Assessing Wildfire Impacts from the Perspectives of Social and Ecological Remote Sensing
Highlights
- Socio-ecological recovery from wildfire is asynchronous; social functions (indicated by nighttime light) may rebound even as ecological damage (indicated by NDVI) deepens.
- The influence of social structure on recovery capacity is spatially heterogeneous, challenging the conventional wisdom that stronger social structure always leads to faster recovery. In densely populated areas, it can become a “Structural Burden”.
- Nighttime light data in disaster contexts is a complex signal, reflecting not just social disruption but also the intensity of emergency response activities, especially in populated areas.
- Wildfire risk assessment and post-disaster management in WUI regions require differentiated strategies tailored to the specific socio-ecological context, rather than a one-size-fits-all approach.
Abstract
1. Introduction
2. Materials and Methods
2.1. Study Area
2.2. Data Sources
3. Methods
3.1. Data Preprocessing and Spatial Unit Delineation
3.2. Key Indicator System Construction
- (1)
- Peak Disturbance Period NTL Change (ΔNTLpeak)
- (2)
- Period-Specific NTL Change (ΔNTLperiod)
3.3. Mechanism Modeling
4. Results
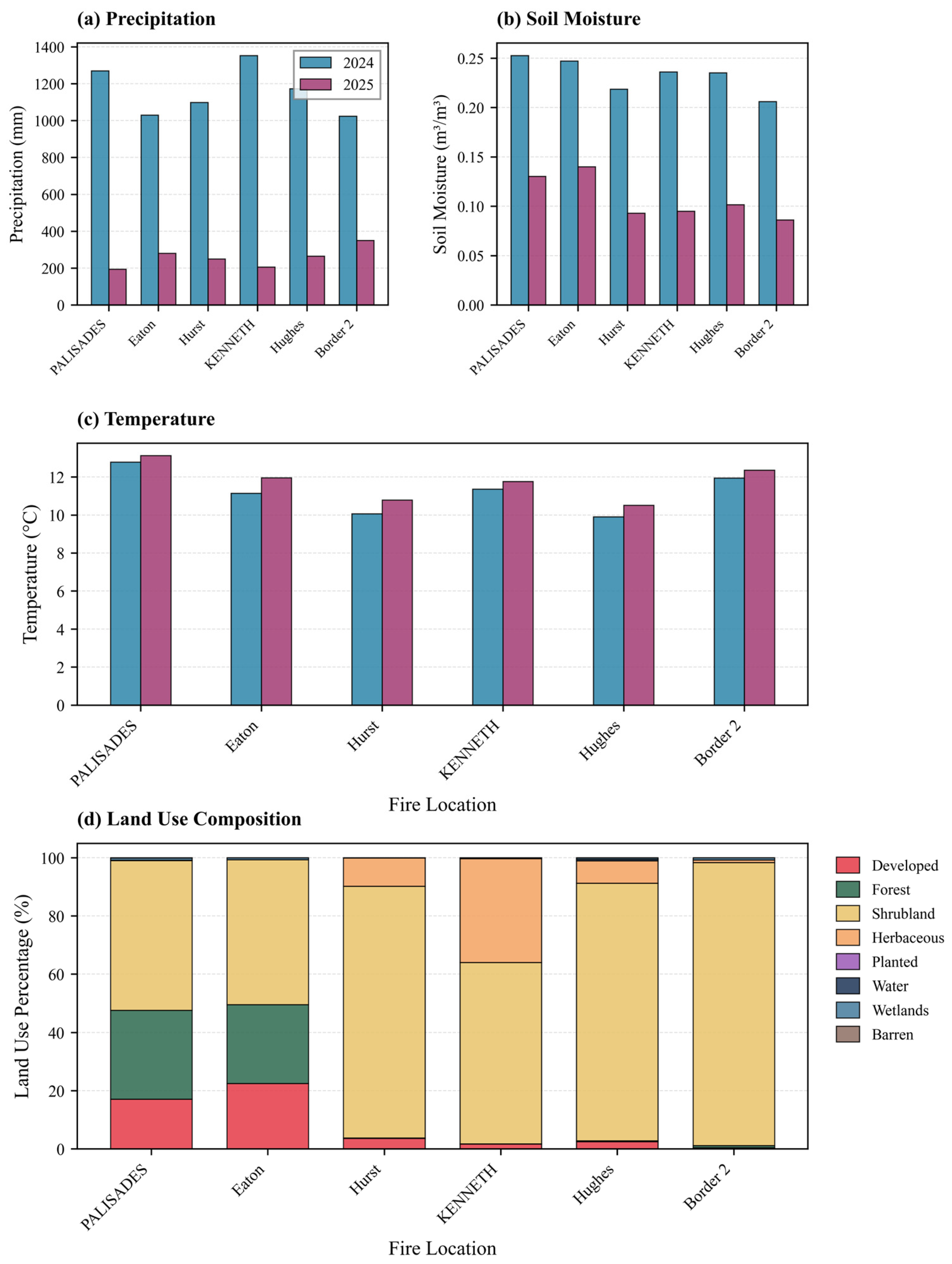
4.1. Contextual Characteristics and Disturbance Patterns
4.2. Heterogeneity and Asynchrony in Socio-Ecological Recovery
4.3. Multidimensional Composite Disturbance Assessment
4.4. Driving Mechanism Analysis (Modeling Results)
5. Discussion
5.1. Interpreting Heterogeneous Recovery Paths: The Case of the Anomalous NDVI Rebound
5.2. The Complex Nature of Nighttime Light Signals in Disaster Contexts
5.3. Spatial Heterogeneity in the Drivers of Social Recovery
5.4. Limitations and Future Research Directions
6. Conclusions
Author Contributions
Funding
Data Availability Statement
Acknowledgments
Conflicts of Interest
Abbreviations
| ANLI | Average Nighttime Light Index |
| CNLI | Compounded Nighttime Light Index |
| ECMWF | European Center for Medium-Range Weather Forecasts |
| ESA | European Space Agency |
| FIRMS | Fire Information for Resource Management System |
| GWR | Geographically Weighted Regression |
| MVC | Monthly Value Composite |
| NASA | National Aeronautics and Space Administration |
| NLCD | National Land Cover Database |
| NDVI | Normalized Difference Vegetation Index |
| NTL | Nighttime Light |
| SES | Social–Ecological Systems |
| SoVI | Social Vulnerability Index |
| TNLI | Total Nighttime Light Index |
| USGS | U.S. Geological Survey |
| WFIGS | Wildland Fire Interagency Geospatial Services |
| WUI | Wildland–Urban Interface |
References
- Jones, M.W.; Kelley, D.I.; Burton, C.A.; Di Giuseppe, F.; Barbosa, M.L.F.; Brambleby, E.; Hartley, A.J.; Lombardi, A.; Mataveli, G.; McNorton, J.R.; et al. State of Wildfires 2023–2024. Earth Syst. Sci. Data 2024, 16, 3601–3685. [Google Scholar] [CrossRef]
- Chen, B.; Wu, S.; Jin, Y.; Song, Y.; Wu, C.; Venevsky, S.; Xu, B.; Webster, C.; Gong, P. Wildfire risk for global wildland–urban interface areas. Nat. Sustain. 2024, 7, 474–484. [Google Scholar] [CrossRef]
- Tang, W.; Emmons, L.K.; Wiedinmyer, C.; Partha, D.B.; Huang, Y.; He, C.; Zhang, J.; Barsanti, K.C.; Gaubert, B.; Jo, D.S.; et al. Disproportionately large impacts of wildland-urban interface fire emissions on global air quality and human health. Sci. Adv. 2025, 11, eadr2616. [Google Scholar] [CrossRef]
- Higuera, P.E.; Cook, M.C.; Balch, J.K.; Stavros, E.N.; Mahood, A.L.; Denis, L.A.S. Shifting social-ecological fire regimes explain increasing structure loss from Western wildfires. PNAS Nexus 2023, 2, pgad005. [Google Scholar] [CrossRef]
- Cheney, A.; Jones, K.W.; Stevens-Rumann, C.S.; Salerno, J. Perceived changes in social-ecological resilience in fire-prone ecosystems in Colorado. Ecol. Soc. 2024, 29, 5. [Google Scholar] [CrossRef]
- Sandoval-Díaz, J.; Navarrete-Valladares, C.; Vega-Ortega, J.; Suazo-Muñoz, C.; Gallegos Riquelme, J.P.; Sandoval-Obando, E.; Valenzuela, C.R. Community resilience to wildfires: A systematic review of impacts, coping strategies, indicators, and governance challenges. Prog. Disaster Sci. 2025, 27, 100447. [Google Scholar] [CrossRef]
- Sloan, E.E.; Hajjar, R.; Davis, E.J. Equity in resilience: A case study of community resilience to wildfire in southwestern Oregon, United States. Ecol. Soc. 2025, 30, 20. [Google Scholar] [CrossRef]
- Vigna, I.; Besana, A.; Comino, E.; Pezzoli, A. Application of the Socio-Ecological System Framework to Forest Fire Risk Management: A Systematic Literature Review. Sustainability 2021, 13, 2121. [Google Scholar] [CrossRef]
- Ostrom, E. A General Framework for Analyzing Sustainability of Social-Ecological Systems. Science 2009, 325, 419–422. [Google Scholar] [CrossRef] [PubMed]
- Folke, C.; Carpenter, S.; Walker, B.; Scheffer, M.; Rockström, J. Resilience Thinking: Integrating Resilience, Adaptability and Transformability. Ecol. Soc. 2010, 15, 20. [Google Scholar] [CrossRef]
- Alegria, C. Vegetation Monitoring and Post-Fire Recovery: A Case Study in the Centre Inland of Portugal. Sustainability 2022, 14, 12698. [Google Scholar] [CrossRef]
- Hernández-Duarte, A.; Saavedra, F.; González, E.; Miranda, A.; Francois, J.-P.; Somos-Valenzuela, M.; Sibold, J. Effects of Drought and Fire Severity Interaction on Short-Term Post-Fire Recovery of the Mediterranean Forest of South America. Fire 2024, 7, 428. [Google Scholar] [CrossRef]
- Gülci, S.; Wing, M.G. Evaluating forest fire severity and vegetative recovery using Sentinel imagery and spectral indices in a cloud-based environment. Adv. Space Res. 2025, 76, 4092–4105. [Google Scholar] [CrossRef]
- Runge, K.; Tucker, M.; Crowther, T.W.; Fournier de Laurière, C.; Guirado, E.; Bialic-Murphy, L.; Berdugo, M. Monitoring Terrestrial Ecosystem Resilience Using Earth Observation Data: Identifying Consensus and Limitations Across Metrics. Glob. Change Biol. 2025, 31, e70115. [Google Scholar] [CrossRef]
- Scheffer, M.; Bascompte, J.; Brock, W.; Brovkin, V.; Carpenter, S.; Dakos, V.; Held, H.; Nes, E.; Rietkerk, M.; Sugihara, G. Early-Warning Signals for Critical Transitions. Nature 2009, 461, 53–59. [Google Scholar] [CrossRef] [PubMed]
- Bathiany, S.; Bastiaansen, R.; Bastos, A.; Blaschke, L.; Lever, J.; Loriani, S.; De Keersmaecker, W.; Dorigo, W.; Milenković, M.; Senf, C.; et al. Ecosystem Resilience Monitoring and Early Warning Using Earth Observation Data: Challenges and Outlook. Surv. Geophys. 2025, 46, 265–301. [Google Scholar] [CrossRef]
- Liu, Y.; Liu, W.; Zhang, X.; Lin, Y.; Zheng, G.; Zhao, Z.; Cheng, H.; Gross, L.; Li, X.; Wei, B.; et al. Nighttime light perspective in urban resilience assessment and spatiotemporal impact of COVID-19 from January to June 2022 in mainland China. Urban Clim. 2023, 50, 101591. [Google Scholar] [CrossRef]
- Chen, X.; Wang, Z.; Zhang, F.; Shen, G.; Chen, Q. A global annual simulated VIIRS nighttime light dataset from 1992 to 2023. Sci. Data 2024, 11, 1380. [Google Scholar] [CrossRef] [PubMed]
- Schippers, V.; Botzen, W. Uncovering the veil of night light changes in times of catastrophe. Nat. Hazards Earth Syst. Sci. 2023, 23, 179–204. [Google Scholar] [CrossRef]
- Dong, B.; Zhang, R.; Li, S.; Ye, Y.; Huang, C. A meta-analysis for the nighttime light remote sensing data applied in urban research: Key topics, hotspot study areas and new trends. Sci. Remote Sens. 2025, 11, 100186. [Google Scholar] [CrossRef]
- Li, F.; Liao, S.; Fu, X.; Liu, T. NPP-VIIRS Nighttime Lights Illustrate the Post-Earthquake Damage and Subsequent Economic Recovery in Hatay Province, Turkey. ISPRS Int. J. Geo-Inf. 2025, 14, 149. [Google Scholar] [CrossRef]
- Cutter, S.L. The origin and diffusion of the social vulnerability index (SoVI). Int. J. Disaster Risk Reduct. 2024, 109, 104576. [Google Scholar] [CrossRef]
- Hai-feng, Y.; Guo-fang, Z. Spatial assessment and driving mechanism of urban safety from the perspective of disaster risk: Acase study of Chuzhou central city. J. Nat. Resour. 2021, 36, 2368–2381. [Google Scholar]
- Contreras, D.; Chamorro, A.; Wilkinson, S. Review article: The spatial dimension in the assessment of urban socio-economic vulnerability related to geohazards. Nat. Hazards Earth Syst. Sci. 2020, 20, 1663–1687. [Google Scholar] [CrossRef]
- Martínez-Fernández, J.; Chuvieco, E.; Koutsias, N. Modelling long-term fire occurrence factors in Spain by accounting for local variations with geographically weighted regression. Nat. Hazards Earth Syst. Sci. 2013, 13, 311–327. [Google Scholar] [CrossRef]
- Pahlavani, P.; Raei, A.; Bigdeli, B.; Ghorbanzadeh, O. Identifying Influential Spatial Drivers of Forest Fires through Geographically and Temporally Weighted Regression Coupled with a Continuous Invasive Weed Optimization Algorithm. Fire 2024, 7, 33. [Google Scholar] [CrossRef]
- Mockrin, M.; Fishler, H.; Kramer, H.; Radeloff, V.; Stewart, S. A Tale of Two Fires: Retreat and Rebound a Decade After Wildfires in California and South Carolina. Soc. Nat. Resour. 2022, 35, 875–895. [Google Scholar] [CrossRef]
- Syphard, A.D.; Radeloff, V.C.; Keeley, J.E.; Hawbaker, T.J.; Clayton, M.K.; Stewart, S.I.; Hammer, R.B. Human Influence on California Fire Regimes. Ecol. Appl. 2007, 17, 1388–1402. [Google Scholar] [CrossRef]
- Radeloff, V.C.; Hammer, R.B.; Stewart, S.I.; Fried, J.S.; Holcomb, S.S.; McKeefry, J.F. The Wildland–Urban Interface in The United States. Ecol. Appl. 2005, 15, 799–805. [Google Scholar] [CrossRef]
- Radeloff, V.C.; Helmers, D.P.; Kramer, H.A.; Mockrin, M.H.; Alexandre, P.M.; Bar-Massada, A.; Butsic, V.; Hawbaker, T.J.; Martinuzzi, S.; Syphard, A.D.; et al. Rapid growth of the US wildland-urban interface raises wildfire risk. Proc. Natl. Acad. Sci. USA 2018, 115, 3314–3319. [Google Scholar] [CrossRef]
- Rolinski, T.; Capps, S.B.; Fovell, R.G.; Cao, Y.; D’Agostino, B.J.; Vanderburg, S. The Santa Ana Wildfire Threat Index: Methodology and Operational Implementation. Weather Forecast. 2016, 31, 1881–1897. [Google Scholar] [CrossRef]
- Keeley, J.E.; Syphard, A.D. Twenty-first century California, USA, wildfires: Fuel-dominated vs. wind-dominated fires. Fire Ecol. 2019, 15, 24. [Google Scholar] [CrossRef]
- Qiu, M.; Chen, D.; Kelp, M.; Li, J.; Huang, G.; Yazdi, M.D. The rising threats of wildland-urban interface fires in the era of climate change: The Los Angeles 2025 fires. Innovation 2025, 6, 100835. [Google Scholar] [CrossRef] [PubMed]
- Westerling, A.L. Increasing western US forest wildfire activity: Sensitivity to changes in the timing of spring. Philos. Trans. R. Soc. B Biol. Sci. 2016, 371, 20150178. [Google Scholar] [CrossRef]
- Weber, E.; Moehl, J.; Weston, S.; Rose, A.; Brelsford, C.; Hauser, T. LandScan USA 2021. 2022. Available online: https://landscan.ornl.gov/ (accessed on 6 May 2025).
- Tran, K.H.; Zhang, X.; Ye, Y.; Shen, Y.; Gao, S.; Liu, Y.; Richardson, A. HP-LSP: A reference of land surface phenology from fused Harmonized Landsat and Sentinel-2 with PhenoCam data. Sci. Data 2023, 10, 691. [Google Scholar] [CrossRef]
- Seaquist, J.; Chappell, A.; Eklundh, L. Exploring and improving NOAA AVHRR NDVI image quality for African drylands. In Proceedings of the IEEE International Geoscience and Remote Sensing Symposium, Toronto, ON, Canada, 24–28 June 2002; Volume 4, pp. 2006–2008. [Google Scholar]
- Zheng, Q.; Weng, Q.; Zhou, Y.; Dong, B. Impact of temporal compositing on nighttime light data and its applications. Remote Sens. Environ. 2022, 274, 113016. [Google Scholar] [CrossRef]
- McClure, C.D.; Pavlovic, N.R.; Huang, S.; Chaveste, M.; Wang, N. Consistent, high-accuracy mapping of daily and sub-daily wildfire growth with satellite observations. Int. J. Wildland Fire 2023, 32, 694–708. [Google Scholar] [CrossRef]
- Chen, Y.; Hantson, S.; Andela, N.; Coffield, S.R.; Graff, C.A.; Morton, D.C.; Ott, L.E.; Foufoula-Georgiou, E.; Smyth, P.; Goulden, M.L.; et al. California wildfire spread derived using VIIRS satellite observations and an object-based tracking system. Sci. Data 2022, 9, 249. [Google Scholar] [CrossRef]
- Guo, Y.; Wang, J.; Ge, Y.; Zhou, C. Global expansion of wildland-urban interface intensifies human exposure to wildfire risk in the 21st century. Sci. Adv. 2024, 10, eado9587. [Google Scholar] [CrossRef] [PubMed]
- Caceres, C. Using GIS in Hotspots Analysis and for Forest Fire Risk Zones Mapping in the Yeguare Region, Southeastern Honduras. Pap. Resour. Anal. 2011, 13, 1–14. [Google Scholar]
- Haslem, A.; Radford, J.Q.; Bennett, A.F.; Watson, S.J.; Chick, M.P.; Huang, J.; Berry, L.E.; Clarke, M.F. Measuring the ecological outcomes of fire: Metrics to guide fire management. Fire Ecol. 2024, 20, 99. [Google Scholar] [CrossRef]
- Wenyi, L.; Yaohui, L.; Zhenchang, G.; Yun, S.; Jie, Z.; Benyong, W.; Xiwei, F.; Xiaoli, L. Dynamic monitoring of recovery after the 2017 Jiuzhaigou earthquake based on NPP—VIIRS night light data. Beijing Surv. Mapp. 2022, 36, 1739–1746. [Google Scholar] [CrossRef]
- Ma, T.; Xu, T.; Huang, L.; Zhou, A. A Human Settlement Composite Index (HSCI) Derived from Nighttime Luminosity Associated with Imperviousness and Vegetation Indexes. Remote Sens. 2018, 10, 455. [Google Scholar] [CrossRef]
- Meng, X.; Han, J.; Huang, C. An Improved Vegetation Adjusted Nighttime Light Urban Index and Its Application in Quantifying Spatiotemporal Dynamics of Carbon Emissions in China. Remote Sens. 2017, 9, 829. [Google Scholar] [CrossRef]
- Li, F.; Liu, X.; Liao, S.; Jia, P. The Modified Normalized Urban Area Composite Index: A Satelliate-Derived High-Resolution Index for Extracting Urban Areas. Remote Sens. 2021, 13, 2350. [Google Scholar] [CrossRef]
- Liu, L.; Zhu, T. Low-intensity fire stimulates soil inorganic N supply and adjusts plant N utilization strategy to alleviate plant N limitation in rocky desertification area. In Proceedings of the EGU GA 2025, Vienna, Austria, 27 April–2 May 2025. [Google Scholar]
- Pereira, P.; Cerda, A.; Martin, D.; Úbeda, X.; Depellegrin, D.; Novara, A.; Martínez-Murillo, J.F.; Brevik, E.C.; Menshov, O.; Comino, J.R.; et al. Short-term low-severity spring grassland fire impacts on soil extractable elements and soil ratios in Lithuania. Sci. Total Environ. 2017, 578, 469–475. [Google Scholar] [CrossRef] [PubMed]
- Quintero-Gradilla, S.D.; García-Oliva, F.; Cuevas-Guzmán, R.; Jardel-Peláez, E.J.; Martínez-Yrizar, A. Soil Carbon and Nutrient Recovery after High-Severity Wildfire in Mexico. Fire Ecol. 2015, 11, 45–61. [Google Scholar] [CrossRef]
- Morgan, G.R.; Kemp, E.M.; Habets, M.; Daniels-Baessler, K.; Waddington, G.; Adamo, S.; Hultquist, C.; Cutter, S.L. Defining Disadvantaged Places: Social Burdens of Wildfire Exposure in the Eastern United States, 2000–2020. Fire 2024, 7, 124. [Google Scholar] [CrossRef]
- Zheng, Q.; Yiwen, Z.; Zhou, Y.; Wang, Z.; Mu, T. Nighttime lights reveal substantial spatial heterogeneity and inequality in post-hurricane recovery. Remote Sens. Environ. 2025, 319, 114645. [Google Scholar] [CrossRef]
- Modaresi Rad, A.; Abatzoglou, J.T.; Fleishman, E.; Mockrin, M.H.; Radeloff, V.C.; Pourmohamad, Y.; Cattau, M.; Johnson, J.M.; Higuera, P.; Nauslar, N.J.; et al. Social vulnerability of the people exposed to wildfires in U.S. West Coast states. Sci. Adv. 2023, 9, eadh4615. [Google Scholar] [CrossRef]
- Levin, N. Challenges in remote sensing of night lights—A research agenda for the next decade. Remote Sens. Environ. 2025, 328, 114869. [Google Scholar] [CrossRef]
- Li, X.; Zhou, Y. Urban mapping using DMSP/OLS stable night-time light: A review. Int. J. Remote Sens. 2017, 38, 6030–6046. [Google Scholar] [CrossRef]
- Chu, D.; Shen, H.; Guan, X.; Chen, J.M.; Li, X.; Li, J.; Zhang, L. Long time-series NDVI reconstruction in cloud-prone regions via spatio-temporal tensor completion. Remote Sens. Environ. 2021, 264, 112632. [Google Scholar] [CrossRef]
- Qiang, Y. Disparities of population exposed to flood hazards in the United States. J. Environ. Manag. 2019, 232, 295–304. [Google Scholar] [CrossRef]
- Torres, Y.; Arranz, J.J.; Gaspar-Escribano, J.M.; Haghi, A.; Martínez-Cuevas, S.; Benito, B.; Ojeda, J.C.G. Integration of LiDAR and multispectral images for rapid exposure and earthquake vulnerability estimation. Application in Lorca, Spain. Int. J. Appl. Earth Obs. Geoinf. 2018, 81, 161–175. [Google Scholar] [CrossRef]
- Xu, Z.; Li, J.; Cheng, S.; Rui, X.; Zhao, Y.; He, H.; Guan, H.; Sharma, A.; Erxleben, M.; Chang, R.; et al. Deep learning for wildfire risk prediction: Integrating remote sensing and environmental data. ISPRS J. Photogramm. Remote Sens. 2025, 227, 632–677. [Google Scholar] [CrossRef]
- Boonnuk, T.; Poomphakwaen, K.; Kumyoung, N. Application for simulating public health problems during floods around the Loei River in Thailand: The implementation of a geographic information system and structural equation model. BMC Public Health 2022, 22, 1651. [Google Scholar] [CrossRef] [PubMed]














| Category | Data Name | Characteristics/Resolution | Main Purpose of This Study | Data Source & Access |
|---|---|---|---|---|
| Fire-related Data | WFIGS Fire Perimeters | Polygon/Real-time | Fire perimeter delineation | NIFC WFIGS—https://data-nifc.opendata.arcgis.com, accessed on 22 April 2025 |
| FIRMS Active Fire Points | Point/Daily | Fire intensity and feature analysis | NASA FIRMS—https://firms.modaps.eosdis.nasa.gov, accessed on 25 April 25 2025 | |
| Environmental Data | Landsat 8/9 Collection 2 L2 | 30 m/16-day | NDVI-based disturbance and recovery | USGS—DOI: https://doi.org/10.5066/P9OGBGM6 |
| Sentinel-2 SR Harmonized | 10 m/5-day | NDVI-based ecological tracking | ESA/GEE—https://developers.google.com/earth-engine/datasets/catalog/COPERNICUS_S2_SR_HARMONIZED, accessed on 2 May 2025 | |
| ERA5-Land | ~9 km/Hourly | Fire weather and environment | ECMWF/GEE—DOI: https://doi.org/10.24381/cds.e2161bac | |
| Social & Structural Data | VIIRS VNP46A2 | 500 m/Daily | ΔNTL, CNLI, CNLIratio analysis | NASA LAADS/GEE—DOI: https://doi.org/10.5067/VIIRS/VNP46A2.002 |
| LandScan USA 2021 | 90 m/Annual | Population exposure (nightPop) | ORNL [35]—DOI: https://doi.org/10.48690/1527701 | |
| NLCD 2023 | 30 m/Categorical | WUI mapping, urbanization (Urban_pct) | USGS NLCD—https://www.mrlc.gov/data, accessed on 6 May 2025 |
| Model | Dependent Var. | Independent Var. | Coefficient | p-Value a | Adj. R2 | VIF | Moran’s I (p-Value) b |
|---|---|---|---|---|---|---|---|
| M1 (Global OLS) (60 obs.) | CNLI | (Intercept) | 1.18 × 10−16 | 1.000 | 0.698 | 0.001 (***) | |
| nightPop | 0.863 | 0.000 *** | 1.24 | ||||
| Urban_pct | −0.051 | 0.522 | 1.24 | ||||
| M2 (Fixed Effects) (24 obs.) c | CNLI | (Intercept) | −1.251 | 0.000 *** | 0.806 | 9.02 | 0.372 |
| ΔNDVI d | −0.201 | 0.322 | 4.55 | ||||
| C(FirePoint) | [Varies] | <0.001 *** | [<2.2] |
| Model Type | Model Formula | Adj. R2 | AICc | Moran’s I (p-Value) |
|---|---|---|---|---|
| M3-Global (OLS) | CNLIratio ~ nightPop + Urban_pct | 0.031 | 175.0 | 0.143 (Not Sig.) |
| M3-Local (GWR) | CNLIratio ~ nightPop + Urban_pct | 0.354 | 157.3 | 0.455 (Not Sig.) |
| FirePoint | NightPop Mean β | NightPop Mean p | Urban_pct Mean β | Urban_pct Mean p | Local R2 Mean |
|---|---|---|---|---|---|
| Palisades | −0.426 | 0.012 (<0.05) | 0.043 | 0.872 (ns) | 0.327 |
| Hughes | +0.153 | 0.476 (ns) | 0.034 | 0.818 (ns) | 0.184 |
| Eaton | −0.199 | 0.200 (ns) | −0.264 | 0.373 (ns) | 0.391 |
| Hurst | +0.025 | 0.897 (ns) | −0.034 | 0.815 (ns) | 0.187 |
| Kenneth | −0.351 | 0.033 (<0.05) | 0.151 | 0.316 (ns) | 0.306 |
| Border 2 | +0.054 | 0.867 (ns) | −1.567 | 0.000 (<0.01) | 0.526 |
Disclaimer/Publisher’s Note: The statements, opinions and data contained in all publications are solely those of the individual author(s) and contributor(s) and not of MDPI and/or the editor(s). MDPI and/or the editor(s) disclaim responsibility for any injury to people or property resulting from any ideas, methods, instructions or products referred to in the content. |
© 2025 by the authors. Licensee MDPI, Basel, Switzerland. This article is an open access article distributed under the terms and conditions of the Creative Commons Attribution (CC BY) license (https://creativecommons.org/licenses/by/4.0/).
Share and Cite
Wang, X.; Liu, S. Assessing Wildfire Impacts from the Perspectives of Social and Ecological Remote Sensing. Remote Sens. 2025, 17, 3851. https://doi.org/10.3390/rs17233851
Wang X, Liu S. Assessing Wildfire Impacts from the Perspectives of Social and Ecological Remote Sensing. Remote Sensing. 2025; 17(23):3851. https://doi.org/10.3390/rs17233851
Chicago/Turabian StyleWang, Xiaolin, and Shaoyang Liu. 2025. "Assessing Wildfire Impacts from the Perspectives of Social and Ecological Remote Sensing" Remote Sensing 17, no. 23: 3851. https://doi.org/10.3390/rs17233851
APA StyleWang, X., & Liu, S. (2025). Assessing Wildfire Impacts from the Perspectives of Social and Ecological Remote Sensing. Remote Sensing, 17(23), 3851. https://doi.org/10.3390/rs17233851

