacoglu, A. Angle of arrival detection by matching pursuit algorithm. In Proceedings of the IEEE 60th Vehicular Technology Conference, 2004. VTC2004-Fall. 2004, Los Angeles, CA, USA, 26–29 September 2004; Volume 1, pp. 324–328. [Google Scholar] [CrossRef]
- Karabulut, G.Z.; Kurt, T.; Yongaçoglu, A. Estimation of directions of arrival by matching pursuit (EDAMP). EURASIP J. Wirel. Commun. Netw. 2005, 2005, 197–205. [Google Scholar] [CrossRef]
- Cotter, S.F. Multiple snapshot matching pursuit for direction of arrival (DOA) estimation. In Proceedings of the 2007 15th European Signal Processing Conference, Poznan, Poland, 3–7 September 2007; pp. 247–251. [Google Scholar]
- Malioutov, D.; Cetin, M.; Willsky, A. A sparse signal reconstruction perspective for source localization with sensor arrays. IEEE Trans. Signal Process. 2005, 53, 3010–3022. [Google Scholar] [CrossRef]
- Fuchs, J.J. On the application of the global matched filter to DOA estimation with uniform circular arrays. IEEE Trans. Signal Process. 2001, 49, 702–709. [Google Scholar] [CrossRef]
- Model, D.; Zibulevsky, M. Signal reconstruction in sensor arrays using sparse representations. Signal Process. 2006, 86, 624–638. [Google Scholar] [CrossRef]
- Gorodnitsky, I.; Rao, B. Sparse signal reconstruction from limited data using FOCUSS: A re-weighted minimum norm algorithm. IEEE Trans. Signal Process. 1997, 45, 600–616. [Google Scholar] [CrossRef]
- Zdunek, R.; Cichocki, A. Improved M-FOCUSS Algorithm with Overlapping Blocks for Locally Smooth Sparse Signals. IEEE Trans. Signal Process. 2008, 56, 4752–4761. [Google Scholar] [CrossRef]
- Zheng, J.; Kaveh, M. Sparse Spatial Spectral Estimation: A Covariance Fitting Algorithm, Performance and Regularization. IEEE Trans. Signal Process. 2013, 61, 2767–2777. [Google Scholar] [CrossRef]
- Yang, L.; Yang, Y.; Zhu, J. Source localization based on sparse spectral fitting and spatial filtering. In Proceedings of the OCEANS 2016 MTS/IEEE Monterey, Monterey, CA, USA, 19–23 September 2016; pp. 1–4. [Google Scholar] [CrossRef]
- Chen, J.; Huo, X. Theoretical Results on Sparse Representations of Multiple-Measurement Vectors. IEEE Trans. Signal Process. 2006, 54, 4634–4643. [Google Scholar] [CrossRef]
- Tropp, J.A.; Gilbert, A.C. Signal Recovery From Random Measurements Via Orthogonal Matching Pursuit. IEEE Trans. Inf. Theory 2007, 53, 4655–4666. [Google Scholar] [CrossRef]
- Bian, Z.; Wang, H.; Gao, W.; Song, P. DOA Estimation of Broadband Sources Using Dimension-Reduced Matrix Filter with Deep Nulling in a Strong Interference Environment. J. Phys. Conf. Ser. 2024, 2718, 012094. [Google Scholar] [CrossRef]
- Trees, H.L.V. Adaptive Beamformers. In Optimum Array Processing; John Wiley & Sons, Ltd.: Hoboken, NJ, USA, 2002; Chapter 7; pp. 710–916. [Google Scholar] [CrossRef]
- Lee, H.; Wengrovitz, M. Resolution threshold of beamspace MUSIC for two closely spaced emitters. IEEE Trans. Acoust. Speech Signal Process. 1990, 38, 1545–1559. [Google Scholar] [CrossRef]
- Simon, M.K. Probability Distributions Involving Gaussian Random Variables: A Handbook for Engineers and Scientists; Springer: Boston, MA, USA, 2002; pp. 49–60. [Google Scholar] [CrossRef]
- Forster, P.; Vezzosi, G. Application of spheroidal sequences to array processing. In Proceedings of the ICASSP ’87 IEEE International Conference on Acoustics, Speech, and Signal Processing, Dallas, TX, USA, 6–9 April 1987; Volume 12, pp. 2268–2271. [Google Scholar] [CrossRef]
- Van Veen, B.; Williams, B. Structured covariance matrices and dimensionality reduction in array processing. In Proceedings of the Fourth Annual ASSP Workshop on Spectrum Estimation and Modeling, Minneapolis, MN, USA, 3–5 August 1988; pp. 168–171. [Google Scholar] [CrossRef]
- Capon, J. High-resolution frequency-wavenumber spectrum analysis. Proc. IEEE 1969, 57, 1408–1418. [Google Scholar] [CrossRef]

















| Times | 1 | 5 | 10 | 20 | 50 | 100 | |
|---|---|---|---|---|---|---|---|
| Method | |||||||
| MUSIC | 55.20 | ∖ | ∖ | ∖ | ∖ | ∖ | |
| DR-MFDN-MUSIC(GP) | 8.40 | 39.80 | 79.40 | 158.70 | 392.10 | 779.5 | |
| MOMP | 0.54 | ∖ | ∖ | ∖ | ∖ | ∖ | |
| DR-MFDN-MOMP(GP) | 0.50 | 2.50 | 4.60 | 9 | 22.8 | 44.60 | |
Disclaimer/Publisher’s Note: The statements, opinions and data contained in all publications are solely those of the individual author(s) and contributor(s) and not of MDPI and/or the editor(s). MDPI and/or the editor(s) disclaim responsibility for any injury to people or property resulting from any ideas, methods, instructions or products referred to in the content. |
© 2025 by the authors. Licensee MDPI, Basel, Switzerland. This article is an open access article distributed under the terms and conditions of the Creative Commons Attribution (CC BY) license (https://creativecommons.org/licenses/by/4.0/).
Share and Cite
Wang, S.; Wang, H.; Bian, Z.; Chen, S.; Song, P.; Su, B.; Gao, W. A Robust Direction-of-Arrival (DOA) Estimator for Weak Targets Based on a Dimension-Reduced Matrix Filter with Deep Nulling and Multiple-Measurement-Vector Orthogonal Matching Pursuit. Remote Sens. 2025, 17, 477. https://doi.org/10.3390/rs17030477
Wang S, Wang H, Bian Z, Chen S, Song P, Su B, Gao W. A Robust Direction-of-Arrival (DOA) Estimator for Weak Targets Based on a Dimension-Reduced Matrix Filter with Deep Nulling and Multiple-Measurement-Vector Orthogonal Matching Pursuit. Remote Sensing. 2025; 17(3):477. https://doi.org/10.3390/rs17030477
Chicago/Turabian StyleWang, Shoudong, Haozhong Wang, Zhaoxiang Bian, Susu Chen, Penghua Song, Bolin Su, and Wei Gao. 2025. "A Robust Direction-of-Arrival (DOA) Estimator for Weak Targets Based on a Dimension-Reduced Matrix Filter with Deep Nulling and Multiple-Measurement-Vector Orthogonal Matching Pursuit" Remote Sensing 17, no. 3: 477. https://doi.org/10.3390/rs17030477
APA StyleWang, S., Wang, H., Bian, Z., Chen, S., Song, P., Su, B., & Gao, W. (2025). A Robust Direction-of-Arrival (DOA) Estimator for Weak Targets Based on a Dimension-Reduced Matrix Filter with Deep Nulling and Multiple-Measurement-Vector Orthogonal Matching Pursuit. Remote Sensing, 17(3), 477. https://doi.org/10.3390/rs17030477
