Effects of Spatial Resolution on Assessing Cotton Water Stress Using Unmanned Aerial System Imagery
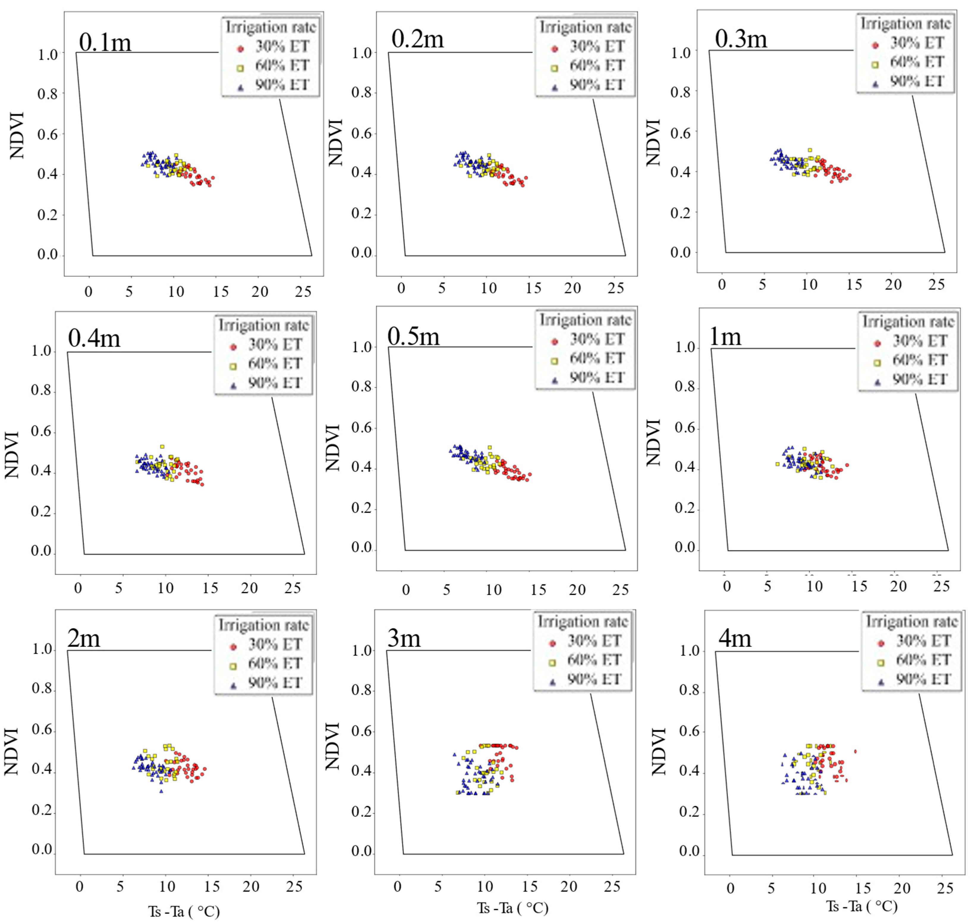
Abstract
Share and Cite
Adedeji, O.; Sun, Y.; Li, S.; Guo, W. Effects of Spatial Resolution on Assessing Cotton Water Stress Using Unmanned Aerial System Imagery. Remote Sens. 2025, 17, 4018. https://doi.org/10.3390/rs17244018
Adedeji O, Sun Y, Li S, Guo W. Effects of Spatial Resolution on Assessing Cotton Water Stress Using Unmanned Aerial System Imagery. Remote Sensing. 2025; 17(24):4018. https://doi.org/10.3390/rs17244018
Chicago/Turabian StyleAdedeji, Oluwatola, Yazhou Sun, Sanai Li, and Wenxuan Guo. 2025. "Effects of Spatial Resolution on Assessing Cotton Water Stress Using Unmanned Aerial System Imagery" Remote Sensing 17, no. 24: 4018. https://doi.org/10.3390/rs17244018
APA StyleAdedeji, O., Sun, Y., Li, S., & Guo, W. (2025). Effects of Spatial Resolution on Assessing Cotton Water Stress Using Unmanned Aerial System Imagery. Remote Sensing, 17(24), 4018. https://doi.org/10.3390/rs17244018

