Abstract
Detecting accurate 3D bounding boxes from LiDAR point clouds is crucial for autonomous driving. Recent studies have shown the superiority of the performance of multi-frame 3D detectors, yet eliminating the misalignment across frames and effectively aggregating spatiotemporal information are still challenging problems. In this paper, we present a novel flow-guided feature aggregation scheme for 3D object detection (FIFA3D) to align cross-frame information. FIFA3D first leverages optical flow with supervised signals to model the pixel-to-pixel correlations between sequential frames. Considering the sparse nature of bird’s-eye-view feature maps, an additional classification branch is adopted to provide explicit pixel-wise clues. Meanwhile, we utilize multi-scale feature maps and predict flow in a coarse-to-fine manner. With guidance from the estimated flow, historical features can be well aligned to the current situation, and a cascade fusion strategy is introduced to benefit the following detection. Extensive experiments show that FIFA3D surpasses the single-frame baseline with remarkable margins of mAPH and mAP on the Waymo and nuScenes validation datasets and performs well compared with state-of-the-art methods.
1. Introduction
Three-dimensional object detection is a crucial problem in environment perception in autonomous driving, where LiDAR sensors are widely adopted due to their accurate localization ability. However, LiDAR points are naturally sparse and unstructured as well as generally offer an incomplete surface with a partial view of the objects, which hinders the performance of 3D object detectors. In real-world scenarios, sensors continuously pick up multiple views of the world as the ego vehicle moves, thus providing rich spatiotemporal information of the observed objects. In this way, a full exploitation of sequential point clouds is required to facilitate 3D object detection.
Existing works have demonstrated the superiority of multi-frame 3D detectors in comparison with single-frame ones, which can be divided into two categories: point-level fusion and feature-level fusion. Point-level fusion approaches directly densify the point cloud of the current scene in a point concatenation manner [1,2,3], which is a popular strategy for boosting performance in 3D detection benchmarks on large-scale datasets [4,5]. Alternatively, several works have employed bird’s-eye-view (BEV) feature maps with a learnable fusion module for temporal aggregation. Fast-and-furious [6] attempts to fuse information across frames by concatenating at the feature map level. Later works have proposed using LSTM [7], GNN [8], or 3D convolution [9], which tend to be computationally expensive. Recently, given the powerful capability of transformer in modeling information interactions, refs. [10,11,12,13] have modified the standard attention mechanism to facilitate the full utilization of complementary information across frames and have achieved remarkable performance gains over single-frame detectors. Despite the effectiveness of the above methods, they fail to explicitly establish the temporal correlations in sequential point clouds, resulting in misalignment between historical and current frames. As illustrated in Figure 1, point fusion methods merely eliminate the misalignment induced by ego movement when combing point clouds, ignoring the negative effects on moving objects or longer time horizons. Although feature fusion methods have attempted to re-align the cross-frame information by applying recurrent layers or transformer-based architectures, object movement is not well-learned by these networks and the supervised signal is not taken into consideration for motion guidance, thus lacking an explicit temporal correlation for feature aggregation.
Figure 1.
Comparison of temporal aggregation mechanisms for sequential point clouds. (a) Point concatenation methods directly merge LiDAR points after removing the ego motion. (b) Learnable fusion methods generally apply convolution or transformer for feature aggregation on BEV maps, which aims to reduce the effect of the motion of the object between sequential frames. (c) Our FIFA3D leverages an optical flow estimation module with supervised signals and further utilizes the flow for temporal alignment.
In the image video object detection domain, optical flow serves as an effective technique that is optimized using supervised signals to learn pixel-to-pixel correlation, which motivated us to explore a flow-guided temporal aggregation scheme to advance sequential point cloud detection.
However, optical flow estimation from 2D video images is generally performed with dense and regular features. Therefore, it is not feasible to directly apply 2D approaches to 3D scenes, owing to two main facts: (1) Predicting optical flow from point clouds is computationally prohibitive, using massive amounts of sequential points as the input, and conducting alignment at the point level may not be well adapted to end-to-end 3D detectors. (2) Bird’s-eye-view feature maps in 3D detectors seem to be more appropriate representations for flow estimation, yet they are usually sparse with a large percentage of empty zones (around in the Waymo Open dataset [4]), violating the generally adopted assumptions of brightness constancy and spatial smoothness used in 2D image flow estimations [14]. Based on the above observations, how to effectively estimate optical flow and further guide temporal fusion in 3D object detection are still challenging issues.
In this paper, we present a novel yet simple flow-guided feature aggregation scheme, named FIFA3D, for 3D object detection in sequential point clouds. We introduce two key modules, namely class-aware flow estimation and flow-guided temporal aggregation, to aggregate temporal features by aligning historical frames to current ones with the help of flows. Specifically, we leverage sparse BEV feature maps instead of point clouds for flow estimation. To make the sparse BEV map denser and smoother, we adopt a foreground classification branch. The explicit pixel-wise information facilitates the modeling of the temporal correlations between sequential frames using the follow-up flow estimation network. With the help of a well-estimated optical flow, the flow-guided temporal aggregation module warps the historical frame’s features to its next frame for temporal alignment, and a simple convolution layer is applied for temporal fusion. As for long-term sequences, we adopt a cascade fusion strategy that goes through the before-mentioned process in turn. We extensively validated the effectiveness of our FIFA3D model on the Waymo Open dataset [4] and nuScenes [5] dataset. The proposed FIFA3D achieves competitive results compared with the state-of-the-art methods and surpasses previous 3D temporal detectors by remarkable margins. Extensive experiments show that our FIFA3D performs well over the state-of-the-art methods.
Our contributions can be summarized as follows:
- We propose a novel yet simple 3D object detector for sequential point clouds, which leverages optical flow with supervised signals to explicitly model the temporal correlations across frames.
- We introduce a class-aware flow estimation module for pixel-to-pixel correlation learning on sparse BEV maps, and a flow-guided temporal aggregation module for cascade feature alignment and fusion.
2. Related Work
2.1. LiDAR-Based 3D Object Detection
According to the representation of point clouds, existing LiDAR-based methods can be grouped into three categories: point-based, range-based, and grid-based.
The point-based methods [15,16,17,18] directly operate on raw sparse point clouds, utilizing point feature extractors such as PointNet [19,20] and its variants to obtain point-wise features. After feature extraction, these methods typically segment foreground points and generate proposals for each key point, enabling fine-grained 3D detection bounding boxes. However, the computational complexity of these methods often limits their scalability when dealing with large-scale datasets. Range-based methods [21,22,23], on the other hand, project LiDAR points into 2D range images. This representation allows for faster computation and compact storage, making these methods appealing for real-time applications. However, the 2D perspective often leads to a loss of spatial information and limitations on the extraction of rich features, resulting in performance that lags behind that of the point-based and grid-based approaches. Grid-based methods address above the limitations by converting irregular sparse point clouds into structured representations such as pillars [24] or voxels [25]. These representations facilitate efficient processing through 2D or 3D convolutional layers, which are well suited for regular grid-like feature maps. The detection heads for grid-based methods can be categorized into anchor-based [26,27], anchor-free [1,28], and query-based [13,29] designs, each having distinct mechanisms for predicting 3D bounding boxes on BEV feature maps. Among these, the anchor-free methods, such as CenterPoint [1], have gained popularity due to their simplicity and competitive performance. Grid-based methods dominate for large-scale datasets like Waymo [4] and nuScenes [5] due to their balance between efficiency and accuracy. Given their advantages, we selected the popular pillar-based CenterPoint [1] as the single-frame baseline for our proposed FIFA3D framework. To further enhance detection accuracy, we designednovel temporal aggregation modules that effectively leverage motion and temporal information across multiple frames, resulting in significant performance improvements.
2.2. Temporal Aggregation for LiDAR Points
Several approaches [1,2] have demonstrated that simple point concatenation methods can outperform single-frame detectors by remarkable margins, yet they merely densify the raw point clouds after removing the effect of ego motion without temporal correlation modeling. Later works attempted to fuse temporal information from BEV feature maps. 3DVID [8] uses recurrent structural networks to preserve historical features, whereas TransPillar [12] and TCT [30], respectively, use a variant of deformable transformer [31] and a channel-wise transformer for spatial–temporal feature aggregation. Other methods adopt two-stage 3D detectors and refine the 3D boxes at the proposal level. 3D-MAN [32] employs an attention mechanism to align different views from 3D proposals. MPPNet [33] carefully applies multi-frame feature encoding and interaction to greatly improve performance. These methods are not conducive to end-to-end training, and their performance is limited by the accuracy of the upper bound of the first-stage detectors. Despite the remarkable improvements in comparison to single-frame detectors, the above methods lack the consideration of explicit temporal correlation modeling with supervised signals and fail to sophisticatedly align the features between historical and current frames. In this work, we designed an optical flow estimation module to capture object movement and further used flow to guide the process of temporal feature aggregation.
2.3. Flow Estimation with Point Clouds
Optical flow has long been a critical tool for understanding the dynamic environments in temporal image data [34], enabling applications such as video object detection [35]. For 3D point clouds, the optical/scene flow is described as the motion of the same point in 3D space [36]. Scene flow estimation has been explored in various contexts, with some approaches relying on calibrated stereo image pairs [37] or RGB-D sequence images [38] to reconstruct 3D motion. Others directly operate on raw point clouds, employing either hand-crafted descriptors [39,40] or advanced end-to-end learnable networks [36,41] to estimate the motion vector of each point in 3D space. However, these methods rely on the geometric properties of multi-view images or require sophisticated network design so are not suitable for LiDAR-based detectors. For LiDAR point clouds, recent advancements have shifted toward designing scene flow estimation methods specifically tailored to point cloud sequences. For instance, certain methods utilize the temporal sequences of LiDAR frames to predict pixel-wise motion on a BEV map [42]. These BEV-based approaches have demonstrated the feasibility of motion estimation with sparse data, leveraging the structured representation of BEV maps for computational efficiency. However, most existing solutions focus on estimating motion for its own sake and do not directly address its integration into downstream tasks like 3D object detection. In this paper, we introduce a novel flow estimation module for BEV maps and utilize the estimated flow to guide the temporal aggregation for 3D object detection.
3. Methods
In this section, we introduce our proposed FIFA3D, a single-stage 3D detector designed for sequential point clouds. Figure 2 illustrates an overview of our method, which consists of four components: (a) The temporal feature encoder (Section 3.1) processes the sequential point cloud data into sparse BEV maps. (b) Class-aware flow estimation (Section 3.2) takes the BEV maps as input and predicts the flow across frames. (c) Flow-guided temporal feature aggregation (Section 3.3) leverages the estimated flow to realign the historical frames with current timestamps for feature aggregation. (d) The RPN and detection head (Section 3.4) decode the fused features and output the detection results. In the following subsections, we describe each module in detail.
Figure 2.
Overview of our flow-guided feature aggregation scheme for 3D object detection (FIFA3D) with sequential point clouds. It consists of four components: (a) a temporal feature encoder module that encodes sparse point clouds into BEV maps, (b) a class-aware flow estimation module that makes sparse BEV feature maps denser and predicts flow in a coarse-to-fine manner, (c) a flow-guided cascade temporal feature aggregation module, and (d) aggregated features are sent to an RPN decoder and a center-based head to obtain 3D bounding boxes.
3.1. Temporal Feature Encoder
One feasible approach for temporal alignment is to align the raw point cloud across frames in a point-level manner. However, with massive sequential point clouds as the input, directly modeling point-wise correlations tends to be computationally expensive. In contrast, as a commonly used representation in point cloud detection, the BEV map contains comparatively fewer pixels and is more similar to image features, which facilitates reference to the flow estimation method in the 2D domain. As such, we decided to compute the optical flow on the encoded BEV feature map.
FIFA3D takes the sequential point clouds , which are from the current frame and its historical frames T as input. To remove the effects of ego motion between frames, vehicle poses are used to translate the historical point cloud into current coordinates. Then, we sequentially voxelize the point cloud and feed it to a shared pillar-like [24] 3D encoder to obtain a set of BEV feature maps , where , H and W denote the size of the BEV maps, and D is the number of feature channels.
3.2. Class-Aware Flow Estimation
In this section, we detail the design of the class-aware flow estimation module, which aims to learn pixel-to-pixel correlations across frames with supervised signals. The module contains two parts: class-aware feature densification, which densifies the sparse BEV map with a convolution block and an additional foreground classification branch, and progressive flow estimation, which employs a multi-scale pyramid network and predicts flow in a coarse-to-fine manner.
3.2.1. Class-Aware Feature Densification
Instead of directly predicting the optical flow in BEV maps, we first attempt to make the sparse BEV feature map denser and smoother. The idea behind this is that the sparsity of a BEV feature map does not satisfy the assumption of brightness constancy or spatial smoothness used in image flow estimation [14]. Due to the occlusion between objects and the change in LiDAR scanning angle, identical objects across frames have different patterns and occupy a different number of grids in BEV maps, thus challenging the network in learning fine-grained inter-frame relationships. To address this issue, we first enrich sparse BEV feature maps with an extra foreground classification branch to facilitate the learning of the follow-up flow estimation.
Specifically, as shown in Figure 3, the sparse BEV feature maps are first input to a 2D convolution block to obtain denser features . The block contains convolution layers with different strides to learn the features of multi-scale objects, and the feature propagation process is capable of reducing the sparsity of BEV maps. Afterward, BEV maps go through a foreground classification branch to produce a set of classification maps , where , , and C is the number of the object class. Let denote the corresponding target map of and denote the rotated BEV bounding boxes of M ground-truth objects. The target map of can be formulated as
where is the k-th pixel in , is the center coordinate of the k-th pixel, and c is the class of the box. The classification branch is optimized with a focal loss [43]:
Finally, for each frame, the densified features and the predicted classification maps are concatenated along the feature dimension to generate for flow estimation. The explicit classification information makes it easier for the network to fetch instance-wise clues and establish pixel-to-pixel correlations between sequential frames, thus facilitating the learning of the following flow estimation.
Figure 3.
Network of progressive flow estimation. Combining historical feature and current feature , the optical flow is predicted in a coarse-to-fine manner.
3.2.2. Progressive Flow Estimation
Due to the variations in object size and object motion, the network requires different receptive fields for sophisticated flow estimation. Therefore, inspired by SpyNet [44], we utilize multi-scale feature maps and progressively enlarge the resolution of the predicted flow in a coarse-to-fine manner.
As shown in Figure 3, we first down-sample the feature map to , and
Then, the downsampled features of consecutive frames and i as well as initial zero-flow map are fed into the first convolution block to obtain a coarse flow .
where consists of three convolution layers with a kernel size, followed by the BatchNorm and ReLU layers, and .
To estimate weak motion between consecutive frames and refine the optical flow predicted from the lower-resolution frames, the coarse flow is firstly upsampled to the original scale via bilinear interpolation U. Then, we warp feature with optical flow and obtain feature map .
where the warp function W is implemented with a grid sample. Afterward, feature maps and as well as optical flow map are concatenated and fed into the second convolution block to predict residual flow .
where , and has the same structure as . Finally, the optical flow between frame and i is the sum of and .
During network training, the corresponding target flow is calculated from the annotations of sequential frames. The optical flow of the background pixels is set to zero. For foreground pixels, we first find the identical object in the historical frames based on track IDs and then calculate the target flow according to the change in the row and column indices of each pixel located in the bounding box. For example, when a 3D bounding box exists in both the current frame and a historical frame, the bounding box in the historical frame is first transformed into the coordinate system of the current frame using the ego pose matrix. Next, the row and column indices of the pixels falling within this bounding box in the BEV map are identified. By computing the offset of the center points and the heading difference of the bounding boxes between the transformed historical frame and the current frame, a transformation matrix is constructed. This matrix can then be applied to calculate the row and column indices of the bounding box in the current frame. Finally, the difference in row and column indices between the historical and current frames can be used to derive the ground truth of the optical flow. If the object only appears once in two sequential frames, the flow of the corresponding pixels is set to zero. In FIFA3D, we use the L2 loss to supervise the training of the flow estimation network.
3.3. Flow-Guided Temporal Aggregation
Equipped with the estimated optical flow set , we are capable of explicitly realigning the historical features to the current timestamp. Specifically, with features and of two consecutive frames and i as well as their corresponding optical flow , historical feature could be propagated to the timestamp of frame i by using the motion of each pixel, which can be formalized as
Because the value of the estimated flow is a floating number, bilinear interpolation is adopted here to preserve the exact spatial locations. Figure 4 illustrates an example of the feature warping process corresponding to a moving object. Thanks to the pixel-wise offsets provided by the optical flow, we can observe that the corresponding features of the objects in the historical frames could be well aligned to the current time, thus enriching the current features with aligned temporal information for accurate object localization.
Figure 4.
An example of the feature warping process. For a moving object (magnified in white box) in consecutive frames, with the guidance of the estimated optical flow (blue arrows), the corresponding historical features can be well aligned to the current frame.
To leverage multiple historical frames, we employ a cascade fusion strategy, as shown in Figure 5, for multi-frame temporal aggregation. After historical feature alignment, the network is no longer required to learn the correlations across frames. As a consequence, instead of employing a cumbersome 3D convolution or a deformable transformer, we adopt a simple 2D convolution layer, followed by BatchNorm and ReLU for temporal fusion. Here, we formally have
where is the location of the pixel, is the fused feature map, and I is a convolution layer. To fuse the features in long-term sequences, we repeat the above fusion steps from frame and propagate the features forward to the current frame in turn. Finally, we obtain feature map O from the fusion module.
Figure 5.
The structure of flow-guided temporal aggregation. We use a cascade temporal feature aggregation strategy. For example, when three feature maps are used as the input, the optical flow is used to aggregate the feature maps and . Then, the fused feature maps and are aggregated under the guidance of , and output is obtained.
3.4. RPN and Detection Head
After obtaining the fused feature maps O, following PointPillars [24] and CenterPoint [1], feature O is fed into an RPN-like [45] network to decode the features, and then a center-based head is used to predict the 3D bounding boxes in the form of . We use focal loss [43] for classification and L1 loss for regression. The total loss used in FIFA3D is the weighted sum of the loss from both the flow estimation and detection head:
where and denote the loss in the detection head. The loss weights , , , and were experimentally set as [1, 2, 1, 2], respectively.
4. Experiments
The proposed FIFA3D was evaluated on the large-scale Waymo dataset [4] and nuScenes dataset [5]. In Section 4.1, we introduce the details of the datasets and implementation. The performance of our FIFA3D model on the Waymo and nuScenes datasets is presented in Section 4.2, including both visualized and quantitative results.
4.1. Experimental Setup
4.1.1. Waymo Open Dataset
The Waymo Open dataset is a large-scale autonomous driving dataset, which used five cameras and five 64-beam LiDAR sensors for data acquisition. There are a total of 798 training scenes, 202 validation scenes, and 150 testing scenes. Data collection and 3D annotations were both conducted at a 10 Hz frequency with four classes, i.e., vehicle, pedestrian, cyclist, and sign. During network training and inference, the detection range was set to [−74.88 m, 74.88 m] on the X and Y axes as well as [−2 m, 4 m] on the Z axis with a pillar size of (0.32 m, 0.32 m, 6 m).
During network evaluation, we used the official evaluation metrics [4] mAP and mAPH, and we report two difficulty levels: LEVEL 1 (L1) for boxes with more than five LiDAR points and LEVEL 2 (L2) for boxes with at least one LiDAR point.
where is the P/R curve; is computed similar to , but each true positive is weighted by the heading accuracy. The average precision () metric was used to evaluate object detection accuracy without considering the positive or negative sign of the heading angle. In contrast, the average precision with heading () metric takes into account the heading angle’s sign when evaluating detection performance. Both metrics were calculated based on the precision–recall (PR) curve, where the area under the curve was computed by dividing it into 100 segments. When determining true positives, the 3D intersection-over-union (IoU) thresholds were set to 0.7, 0.5, and 0.5 for the vehicle, pedestrian, and cyclist categories, respectively. In this study, we used the default parameter settings to calculate the accuracy metrics AP and APH.
4.1.2. nuScenes Dataset
nuScenes is also a large-scale dataset used for autonomous driving research and contains more annotated categories than the Waymo dataset. The dataset was collected with a 32-beam LiDAR and six cameras and is divided into 700, 150, and 150 scenes for training, validation, and testing, respectively. The acquisition frequency of the LiDAR was 20 Hz, and 3D bounding boxes were annotated at 2 Hz. In FIFA3D, the detection range was set as [−51.2 m, 51.2 m] for the X and Y axes and [−5 m, 3 m] for the Z axis. The size of the pillar was set as (0.2 m, 0.2 m, 8 m). We followed the practice of concatenating points from the associated sweeps with the key frame to form one input frame.
During network evaluation, we followed the official evaluation protocol and used and as evaluation metrics to report the results on the nuScenes dataset [5].
where (unit in meters), and the set of classes is . When calculating true positives (TPs), the center point distance error between the predicted box and the ground-truth box was used as the criterion. Four threshold values were defined to determine whether a prediction qualified as a true positive. The was then obtained by computing the area under the PR curve for each threshold.
where . Average translation error () is the Euclidean center distance in 2D (units in meters). Average scale error () is the 3D IOU after aligning orientation and translation (). Average orientation error () is the smallest yaw angle difference between the prediction and ground truth. Average velocity error () is the absolute velocity error as the L2 norm of the velocity differences in 2D (m/s). Average attribute error () is defined as one minus attribute classification accuracy. All these metrics were computed as the mean values across all classes. In this study, we used the default parameter settings to calculate the accuracy metrics on the nuScenes dataset, including mAP and NDS.
4.1.3. Implementation Details
We used the same 3D backbone, detection head, and training schedules as in [1,24]. For G in the class-aware feature densification module, we used three 2D convolution layers with a 3 kernel size and strides as well as three upsample convolution layers with strides . Additionally, when the length of the input frame was larger than 2, the network of progressive flow estimation was shared between different two consecutive frames. We trained our model using the adamW optimizer with a one-cycle policy. During training, we conducted data augmentation via random flipping along both the X and Y axes, global scaling, global rotation, and random global translation. GT sampling data augmentation [26] was also adopted by extending it to sequential frames. On the Waymo dataset, we trained our model with a batch size of 16 and an initial learning rate of for 30 epochs on 8 V100 GPUs. On the nuScenes dataset, the initial learning rate and epochs were set to and 20, respectively.
4.2. Main Results
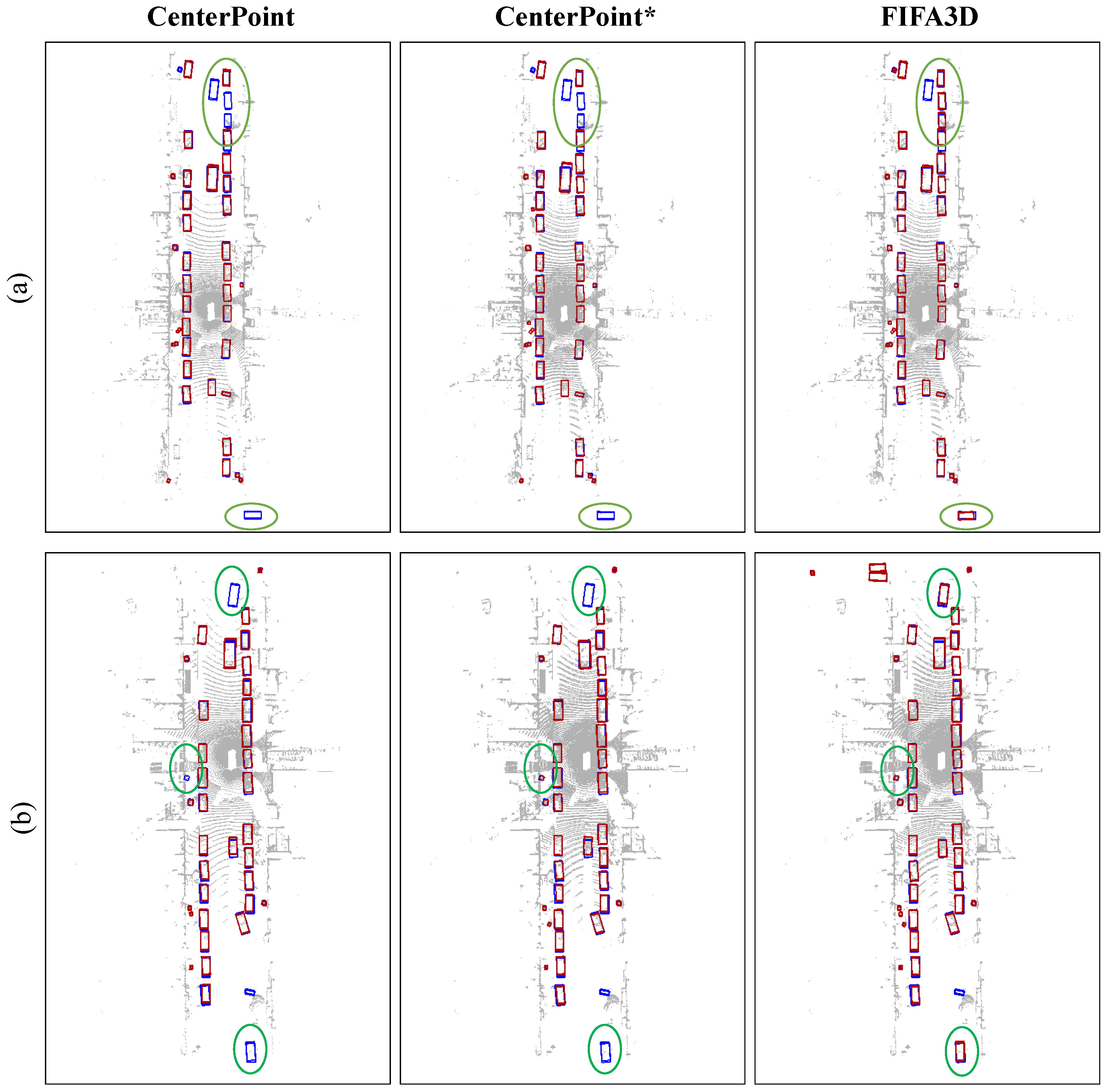
We present the qualitative results in Figure 6 and Figure 7 in the comparison of three detectors, i.e, the single-frame detector CenterPoint [1], Centerpoint* with two-frame point concatenation, and our FIFA3D. Figure 6 and Figure 7 shows that our approach successfully detected the objects in challenging scenes, where blue boxes denote the ground truth, and red boxes denote the predictions. Equipped with our flow-guided temporal aggregation method, our FIFA3D significantly outperformed the other two methods in mitigating false predictions. Meanwhile, we also provide the quantitative evaluation results on both the Waymo [4] and nuScenes [5] datasets to further validate the effectiveness of the FIFA3D model.
Figure 6.
Qualitative results on the Waymo dataset in urban scenarios (a,b). Blue boxes denote ground truth, and red boxes denote the predictions. Green ovals represent the objects that FIFA3D successfully detected but the other two methods failed to detect. * represents using 2-frame point cloud concatenation as input.
Figure 7.
Qualitative results on the Waymo dataset in rural (a) and highway-like (b) scenarios. Blue boxes denote ground truth, and red boxes denote the predictions. Green ovals represent objects that FIFA3D successfully detected but the other two methods failed to detect. * represents using 2-frame point clouds concatenation as input.
4.2.1. Waymo Results
Table 1 shows the results of our proposed FIFA3D and other state-of-the-art models on the validation set. The CenterPoint-Pillar (CenterPoint for short) [1] was set as our single-frame baseline. For a fair comparison, we compared our FIFA3D with models that use a pillar-based backbone but use different temporal fusion methods. CenterPoint [1] represents the point-level fusion methods that directly concatenate sequential point clouds as the input. TransPillars [12] fuses temporal information in BEV feature maps with a modified deformable transformer block, while INT [46] employs both point-level and feature-level information. 3D-MAN [32] is a two-stage detector that fuses temporal proposals from the first stage. Compared with the single-frame baseline, our approach obtained significant gains of in mAPH for vehicles, in mAPH for pedestrians, and in mAPH for cyclists at L2 difficulty when only using two frames, indicating the effectiveness of leveraging temporal information to facilitate 3D object detection. Moreover, the performance of our method surpassed that of CenterPoint [1] and INT [46] under a two-frame setting with large margins, which demonstrates the superiority of our flow-guided temporal aggregation that explicitly realigns features across frames. When leveraging four-frame point clouds as the input, FIFA3D achieved a state-of-the-art result with a L2 mAPH for vehicle, a mAPH for pedestrian, and a APH for cyclist, and it outperformed the other pillar-based temporal 3D detectors with longer point sequences.
Table 1.
Performance comparison on the Waymo validation set. We report L1 and L2 mAP (%) and mAPH (%) for three categories. †: re-implemented with MMDetection3D. ‡: re-implemented with OpenPCDet. * from the official website https://github.com/tianweiy/CenterPoint/tree/master/configs/waymo (accessed on 6 January 2025). R: result-level temporal fusion. P: point-level temporal fusion. F: feature-level temporal fusion. The bold values indicate the best performance in each level.
4.2.2. nuScenes Results
To further verify the effectiveness and robustness of our proposed method, we conducted a comprehensive evaluation of FIFA3D on another widely recognized and challenging dataset, nuScenes [5]. In Table 2 and Table 3, we report the results of FIFA3D and other multi-frame 3D detectors on the validation and testing sets. Importantly, to ensure a fair and consistent evaluation, all the compared methods are pillar-based models that adopt various temporal fusion strategies. Particularly, 3DVID [8] incorporates a ConvGRU module to capture temporal dependencies, while TCT [30] employs a channel-wise transformer to aggregate sequential feature maps effectively. These advanced techniques highlight the significance of leveraging temporal information in multi-frame 3D object detection. However, despite these efforts, our FIFA3D method significantly outperforms these approaches, demonstrating its superior capacity for capturing and utilizing temporal information.
Table 2.
Performance on nuScenes testing set. We report the overall mAP, NDS, and mAP for each class. T.C. presents the traffic cone class. Moto. and Cons. denote for the motorcycle and construction vehicle classes, respectively. Frames represents the sum of the key frame and associated sweeps. The bold values indicate the best performance in each category.
Table 3.
Performance on nuScenes validation set. We report the overall mAP and NDS. *: from the official website https://github.com/tianweiy/CenterPoint/tree/master/configs/nusc (accessed on 6 January 2025). †: re-implemented with MMDetection3D. The bold numbers highlight the best accuracy across all those methods.
On the validation set, our FIFA3D achieved a remarkable improvement over the single-frame baseline, with a +6.8% increase in mAP and a +3.9% boost in NDS. These results emphasize the effectiveness of our flow-guided feature aggregation module, which aligns historical features to the current frame with high precision, enabling efficient and accurate fusion. The substantial gains in performance validate the importance of temporal feature alignment in enhancing detection accuracy and robustness. Furthermore, on the testing set, FIFA3D achieved outstanding results, setting a new benchmark with a 57.8% mAP and a 64.9% NDS. These improvements underline the generalization capability of our method across diverse scenarios on the nuScenes dataset [5]. The results also highlight the advantage of our proposed flow-guided feature aggregation module over prior temporal fusion strategies, such as ConvGRU and transformers, achieved by effectively leveraging temporal consistency and spatial alignment across frames. The results on the nuScenes dataset demonstrate both the effectiveness and generalization of our FIFA3D.
4.2.3. Runtime Results
Table 4 presents a comprehensive analysis of the memory consumption and runtime performance across various configurations. In FIFA3D, ego-motion compensation for historical frames is performed directly on raw point cloud data, a process referred to as point-ego. However, for real-world applications where faster inference is critical, an alternative approach is to store historical BEV features in memory and compensate for ego motion at the BEV feature map level, denoted as BEV-ego. This approach reduces computational latency by approximately 30 ms, making it more suitable for scenarios requiring real-time responsiveness. Furthermore, as the number of input frames increases from two to four, FIFA3D demonstrates improved accuracy, attributed to its ability to leverage temporal information more effectively. While this enhancement leads to a slight increase in memory consumption, the latency rises by only 25 ms, indicating a favorable trade-off between performance and computational efficiency. When compared to the baseline models, FIFA3D consistently achieved superior results. Specifically, it delivered a +5.7% improvement in the L2 mAPH over the CenterPoint [1], with a marginal increase of just 10 ms in latency. Similarly, FIFA3D outperformed INT [46] with a +5.6% gain in L2 mAPH, incurring only an additional 6 ms latency. These results highlight FIFA3D’s effectiveness in balancing accuracy and runtime efficiency, making it a compelling choice for temporal 3D object detection in practical applications.
Table 4.
Runtime comparison on the Waymo dataset. The latency was tested based using an NVIDIA RTX3090 GPU. Point-ego removes ego motion at the point cloud level, while BEV-ego removes ego motion at the BEV feature map level.
5. Discussion
We conducted extensive ablation studies on the Waymo dataset to analyze the effects of class-aware optical flow estimation and temporal feature aggregation. For efficiency, the length of the point cloud sequences was set to two, and we only report the accuracy on the vehicle class. All the methods were trained on a subset of the training set without ground-truth sampling data augmentation and were evaluated on the whole validation set.
5.1. Effects of Class-Aware Flow Estimation
We analyze the architecture design of our class-aware flow estimation in Table 5. As illustrated in (a) and (b), replacing the feature concatenation method with our flow-guided temporal fusion yielded an improvement of in the L1 mAPH and in the L2 mAPH, which indicates the significance of temporal alignment in sequential 3D object detection. By comparing (b) and (c), we observe that the additional classification branch further achieved a L2 mAPH performance gain by addressing the challenge of flow estimation with sparse BEV feature maps. The predicted classification map provides instance-wise information for each frame and helps to establish pixel-to-pixel correlations across frames, thus enhancing the learning of flow estimation.
Table 5.
Analysis of architecture design of our class-aware flow estimation module. Concat: BEV feature maps concatenated along the channel dimension. Cls.: predicts the classification of each pixel before estimating the optical flow. The bold values indicate the best performance in each level.
5.2. Effects of Temporal Fusion Methods
We compare different temporal fusion methods and fusion schemes in Table 6. The observations are summarized as follows:
Table 6.
Comparisons of different feature aggregation methods. FC: feature concatenation. D.T.: deformable transformable. DCN: deformable convolution. The bold values indicate the best performance in each level.
(1) Comparison of temporal correlation modeling (d, e, f, g): In addition to the feature concatenation methods, deformable transformer and deformable convolution currently serve as popular methods to model temporal correlations across frames. Comparing (e) and (f) with (d), we note performance gaps of in the L2 mAPH and in the L2 mAPH, respectively. Although both methods attempt to learn the offset to focus on different local regions according to the motion of objects, they lack an additional supervision signal for feature alignment. In FIFA3D, the optical flow is optimized with supervised signals to guide network learning. As a consequence, the performance of our model is dramatically boosted by and for the L1 and L2 mAPH.
(2) Comparison of fusion schemes (g, h, i): After flow-guided historical feature alignment, we adopted a convolution layer for multi-frame fusion. We also attempted to adopt a deformable transformer and deformable convolution, but unfortunately, we observed slight performance drops ( and for L2 mAPH, respectively) in comparison with simple convolutions. The results suggest that aligning temporal features is of great significance for sequential 3D object detection, and, once features are realigned, simple concatenation and convolution are capable of carrying out the fusion process.
5.3. Effects of Different Input Sequence Lengths
Table 7 shows the performance of the FIFA3D and feature concatenation method with different input sequence lengths. Both methods are observed continuous performance gains as the increase of sequence length. However, our FIFA3D shows consistent superiority over the feature concatenation method and our 2-frame result even surpasses its 4-frame setting with L2 mAPH. The results demonstrate the ability of multi-frame point clouds to boost the performance of 3D detectors and the superiority of our flow-guided method to align and fuse the sequential features over a longer time period.
Table 7.
Comparisons of different input sequence lengths. We report the L2 mAP/mAPH for vehicle detection. FC: feature concatenation along channel dimension.
5.4. Superiority of Flow-Guided Temporal Aggregation
To further demonstrate the ability of FIFA3D to model temporal correlations, we conducted the following experiments: both the feature concatenation method and our FIFA3D were first trained with two consecutive frames in intervals of one, and then we evaluated them with two-frame point clouds at different intervals. As illustrated in Figure 8, as the interval increased, the accuracy of the feature concatenation method showed a clear downward trend, whereas our method showed a slower performance drop and surprisingly obtained the best result with an interval of two. This phenomenon indicates that our method is comparatively more flexible and is capable of dealing with arbitrary intervals although it was trained with a fixed one. Meanwhile, the result suggests that choosing appropriate frame intervals could maximize the information variability in sequential point clouds and consequently improve performance.
Figure 8.
Comparisons of different intervals of two-framespoint clouds. FC: feature concatenation along channel dimension. The dashed lines indicate the trend of changes, and the dots represent individual data points.
6. Conclusions
In this work, we presented FIFA3D, a novel end-to-end single-stage model for detecting 3D objects from temporal point clouds in autonomous driving scenes. To address the issue of temporal misalignment between sequential frames, we introduced a flow-guided feature aggregation scheme to align cross-frame information, where a class-aware flow estimation module was designed to predict the flow from sequential sparse BEV feature maps to guide the process of cascade feature aggregation. Extensive experiments on the Waymo [4] and nuScenes [5] datasets demonstrated that our proposed designs provide significantly improved performance compared with the previous state-of-the-art methods.
Author Contributions
Conceptualization, R.M. and C.W.; methodology, R.M.; validation, R.M., C.W., and Y.Z.; writing—original draft preparation, R.M.; writing—review and editing, C.W., Y.Z., H.X., Q.Z., Q.H., and X.Z.; visualization, C.W.; supervision, and B.L.; funding acquisition, C.C. All authors have read and agreed to the published version of this manuscript.
Funding
This work was funded by the National Key RESEARCH and Development Program (No. 2022YFB3904101).
Data Availability Statement
The data presented in this study are openly available from the official website of the Waymo open dataset (https://waymo.com/open/download/ (accessed on 6 January 2025)) and the nuScenes dataset (https://www.nuscenes.org/ (accessed on 6 January 2025)).
Conflicts of Interest
R.M. is employed by GAC R&D Center, Guangzhou Automobile Group Co., Ltd. C.W., Y.Z., H.X., Q.H., and X.Z. are employed by Huawei Technologies Co., Ltd. The remaining authors declare that this research was conducted in the absence of any commercial or financial relationships that could be construed as potential conflicts of interest.
References
- Yin, T.; Zhou, X.; Krahenbuhl, P. Center-based 3D object detection and tracking. In Proceedings of the IEEE/CVF Conference on Computer Vision and Pattern Recognition (CVPR), Nashville, TN, USA, 20–25 June 2021; pp. 11784–11793. [Google Scholar]
- Hu, Y.; Ding, Z.; Ge, R.; Shao, W.; Huang, L.; Li, K.; Liu, Q. Afdetv2: Rethinking the necessity of the second stage for object detection from point clouds. In Proceedings of the AAAI Conference on Artificial Intelligence, Vancouver, BC, Canada, 22 February–1 March 2022; Volume 36, pp. 969–979. [Google Scholar]
- Fan, L.; Pang, Z.; Zhang, T.; Wang, Y.X.; Zhao, H.; Wang, F.; Wang, N.; Zhang, Z. Embracing single stride 3D object detector with sparse transformer. In Proceedings of the IEEE/CVF Conference on Computer Vision and Pattern Recognition (CVPR), New Orleans, LA, USA, 18–24 June 2022; pp. 8458–8468. [Google Scholar]
- Sun, P.; Kretzschmar, H.; Dotiwalla, X.; Chouard, A.; Patnaik, V.; Tsui, P.; Guo, J.; Zhou, Y.; Chai, Y.; Caine, B.; et al. Scalability in perception for autonomous driving: Waymo open dataset. In Proceedings of the IEEE/CVF Conference on Computer Vision and Pattern Recognition (CVPR), Seattle, WA, USA, 14–19 June 2020; pp. 2446–2454. [Google Scholar]
- Caesar, H.; Bankiti, V.; Lang, A.H.; Vora, S.; Liong, V.E.; Xu, Q.; Krishnan, A.; Pan, Y.; Baldan, G.; Beijbom, O. nuscenes: A multimodal dataset for autonomous driving. In Proceedings of the IEEE/CVF Conference on Computer Vision and Pattern Recognition (CVPR), Seattle, WA, USA, 14–19 June 2020; pp. 11621–11631. [Google Scholar]
- Luo, W.; Yang, B.; Urtasun, R. Fast and furious: Real time end-to-end 3D detection, tracking and motion forecasting with a single convolutional net. In Proceedings of the IEEE Conference on Computer Vision and Pattern Recognition (CVPR), Salt Lake City, UT, USA, 18–22 June 2018; pp. 3569–3577. [Google Scholar]
- Huang, R.; Zhang, W.; Kundu, A.; Pantofaru, C.; Ross, D.A.; Funkhouser, T.; Fathi, A. An lstm approach to temporal 3D object detection in lidar point clouds. In Proceedings of the European Conference on Computer Vision (ECCV), Glasgow, UK, 23–28 August 2020; pp. 266–282. [Google Scholar]
- Yin, J.; Shen, J.; Guan, C.; Zhou, D.; Yang, R. Lidar-based online 3D video object detection with graph-based message passing and spatiotemporal transformer attention. In Proceedings of the IEEE/CVF Conference on Computer Vision and Pattern Recognition (CVPR), Seattle, WA, USA, 14–19 June 2020; pp. 11495–11504. [Google Scholar]
- Emmerichs, D.; Pinggera, P.; Ommer, B. VelocityNet: Motion-Driven Feature Aggregation for 3D Object Detection in Point Cloud Sequences. In Proceedings of the 2021 IEEE International Conference on Robotics and Automation (ICRA), Xi’an, China, 30 May–5 June 2021; pp. 13279–13285. [Google Scholar]
- Zeng, Y.; Zhang, D.; Wang, C.; Miao, Z.; Liu, T.; Zhan, X.; Hao, D.; Ma, C. LIFT: Learning 4D LiDAR Image Fusion Transformer for 3D Object Detection. In Proceedings of the IEEE/CVF Conference on Computer Vision and Pattern Recognition (CVPR), New Orleans, LA, USA, 18–24 June 2022; pp. 17172–17181. [Google Scholar]
- Li, Z.; Wang, W.; Li, H.; Xie, E.; Sima, C.; Lu, T.; Yu, Q.; Dai, J. BEVFormer: Learning Bird’s-Eye-View Representation from Multi-Camera Images via Spatiotemporal Transformers. arXiv 2022, arXiv:2203.17270. [Google Scholar]
- Luo, Z.; Zhang, G.; Zhou, C.; Liu, T.; Lu, S.; Pan, L. TransPillars: Coarse-to-Fine Aggregation for Multi-Frame 3D Object Detection. arXiv 2022, arXiv:2208.03141. [Google Scholar]
- Zhou, Z.; Zhao, X.; Wang, Y.; Wang, P.; Foroosh, H. CenterFormer: Center-based Transformer for 3D Object Detection. arXiv 2022, arXiv:2209.05588. [Google Scholar]
- Black, M.J.; Anandan, P. A framework for the robust estimation of optical flow. In Proceedings of the 1993 (4th) International Conference on Computer Vision (ICCV), Berlin, Germany, 11–14 May 1993; pp. 231–236. [Google Scholar]
- Shi, S.; Wang, X.; Li, H. Pointrcnn: 3D object proposal generation and detection from point cloud. In Proceedings of the IEEE/CVF Conference on Computer Vision and Pattern Recognition (CVPR), Long Beach, CA, USA, 15–20 June 2019; pp. 770–779. [Google Scholar]
- Yang, Z.; Sun, Y.; Liu, S.; Jia, J. 3dssd: Point-based 3D single stage object detector. In Proceedings of the IEEE/CVF Conference on Computer Vision and Pattern Recognition (CVPR), Seattle, WA, USA, 14–19 June 2020; pp. 11040–11048. [Google Scholar]
- Zhang, Y.; Hu, Q.; Xu, G.; Ma, Y.; Wan, J.; Guo, Y. Not all points are equal: Learning highly efficient point-based detectors for 3D lidar point clouds. In Proceedings of the IEEE/CVF Conference on Computer Vision and Pattern Recognition (CVPR), New Orleans, LA, USA, 18–24 June 2022; pp. 18953–18962. [Google Scholar]
- Fan, L.; Wang, F.; Wang, N.; Zhang, Z. Fully Sparse 3D Object Detection. arXiv 2022, arXiv:2207.10035. [Google Scholar]
- Qi, C.R.; Su, H.; Mo, K.; Guibas, L.J. Pointnet: Deep learning on point sets for 3D classification and segmentation. In Proceedings of the IEEE Conference on Computer Vision and Pattern Recognition (CVPR), Honolulu, HI, USA, 21–26 July 2017; pp. 652–660. [Google Scholar]
- Qi, C.R.; Yi, L.; Su, H.; Guibas, L.J. Pointnet++: Deep hierarchical feature learning on point sets in a metric space. Adv. Neural Inf. Process. Syst. 2017, 30. [Google Scholar]
- Chai, Y.; Sun, P.; Ngiam, J.; Wang, W.; Caine, B.; Vasudevan, V.; Zhang, X.; Anguelov, D. To the point: Efficient 3D object detection in the range image with graph convolution kernels. In Proceedings of the IEEE/CVF Conference on Computer Vision and Pattern Recognition (CVPR), Virtual, 19–25 June 2021; pp. 16000–16009. [Google Scholar]
- Fan, L.; Xiong, X.; Wang, F.; Wang, N.; Zhang, Z. Rangedet: In defense of range view for lidar-based 3D object detection. In Proceedings of the IEEE/CVF International Conference on Computer Vision (ICCV), Montreal, QC, Canada, 11–17 October 2021; pp. 2918–2927. [Google Scholar]
- Tian, Z.; Chu, X.; Wang, X.; Wei, X.; Shen, C. Fully Convolutional One-Stage 3D Object Detection on LiDAR Range Images. arXiv 2022, arXiv:2205.13764. [Google Scholar]
- Lang, A.H.; Vora, S.; Caesar, H.; Zhou, L.; Yang, J.; Beijbom, O. Pointpillars: Fast encoders for object detection from point clouds. In Proceedings of the IEEE/CVF Conference on Computer Vision and Pattern Recognition (CVPR), Long Beach, CA, USA, 16–20 June 2019; pp. 12697–12705. [Google Scholar]
- Zhou, Y.; Tuzel, O. Voxelnet: End-to-end learning for point cloud based 3D object detection. In Proceedings of the IEEE Conference on Computer Vision and Pattern Recognition (CVPR), Salt Lake City, UT, USA, 18–22 June 2018; pp. 4490–4499. [Google Scholar]
- Yan, Y.; Mao, Y.; Li, B. Second: Sparsely embedded convolutional detection. Sensors 2018, 18, 3337. [Google Scholar] [CrossRef] [PubMed]
- Shi, S.; Guo, C.; Jiang, L.; Wang, Z.; Shi, J.; Wang, X.; Li, H. Pv-rcnn: Point-voxel feature set abstraction for 3D object detection. In Proceedings of the IEEE/CVF Conference on Computer Vision and Pattern Recognition (CVPR), Seattle, WA, USA, 14–19 June 2020; pp. 10529–10538. [Google Scholar]
- Ma, R.; Chen, C.; Yang, B.; Li, D.; Wang, H.; Cong, Y.; Hu, Z. CG-SSD: Corner guided single stage 3D object detection from LiDAR point cloud. ISPRS J. Photogramm. Remote Sens. 2022, 191, 33–48. [Google Scholar] [CrossRef]
- Bai, X.; Hu, Z.; Zhu, X.; Huang, Q.; Chen, Y.; Fu, H.; Tai, C.L. Transfusion: Robust lidar-camera fusion for 3D object detection with transformers. In Proceedings of the IEEE/CVF Conference on Computer Vision and Pattern Recognition (CVPR), New Orleans, LA, USA, 18–24 June 2022; pp. 1090–1099. [Google Scholar]
- Yuan, Z.; Song, X.; Bai, L.; Wang, Z.; Ouyang, W. Temporal-channel transformer for 3D lidar-based video object detection for autonomous driving. IEEE Trans. Circuits Syst. Video Technol. 2021, 32, 2068–2078. [Google Scholar] [CrossRef]
- Zhu, X.; Su, W.; Lu, L.; Li, B.; Wang, X.; Dai, J. Deformable detr: Deformable transformers for end-to-end object detection. arXiv 2020, arXiv:2010.04159. [Google Scholar]
- Yang, Z.; Zhou, Y.; Chen, Z.; Ngiam, J. 3D-man: 3D multi-frame attention network for object detection. In Proceedings of the IEEE/CVF Conference on Computer Vision and Pattern Recognition (CVPR), Virtual, 19–25 June 2021; pp. 1863–1872. [Google Scholar]
- Chen, X.; Shi, S.; Zhu, B.; Cheung, K.C.; Xu, H.; Li, H. MPPNet: Multi-Frame Feature Intertwining with Proxy Points for 3D Temporal Object Detection. arXiv 2022, arXiv:2205.05979. [Google Scholar]
- Dosovitskiy, A.; Fischer, P.; Ilg, E.; Hausser, P.; Hazirbas, C.; Golkov, V.; Van Der Smagt, P.; Cremers, D.; Brox, T. Flownet: Learning optical flow with convolutional networks. In Proceedings of the IEEE International Conference on Computer Vision (ICCV), Santiago, Chile, 7–13 December 2015; pp. 2758–2766. [Google Scholar]
- Zhu, X.; Wang, Y.; Dai, J.; Yuan, L.; Wei, Y. Flow-Guided Feature Aggregation for Video Object Detection. In Proceedings of the IEEE International Conference on Computer Vision (ICCV), Venice, Italy, 22–29 October 2017. [Google Scholar]
- Liu, X.; Qi, C.R.; Guibas, L.J. FlowNet3D: Learning Scene Flow in 3D Point Clouds. In Proceedings of the IEEE/CVF Conference on Computer Vision and Pattern Recognition (CVPR), Long Beach, CA, USA, 16–20 June 2019. [Google Scholar]
- Valgaerts, L.; Bruhn, A.; Zimmer, H.; Weickert, J.; Stoll, C.; Theobalt, C. Joint estimation of motion, structure and geometry from stereo sequences. In Proceedings of the European Conference on Computer Vision (ECCV), Heraklion, Crete, Greece, 5–11 September 2010; pp. 568–581. [Google Scholar]
- Quiroga, J.; Brox, T.; Devernay, F.; Crowley, J. Dense semi-rigid scene flow estimation from rgbd images. In Proceedings of the European Conference on Computer Vision (ECCV), Zurich, Switzerland, 6–12 September 2014; pp. 567–582. [Google Scholar]
- Dewan, A.; Caselitz, T.; Tipaldi, G.D.; Burgard, W. Rigid scene flow for 3D lidar scans. In Proceedings of the 2016 IEEE/RSJ International Conference on Intelligent Robots and Systems (IROS), Daejeon, Republic of Korea, 9–14 October 2016; pp. 1765–1770. [Google Scholar]
- Ushani, A.K.; Wolcott, R.W.; Walls, J.M.; Eustice, R.M. A learning approach for real-time temporal scene flow estimation from lidar data. In Proceedings of the 2017 IEEE International Conference on Robotics and Automation (ICRA), Marina Bay Sands, Singapore, 29 May–3 June 2017; pp. 5666–5673. [Google Scholar]
- Behl, A.; Paschalidou, D.; Donné, S.; Geiger, A. PointFlowNet: Learning Representations for Rigid Motion Estimation from Point Clouds. In Proceedings of the IEEE/CVF Conference on Computer Vision and Pattern Recognition (CVPR), Long Beach, CA, USA, 15–20 June 2019; pp. 7962–7971. [Google Scholar]
- Wu, P.; Chen, S.; Metaxas, D.N. Motionnet: Joint perception and motion prediction for autonomous driving based on bird’s eye view maps. In Proceedings of the IEEE/CVF Conference on Computer Vision and Pattern Recognition (CVPR), Seattle, WA, USA, 14–19 June 2020; pp. 11385–11395. [Google Scholar]
- Lin, T.Y.; Goyal, P.; Girshick, R.; He, K.; Dollár, P. Focal loss for dense object detection. In Proceedings of the IEEE International Conference on Computer Vision (ICCV), Venice, Italy, 22–29 October 2017; pp. 2980–2988. [Google Scholar]
- Ranjan, A.; Black, M.J. Optical flow estimation using a spatial pyramid network. In Proceedings of the IEEE Conference on Computer Vision and Pattern Recognition (CVPR), Honolulu, HI, USA, 21–26 July 2017; pp. 4161–4170. [Google Scholar]
- Girshick, R. Fast r-cnn. In Proceedings of the IEEE International Conference on Computer Vision (ICCV), Santiago, Chile, 11–18 December 2015; pp. 1440–1448. [Google Scholar]
- Xu, J.; Miao, Z.; Zhang, D.; Pan, H.; Liu, K.; Hao, P.; Zhu, J.; Sun, Z.; Li, H.; Zhan, X. INT: Towards Infinite-frames 3D Detection with An Efficient Framework. arXiv 2022, arXiv:2209.15215. [Google Scholar]
Disclaimer/Publisher’s Note: The statements, opinions and data contained in all publications are solely those of the individual author(s) and contributor(s) and not of MDPI and/or the editor(s). MDPI and/or the editor(s) disclaim responsibility for any injury to people or property resulting from any ideas, methods, instructions or products referred to in the content. |
© 2025 by the authors. Licensee MDPI, Basel, Switzerland. This article is an open access article distributed under the terms and conditions of the Creative Commons Attribution (CC BY) license (https://creativecommons.org/licenses/by/4.0/).







