Highlights
What are the main findings?
- First successful biomass estimation in Olea europaea L. using integrated UAV-RGB and U2-Net.
- U2-Net combined with UAV-RGB images accurately extracted Olea europaea L. CA.
What are the implications of the main findings?
- This study developed a high-accuracy biomass estimation model for Olea europaea L., providing critical technical support for the cultivation management and carbon sequestration assessment of this economically important species.
- By innovatively integrating UAV imagery with the U2-Net deep learning method, efficient and automated canopy extraction and biomass monitoring were achieved, demonstrating significant potential for broad application.
Abstract
Olea europaea L. is an economically and ecologically significant species, for which accurate biomass estimation provides critical insights for artificial propagation, yield forecasting, and carbon sequestration assessments. Currently, research on biomass estimation for Olea europaea L. remains scarce, and there is a lack of efficient, accurate, and scalable technical solutions. To address this gap, this study achieved, for the first time, non-destructive estimation of Olea europaea L. biomass across individual tree to plot scales by integrating UAV-RGB (Unmanned Aerial Vehicle-Red-Green-Blue) imagery with the U2-Net model. This study initially developed allometric models for W-D-H, CA-D, and CA-H in Olea europaea L. (where W = biomass, D = ground diameter, H = tree height, and CA = canopy area). A single-parameter CA-based whole-plant biomass model was subsequently developed utilizing the optimal models. An innovative whole-plant biomass estimation model (UAV-RGB, U2-Net Total Biomass, UUTB) that combines UAV-RGB imagery with U2-Net at the sample-plot level was developed and assessed. The results revealed the following: (1) The model for Olea europaea L. aboveground biomass (AGB) was WA = 0.0025D1.943H0.690 (R2 = 0.912), the model for belowground biomass (BGB) was WB = 0.012D1.231H0.525 (R2 = 0.693), the model for CA-D was D = 4.31427C0.513 (R2 = 0.751), CA-H model was H = 226.51939C0.268 (R2 = 0.500). (2) The optimal AGB model for CA single-parameter was WA = 1.80901C1.181 (R2 = 0.845), and the model for BGB was WB = 1.25043C0.772 (R2 = 0.741). (3) The R2 of Olea europaea L. biomass, as estimated by CA derived from the U2-Net and UUTB models, was 0.855. This study presents the first integration of UAV-RGB imagery and the U2-Net model for biomass estimation in Olea europaea L., which not only addresses the research gap in species-specific allometric modeling but also overcomes the limitations of traditional manual measurement methods. The proposed approach provides a reliable technical foundation for accurate assessment of both economic yield and ecological carbon sequestration capacity.
1. Introduction
Olea europaea L., a perennial evergreen tree species native to the Mediterranean subtropics [1,2], has been successfully introduced and cultivated across 15 provinces in China [3]. It is recognized as one of the four principal woody oil crops globally, alongside Camellia oleifera, Elaeis guineensis, and Cocos nucifera. In 2023, the cultivated area of Olea europaea L. in Yunnan Province, China, totaled 17,333.36 hectares, significantly contributing to the economic advancement of forestry-dependent communities [4]. The intensification of the greenhouse effect has resulted in sustained global warming, and the significance of carbon sinks within the mitigation strategies for tackling global climate change highlights the growing importance. Although artificial economic forests are vital for enhancing carbon sequestration, current cultivation practices of Olea europaea L. primarily focus on financial returns, neglecting its significant carbon sequestration capabilities. Biomass is a critical indicator for assessing Olea europaea L. production and carbon sequestration; however, there is an absence of allometric growth equations for Olea europaea L. biomass, along with efficient, practical, and scalable techniques for biomass estimation in Olea europaea L. commercial plantations.
Biomass models are vital instruments in forest management, carbon cycle investigation, and ecological assessment. Through accurate quantification of vegetation biomass, these models establish a scientific foundation for environmental protection strategies and sustainable resource management practices [5]. Forest biomass models are generally categorized into two types: multi-parameter models and single-parameter models. The previous method estimates biomass by integrating various biometric variables (e.g., tree height (H), diameter at breast height (DBH), ground diameter (D), wood density, and canopy area (CA)), demonstrating high accuracy, especially in intricate forest ecosystems [6,7]. Nonetheless, the efficacy of a multi-parameter model is often limited by the complexity of data acquisition and significantly elevated computational expenses. The single-parameter model provides a more straightforward implementation and enhanced efficiency while preserving adequate accuracy for practical use [8,9]. This approach demonstrates distinct advantages under data-limited conditions or when rapid assessment is required.
Biomass estimation can be performed through two primary methods: manual estimation and remote sensing estimation. The traditional manual method necessitates destructive sampling, leading to considerable time expenditure, elevated costs, and disruption of ecosystems [10,11]. Remote sensing-based estimation provides substantial advantages regarding operational efficiency and large-area coverage and has been effectively utilized for multi-scale biomass assessment [12,13]. Satellite optical remote sensing systems (e.g., Landsat 4–5, 7–9, Sentinel-2, and MODIS) exhibit considerable potential for biomass estimation [14,15]; however, their operational efficacy is significantly hindered by cloud cover and resultant shadows, leading to inconsistent data availability and quality [16], thereby impacting the accuracy and reliability of biomass estimation. Synthetic Aperture Radar (SAR) has been utilized as an alternative solution to address the limitations of optical satellite data, owing to its ability to penetrate clouds [17,18]. Unfortunately, SAR-based biomass estimation exhibits specific limitations in densely forested areas and complex terrains, where radar backscatter is significantly influenced by surface roughness, slope geometry, and signal saturation effects, potentially compromising estimation accuracy [19,20]. Nonetheless, unmanned aerial vehicle (UAV)-based remote sensing has emerged as an effective approach to mitigate the inherent limitations of satellite remote sensing systems [21,22]. In contrast to conventional field surveys, UAV-based techniques considerably enhance spatial sampling coverage while reducing expenses [12]. UAVs are equipped with lightweight, low-power, and compact sensors, including RGB, multispectral, hyperspectral, and LiDAR. RGB sensors offer advantages such as cost-effectiveness, diminished operational complexity, and the elimination of band mismatch [23,24,25,26]. It has also been utilized for precise estimation of aboveground biomass (AGB) in garlic fruit and rubber [9,26]. Consequently, UAVs outfitted with RGB sensors exhibit considerable potential for estimating forest biomass.
In recent years, the assessment of forest biomass through the extraction of forest structural parameters (e.g., H, CA, characterization factors, etc.) from UAV imagery has emerged as a prominent research focus [23,27]. The principle of estimating forest biomass using UAVs involves precisely obtaining forest CA through centimeter-level imagery and developing a single-parameter biomass estimation model based on the correlation between CA and DBH and H [28,29,30], and also D and DBH [31,32]. The manual processing of UAV images primarily relies on visual interpretation, which is hindered by various limitations: high operator dependency, subjectivity, diminished processing efficiency, restricted measurement accuracy, and inadequate capacity for intricate feature analysis [33]. The integration of machine learning with UAV imagery enables automated, efficient, and precise acquisition of forest structural parameters [34,35], with demonstrated applications in tree species identification, CA segmentation, and feature extraction [36,37]. In recent years, deep learning has become the preeminent machine learning methodology. Although convolutional neural network (CNN)-based models have been widely used in vegetation monitoring, their inherent local receptive fields pose significant limitations when dealing with the complex canopy structures of olive groves [38], particularly in high-density dwarf plantations where effective segmentation remains challenging. Meanwhile, despite improved global context modeling via self-attention in Transformer-based architectures (e.g., SegFormer), their high computational cost and dependence on large datasets hinder their deployment in real-world forestry and agriculture [39]. Capitalizing on its unique nested U-shaped architecture, the adopted U2-Net model combines the multi-scale local feature extraction of CNNs with saliency-driven global context perception. This synergy enhances accuracy and robustness in complex Olea europaea L. CA while maintaining computational efficiency and high precision without reliance on large-scale training data [40,41]. However, the irregular and heterogeneous canopy structures of Olea europaea L. trees in this study lead to spectral mixing between leaves, branches, and background shadows in remote sensing imagery, considerably complicating accurate canopy segmentation. Furthermore, the diverse cultivation practices, ranging from traditional orchards to intercropping systems (with herbaceous and other understory plants), introduce complex and variable background noise. This noise can interfere with biomass inversion models based on UAV imagery. Thus, the automated extraction of the CA from UAV imagery using the U2-Net algorithm to estimate Olea europaea L. biomass presents both significant potential and considerable challenges.
This research has three main objectives: (1) to create a single-parameter model for estimating whole-plant biomass of Olea europaea L. utilizing computer algorithms; (2) to develop and validate an automated computer algorithm for extraction that integrates UAV-RGB imagery with the U2-Net architecture; and (3) to propose and evaluate a whole-plant biomass estimation model for Olea europaea L. (UAV-RGB, U2-Net, Total Biomass, UUTB) based on UAV-RGB and U2-Net at the quadrat level.
2. Materials and Methods
This research sought to create a comprehensive biomass model for Olea europaea L. utilizing CA as the sole predictor and to establish a UUTB model by incorporating CA features extracted via U2-Net, followed by performance validation (Figure 1). Initially, the Olea europaea L. sample trees for modeling and validation were chosen for ground truth data collection and UAV-RGB image capture. The CA was derived from UAV-RGB images using ArcGIS 10.8 software (https://desktop.arcgis.com), and the U2-Net model was employed for the construction and accuracy validation of the Olea europaea L. biomass model. The developed model was employed to execute the whole-plant biomass inversion of Olea europaea L.
Figure 1.
Technical roadmap. Note: ① A-CA: Automatically extracted crown area; ② A-M-CA: Automatically extracted crown area of modeling sample trees; ③ A-V-CA: Automatically extracted crown area of the verification sample trees; ④ VI-CA: The crown area of visual interpretation; ⑤ VI-M-CA: Visual interpretation of the modeling sample trees crown area; ⑥ VI-V-CA: Visual interpretation of the verification sample trees crown area; ⑦ M-D, M-H: Tree height and ground diameter of modeling sample trees; ⑧ V-D, V-H: Verify the tree height and ground diameter of the sample trees; ⑨ P-V-D, P-V-H: Predicted validation sample tree height and ground diameter; ⑩ M-TB, P-TB, A-P-TB: Measured total biomass, Predicted total biomass, Automatic prediction of total biomass.
2.1. Overview of the Study Area
The research was carried out in Dianzhong Town, Eshan County, Yuxi City, Yunnan Province, China (Figure 2), at coordinates 24°24′21″N, 102°13′37″E. The location possesses an average altitude of 1593 m and an annual mean precipitation of 861 mm. The town’s topography is elevated in the southeast and diminished in the northwest. The average annual temperature is 17.2 °C, characterized by pronounced wet and dry seasons. It possesses a subtropical plateau monsoon climate characterized by temperate conditions, abundant sunlight, and the absence of extreme cold or heat. Experts and scholars categorize the cultivation regions of Olea europaea L. in China into optimal and suitable areas, with Eshan County classified as a suitable area [42]. Since the introduction of Olea europaea L. trees to Dianzhong Town in 2015, nearly a decade of industrial cultivation has resulted in substantial advancements. As of early 2024, the town had established 14.74 km2 of Olea europaea L. plantations, including 8 km2 of young orchards reaching the initial fruit-bearing stage. Annual production yields reached 33 metric tons of fresh fruit, enabling the extraction of 3.63 metric tons of premium extra virgin Olea europaea L. oil with a total market value of 186,519 US dollars. Current agricultural expansion initiatives aim to develop an additional 5.34 km2 of Olea europaea L. plantations, significantly promoting regional Olea europaea L. industry development.
Figure 2.
Overview map of the study area: (a) administrative boundary map of China, (b) digital elevation map of Eshan County, Yuxi City, Yunnan Province, China, and (c) orthophotography of the study area captured aerially by a drone.
2.2. Data and Preprocessing
2.2.1. Ground Survey Data
Between 31 October and 9 November 2023, the study area was segmented into modeling and verification phases, with sampling executed in accordance with the Protocol [43]. The area was stratified by ground diameter (D), commencing at 6 cm and utilizing 2 cm intervals up to 16 cm, with 20 trees per interval, culminating in 120 sample trees and the collection of Real-Time Kinematic (RTK) (Qianxun Spatial Intelligence Inc. (Qianxun Position Network (Zhejiang) Co., Ltd.), Huzhou, Zhejiang, China.) coordinate points. Belowground biomass (BGB) was assessed for one-third of the sample trees (40 trees total: 7 from each of the 6, 8, 10, and 12 cm intervals; 6 from the 14 and 16 cm intervals). These trees were harvested for both aboveground and belowground components, while the remaining 80 trees were harvested solely for aboveground components (Table 1). The Olea europaea L. samples were categorized into trunk, branch, bark, leaves, and root components. For each tree, the trunk, branch, leaves, and roots were sampled (≥300 g per component), and the bark was sampled (≥200 g), resulting in a total of 520 samples. Fifteen sample plots measuring 20 m × 25 m were established in the validation area (A total of 284 trees, Table 2). All Olea europaea L. trees within the plots were enumerated, and their RTK coordinate points were recorded.
Table 1.
Basic Information of the 120 Sample Trees.
Table 2.
Number of Olea europaea L. individuals across 15 sample plots.
2.2.2. UAV-RGB Image Acquisition and Processing
This study utilized a DJI Mavic 3 multi-rotor UAV (SZ DJI Technology Co., Shenzhen, China) equipped with O3+ mapping technology, a DJI Cellular module, and a 4/3 CMOS sensor. True-color images were captured in JPEG format at a resolution of 5280 × 3956 pixels. Flight operations occurred on 31 October 2023, considering terrain, weather, and other variables. The UAV conducted autonomous flight operations at a constant altitude of 100 m above ground level, with systematic overlap settings of 80% along-track and 70% cross-track to ensure complete coverage. Multiple flights were conducted to ensure comprehensive coverage of the study area with orthophotos. The Pix4Dmapper software (https://www.pix4d.com) processed the high-overlap images acquired by the UAV.
2.2.3. Sample Biomass Measurement
Subsequent to the field survey, samples were first subjected to heating at 105 °C for 30 min to inactivate enzymes, followed by drying at a consistent temperature of 85 °C for 2 h. An initial measurement was conducted, followed by further measurements at 2-h intervals until weight stabilization was achieved, defined as a ≤1% relative error between successive readings. Samples were subsequently placed in a glass desiccator, allowed to cool to ambient temperature, and weighed to ascertain their dry weight. The total biomass of each organ and the root-to-crown ratio (RCR) were subsequently computed (Table 3). AGB represents the cumulative biomass of the trunk, branches, bark, and leaves of Olea europaea L., while BGB denotes the biomass of the roots [43].
Table 3.
Biomass distribution characteristics among different organs of the Olea europaea L. sample trees.
The Pearson correlation analysis of Olea europaea L. organ biomass and predictor variables (Table 4) demonstrated significant positive correlations with D, H, and their composite factors (DH, D2H). All correlation coefficients surpassed 0.617, with those for D exceeding 0.810, and those for DH and D2H exceeding 0.806. Given the high-dimensional predictor space, we employed a stepwise variable selection procedure to identify the most parsimonious yet predictive feature set for model construction.
Table 4.
Correlation of organ biomass with modeling factors.
2.3. Construction of a CA Single-Parameter Whole-Plant Biomass Model for Olea europaea L.
2.3.1. W-D-H Allometric Growth Equation
According to the results of the Pearson correlation analysis, 80% of the sample trees were chosen to develop the model using a standard random sampling method, while the remaining 20% served as validation samples to assess the model’s generalizability, with the selected sample tree data being evenly distributed. Building on the validated nonlinear regression method for AGB estimation in artificial forests of Inner Mongolia, China [12], we employ the power function model as the primary framework for modeling Olea europaea L. plantations, taking into account its unique biological characteristics [44,45,46]. The univariate and bivariate biomass independent models for Olea europaea L. were calibrated using measured biomass as the dependent variable, with D, DH, D2H, and DbHc serving as independent variables. The equations were as follows:
where W is the biomass of each organ (kg), WT is the whole-plant biomass of Olea europaea L. (kg), WA is Olea europaea L. AGB (kg), WB is Olea europaea L. BGB (kg), D is the ground diameter (cm), and H is the tree height (cm). Coefficient of determination (R2), Mean Prediction Error (MPE/%), Root Mean Square Error (RMSE/kg), and Total Relative Error (TRE/%) were used to test the fitting accuracy of the model [47]. The equations were as follows:
where is the measured value of the biomass of each organ, is the predicted value of the biomass of each organ, is the average value of biomass of each organ, and n is the number of Olea europaea L. sample trees.
2.3.2. Fitting Model Construction of CA-D and CA-H
This study utilized geographic coordinates and UAV-RGB imagery acquired through RTK positioning to compute the canopy area of Olea europaea L. sample trees using ArcGIS 10.8 software. Utilizing a conventional sampling methodology, 80% of the sample trees were designated for model development, while the remaining 20% were allocated as test data to evaluate model generalizability. The linear function (Equation (10)), polynomial function (Equation (11)), and power function (Equation (12)) were chosen to fit the data. The fitting results were compared and analyzed, with the model exhibiting the highest R2 deemed the optimal model. The CA-D and CA-H models were developed with D and H as dependent variables and CA as the independent variable.
where Y is the dependent variable, x is the independent variable, and k, a, b, and c are parameters.
Utilizing the CA defined in ArcGIS 10.8, R2, MPE, RMSE, and TRE serve as the evaluative metrics for the model, while the test samples are employed to assess the accuracy of the CA-D and CA-H models.
2.4. Automatic Extraction Algorithm for Olea europaea L. CA Based on UAV-RGB Combined with U2-Net
2.4.1. U2-Net Network Structure and Loss Function
In selecting a crown extraction model, this study employed U2-Net primarily due to its practical advantages in data-limited scenarios. Compared to models that require large amounts of annotated data and extensive pre-training, such as transformer-based SegFormer or instance segmentation-dependent Mask R-CNN, U2-Net—as a saliency detection model—features a network architecture specifically designed to learn discriminative features more efficiently from limited samples, demonstrating stronger robustness when training data is scarce [48]. Furthermore, U2-Net maintains relatively high segmentation accuracy while containing fewer parameters, resulting in higher computational efficiency. This makes it particularly suitable for rapid deployment in applications targeting specific regions with limited sample sizes. Architecturally, the core innovation of U2-Net lies in its two-level nested U-shaped structure. Unlike the standard U-Net, which comprises a single Encoder–Decoder path, U2-Net incorporates a compact U-shaped structure, known as a Residual U-block (RSU), into each encoder stage (Figure 3). This novel convolutional block enables the extraction of intra-scale and multi-scale features without reducing the resolution of the feature maps [49]. Under limited training data conditions, this powerful multi-scale feature extraction capability is crucial for accurately identifying tree crowns of varying shapes and sizes. It helps mitigate model underfitting caused by insufficient sample diversity, thereby significantly improving the accuracy of segmentation boundaries and successfully achieving high-precision extraction of Olea europaea L. CA.
Figure 3.
U2-Net Network Structure (Adapted from Qin et al. [40]).
Throughout the training process, the model generates a total of seven sets of feature maps (S(1)side to S(6)side, along with the final prediction maps). This study utilized supervised final prediction maps and intermediate feature maps at various scales, computing seven losses per iteration to refine model parameters and accurately represent the overlapping CA with minimal error (Equation (13)).
where L is the Binary Cross-Entropy Loss, and W is the balance coefficient between each loss. In the source code, W = 1, M = 6, i.e., Sup1~Sup6. Equation (13) can be viewed as 2 parts: one part is the loss between Sup1~Sup6 and GT (before calculating the loss, it is necessary to get the corresponding probability map of Sup1~Sup6 through the Sigmoid activation function), i.e., , and the other part is the loss between the probability map obtained from the final fusion and GT, i.e., .
2.4.2. Olea europaea L. CA Extraction Method Using U2-Net
This research, performed on the Linux platform, utilized the ‘AnyLabeling’ image annotation tool to manually annotate Olea europaea L. CA, producing files in JSON format. The original images were resized to 1024 × 1024 pixels and partitioned into a training set comprising 1424 images (80%) and a test set consisting of 355 images (20%). The model parameters were configured as follows: Three hundred epochs, a batch size of twelve, a learning rate of 0.001, the AdamW optimizer, and the model was trained to utilize a Tesla P100 graphics card. Image data augmentation techniques (e.g., Resize, Random Crop, Random Horizontal Flip, Random Rotate90, Normalize, etc.) are employed to optimize model training efficiency and improve outcomes. The model was assessed utilizing the metrics of Recall (R, Equation (14)), Precision (P, Equation (15)), and F1-score (Equation (16)), which have been effectively employed in UAV-based mango tree canopy area extraction research [23]. Given that both mango and Olea europaea L. are evergreen, perennial economic crops with analogous canopy morphology and remote sensing attributes, this evaluation framework is equally suitable for assessing the accuracy of the U2-Net model in identifying Olea europaea L. CA.
where TP (True Positive) indicates the number of positive samples predicted by the model and the actual number of positive samples; FP (False Positive) indicates the number of positive samples predicted by the model and the actual number of negative samples; FN (False Negative) indicates the number of negative samples predicted by the model and the actual number of positive samples.
2.4.3. Methodology for Validation of CA Accuracy in Olea europaea L.
The CA predicted by the model was computed using the U2-Net segmentation results. The model’s efficacy in CA extraction for Olea europaea L. was assessed by juxtaposing it with the reference CA delineated in ArcGIS 10.8, utilizing the CA accuracy assessment formula (Equation (18)) [50].
where Re denotes the relative error, A denotes the sample accuracy, CP denotes the CA extracted by the U2-Net model, CR denotes the CA outlined by ArcGIS 10.8, Rei denotes the relative error of the ith sample, and n denotes the number of samples.
3. Results
3.1. Whole-Plant Biomass Modeling of Olea europaea L. Based on CA Single-Parameter
3.1.1. W-D-H Model
The nonlinear biomass estimation for each organ of Olea europaea L. was conducted, and the fitting quality was assessed based on R2, MPE, RMSE, and TRE. The optimal model for trunk biomass is W = 2.29131 × 10−4D2.313H0.784, for bark biomass is W = 1.54042 × 10−4D1.926H0.870, for leaf biomass is W = 0.00435D1.626H0.439, for root biomass (BGB) is W = 0.012D1.231H0.525, and for AGB is W = 0.0025D1.943H0.690. In fitting the branch biomass model, no combination of maximum R2 and minimum error exists; therefore, the minimum RMSE and TRE are chosen as the optimal model evaluation criteria (RMSE directly quantifies the average magnitude of prediction deviations, and its minimization helps control the absolute range of prediction errors. In contrast, TRE reflects the systematic tendency to overestimate or underestimate; minimizing TRE effectively reduces bias in overall biomass estimation. Although this criterion does not solely pursue the maximum R2, it ensures greater robustness and reliability in practical applications [51], making it particularly suitable for subsequent regional-scale biomass estimation). Consequently, the optimal branch biomass model is represented as W = 3.73567 × 10−4(DH)1.120 (Table 5).
Table 5.
Biomass model for each organ.
The generalization ability of each optimal model was evaluated using independent test samples. The evaluation of model performance was conducted utilizing four metrics: R2, MPE, RMSE, and TRE (Table 6). The evaluation results indicated the following ranges: R2 = 0.734 to 0.942; MPE = 2.716 to 32.845; RMSE = 1.094 to 4.381; and TRE = −4.280 to 5.406. The models exhibited strong predictive efficacy and are appropriate for estimating whole-plant biomass in Olea europaea L.
Table 6.
Generalizability test of the optimal model for the biomass of each organ.
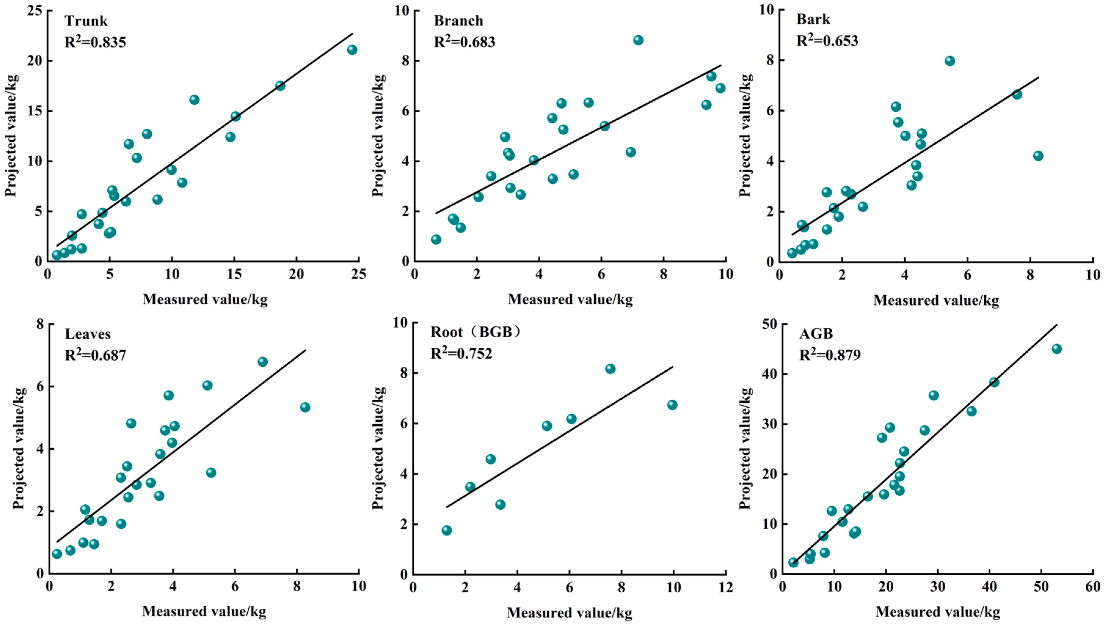
To assess model performance, we created scatter plots juxtaposing predicted and measured biomass values for each organ (Figure 4) and applied linear regression models (Y = kx + b). The regression analysis produced R2 values ranging from 0.653 to 0.879 and slope coefficients (k) between 0.642 and 0.938, signifying a robust correlation between predicted and observed values and illustrating a satisfactory model fit.
Figure 4.
Scatterplot of predicted and measured values of the optimal model for each organ.
3.1.2. CA-D and CA-H Model
The fitting analysis indicated that the diameter at D demonstrated a robust positive correlation with CA, whereas H displayed a weaker yet still positive correlation with CA. Among the various growth models assessed (Table 7), the power function exhibiting the highest R2 was selected as the optimal model for CA-D and CA-H.
where D is the ground diameter (cm), H is the tree height (cm), and C is the CA (m2).
Table 7.
Multi-model fitting results.
Utilizing the CA delineated in ArcGIS 10.8 as a benchmark, we assessed the CA-D and CA-H models against independent test data (Table 8). The CA-D model achieved moderate predictive performance with R2 = 0.656 between predicted and observed diameters, accompanied by an MPE of 20.782, RMSE of 2.257, and TRE of −1.993. For the CA-H model, the prediction accuracy was comparable (R2 = 0.652), with error metrics of MPE = 6.180, RMSE = 0.300, and TRE = −3.420.
Table 8.
Validation results of measured and predicted values of test samples D and H.
3.1.3. Single-Parameter Whole-Plant Biomass Modeling of Olea europaea L. in CA
We established UAV-based predictive models for Olea europaea L. by integrating the previously developed optimal models for AGB and BGB with the optimal CA-D (Equation (19)) and CA-H (Equation (20)) models, resulting in: (1) AGB (Equation (21)), (2) BGB (Equation (22)), and (3) whole-plant biomass (Equation (23)). The test samples were employed to assess the AGB and BGB of Olea europaea L. (Figure 5 and Figure 6).
where WA is AGB (kg), WB is BGB (kg), WT is Olea europaea L. whole-plant biomass (kg), and C is CA (m2).
Figure 5.
Test samples to estimate Olea europaea L. AGB results.
Figure 6.
Test samples to estimate Olea europaea L. BGB results.
The accuracy of the model was verified by juxtaposing UAV-predicted AGB and BGB values with field-measured AGB and BGB values, respectively. The validation outcomes indicated: (1) AGB model: R2 = 0.845, MPE = 25.510, RMSE = 4.869, TRE = −0.154; (2) BGB model: R2 = 0.741, MPE = 40.273, RMSE = 1.496, TRE = −2.978. The results indicate that both models attain high predictive accuracy, exhibiting exceptional applicability and generalization ability.
3.2. Results of Automatic Identification of Olea europaea L. CA Based on the U2-Net Algorithm
The U2-Net model exhibited proficient recognition and segmentation of Olea europaea L. CA amidst intricate forest backdrops (Figure 7), attaining commendable performance. Nonetheless, the cumulative expansion of the Olea europaea L. canopy renders segmentation challenging or unfeasible.
Figure 7.
Performance of the U2-Net model in recognition segmentation. ((a) represents the measured map devoid of shadow effects, while (b) denotes the measured map inclusive of shadow effects; (a1,a2,b1,b2) correspond to their respective predicted maps).
Despite crown density inducing slight edge-segmentation discrepancies (such as over-segmentation or missed detection), the extraction accuracy remains at 0.856. Upon validation against the CA specified in ArcGIS 10.8, the model attained: R2 = 0.840, MPE = 14.589, TRE = 11.014, and RMSE = 1.452. The results indicate the U2-Net model’s robust performance (Table 9), facilitating precise and efficient extraction of Olea europaea L. CA.
Table 9.
Accuracy evaluation of the U2-Net model.
3.3. Results of Biomass Estimation in the Sample Plots of the Study Area
3.3.1. Results of Olea europaea L. Biomass Estimation Based on Different Models
A total of 284 Olea europaea L. trees from 15 sample plots were utilized to estimate whole-plant biomass in each plot, based on CA extracted from the U2-Net and UUTB models, as well as D and H predicted by the CA-D and CA-H models, in conjunction with the W-D-H model, alongside measured D, H, and the W-D-H model (Figure 8). The precision of the estimates was confirmed utilizing R2, MPE, RMSE, and TRE. The results indicated that the Olea europaea L. biomass in the sample plot, as estimated by the UUTB model, was 9675.264 kg, or 1.290 kg per square meter; the biomass estimated using the predicted D, H, and the W-D-H model was 10,490.116 kg, or 1.399 kg per square meter; and the biomass estimated through the measured D, H, and the W-D-H model was 10,861.681 kg or 1.448 kg per square meter.
Figure 8.
Comparison of biomass. (Note: A represents estimates based on the UUTB model; B represents estimates based on predicted D, H; C represents estimates based on measured D, H).
3.3.2. Comparative Analysis of Estimation Results
The UUTB model estimates and the predicted estimates for D, H, and the W-D-H model were validated for accuracy against the measured estimates of D, H, and the W-D-H model, respectively, utilizing R2, MPE, RMSE, and TRE as evaluation metrics (Figure 9 and Figure 10). The R2 values between the UUTB model estimates and the measured D, H, and W-D-H model estimates varied from 0.675 to 0.929; the MPE fluctuated between 5.857 and 117.06; the RMSE ranged from 2.235 to 11.492; and the TRE spanned from −0.932 to 20.675. Correspondingly, the R2 values between the estimates from the CA-D and CA-H models (predicting D, H, and the W-D-H model) and the observed D, H, and W-D-H model estimates varied from 0.709 to 0.945; the MPE fluctuated between 6.077 and 154.43; the RMSE ranged from 2.591 to 13.242; and the TRE spanned from −13.15 to 9.617.
Figure 9.
Evaluation of the estimation results of the UUTB model and the W-D-H model.
Figure 10.
Evaluation of the estimation results of the CA-D and CA-H models predicted D, H, and the W-D-H model.
The suboptimal image quality and denser canopies in sample plots 8 and 14 resulted in inferior inversion outcomes in these plots. The overall R2 of the sample area was 0.855, signifying that the UUTB model exhibits robust predictive performance. This study on Olea europaea L. whole-plant biomass serves as a reference method for future researchers, establishes a scientific foundation for monitoring Olea europaea L. resources and predicting yields, and offers theoretical support for evaluating its carbon sequestration and ecological service functions.
4. Discussion
This study aims to develop a cost-effective method utilizing UAV-RGB imagery and the U2-Net model to achieve accurate biomass estimation for densely planted dwarf Olea europaea L. By integrating field-measured and remote sensing data, we constructed and validated biomass estimation models spanning individual tree to plot scales. The discussion will address the following aspects: (1) systematic analysis of the performance and uncertainties of allometric growth models for Olea europaea L. based on ground-truth data; (2) evaluation of the fitting efficacy and application potential of CA-based single-parameter biomass models; (3) focused examination of the advantages and accuracy of U2-Net combined with UAV-RGB imagery in automated extraction of complex canopy structures; (4) critical assessment of the methodological limitations in applications across different tree species and geographical regions, along with proposed directions for future research.
4.1. Characteristics and Organ-Specific Variation in Allometric Equations for Olea europaea L. Biomass
As the first systematic attempt to establish biomass estimation models based on empirical measurements of 120 Olea europaea L. specimens, this study yields several key findings: the AGB model is expressed as WA = 0.0025D1.943H0.690 (R2 = 0.912, MPE = 19.176, RMSE = 3.953, TRE = 0.848), while the BGB model is represented as WB = 0.012D1.231H0.525 (R2 = 0.693, MPE = 27.285, RMSE = 1.538, TRE = −0.036). The R2 values for both the Olea europaea L. AGB and trunk biomass models surpassed 0.900, signifying robust correlations between trunk dimensions and the predictive variables. Although the models for other organs demonstrated relatively lower predictive accuracy (R2 > 0.677), these results align with observations from natural Larix gmelinii forests [52]. The trunk, being the principal component of Olea europaea L. biomass, significantly contributes to the overall plant biomass, while the analysis and collection of other organs present greater challenges, factors that collectively affect model precision. This study determined that the optimal model for branch biomass is represented by W = a(DH)b, whereas other components adhere to the form W = aDbHc. The fitting results utilizing the D-H composite factor as the independent variable demonstrated enhanced performance, aligning with the findings for Abies Fabri [53]. The diameter at D exhibited the most significant correlation with biomass among the various easily measurable factors. Nevertheless, simplistic models predicated solely on D frequently inadequately account for biomass discrepancies among trees exhibiting analogous D values [54]. In contrast, excessively intricate models are susceptible to overfitting, leading to heightened sensitivity to training data and possible multicollinearity complications [55]. In applied biomass modeling, variable selection and functional forms must be judiciously determined based on the attributes of the study species to reduce data collection complexity and mitigate potential errors arising from the inclusion of multicollinearity that may undermine model accuracy. This study offers a technical reference regarding the constraints on the generalization of biomass modeling between natural and plantation forests of Olea europaea L., influenced by the growing environment, community structure, and resource allocation [56].
4.2. Fitting Effect and Error Analysis of the CA Single-Parameter Olea europaea L. Biomass Model
This study developed the CA single-parameter AGB model as WA = 1.80901C1.181 and the BGB model as WB = 1.25043C0.772, with model accuracy validated against measured AGB, BGB, and AGB and BGB predicted by the CA single-parameter model. The R2 of the AGB model is 0.845, MPE is 25.510, RMSE is 4.869, and TRE is −0.154; the R2 of the BGB model is 0.741, MPE is 40.273, RMSE is 1.496, and TRE is −2.978. While the UUTB model (R2 = 0.855) demonstrates a predictable and marginal decrease in accuracy compared to the ground-based W-D-H model (R2 = 0.912), this compromise must be evaluated in the context of its substantial gains in operational efficiency and scalability. The model achieves this performance without the need for extensive field measurements of D and H, representing a transition from labor-intensive, plot-level sampling to a rapid, scalable remote sensing paradigm. This trade-off is justified for large-scale applications where operational feasibility is paramount. The CA single-parameter was employed due to the belief that parameters such as D, H, and CA are significant indicators of tree growth, and there exists a strong biological correlation among these parameters. [57,58]. Consequently, the study initially formulated the W-D-H model and subsequently estimated biomass indirectly via the CA-D and CA-H models, thereby mitigating bias attributable to a singular factor [59,60]. However, within the modeling chain, we observed that the correlation between CA-H (R2 = 0.500) was significantly weaker than that between CA-D (R2 = 0.751). This weaker correlation implies substantial uncertainty when indirectly estimating H from CA, which may propagate and even amplify through subsequent biomass estimation steps, thereby posing a challenge to the accuracy of the final results. Nevertheless, a comprehensive evaluation demonstrates that despite the risk of such uncertainty propagation, the overall error transmission effect resulting from the concatenation of the W-D-H model with the CA-D and CA-H models remains within an acceptable range. Therefore, constructing a CA-based single-parameter biomass model still demonstrates satisfactory applicability, which is consistent with the performance of CA-D and CA-H allometric relationships reported in previous studies [28,29,30,61,62]. The error transfer between the W-D-H model developed in this study and the CA-D and CA-H models is minimal and within an acceptable range, demonstrating strong applicability for constructing the CA single-parameter model. Furthermore, the incorporation of allometric equations, UAV imagery, and field-measured biomass data can improve the precision of UAV-based biomass estimation, as effectively illustrated in mangrove AGB evaluation (RMSE = 38.12 Mg ha−1). [63,64]. In comparison to equations parameterized by terrestrial tree morphological measurements, the optimal UAV-derived equation established in this study exhibited marginally lower—albeit still satisfactory—biomass estimation accuracy, aligning with UAV-RGB-based AGB estimates (R2 = 0.732) documented for semi-arid plantations in Inner Mongolia, China [12]. Furthermore, the study area is limited in scope, the number of sampling points is insufficient, and the inversion results may yield certain inaccuracies [65,66], as well as the field data measurement errors, RGB image correction errors, models, and sampling and other uncertainties that will affect the accuracy of the estimation [67]. The reduction of these errors can be accomplished by expanding the sample size, utilizing multiple sources of remotely sensed data, developing biomass models for various species and levels of depression, and incorporating environmental factors (e.g., topographic, climatic, and hydrological variables) into the modeling process [68].
4.3. Advantages of U2-Net Combined with UAV-RGB Imagery for Automated Extraction of a Large Range of Olea europaea L. CA
The research effectively identified Olea europaea L. CA (Accuracy of 0.856) in Eshan County, Yunnan Province, utilizing U2-Net alongside UAV-RGB imagery. This methodology prioritizes operational practicality and cost-effectiveness over pursuing marginal improvements in accuracy. By utilizing low-cost RGB sensors and an automated processing workflow, it establishes a practical alternative to both high-cost technologies (e.g., LiDAR and hyperspectral imaging) and traditional methods such as manual measurements, which are challenging to implement at scale. Consequently, the core contribution of this approach lies not in outperforming conventional methods in terms of precision, but in providing robust and acceptable accuracy while simultaneously achieving scalable monitoring capabilities. The employed UAV-RGB camera offers a combination of advantages, including low cost, light weight, high resolution, and straightforward data processing [69,70]. Compared to multifunctional but costly and operationally complex sensors such as multispectral, hyperspectral, and LiDAR systems [71], RGB cameras—despite their limitations in spectral and three-dimensional information—offer superior cost-effectiveness and operational efficiency that better align with the requirements for large-scale, routine agricultural remote sensing monitoring in the future. Therefore, within a low-cost and high-efficiency technical framework, this study integrates advanced deep learning models to explore the performance potential of RGB imagery for estimating Olea europaea L. biomass, aiming to provide a feasible and scalable monitoring solution for resource-constrained scenarios. Meanwhile, U2-Net has been employed in construction (F-measures of 90.64 for the optimal threshold and 90.77 for the fixed edge threshold) [72], medicine (accuracy of 99.83%) [73], and agriculture (average accuracy of 89.5%) [74]. The results of these applications are favorable, and the accuracy satisfies practical requirements. This study further illustrates that employing the U2-Net model, utilizing UAV-RGB imagery for the identification of Olea europaea L. CA in forestry, achieves superior accuracy and fulfills practical monitoring requirements. The accuracy of this method in this study was 0.856, which is marginally lower than the identification accuracy of Olea europaea L. CA in Minhou County, Fujian Province, China (91.55%) [36], and slightly lower compared to other fields. The findings are primarily influenced by the mountainous terrain of Olea europaea L. groves in this study area, characterized by diverse species, extensive distribution, and a complex understory planting context, which is more intricate than that of buildings, crops, and medical imaging. The whole-plant biomass of Olea europaea L. across 15 sample plots was estimated using the CA and UUTB model derived from U2-Net (R2 = 0.855), further demonstrating the high accuracy of automatic extraction of extensive Olea europaea L. CA through UAV-RGB images in conjunction with U2-Net. Compared to existing studies (e.g., the Mask R-CNN model applied in natural forest canopy segmentation [9]), the innovative value of our method is particularly evident when addressing the specific context of densely planted dwarf trees, mainly reflected in three aspects: First, in Olea europaea L. cultivation areas with highly overlapping canopies and blurred boundaries, U2-Net’s multi-scale feature fusion mechanism more effectively captures complete canopy contours than instance segmentation models that rely on clear object boundaries. Second, the RGB image-based solution significantly reduces technical barriers and economic costs while maintaining accuracy. Most importantly, the technical framework established in this study provides a transferable and low-cost monitoring solution for other economically important tree species with similarly complex canopy structures, such as citrus and tea plants.
4.4. Model Generalizability and Uncertainty Analysis
This study employed the U2-Net model to achieve accurate crown delineation in Olea europaea L. plantations, though its applicability to other tree species requires further validation. Previous studies have demonstrated that interspecific variations in crown architecture, spectral characteristics, and growing environments may significantly constrain model generalizability [75]. Direct application of our trained model to dissimilar species could consequently lead to compromised segmentation accuracy. Therefore, species-specific training data collection and model parameter optimization are essential to improve crown extraction accuracy across different tree species. Furthermore, we observed notable regional variations in model performance, likely attributable to differential anthropogenic management intensities in plantations. The model demonstrated superior performance in intensively managed areas (e.g., with regular pruning and fertilization) where crown structures were more homogeneous. Conversely, segmentation accuracy decreased in extensively managed regions or areas with substantial natural disturbances, where greater crown morphological variability occurred [76,77]. This finding indicates that model application across different geographical regions requires retraining with local forest management characteristics to account for regional specificity. Although U2-Net demonstrated satisfactory performance in this study, its effectiveness remains dependent on training data and has not yet been comparatively analyzed with field-measured crown parameters. To address these limitations, future research will focus on systematically collecting multi-regional and multi-species sample data to construct more diverse training sets. We will prioritize exploring algorithms such as transfer learning, aiming to efficiently fine-tune models using limited annotated data from target regions. This approach is expected to significantly enhance model adaptability across geographical areas and tree species, reduce application costs, and ultimately lead to the development of more robust and practical crown area extraction tools, thereby facilitating the construction of more universal allometric equations.
5. Conclusions
This study presents the first attempt to develop a rapid, accurate, and large-scale whole-plant biomass estimation model for Olea europaea L. using UAV-RGB imagery and U2-Net, yielding the following conclusions: (1) both the aboveground and belowground biomass models constructed based on D and H demonstrated high fitting accuracy; (2) the integration of U2-Net with UAV-RGB imagery achieved high-precision CA identification in Olea europaea L. plantations; (3) the CA-based single-parameter biomass estimation models exhibited satisfactory precision for both aboveground and belowground components; (4) the proposed UUTB model demonstrated stable performance in plot-scale biomass estimation, showing strong potential for broader application. The biomass estimation model developed in this study provides effective technical support for yield prediction and carbon sequestration assessment in Olea europaea L. cultivation. The technical pathway based on U2-Net and UAV-RGB imagery offers advantages in cost control and operational simplicity, making it suitable for regional-scale implementation. However, the current model accuracy is constrained by the limited study area and sample size, without fully accounting for environmental factors and management practices. Future research should systematically incorporate environmental variables such as altitude, slope, and mean annual precipitation, along with key management parameters including pruning intensity and fertilization levels. Through multi-source data fusion and model structure optimization, a more universal biomass estimation system can be established, providing more reliable decision-making support for precision management and ecological benefit assessment of Olea europaea L. plantations.
Author Contributions
Data curation, Y.H., N.L., Y.Y., C.D., J.G. and Y.C.; Formal analysis, J.G.; Conceptualization, W.K. and N.L.; Investigation, Y.H., W.K., Z.Y., Y.S. and Y.C.; Methodology, Y.H. and Y.S.; Resources, W.K.; Software, Y.H., Y.Y. and Z.Y.; Validation, L.S.H. and C.D.; Writing—original draft, Y.H.; Writing—review and editing, W.K., N.L. and L.S.H. All authors have read and agreed to the published version of the manuscript.
Funding
This research was funded by the Yunnan Basic Research Program (202301BD070001-160), Yunnan International Joint Laboratory of Intelligent Monitoring and Digital Application of Natural Rubber (202403AP140001), Agricultural Joint Project of Yunnan province (202301BD070001-241), and special funding for Industrial Innovation Talents under the Xingdian Talent Program of Yunnan Province.
Data Availability Statement
The dataset belongs to an ongoing research project and is currently unavailable. Those requiring access may contact the corresponding author for consultation.
Acknowledgments
We sincerely appreciate the dedicated efforts of the editorial team and anonymous reviewers of your esteemed journal. Our heartfelt gratitude also extends to our research group members and other individuals who assisted with experimental data collection. We are deeply thankful to all institutions and individuals who contributed to the development of this manuscript.
Conflicts of Interest
The authors declare no conflicts of interest.
References
- Sarwar, G.; Anwar, T.; Chaudhary, M.S.; Jamil, M.; Kamal, A.; Mustafa, A.E.-Z.M.A.; Al-Ghamdi, A.A.; Ullah, F.; Zaman, W. Study of Comparative Morphology of Eight Cultivated Genotypes of Olea europaea L. Horticulturae 2023, 9, 696. [Google Scholar] [CrossRef]
- Mansour, H.M.M.; Zeitoun, A.A.; Abd-Rabou, H.S.; El Enshasy, H.A.; Dailin, D.J.; Zeitoun, M.A.A.; El-Sohaimy, S.A. Antioxidant and Anti-Diabetic Properties of Olive (Olea europaea) Leaf Extracts: In Vitro and In Vivo Evaluation. Antioxidants 2023, 12, 1275. [Google Scholar] [CrossRef]
- Tang, L. Whole Industrial Chain Development Ideas of Olea europaea in Yunnan Province. Agric. Technol. Equip. 2024, 413, 17–19. [Google Scholar]
- Cheng, H. Current Situation and Development Countermeasures of Yunnan Olive Industry. For. Sci. Technol. 2024, 02, 40–43. [Google Scholar]
- Zhang, W.; Zhao, L.; Li, Y.; Shi, J.; Yan, M.; Ji, Y. Forest Above-Ground Biomass Inversion Using Optical and SAR Images Based on a Multi-Step Feature Optimized Inversion Model. Remote Sens. 2022, 14, 1608. [Google Scholar] [CrossRef]
- Turton, A.E.; Augustin, N.H.; Mitchard, E.T.A. Improving Estimates and Change Detection of Forest Above-Ground Biomass Using Statistical Methods. Remote Sens. 2022, 14, 4911. [Google Scholar] [CrossRef]
- Fu, W.; Niu, C.; Hu, C.; Zhang, P.; Chen, Y. Constructing and Validating Estimation Models for Individual-Tree Aboveground Biomass of Salix Suchowensis in China. Forests 2024, 15, 1371. [Google Scholar] [CrossRef]
- Liu, B.; Bu, W.; Zang, R. Improved Allometric Models to Estimate the Aboveground Biomass of Younger Secondary Tropical Forests. Glob. Ecol. Conserv. 2023, 41, e02359. [Google Scholar] [CrossRef]
- Gong, M.; Kou, W.; Lu, N.; Chen, Y.; Sun, Y.; Lai, H.; Chen, B.; Wang, J.; Li, C. Individual Tree AGB Estimation of Malania Oleifera Based on UAV-RGB Imagery and Mask R-CNN. Forests 2023, 14, 1493. [Google Scholar] [CrossRef]
- Ou, G.; Xu, H. A Review on Forest Biomass Models. J. Southwest For. Univ. 2020, 40, 1–10. [Google Scholar]
- Demol, M.; Verbeeck, H.; Gielen, B.; Armston, J.; Burt, A.; Disney, M.; Duncanson, L.; Hackenberg, J.; Kükenbrink, D.; Lau, A.; et al. Estimating Forest Above-ground Biomass with Terrestrial Laser Scanning: Current Status and Future Directions. Methods Ecol. Evol. 2022, 13, 1628–1639. [Google Scholar] [CrossRef]
- Jin, X.-L.; Liu, Y.; Yu, X.-B. UAV-RGB-Image-Based Aboveground Biomass Equation for Planted Forest in Semi-Arid Inner Mongolia, China. Ecol. Inform. 2024, 81, 102574. [Google Scholar] [CrossRef]
- Zhou, Y.; Liu, T.; Batelaan, O.; Duan, L.; Wang, Y.; Li, X.; Li, M. Spatiotemporal Fusion of Multi-Source Remote Sensing Data for Estimating Aboveground Biomass of Grassland. Ecol. Indic. 2023, 146, 109892. [Google Scholar] [CrossRef]
- Qadeer, A.; Shakir, M.; Wang, L.; Talha, S.M. Evaluating Machine Learning Approaches for Aboveground Biomass Prediction in Fragmented High-Elevated Forests Using Multi-Sensor Satellite Data. Remote Sens. Appl. Soc. Environ. 2024, 36, 101291. [Google Scholar] [CrossRef]
- Guerini Filho, M.; Kuplich, T.M.; Quadros, F.L.F.D. Estimating Natural Grassland Biomass by Vegetation Indices Using Sentinel 2 Remote Sensing Data. Int. J. Remote Sens. 2020, 41, 2861–2876. [Google Scholar] [CrossRef]
- Ji, S.; Dashpurev, B.; Phan, T.N.; Dorj, M.; Jäschke, Y.; Lehnert, L. Above-ground Biomass Retrieval with Multi-source Data: Prediction and Applicability Analysis in E Astern M Ongolia. Land Degrad. Dev. 2024, 35, 2982–2992. [Google Scholar] [CrossRef]
- Zeng, P.; Zhang, W.; Li, Y.; Shi, J.; Wang, Z. Forest Total and Component Above-Ground Biomass (AGB) Estimation through C- and L-Band Polarimetric SAR Data. Forests 2022, 13, 442. [Google Scholar] [CrossRef]
- Nuthammachot, N.; Askar, A.; Stratoulias, D.; Wicaksono, P. Combined Use of Sentinel-1 and Sentinel-2 Data for Improving above-Ground Biomass Estimation. Geocarto Int. 2022, 37, 366–376. [Google Scholar] [CrossRef]
- Zurqani, H.A. A Multi-Source Approach Combining GEDI LiDAR, Satellite Data, and Machine Learning Algorithms for Estimating Forest Aboveground Biomass on Google Earth Engine Platform. Ecol. Inform. 2025, 86, 103052. [Google Scholar] [CrossRef]
- Hojo, A.; Avtar, R.; Nakaji, T.; Tadono, T.; Takagi, K. Modeling Forest Above-Ground Biomass Using Freely Available Satellite and Multisource Datasets. Ecol. Inform. 2023, 74, 101973. [Google Scholar] [CrossRef]
- Aasen, H.; Burkart, A.; Bolten, A.; Bareth, G. Generating 3D Hyperspectral Information with Lightweight UAV Snapshot Cameras for Vegetation Monitoring: From Camera Calibration to Quality Assurance. ISPRS J. Photogramm. Remote Sens. 2015, 108, 245–259. [Google Scholar] [CrossRef]
- Reddy Maddikunta, P.K.; Hakak, S.; Alazab, M.; Bhattacharya, S.; Gadekallu, T.R.; Khan, W.Z.; Pham, Q.-V. Unmanned Aerial Vehicles in Smart Agriculture: Applications, Requirements, and Challenges. IEEE Sens. J. 2021, 21, 17608–17619. [Google Scholar] [CrossRef]
- Yang, Y.; Zeng, T.; Li, L.; Fang, J.; Fu, W.; Gu, Y. Canopy Extraction of Mango Trees in Hilly and Plain Orchards Using UAV Images: Performance of Machine Learning vs Deep Learning. Ecol. Inform. 2025, 87, 103101. [Google Scholar] [CrossRef]
- Tian, Y.; Huang, H.; Zhou, G.; Zhang, Q.; Tao, J.; Zhang, Y.; Lin, J. Aboveground Mangrove Biomass Estimation in Beibu Gulf Using Machine Learning and UAV Remote Sensing. Sci. Total Environ. 2021, 781, 146816. [Google Scholar] [CrossRef]
- Mao, P.; Qin, L.; Hao, M.; Zhao, W.; Luo, J.; Qiu, X.; Xu, L.; Xiong, Y.; Ran, Y.; Yan, C.; et al. An Improved Approach to Estimate Above-Ground Volume and Biomass of Desert Shrub Communities Based on UAV RGB Images. Ecol. Indic. 2021, 125, 107494. [Google Scholar] [CrossRef]
- Liang, Y.; Kou, W.; Lai, H.; Wang, J.; Wang, Q.; Xu, W.; Wang, H.; Lu, N. Improved Estimation of Aboveground Biomass in Rubber Plantations by Fusing Spectral and Textural Information from UAV-Based RGB Imagery. Ecol. Indic. 2022, 142, 109286. [Google Scholar] [CrossRef]
- Zheng, C.; Abd-Elrahman, A.; Whitaker, V.; Dalid, C. Prediction of Strawberry Dry Biomass from UAV Multispectral Imagery Using Multiple Machine Learning Methods. Remote Sens. 2022, 14, 4511. [Google Scholar] [CrossRef]
- Asigbaase, M.; Dawoe, E.; Abugre, S.; Kyereh, B.; Ayine Nsor, C. Allometric Relationships between Stem Diameter, Height and Crown Area of Associated Trees of Cocoa Agroforests of Ghana. Sci. Rep. 2023, 13, 14897. [Google Scholar] [CrossRef] [PubMed]
- Dong, L.; Hu, X.; Yang, W. Study on Crown Prediction Model of Haloxylon Ammodendron in Different Habitats. For. Eng. 2024, 40, 1–10. [Google Scholar]
- Sun, C. Prediction Model of Single Tree Crown Width of Larix Principis-Rupprechtii in Saihanba National Forest Park. For. Investig. Des. 2023, 52, 88–94. [Google Scholar]
- Pond, N.C.; Froese, R.E. Evaluating Published Approaches for Modelling Diameter at Breast Height from Stump Dimensions. For. Int. J. For. Res. 2014, 87, 683–696. [Google Scholar] [CrossRef]
- Zhang, S.; Sun, J.; Duan, A.; Zhang, J. Variable-Exponent Taper Equation Based on Multilevel Nonlinear Mixed Effect for Chinese Fir in China. Forests 2021, 12, 126. [Google Scholar] [CrossRef]
- Mohan, M.; Silva, C.; Klauberg, C.; Jat, P.; Catts, G.; Cardil, A.; Hudak, A.; Dia, M. Individual Tree Detection from Unmanned Aerial Vehicle (UAV) Derived Canopy Height Model in an Open Canopy Mixed Conifer Forest. Forests 2017, 8, 340. [Google Scholar] [CrossRef]
- Wongchai, W.; Onsree, T.; Sukkam, N.; Promwungkwa, A.; Tippayawong, N. Machine Learning Models for Estimating above Ground Biomass of Fast Growing Trees. Expert Syst. Appl. 2022, 199, 117186. [Google Scholar] [CrossRef]
- Fei, S.; Hassan, M.A.; Xiao, Y.; Su, X.; Chen, Z.; Cheng, Q.; Duan, F.; Chen, R.; Ma, Y. UAV-Based Multi-Sensor Data Fusion and Machine Learning Algorithm for Yield Prediction in Wheat. Precis. Agric. 2023, 24, 187–212. [Google Scholar] [CrossRef] [PubMed]
- Ye, Z.; Wei, J.; Lin, Y.; Guo, Q.; Zhang, J.; Zhang, H.; Deng, H.; Yang, K. Extraction of Olive Crown Based on UAV Visible Images and the U2-Net Deep Learning Model. Remote Sens. 2022, 14, 1523. [Google Scholar] [CrossRef]
- Beloiu, M.; Heinzmann, L.; Rehush, N.; Gessler, A.; Griess, V.C. Individual Tree-Crown Detection and Species Identification in Heterogeneous Forests Using Aerial RGB Imagery and Deep Learning. Remote Sens. 2023, 15, 1463. [Google Scholar] [CrossRef]
- Liu, Z.; Dong, A.; Yu, J.; Han, Y.; Zhou, Y.; Zhao, K. Scene Classification for Remote Sensing Images with Self-Attention Augmented CNN. IET Image Process. 2022, 16, 3085–3096. [Google Scholar] [CrossRef]
- Papa, L.; Russo, P.; Amerini, I.; Zhou, L. A Survey on Efficient Vision Transformers: Algorithms, Techniques, and Performance Benchmarking. IEEE Trans. Pattern Anal. Mach. Intell. 2024, 46, 7682–7700. [Google Scholar] [CrossRef]
- Qin, X.; Zhang, Z.; Huang, C.; Dehghan, M.; Zaiane, O.R.; Jagersand, M. U2-Net: Going Deeper with Nested U-Structure for Salient Object Detection. Pattern Recognit. 2020, 106, 107404. [Google Scholar] [CrossRef]
- Chen, C.; Zou, Z.; Sun, W.; Yang, G.; Song, Y.; Liu, Z. Mapping the Distribution and Dynamics of Coastal Aquaculture Ponds Using Landsat Time Series Data Based on U2-Net Deep Learning Model. Int. J. Digit. Earth 2024, 17, 2346258. [Google Scholar] [CrossRef]
- Ning, D.; Lu, B.; Du, C.; Li, Y.; Liao, Y.; Zhang, Y. Division of Suitable Cultivation Areas for Olive in Yunnan Province. China For. Sci. Technol. 2008, 22, 39–41. [Google Scholar]
- LY/T 2259—2014; Technical Regulation on Sample Collections for Biomass Modeling. Standards Press of China: Beijing, China, 2014.
- Li, Y.; Zhang, J.; Duan, A.; Xiang, C. Selection of Biomass Estimation Models for Chinese Fir Plantation. Chin. J. Appl. Ecol. 2010, 21, 3036–3046. [Google Scholar]
- Li, Z.; Luo, Q.; Xu, Z. The Impact of Forest Density on Biomass Allocation Pattern and Allometric Growth of Spruce Stands in Xueling, Western Tianshan Mountains. Arid. Zone Res. 2021, 38, 545–552. [Google Scholar]
- Ye, J.; Wu, B.; Liu, M.; Gao, Y.; Gao, J.; Lei, Y. Estimation of Aboveground Biomass of Vegetation in the Desert-Oasis Ecotone on the Northeastern Edge of the Ulan Buh Desert. Acta Ecol. Sin. 2018, 38, 1216–1225. [Google Scholar] [CrossRef]
- Lei, L.; Chai, G.; Wang, Y.; Jia, X.; Yin, T.; Zhang, X. Estimating Individual Tree Above-Ground Biomass of Chinese Fir Plantation: Exploring the Combination of Multi-Dimensional Features from UAV Oblique Photos. Remote Sens. 2022, 14, 504. [Google Scholar] [CrossRef]
- Zhang, L.; Lin, W.; Shen, Z.; Zhang, D.; Xu, B.; Wang, K.; Chen, J. CA-U2-Net: Contour Detection and Attention in U2-Net for Infrared Dim and Small Target Detection. IEEE Access 2023, 11, 88245–88257. [Google Scholar] [CrossRef]
- Chen, J.; Kong, Y.; Zhang, D.; Fu, Y.; Zhuang, S. Two-Dimensional Phase Unwrapping Based on U2-Net in Complex Noise Environment. Opt. Express 2023, 31, 29792–29812. [Google Scholar] [CrossRef] [PubMed]
- Xu, D.; Yang, Y. Extracting Individual Tree Crown Width from UAV Remote Sensing Images. Cent. South For. Inventory Plan. 2024, 43, 36–40. [Google Scholar]
- Piñeiro, G.; Perelman, S.; Guerschman, J.P.; Paruelo, J.M. How to Evaluate Models: Observed vs. Predicted or Predicted vs. Observed? Ecol. Model. 2008, 216, 316–322. [Google Scholar] [CrossRef]
- Wang, Y.; Dong, L.; Shi, J. Effect of Competition on the Prediction Accuracy of Individual Tree Biomass Model for Natural Larix Gmelinii Forests. Chin. J. Appl. Ecol. 2024, 35, 1474–1482. [Google Scholar]
- Liu, C.; Luo, D. Model Construction and Optimization of Abies Fabri Scrub Biomass in the Sedera Mountains. J. Green Sci. Technol. 2024, 26, 44–50. [Google Scholar]
- Li, F.; Feng, Y.; Zhao, Y.; Zhu, J.; Wei, X.; Liang, W. Construction and Comparison of Artificial Robinia Pseudoacacia Biomass Model in Caijiachuan Watershed. J. For. Environ. 2024, 44, 62–70. [Google Scholar]
- Sileshi, G.W. A Critical Review of Forest Biomass Estimation Models, Common Mistakes and Corrective Measures. For. Ecol. Manag. 2014, 329, 237–254. [Google Scholar] [CrossRef]
- Menéndez-Miguélez, M.; Calama, R.; Del Río, M.; Madrigal, G.; López-Senespleda, E.; Pardos, M.; Ruiz-Peinado, R. Species-Specific and Generalized Biomass Models for Estimating Carbon Stocks of Young Reforestations. Biomass Bioenergy 2022, 161, 106453. [Google Scholar] [CrossRef]
- Machimura, T.; Fujimoto, A.; Hayashi, K.; Takagi, H.; Sugita, S. A Novel Tree Biomass Estimation Model Applying the Pipe Model Theory and Adaptable to UAV-Derived Canopy Height Models. Forests 2021, 12, 258. [Google Scholar] [CrossRef]
- Xu, J.; Su, M.; Sun, Y.; Pan, W.; Cui, H.; Jin, S.; Zhang, L.; Wang, P. Tree Crown Segmentation and Diameter at Breast Height Prediction Based on BlendMask in Unmanned Aerial Vehicle Imagery. Remote Sens. 2024, 16, 368. [Google Scholar] [CrossRef]
- Brown, S.; Narine, L.L.; Gilbert, J. Using Airborne Lidar, Multispectral Imagery, and Field Inventory Data to Estimate Basal Area, Volume, and Aboveground Biomass in Heterogeneous Mixed Species Forests: A Case Study in Southern Alabama. Remote Sens. 2022, 14, 2708. [Google Scholar] [CrossRef]
- Wang, Y.; Zhang, X.; Guo, Z. Estimation of Tree Height and Aboveground Biomass of Coniferous Forests in North China Using Stereo ZY-3, Multispectral Sentinel-2, and DEM Data. Ecol. Indic. 2021, 126, 107645. [Google Scholar] [CrossRef]
- He, Y.; Zhang, Y.; Li, J.; Wang, J. Estimation of Stem Biomass of Individual Abies Faxoniana through Unmanned Aerial Vehicle Remote Sensing. J. Beijing For. Univ. 2016, 38, 42–49. [Google Scholar]
- Wang, Y.; Wang, X.; Feng, Z.; Sun, S.; Zhang, L.; Liu, P. Study on Crown Prediction Model of Main Tree Species in Songshan Nature Reserve in Beijing. J. Agric. Sci. Technol. 2020, 22, 94–101. [Google Scholar]
- Fu, B.; Wei, Y.; Jiang, L.; Yao, H.; Li, X.; Yang, Y.; Jia, M.; Sun, W. Estimation of Mangrove Heights and Aboveground Biomass Using UAV-LiDAR, Sentinel-1 and ZY-3 Stereo Images. Ecol. Inform. 2025, 88, 103160. [Google Scholar] [CrossRef]
- Basyuni, M.; Mubaraq, A.; Amelia, R.; Wirasatriya, A.; Iryanthony, S.B.; Slamet, B.; Al Mustaniroh, S.S.; Pradisty, N.A.; Sidik, F.; Hanintyo, R.; et al. Mangrove Aboveground Biomass Estimation Using UAV Imagery and a Constructed Height Model in Budeng–Perancak, Bali, Indonesia. Ecol. Inform. 2025, 86, 103037. [Google Scholar] [CrossRef]
- Zhang, Z.; Wu, S.; Zhao, Z.; Li, X.; Zeng, F.; Xie, C.; Hou, G.; Luo, G. Estimation of Grassland Biomass Using Machine Learning Methods: A Case Study of Grassland in Qilian Mountains. Acta Ecol. Sin. 2022, 42, 8953–8963. [Google Scholar] [CrossRef]
- Morais, T.G.; Teixeira, R.F.M.; Figueiredo, M.; Domingos, T. The Use of Machine Learning Methods to Estimate Aboveground Biomass of Grasslands: A Review. Ecol. Indic. 2021, 130, 108081. [Google Scholar] [CrossRef]
- Qin, L.; Meng, S.; Zhou, G.; Liu, Q.; Xu, Z. Uncertainties in above Ground Tree Biomass Estimation. J. For. Res. 2021, 32, 1989–2000. [Google Scholar] [CrossRef]
- Ayushi, K.; Babu, K.N.; Ayyappan, N.; Nair, J.R.; Kakkara, A.; Reddy, C.S. A Comparative Analysis of Machine Learning Techniques for Aboveground Biomass Estimation: A Case Study of the Western Ghats, India. Ecol. Inform. 2024, 80, 102479. [Google Scholar] [CrossRef]
- Guo, Z.; Wang, T.; Liu, S.; Kang, W.; Chen, X.; Feng, K.; Zhang, X.; Zhi, Y. Biomass and Vegetation Coverage Survey in the Mu Us Sandy Land-Based on Unmanned Aerial Vehicle RGB Images. Int. J. Appl. Earth Obs. Geoinf. 2021, 94, 102239. [Google Scholar] [CrossRef]
- Liu, Y.; Feng, H.; Yue, J.; Li, Z.; Yang, G.; Song, X.; Yang, X.; Zhao, Y. Remote-Sensing Estimation of Potato above-Ground Biomass Based on Spectral and Spatial Features Extracted from High-Definition Digital Camera Images. Comput. Electron. Agric. 2022, 198, 107089. [Google Scholar] [CrossRef]
- Zhu, W.; Sun, Z.; Huang, Y.; Yang, T.; Li, J.; Zhu, K.; Zhang, J.; Yang, B.; Shao, C.; Peng, J.; et al. Optimization of Multi-Source UAV RS Agro-Monitoring Schemes Designed for Field-Scale Crop Phenotyping. Precis. Agric. 2021, 22, 1768–1802. [Google Scholar] [CrossRef]
- Wei, X.; Li, X.; Liu, W.; Zhang, L.; Cheng, D.; Ji, H.; Zhang, W.; Yuan, K. Building Outline Extraction Directly Using the U2-Net Semantic Segmentation Model from High-Resolution Aerial Images and a Comparison Study. Remote Sens. 2021, 13, 3187. [Google Scholar] [CrossRef]
- Liu, L.; Wu, K.; Wang, K.; Han, Z.; Qiu, J.; Zhan, Q.; Wu, T.; Xu, J.; Zeng, Z. SEU2-Net: Multi-Scale U2 -Net with SE Attention Mechanism for Liver Occupying Lesion CT Image Segmentation. PeerJ Comput. Sci. 2024, 10, e1751. [Google Scholar] [CrossRef] [PubMed]
- Argun, M.Ş.; Türk, F.; Civelek, Z. U2-net segmentation and multi-label CNN classification of wheat varieties. Konya J. Eng. Sci. 2024, 12, 358–372. [Google Scholar] [CrossRef]
- Gan, Y.; Wang, Q.; Iio, A. Tree Crown Detection and Delineation in a Temperate Deciduous Forest from UAV RGB Imagery Using Deep Learning Approaches: Effects of Spatial Resolution and Species Characteristics. Remote Sens. 2023, 15, 778. [Google Scholar] [CrossRef]
- Mo, J.; Lan, Y.; Yang, D.; Wen, F.; Qiu, H.; Chen, X.; Deng, X. Deep Learning-Based Instance Segmentation Method of Litchi Canopy from UAV-Acquired Images. Remote Sens. 2021, 13, 3919. [Google Scholar] [CrossRef]
- Cloutier, M.; Germain, M.; Laliberté, E. Influence of Temperate Forest Autumn Leaf Phenology on Segmentation of Tree Species from UAV Imagery Using Deep Learning. Remote Sens. Environ. 2024, 311, 114283. [Google Scholar] [CrossRef]
Disclaimer/Publisher’s Note: The statements, opinions and data contained in all publications are solely those of the individual author(s) and contributor(s) and not of MDPI and/or the editor(s). MDPI and/or the editor(s) disclaim responsibility for any injury to people or property resulting from any ideas, methods, instructions or products referred to in the content. |
© 2025 by the authors. Licensee MDPI, Basel, Switzerland. This article is an open access article distributed under the terms and conditions of the Creative Commons Attribution (CC BY) license (https://creativecommons.org/licenses/by/4.0/).









