Using a Neural Network to Model the Incidence Angle Dependency of Backscatter to Produce Seamless, Analysis-Ready Backscatter Composites over Land
Abstract
1. Introduction
2. Materials and Methods
2.1. Input Data
2.1.1. Regions of Interest
2.1.2. RTC Backscatter
2.2. Slope () Computation
- Locations are only observed by one orbit, i.e., the linear system is under-determined;
- The relative standard error of the slope calculation should not exceed 5% with respect to the given incidence angles and the average incidence angle () of 38° for Sentinel-1’s IW mode, as formulated by the following equations [55]:where is the standard error of the linear regression, is the standard error of the estimate, n is the number of observations, is the average incidence angle, and is the sum of the squared error of . C acts as a scale factor and can therefore be used to mask all pixels, where .
2.3. Slope Analysis
2.4. Parameter Generation
- Mean of () for each polarisation;
- The 5th and 95th percentiles of for each polarisation;
- The difference between the percentiles (referring to sensitivity from now on [35]) for each polarisation ();
- Mean of the Cross-Ratio (CR) ();
- The 5th and 95th percentiles of ;
- The difference between the percentiles ().
2.5. Uncertainty
2.6. Machine Learning
- (A)
- Balancing the land cover frequency by applying stratified sampling, i.e., we randomly selected an equal amount of data for each land cover type;
- (B)
- Balancing the slope frequency by applying stratified sampling, i.e., we randomly selected an equal amount of data for certain slope bins.
3. Results
3.1. Slope Estimations
3.2. Backscatter Normalisation
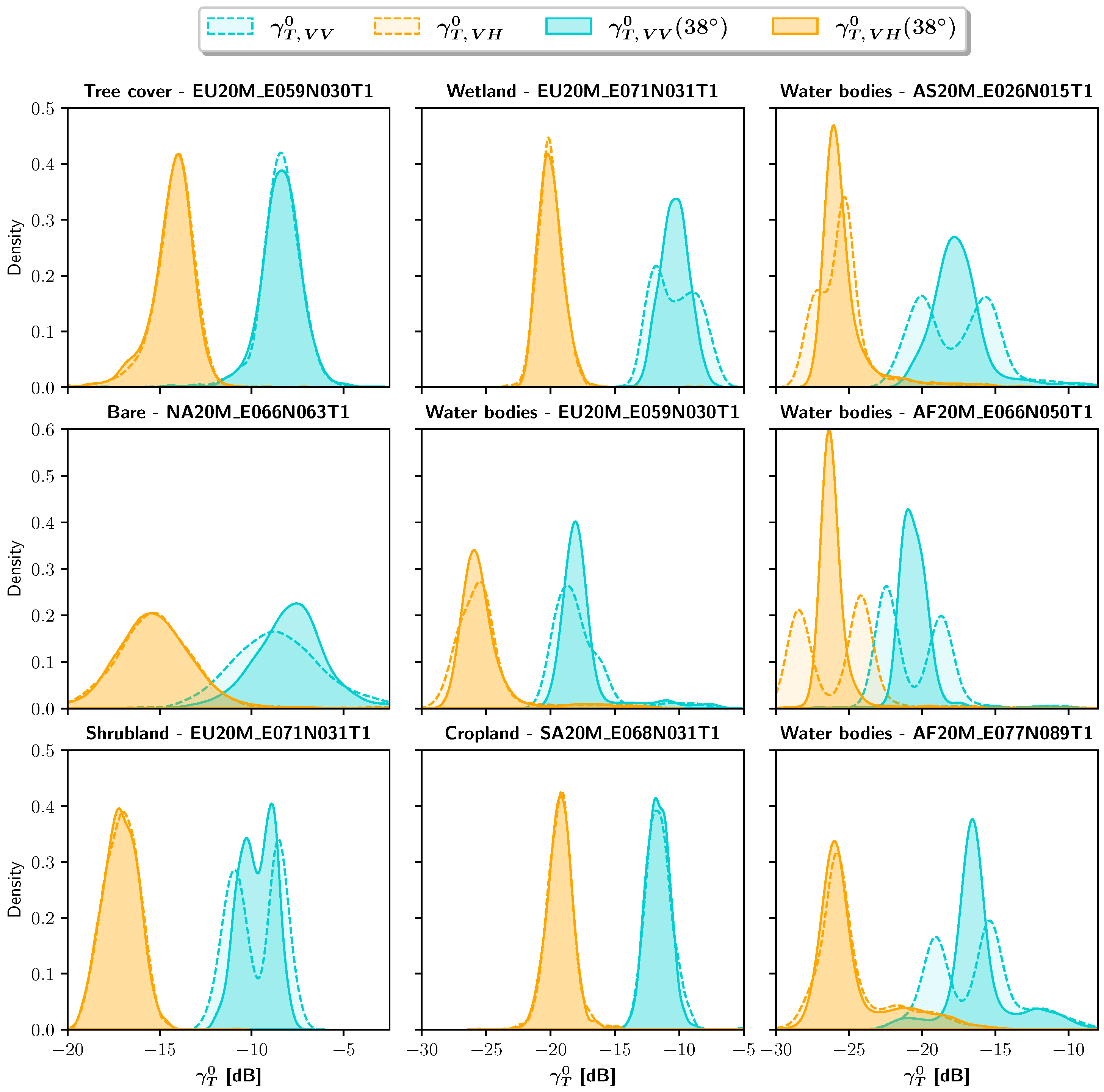
3.2.1. Normalised Backscatter Composites
3.2.2. Twelve-Day Composites
4. Discussion
5. Conclusions
Author Contributions
Funding
Data Availability Statement
Acknowledgments
Conflicts of Interest
Abbreviations
| ARD | Analysis-Ready Data |
| AVE | Angular Variation Effect |
| CEOS | Committee on Earth Observation Satellites |
| CR | Cross-Ratio |
| DEM | Digital Elevation Model |
| EO | Earth Observation |
| EODC | Earth Observation Data Centre for water resources monitoring |
| ESA | European Space Agency |
| FFNN | Feed-Forward Neural Network |
| GRD | Ground Range Detected |
| GTC | Geometric Terrain Correction |
| IDR | Inter-Decile Range |
| IPF | Instrument Processing Facility |
| IW | Interferometric Wide swath mode |
| LCA | Local Contributing Area |
| MAE | Mean Average Error |
| ML | Machine Learning |
| NN | Neural Network |
| NRB | Normalised Radar Backscatter |
| POA | Polarimetric Orientation Angle |
| RCM | RADARSAT Constellation Mission |
| RMSE | Root Mean Squared Error |
| RTC | Radiometric Terrain Correction |
| SAR | Synthetic Aperture Radar |
| VSC | Vienna Scientific Cluster |
References
- Wagner, W. Soil Moisture Retrieval from ERS Scatterometer Data; Inst. für Photogrammetrie u. Fernerkundung d. Techn. Univ.: Vienna, Austria, 1998. [Google Scholar]
- De Zan, F.; Parizzi, A.; Prats-Iraola, P.; López-Dekker, P. A SAR interferometric model for soil moisture. IEEE Trans. Geosci. Remote Sens. 2013, 52, 418–425. [Google Scholar] [CrossRef]
- Kellndorfer, J.M.; Pierce, L.E.; Dobson, M.C.; Ulaby, F.T. Toward consistent regional-to-global-scale vegetation characterization using orbital SAR systems. IEEE Trans. Geosci. Remote Sens. 1998, 36, 1396–1411. [Google Scholar] [CrossRef]
- Dostálová, A.; Lang, M.; Ivanovs, J.; Waser, L.T.; Wagner, W. European wide forest classification based on sentinel-1 data. Remote Sens. 2021, 13, 337. [Google Scholar] [CrossRef]
- Nagler, T.; Rott, H.; Ripper, E.; Bippus, G.; Hetzenecker, M. Advancements for snowmelt monitoring by means of sentinel-1 SAR. Remote Sens. 2016, 8, 348. [Google Scholar] [CrossRef]
- Shi, J.; Dozier, J.; Rott, H. Snow mapping in alpine regions with synthetic aperture radar. IEEE Trans. Geosci. Remote Sens. 1994, 32, 152–158. [Google Scholar]
- Twele, A.; Cao, W.; Plank, S.; Martinis, S. Sentinel-1-based flood mapping: A fully automated processing chain. Int. J. Remote Sens. 2016, 37, 2990–3004. [Google Scholar] [CrossRef]
- Bauer-Marschallinger, B.; Cao, S.; Tupas, M.E.; Roth, F.; Navacchi, C.; Melzer, T.; Freeman, V.; Wagner, W. Satellite-Based Flood Mapping through Bayesian Inference from a Sentinel-1 SAR Datacube. Remote Sens. 2022, 14, 3673. [Google Scholar] [CrossRef]
- Clapp, R.E. A Theoretical and Experimental Study of Radar Ground Return; Radiation Laboratory, Massachusetts Institute of Technology: Cambridge, MA, USA, 1946. [Google Scholar]
- Cosgriff, R.; Peake, W.; Taylor, R. Terrain Scattering Properties for Sensor System Design (Terrain Handbook No. II); Columbus Antenna Laboratory, College of Engineering, Ohio State University: Columbus, OH, USA, 1960. [Google Scholar]
- Ulaby, F.T.; Moore, R.K.; Fung, A.K. Microwave Remote Sensing: Active and Passive. Volume 2-Radar Remote Sensing and Surface Scattering and Emission Theory; Addison-Wesley: Reading, MA, USA, 1982. [Google Scholar]
- Hoekman, D.H.; Reiche, J. Multi-model radiometric slope correction of SAR images of complex terrain using a two-stage semi-empirical approach. Remote Sens. Environ. 2015, 156, 1–10. [Google Scholar] [CrossRef]
- Ulander, L.M. Radiometric slope correction of synthetic-aperture radar images. IEEE Trans. Geosci. Remote Sens. 1996, 34, 1115–1122. [Google Scholar] [CrossRef]
- Loew, A.; Mauser, W. Generation of geometrically and radiometrically terrain corrected SAR image products. Remote Sens. Environ. 2007, 106, 337–349. [Google Scholar] [CrossRef]
- Vollrath, A.; Mullissa, A.; Reiche, J. Angular-based radiometric slope correction for Sentinel-1 on google earth engine. Remote Sens. 2020, 12, 1867. [Google Scholar] [CrossRef]
- Small, D.; Holecz, F.; Meier, E.; Nuesch, D. Absolute radiometric correction in rugged terrain: A plea for integrated radar brightness. In Proceedings of the IGARSS ’98. Sensing and Managing the Environment. 1998 IEEE International Geoscience and Remote Sensing. Symposium Proceedings. (Cat. No.98CH36174), Seattle, WA, USA, 6–10 July 1998; Volume 1, pp. 330–332. [Google Scholar]
- Small, D. Flattening gamma: Radiometric terrain correction for SAR imagery. IEEE Trans. Geosci. Remote Sens. 2011, 49, 3081–3093. [Google Scholar] [CrossRef]
- Charbonneau, F.; Rosenqvist, A.; Truckenbrodt, J.; Albinet, C.; Small, D.; Chapman, B.; Zebker, H.; Dadamia, D.; Deschamps, B.; Hajduch, G.; et al. Combined CEOS-ARD for Synthetic Aperture Radar. CEOS, 2023. Version 1.0. Available online: https://ceos.org/ard/files/PFS/SAR/v1.0/CEOS-ARD_PFS_Synthetic_Aperture_Radar_v1.0.pdf (accessed on 1 August 2024).
- Flores-Anderson, A.I.; Parache, H.B.; Martin-Arias, V.; Jiménez, S.A.; Herndon, K.; Mehlich, S.; Meyer, F.J.; Agarwal, S.; Ilyushchenko, S.; Agarwal, M.; et al. Evaluating SAR Radiometric Terrain Correction Products: Analysis-Ready Data for Users. Remote Sens. 2023, 15, 5110. [Google Scholar] [CrossRef]
- Dostalova, A.; Navacchi, C.; Greimeister-Pfeil, I.; Small, D.; Wagner, W. The effects of radiometric terrain flattening on SAR-based forest mapping and classification. Remote Sens. Lett. 2022, 13, 855–864. [Google Scholar] [CrossRef]
- Rüetschi, M.; Schaepman, M.E.; Small, D. Using multitemporal sentinel-1 c-band backscatter to monitor phenology and classify deciduous and coniferous forests in northern switzerland. Remote Sens. 2017, 10, 55. [Google Scholar] [CrossRef]
- Small, D.; Miranda, N.; Ewen, T.; Jonas, T. Reliably flattened radar backscatter for wet snow mapping from wide-swath sensors. In Proceedings of the ESA Living Planet Symposium, Edinburgh, Scotland, 9–13 September 2013. [Google Scholar]
- Navacchi, C.; Cao, S.; Bauer-Marschallinger, B.; Snoeij, P.; Small, D.; Wagner, W. Utilising Sentinel-1’s Orbital Stability for Efficient Pre-Processing of Radiometric Terrain Corrected Gamma Nought Backscatter. Sensors 2023, 23, 6072. [Google Scholar] [CrossRef]
- Small, D.; Rohner, C.; Miranda, N.; Rüetschi, M.; Schaepman, M.E. Wide-area analysis-ready radar backscatter composites. IEEE Trans. Geosci. Remote Sens. 2021, 60, 5201814. [Google Scholar] [CrossRef]
- Hahn, S.; Reimer, C.; Vreugdenhil, M.; Melzer, T.; Wagner, W. Dynamic characterization of the incidence angle dependence of backscatter using Metop ASCAT. IEEE J. Sel. Top. Appl. Earth Obs. Remote Sens. 2017, 10, 2348–2359. [Google Scholar] [CrossRef]
- O’Grady, D.; Leblanc, M.; Bass, A. The use of radar satellite data from multiple incidence angles improves surface water mapping. Remote Sens. Environ. 2014, 140, 652–664. [Google Scholar] [CrossRef]
- Bauer-Marschallinger, B.; Cao, S.; Navacchi, C.; Freeman, V.; Reuß, F.; Geudtner, D.; Rommen, B.; Vega, F.C.; Snoeij, P.; Attema, E.; et al. The normalised Sentinel-1 Global Backscatter Model, mapping Earth’s land surface with C-band microwaves. Sci. Data 2021, 8, 277. [Google Scholar] [CrossRef]
- O’Grady, D.; Leblanc, M.; Gillieson, D. Relationship of local incidence angle with satellite radar backscatter for different surface conditions. Int. J. Appl. Earth Obs. Geoinf. 2013, 24, 42–53. [Google Scholar] [CrossRef]
- Castel, T.; Beaudoin, A.; Stach, N.; Stussi, N.; Le Toan, T.; Durand, P. Sensitivity of space-borne SAR data to forest parameters over sloping terrain. Theory and experiment. Int. J. Remote Sens. 2001, 22, 2351–2376. [Google Scholar] [CrossRef]
- Aldenhoff, W.; Eriksson, L.E.; Ye, Y.; Heuzé, C. First-year and multiyear sea ice incidence angle normalization of dual-polarized Sentinel-1 SAR images in the Beaufort Sea. IEEE J. Sel. Top. Appl. Earth Obs. Remote Sens. 2020, 13, 1540–1550. [Google Scholar] [CrossRef]
- Zhao, L.; Chen, E.; Li, Z.; Zhang, W.; Gu, X. Three-step semi-empirical radiometric terrain correction approach for PolSAR data applied to forested areas. Remote Sens. 2017, 9, 269. [Google Scholar] [CrossRef]
- Villard, L.; Le Toan, T. Relating P-Band SAR Intensity to Biomass for Tropical Dense Forests in Hilly Terrain: γ0 or t0? IEEE J. Sel. Top. Appl. Earth Obs. Remote Sens. 2014, 8, 214–223. [Google Scholar] [CrossRef]
- Chen, X.; Li, G.; Chen, Z.; Ju, Q.; Cheng, X. Incidence angle normalization of dual-polarized Sentinel-1 backscatter data on Greenland Ice Sheet. Remote Sens. 2022, 14, 5534. [Google Scholar] [CrossRef]
- Quast, R.; Wagner, W.; Bauer-Marschallinger, B.; Vreugdenhil, M. Soil moisture retrieval from Sentinel-1 using a first-order radiative transfer model—A case-study over the Po-Valley. Remote Sens. Environ. 2023, 295, 113651. [Google Scholar] [CrossRef]
- Bauer-Marschallinger, B.; Freeman, V.; Cao, S.; Paulik, C.; Schaufler, S.; Stachl, T.; Modanesi, S.; Massari, C.; Ciabatta, L.; Brocca, L.; et al. Toward global soil moisture monitoring with Sentinel-1: Harnessing assets and overcoming obstacles. IEEE Trans. Geosci. Remote Sens. 2018, 57, 520–539. [Google Scholar] [CrossRef]
- Paluba, D.; Laštovička, J.; Mouratidis, A.; Štych, P. Land cover-specific local incidence angle correction: A method for time-series analysis of forest ecosystems. Remote Sens. 2021, 13, 1743. [Google Scholar] [CrossRef]
- Torres, R.; Snoeij, P.; Geudtner, D.; Bibby, D.; Davidson, M.; Attema, E.; Potin, P.; Rommen, B.; Floury, N.; Brown, M.; et al. GMES Sentinel-1 mission. Remote Sens. Environ. 2012, 120, 9–24. [Google Scholar] [CrossRef]
- Potin, P.; Rosich, B.; Grimont, P.; Miranda, N.; Shurmer, I.; O’Connell, A.; Torres, R.; Krassenburg, M. Sentinel-1 mission status. In Proceedings of the EUSAR 2016: 11th European Conference on Synthetic Aperture Radar, Hamburg, Germany, 6–9 June 2016; pp. 1–6. [Google Scholar]
- Wagner, W.; Lemoine, G.; Borgeaud, M.; Rott, H. A study of vegetation cover effects on ERS scatterometer data. IEEE Trans. Geosci. Remote Sens. 1999, 37, 938–948. [Google Scholar] [CrossRef]
- ESA. ESA WorldCover 2021. 2021. Available online: https://worldcover2021.esa.int/ (accessed on 2 June 2024).
- Wagner, W.; Bauer-Marschallinger, B.; Navacchi, C.; Reuß, F.; Cao, S.; Reimer, C.; Schramm, M.; Briese, C. A Sentinel-1 backscatter datacube for global land monitoring applications. Remote Sens. 2021, 13, 4622. [Google Scholar] [CrossRef]
- Fahrland, E. Copernicus Digital Elevation Model Product Handbook. Airbus, Version 5.0. 2022. Available online: https://dataspace.copernicus.eu/sites/default/files/media/files/2024-06/geo1988-copernicusdem-spe-002_producthandbook_i5.0.pdf (accessed on 15 January 2025).
- Bauer-Marschallinger, B.; Sabel, D.; Wagner, W. Optimisation of global grids for high-resolution remote sensing data. Comput. Geosci. 2014, 72, 84–93. [Google Scholar] [CrossRef]
- EODC. Earth Observation Data Centre. 2024. Available online: https://eodc.eu/ (accessed on 1 August 2024).
- VSC. VSC-5—Newest System Featuring CPU and GPU. 2024. Available online: https://vsc.ac.at//systems/vsc-5/ (accessed on 1 August 2024).
- Miranda, N.; Hajduch, G. S-1 Mission Performance Centre Masking “No-value” Pixels on GRD Products Generated by the Sentinel-1 ESA IPF. ESA, 2018. Issue 2.1. Available online: https://sentinel.esa.int/documents/247904/2142675/Sentinel-1-masking-no-value-pixels-grd-products-note (accessed on 1 August 2024).
- Ali, I.; Cao, S.; Naeimi, V.; Paulik, C.; Wagner, W. Methods to remove the border noise from Sentinel-1 synthetic aperture radar data: Implications and importance for time-series analysis. IEEE J. Sel. Top. Appl. Earth Obs. Remote Sens. 2018, 11, 777–786. [Google Scholar] [CrossRef]
- ESA. Sentinel-1 New Product Format Operational on 13 March 2018. Available online: https://scihub.copernicus.eu/news/News00301 (accessed on 7 June 2024).
- ESA. Mission Ends for Copernicus Sentinel-1B Satellite. 2022. Available online: https://www.esa.int/Applications/Observing_the_Earth/Copernicus/Sentinel-1/Mission_ends_for_Copernicus_Sentinel-1B_satellite (accessed on 1 August 2024).
- Navacchi, C.; Cao, S.; Bauer-Marschallinger, B.; Snoeij, P.; Small, D.; Wagner, W. Utilising Sentinel-1’s orbital stability for efficient pre-processing of sigma nought backscatter. ISPRS J. Photogramm. Remote Sens. 2022, 192, 130–141. [Google Scholar] [CrossRef]
- ESA. POD Products and Requirements. 2023. Available online: https://sentinel.esa.int/web/sentinel/technical-guides/sentinel-1-sar/pod/products-requirements (accessed on 30 January 2023).
- Agram, P.S.; Warren, M.S.; Arko, S.A.; Calef, M.T. Radiometric Terrain Flattening of Geocoded Stacks of SAR Imagery. Remote Sens. 2023, 15, 1932. [Google Scholar] [CrossRef]
- Ulaby, F.T.; Moore, R.K.; Fung, A.K. Microwave Remote Sensing: Active and Passive. Volume 1-Microwave Remote Sensing Fundamentals and Radiometry; Artech House: Washington, DC, USA, 1981. [Google Scholar]
- Naeimi, V.; Bartalis, Z.; Wagner, W. ASCAT soil moisture: An assessment of the data quality and consistency with the ERS scatterometer heritage. J. Hydrometeorol. 2009, 10, 555–563. [Google Scholar] [CrossRef]
- Howell, D.C. Statistical Methods for Psychology, 7th ed.; Cengage Wadsworth: Belmont, CA, USA, 2010. [Google Scholar]
- Schaufler, S.; Bauer-Marschallinger, B.; Hochstöger, S.; Wagner, W. Modelling and correcting azimuthal anisotropy in Sentinel-1 backscatter data. Remote Sens. Lett. 2018, 9, 799–808. [Google Scholar] [CrossRef]
- Bowen, B.B.; Kipnis, E.L.; Raming, L.W. Temporal dynamics of flooding, evaporation, and desiccation cycles and observations of salt crust area change at the Bonneville Salt Flats, Utah. Geomorphology 2017, 299, 1–11. [Google Scholar] [CrossRef]
- Raney, R.K. Radar fundamentals: Technical perstective. Princ. Appl. Imaging Radar Man. Remote Sens. 1998, 2, 9–130. [Google Scholar]
- Woodhouse, I.H. Introduction to Microwave Remote Sensing; Taylor & Francis: Abingdon, UK, 2006. [Google Scholar]
- Dong, Y.; Forster, B.; Ticehurst, C. Radar backscatter analysis for urban environments. Int. J. Remote Sens. 1997, 18, 1351–1364. [Google Scholar] [CrossRef]
- Vreugdenhil, M.; Navacchi, C.; Bauer-Marschallinger, B.; Hahn, S.; Steele-Dunne, S.; Pfeil, I.; Dorigo, W.; Wagner, W. Sentinel-1 cross ratio and vegetation optical depth: A comparison over Europe. Remote Sens. 2020, 12, 3404. [Google Scholar] [CrossRef]
- McCulloch, W.S.; Pitts, W. A logical calculus of the ideas immanent in nervous activity. Bull. Math. Biophys. 1943, 5, 115–133. [Google Scholar] [CrossRef]
- Liebe, J.R.; van de Giesen, N.; Andreini, M.S.; Steenhuis, T.S.; Walter, M.T. Suitability and limitations of ENVISAT ASAR for monitoring small reservoirs in a semiarid area. IEEE Trans. Geosci. Remote Sens. 2008, 47, 1536–1547. [Google Scholar] [CrossRef]
- Bauer-Marschallinger, B. The Equi7Grid V14: Grid and Tiling Definition Document. TU Wien, 2023. Issue 0.8. Available online: https://github.com/TUW-GEO/Equi7Grid/blob/master/docs/doc_files/EQUI7_V14_grid_and_tiling_definition_document_issue08.pdf (accessed on 1 August 2024).
- Schmidt, K.; Schwerdt, M.; Miranda, N.; Reimann, J. Radiometric comparison within the Sentinel-1 SAR constellation over a wide backscatter range. Remote Sens. 2020, 12, 854. [Google Scholar] [CrossRef]
- Borlaf-Mena, I.; García-Duro, J.; Santoro, M.; Villard, L.; Badea, O.; Tanase, M.A. Seasonality and directionality effects on radar backscatter are key to identify mountain forest types with Sentinel-1 data. Remote Sens. Environ. 2023, 296, 113728. [Google Scholar] [CrossRef]
- Rakitianskaia, A.; Engelbrecht, A.P. Training neural networks with PSO in dynamic environments. In Proceedings of the 2009 IEEE Congress on Evolutionary Computation, Trondheim, Norway, 18–21 May 2009; pp. 667–673. [Google Scholar]
- Park, J.W.; Korosov, A.A.; Babiker, M.; Sandven, S.; Won, J.S. Efficient thermal noise removal for Sentinel-1 TOPSAR cross-polarization channel. IEEE Trans. Geosci. Remote Sens. 2017, 56, 1555–1565. [Google Scholar] [CrossRef]
- Leng, X.; Ji, K.; Kuang, G. Radio frequency interference detection and localization in Sentinel-1 images. IEEE Trans. Geosci. Remote Sens. 2021, 59, 9270–9281. [Google Scholar] [CrossRef]
- Schmidt, K.; Schwerdt, M.; Hajduch, G.; Vincent, P.; Recchia, A.; Pinheiro, M. Radiometric Re-Compensation of Sentinel-1 SAR Data Products for Artificial Biases due to Antenna Pattern Changes. Remote Sens. 2023, 15, 1377. [Google Scholar] [CrossRef]
- Ding, D.; Zhang, M.; Pan, X.; Yang, M.; He, X. Modeling extreme events in time series prediction. In Proceedings of the 25th ACM SIGKDD International Conference on Knowledge Discovery & Data Mining, Anchorage, AK, USA, 4–8 August 2019; pp. 1114–1122. [Google Scholar]
- Small, D. SAR backscatter multitemporal compositing via local resolution weighting. In Proceedings of the 2012 IEEE International Geoscience and Remote Sensing Symposium, Munich, Germany, 22–27 July 2012; pp. 4521–4524. [Google Scholar]












| Land Cover | Tree Cover | Shrub- Land | Grass- Land | Built- Up | Bare | Water Bodies | Wetland | Cropland | Snow and Ice | Moss and Lichen |
|---|---|---|---|---|---|---|---|---|---|---|
[dB/°] | 0.4431 | 0.3604 | 0.5658 | 0.4093 | 0.6280 | 0.7798 | 0.6490 | 0.5073 | 1.1822 | 0.6372 |
[dB/°] | 0.4810 | 0.4048 | 0.6393 | 0.3595 | 0.5946 | 0.4382 | 0.4469 | 0.5784 | 1.3447 | 0.7073 |
| Land Cover | RMSE [dB/°] | MAE [dB/°] | [dB/°] | [dB/°] | [dB/°] | [dB/°] | [%] |
|---|---|---|---|---|---|---|---|
| VV | |||||||
| Tree cover | 0.0900 | 0.0490 | −0.0179 | −0.0200 | 0.5520 | 0.0648 | 92.0 |
| Shrubland | 0.0735 | 0.0483 | −0.0138 | −0.0277 | 0.3328 | 0.0958 | 90.1 |
| Grassland | 0.1142 | 0.0638 | −0.0637 | −0.0539 | 0.6672 | 0.0643 | 81.4 |
| Built-up | 0.2686 | 0.1718 | 0.0065 | −0.0476 | 0.6909 | 0.4245 | 88.1 |
| Bare | 0.1374 | 0.0913 | −0.1246 | −0.1158 | 0.4958 | 0.0961 | 79.8 |
| Water bodies | 0.1160 | 0.0860 | −0.2147 | −0.1846 | 0.1429 | 0.1114 | 77.9 |
| Wetland | 0.1342 | 0.0947 | −0.0649 | −0.1373 | 0.0722 | 0.0176 | 69.3 |
| Cropland | 0.0688 | 0.0459 | −0.0866 | −0.0722 | 0.1749 | 0.0443 | 81.6 |
| Snow and ice | 0.2053 | 0.1124 | −0.1625 | −0.1176 | 0.9971 | 0.3199 | 75.3 |
| Moss and lichen | 0.1230 | 0.0682 | −0.1280 | −0.0916 | 0.6406 | 0.0737 | 74.6 |
| Total | 0.1080 | 0.0617 | −0.0604 | −0.0561 | 0.6406 | 0.0737 | 77.5 |
| VH | |||||||
| Tree cover | 0.0791 | 0.0436 | 0.0091 | 0.0050 | 0.4428 | 0.0306 | 93.5 |
| Shrubland | 0.0658 | 0.0447 | 0.0218 | 0.0039 | 0.2556 | 0.1393 | 85.6 |
| Grassland | 0.0974 | 0.0561 | −0.0148 | −0.0171 | 0.4682 | 0.0854 | 82.9 |
| Built-up | 0.1909 | 0.1172 | 0.0187 | −0.0023 | 0.6476 | 0.1214 | 92.2 |
| Bare | 0.1142 | 0.0783 | −0.1179 | −0.0853 | 0.2472 | 0.0667 | 68.7 |
| Water bodies | 0.1165 | 0.0878 | −0.1578 | −0.1201 | 0.1005 | 0.0574 | 71.3 |
| Wetland | 0.0526 | 0.0403 | −0.0645 | −0.0628 | 0.0701 | 0.1112 | 70.8 |
| Cropland | 0.0709 | 0.0526 | −0.0508 | −0.0247 | 0.0884 | 0.0292 | 72.3 |
| Snow and ice | 0.1901 | 0.1129 | −0.0946 | −0.0489 | 0.8003 | 0.1084 | 76.5 |
| Moss and lichen | 0.1002 | 0.0615 | −0.0488 | −0.0246 | 0.5082 | 0.0935 | 80.9 |
| Total | 0.0933 | 0.0557 | −0.0266 | −0.0211 | 0.5082 | 0.0935 | 78.9 |
Disclaimer/Publisher’s Note: The statements, opinions and data contained in all publications are solely those of the individual author(s) and contributor(s) and not of MDPI and/or the editor(s). MDPI and/or the editor(s) disclaim responsibility for any injury to people or property resulting from any ideas, methods, instructions or products referred to in the content. |
© 2025 by the authors. Licensee MDPI, Basel, Switzerland. This article is an open access article distributed under the terms and conditions of the Creative Commons Attribution (CC BY) license (https://creativecommons.org/licenses/by/4.0/).
Share and Cite
Navacchi, C.; Reuß, F.; Wagner, W. Using a Neural Network to Model the Incidence Angle Dependency of Backscatter to Produce Seamless, Analysis-Ready Backscatter Composites over Land. Remote Sens. 2025, 17, 361. https://doi.org/10.3390/rs17030361
Navacchi C, Reuß F, Wagner W. Using a Neural Network to Model the Incidence Angle Dependency of Backscatter to Produce Seamless, Analysis-Ready Backscatter Composites over Land. Remote Sensing. 2025; 17(3):361. https://doi.org/10.3390/rs17030361
Chicago/Turabian StyleNavacchi, Claudio, Felix Reuß, and Wolfgang Wagner. 2025. "Using a Neural Network to Model the Incidence Angle Dependency of Backscatter to Produce Seamless, Analysis-Ready Backscatter Composites over Land" Remote Sensing 17, no. 3: 361. https://doi.org/10.3390/rs17030361
APA StyleNavacchi, C., Reuß, F., & Wagner, W. (2025). Using a Neural Network to Model the Incidence Angle Dependency of Backscatter to Produce Seamless, Analysis-Ready Backscatter Composites over Land. Remote Sensing, 17(3), 361. https://doi.org/10.3390/rs17030361

