An Integrated Feature Framework for Wetland Mapping Using Multi-Source Imagery
Highlights
- A unified multi-feature framework is proposed by integrating knowledge-driven and data-driven features for wetland mapping.
- The proposed framework achieves the highest classification accuracy among all compared methods and demonstrates stable performance across different study areas.
- Data-driven features play a dominant role in wetland mapping, while knowledge-driven features remain indispensable for introducing physical interpretability.
- Employing Random Forest improves the handling of high-dimensional features and achieves better performance under limited training data.
Abstract
1. Introduction
- (1)
- A unified multi-feature framework is developed by systematically integrating knowledge-driven and data-driven features. This integration enables the joint utilization of physically interpretable and abstract representations, resulting in a more comprehensive and balanced characterization of diverse wetland land cover categories.
- (2)
- A RF classifier is applied to the integrated multi-source feature set to manage high-dimensional, multi-source features while providing robustness and quantitative interpretability through feature importance analysis.
- (3)
- A systematic feature importance and visualization analysis is conducted to quantify and interpret the complementary roles of different feature types, validating their respective contributions to accurate and physically consistent wetland mapping.
2. Methods
2.1. Knowledge-Driven Model Feature Extraction
2.2. Data-Driven Feature Extraction
2.3. Parameter Settings
3. Study Area and Data
3.1. Study Area
3.2. Data Preparation
4. Results and Analysis
4.1. Experimental Results in Yellow River Delta
4.1.1. Comparison of the Performance Between Classifiers
4.1.2. Comparison of the Performance Between Feature Set
4.2. Experimental Results in Qilihai Wetland
5. Discussion
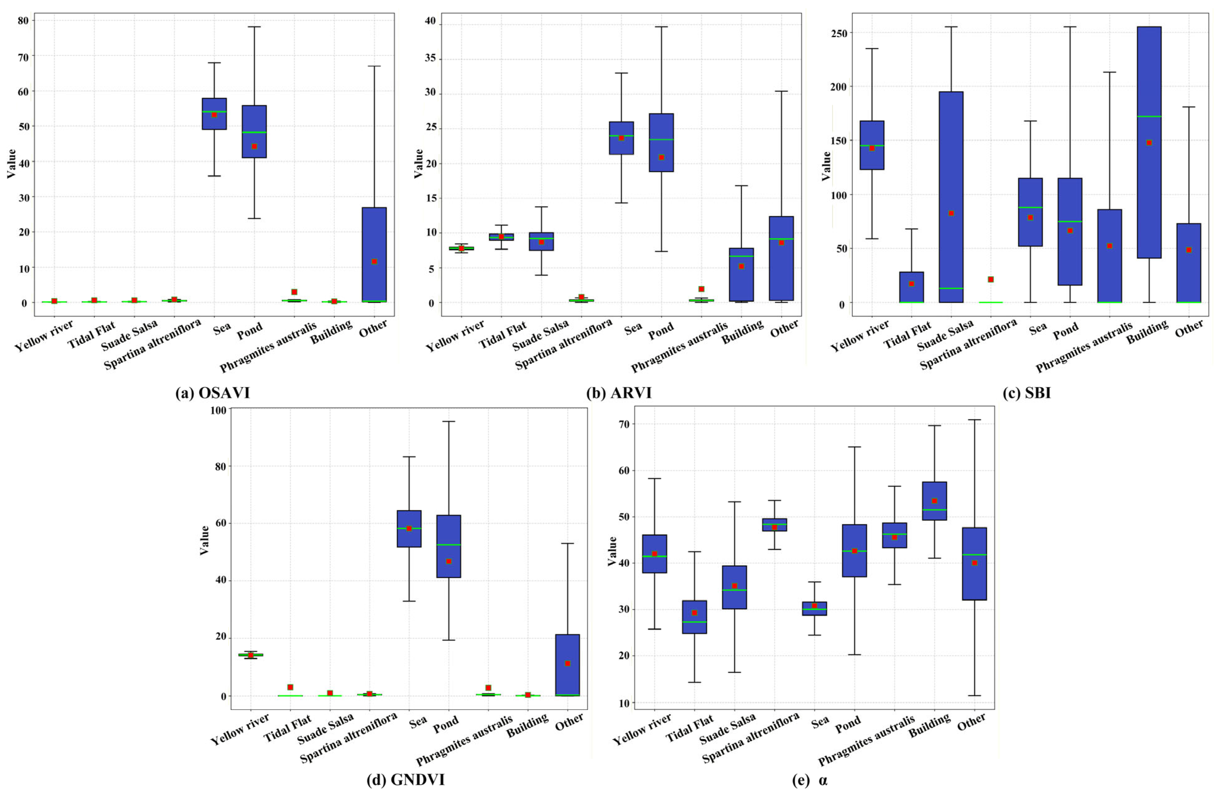
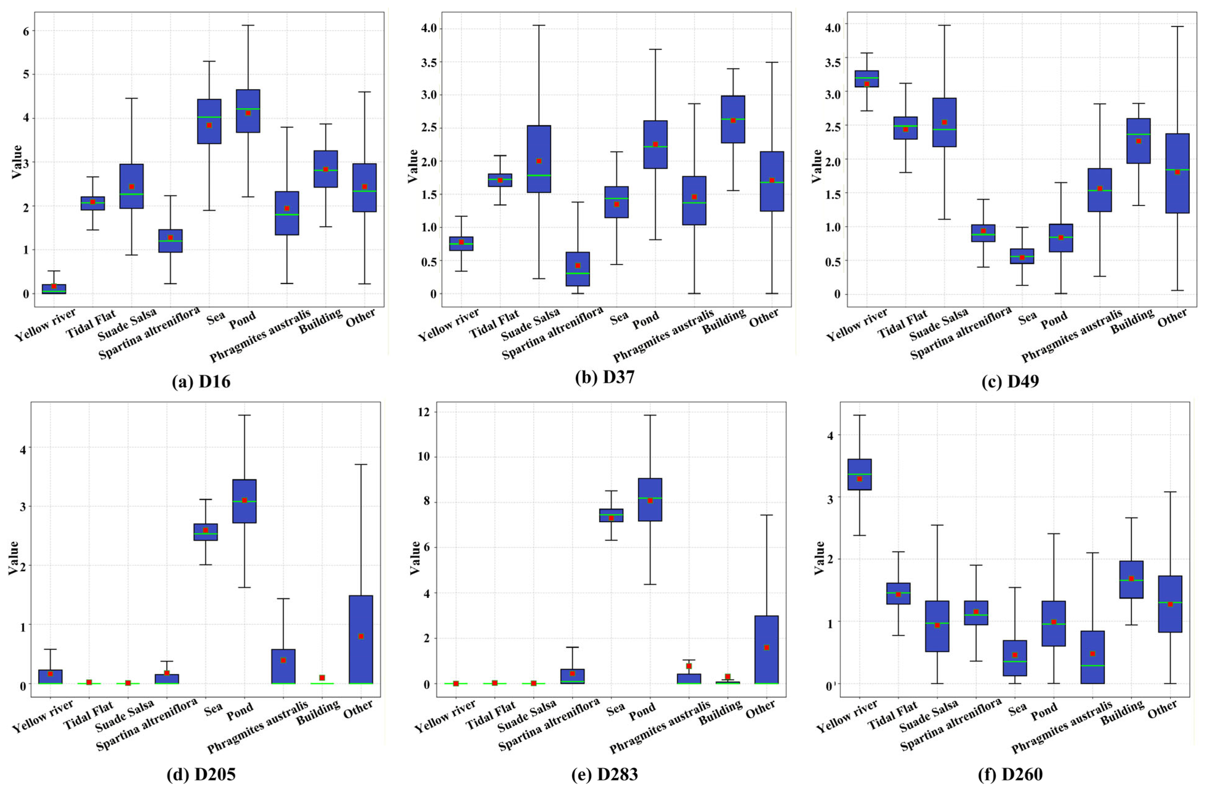
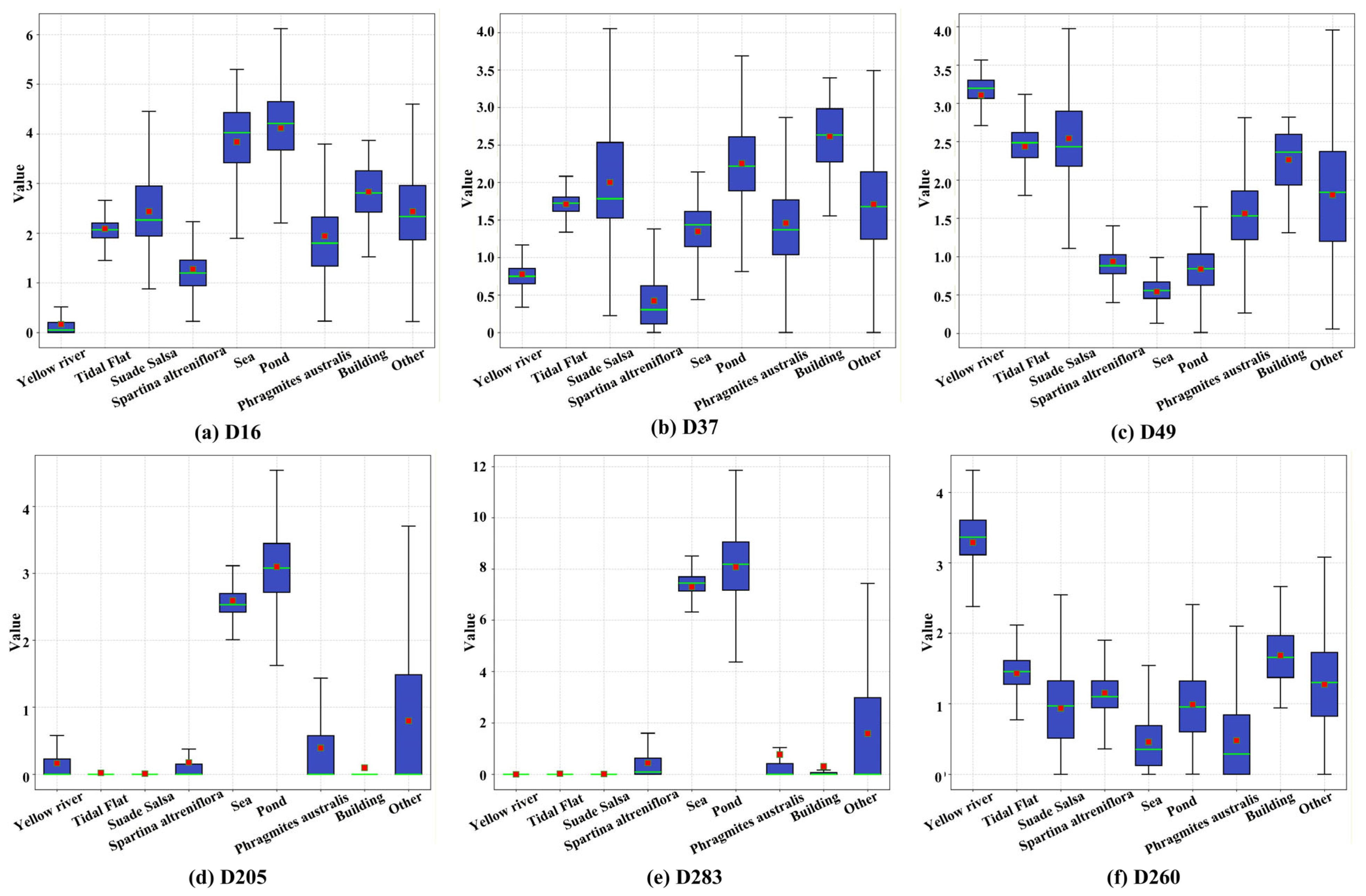
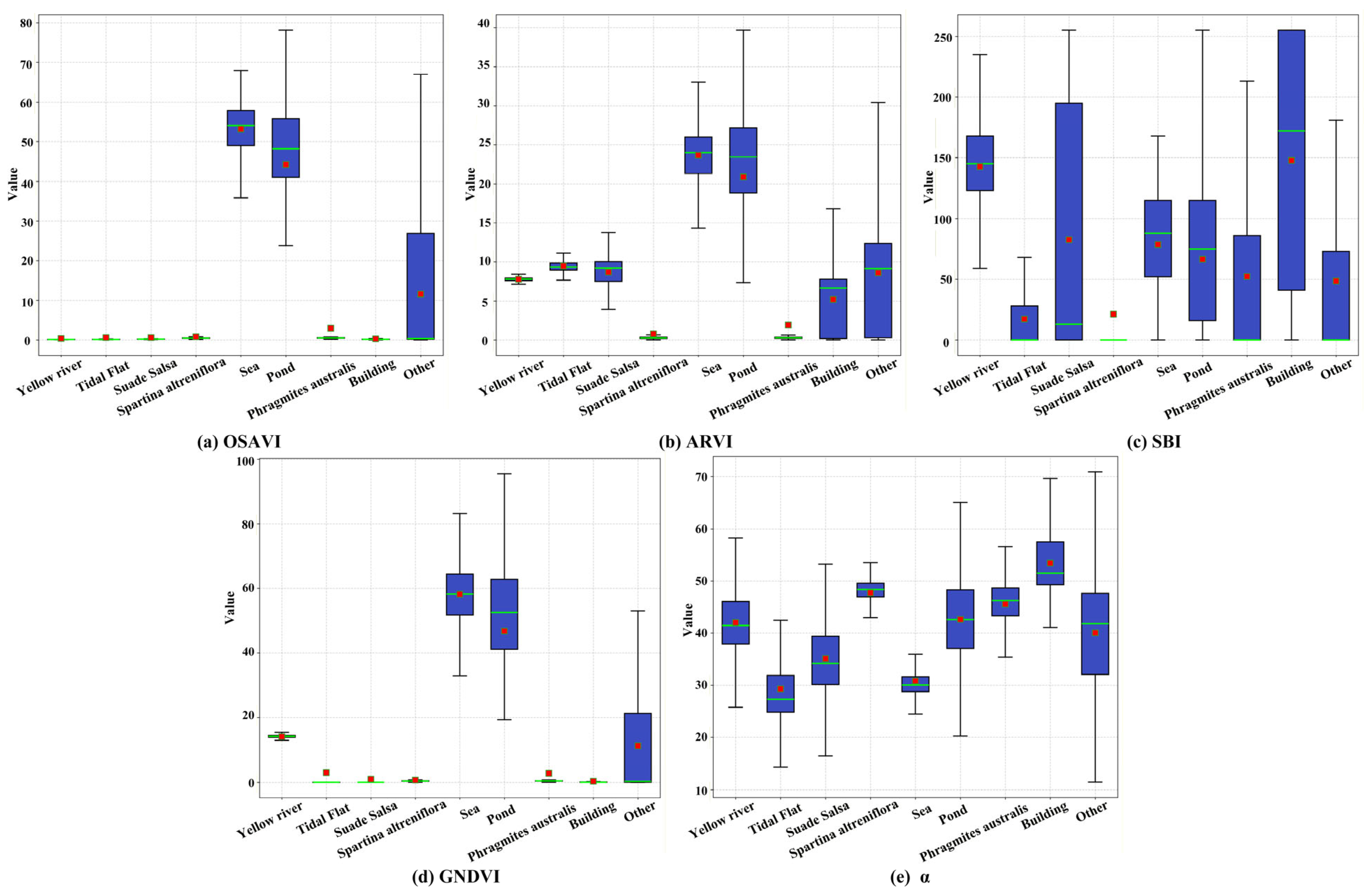
5.1. Analysis of the Feature Importance
5.2. Analysis of Feature Effectiveness
5.3. Performance Comparison Between RF and Softmax Classifiers
6. Conclusions
Author Contributions
Funding
Data Availability Statement
Conflicts of Interest
Appendix A
| Name | Formula |
|---|---|
| DVI (Difference Vegetation Index) | |
| NDVI (Normalized Difference Vegetation Index) | |
| GNDVI (Green Normalized Difference Vegetation Index) | |
| EVI (Enhanced Vegetation Index) | |
| OSAVI (Optimized Soil-Adjusted Vegetation Index) | |
| RVI (Ratio Vegetation Index) | |
| ARVI (Atmospherically Resistant Vegetation Index) | |
| HJVI (Hyperspectral Joint Vegetation Index) | |
| SI (Simple Index) | |
| SRI (Structure-Related Index) | |
| SBI (Spectral Band Index) | |
| NDSBI (Normalized Difference Snow-Brush Index) | |
| NDWI (Normalized Difference Water Index) | |
| NDSI (Normalized Difference Sand Index) |
References
- Salimi, S.; Almuktar, S.A.; Scholz, M. Impact of climate change on wetland ecosystems: A critical review of experimental wetlands. J. Environ. Manag. 2021, 286, 112160. [Google Scholar] [CrossRef] [PubMed]
- Liu, J.; Feng, Q.; Gong, J.; Zhou, J.; Li, Y. Land-cover classification of the Yellow River Delta wetland based on multiple end-member spectral mixture analysis and a Random Forest classifier. Int. J. Remote Sens. 2016, 37, 1845–1867. [Google Scholar] [CrossRef]
- Zhang, C.; Gong, Z.; Qiu, H.; Zhang, Y.; Zhou, D. Mapping typical salt-marsh species in the Yellow River Delta wetland supported by temporal-spatial-spectral multidimensional features. Sci. Total Environ. 2021, 783, 147061. [Google Scholar] [CrossRef] [PubMed]
- Wu, W.; Zhou, Y.; Tian, B. Coastal wetlands facing climate change and anthropogenic activities: A remote sensing analysis and modelling application. Ocean Coast. Manag. 2017, 138, 1–10. [Google Scholar] [CrossRef]
- Xing, H.; Niu, J.; Feng, Y.; Hou, D.; Wang, Y.; Wang, Z. A coastal wetland mapping approach of Yellow River Delta with a hierarchical classification and optimal feature selection framework. Catena 2023, 223, 106897. [Google Scholar] [CrossRef]
- Xiang, H.; Yu, F.; Bai, J.; Shi, X.; Wang, M.; Yan, H.; Xi, Y.; Wang, Z.; Mao, D. SHAP-DNN Approach Advances Remote Sensing Mapping of Forested Wetlands. IEEE J. Sel. Top. Appl. Earth Obs. Remote Sens. 2025, 18, 6859–6869. [Google Scholar] [CrossRef]
- Li, Y.; Yu, X.; Zhang, J.; Zhang, S.; Wang, X.; Kong, D.; Yao, L.; Lu, H. Improved Classification of Coastal Wetlands in Yellow River Delta of China Using ResNet Combined with Feature-Preferred Bands Based on Attention Mechanism. Remote Sens. 2024, 16, 1860. [Google Scholar] [CrossRef]
- Senan, C.P.P.C.; Ajin, R.S.; Devi, B.R.; Rajaneesh, A.; Nagar, J.K.; Sajinkumar, K.S. Comparative Flood Risk Mapping Using Knowledge-Driven, Data-Driven, and Ensemble Models in a Humid Tropical River Basin in India. Water Conserv. Sci. Eng. 2025, 10, 104. [Google Scholar] [CrossRef]
- Marinoni, A.; Gamba, P. Unsupervised data driven feature extraction by means of mutual information maximization. IEEE Trans. Comput. Imaging 2017, 3, 243–253. [Google Scholar] [CrossRef]
- Dong, M.; Liu, S.; Jiang, R.; Qi, J.; de Solan, B.; Comar, A.; Li, L.; Li, W.; Ding, Y.; Baret, F. Comparing and combining data-driven and model-driven approaches to monitor wheat green area index with high spatio-temporal resolution satellites. Remote Sens. Environ. 2024, 305, 114118. [Google Scholar] [CrossRef]
- Jamali, A.; Mahdianpari, M.; Brisco, B.; Granger, J.; Mohammadimanesh, F.; Salehi, B. Wetland mapping using multi-spectral satellite imagery and deep convolutional neural networks: A case study in Newfoundland and Labrador, Canada. Can. J. Remote Sens. 2021, 47, 243–260. [Google Scholar] [CrossRef]
- Onojeghuo, A.O.; Onojeghuo, A.R. Wetlands mapping with deep ResU-Net CNN and open-access multisensor and multitemporal satellite data in Alberta’s Parkland and grassland region. Remote Sens. Earth Syst. Sci. 2023, 6, 22–37. [Google Scholar] [CrossRef]
- Xu, Z.; Su, C.; Wang, S.; Zhang, X. Local and Global Spectral Features for Hyperspectral Image Classification. Remote Sens. 2023, 15, 1803. [Google Scholar] [CrossRef]
- Mahdianpari, M.; Salehi, B.; Rezaee, M.; Mohammadimanesh, F.; Zhang, Y. Very deep convolutional neural networks for complex land cover mapping using multispectral remote sensing imagery. Remote Sens. 2018, 10, 1119. [Google Scholar] [CrossRef]
- Zhang, C.; Sargent, I.; Pan, X.; Li, H.; Gardiner, A.; Hare, J.; Atkinson, P.M. An object-based convolutional neural network (OCNN) for urban land use classification. Remote Sens. Environ. 2018, 216, 57–70. [Google Scholar] [CrossRef]
- Rezaee, M.; Mahdianpari, M.; Zhang, Y.; Salehi, B. Deep convolutional neural network for complex wetland classification using optical remote sensing imagery. IEEE J. Sel. Top. Appl. Earth Obs. Remote Sens. 2018, 11, 3030–3039. [Google Scholar] [CrossRef]
- DeLancey, E.R.; Simms, J.F.; Mahdianpari, M.; Brisco, B.; Mahoney, C.; Kariyeva, J. Comparing deep learning and shallow learning for large-scale wetland classification in Alberta, Canada. Remote Sens. 2019, 12, 2. [Google Scholar] [CrossRef]
- Alzubaidi, L.; Bai, J.; Al-Sabaawi, A.; Santamaría, J.; Albahri, A.S.; Al-Dabbagh, B.S.N.; Fadhel, M.A.; Manoufali, M.; Zhang, J.; Al-Timemy, A.H.; et al. A survey on deep learning tools dealing with data scarcity: Definitions, challenges, solutions, tips, and applications. J. Big Data 2023, 10, 46. [Google Scholar] [CrossRef]
- Ball, J.E.; Anderson, D.T.; Chan, C.S. Comprehensive survey of deep learning in remote sensing: Theories, tools, and challenges for the community. J. Appl. Remote Sens. 2017, 11, 042609. [Google Scholar] [CrossRef]
- Fan, X.R.; Kang, M.Z.; Heuvelink, E.; de Reffye, P.; Hu, B.-G. A knowledge-and-data-driven modeling approach for simulating plant growth: A case study on tomato growth. Ecol. Model. 2015, 312, 363–373. [Google Scholar] [CrossRef]
- Ge, Y.; Zhang, X.; Atkinson, P.M.; Stein, A.; Li, L. Geoscience-aware deep learning: A new paradigm for remote sensing. Sci. Remote Sens. 2022, 5, 100047. [Google Scholar] [CrossRef]
- Adamo, M.; Tomaselli, V.; Tarantino, C.; Vicario, S.; Veronico, G.; Lucas, R.; Blonda, P. Knowledge-based classification of grassland ecosystem based on multi-temporal WorldView-2 data and FAO-LCCS taxonomy. Remote Sens. 2020, 12, 1447. [Google Scholar] [CrossRef]
- Lin, Y.; Guo, J. Fuzzy geospatial objects—Based wetland remote sensing image Classification: A case study of Tianjin Binhai New area. Int. J. Appl. Earth Obs. Geoinf. 2024, 132, 104051. [Google Scholar] [CrossRef]
- Liu, H.; Liao, T.; Wang, Y.; Qian, X.; Liu, X.; Li, C.; Li, S.; Guan, Z.; Zhu, L.; Zhou, X.; et al. Fine-grained wetland classification for national wetland reserves using multi-source remote sensing data and Pixel Information Expert Engine (PIE-Engine). GIScience Remote Sens. 2023, 60, 2286746. [Google Scholar] [CrossRef]
- Tu, C.; Li, P.; Li, Z.; Wang, H.; Yin, S.; Li, D.; Zhu, Q.; Chang, M.; Liu, J.; Wang, G. Synergetic classification of coastal wetlands over the Yellow River Delta with GF-3 full-polarization SAR and Zhuhai-1 OHS hyperspectral remote sensing. Remote Sens. 2021, 13, 4444. [Google Scholar] [CrossRef]
- Wang, L.; Yan, J.; Mu, L.; Huang, L. Knowledge discovery from remote sensing images: A review. Wiley Interdiscip. Rev. Data Min. Knowl. Discov. 2020, 10, e1371. [Google Scholar] [CrossRef]
- Li, Y.; Zhang, Y. A new paradigm of remote sensing image interpretation by coupling knowledge graph and deep learning. Geomat. Inf. Sci. Wuhan Univ. 2022, 47, 1176–1190. [Google Scholar]
- Huang, Z.; Yao, X.; Liu, Y.; Dumitru, C.O.; Datcu, M.; Han, J. Physically explainable CNN for SAR image classification. ISPRS J. Photogramm. Remote Sens. 2022, 190, 25–37. [Google Scholar] [CrossRef]
- Belgiu, M.; Drăguţ, L. Random forest in remote sensing: A review of applications and future directions. ISPRS J. Photogramm. Remote Sens. 2016, 114, 24–31. [Google Scholar] [CrossRef]
- Maxwell, A.E.; Warner, T.A.; Fang, F. Implementation of machine-learning classification in remote sensing: An applied review. Int. J. Remote Sens. 2018, 39, 2784–2817. [Google Scholar] [CrossRef]
- Lee, K.; Lee, K.; Lee, H.; Shin, J. A simple unified framework for detecting out-of-distribution samples and adversarial attacks. Adv. Neural Inf. Process. Syst. 2018, 31, 7167–7177. [Google Scholar]
- Joshaghani, M.; Davari, A.; Hatamian, F.N.; Maier, A.; Riess, C. Bayesian convolutional neural networks for limited data hyperspectral remote sensing image classification. arXiv 2022, arXiv:2205.09250. [Google Scholar] [CrossRef]
- Tropea, M.; Fedele, G. Classifiers comparison for convolutional neural networks (CNNs) in image classification. In Proceedings of the 2019 IEEE/ACM 23rd International Symposium on Distributed Simulation and Real Time Applications (DS-RT), Cosenza, Italy, 7–9 October 2019; IEEE: Piscataway, NJ, USA, 2019; pp. 1–4. [Google Scholar]
- Zhu, X.X.; Tuia, D.; Mou, L.; Xia, G.-S.; Zhang, L.; Xu, F.; Fraundorfer, F. Deep learning in remote sensing: A comprehensive review and list of resources. IEEE Geosci. Remote Sens. Mag. 2017, 5, 8–36. [Google Scholar] [CrossRef]
- Cheng, W.; Qian, X.; Li, S.; Ma, H.; Liu, D.; Liu, F.; Liang, J.; Hu, J. Research and application of PIE-Engine Studio for spatiotemporal remote sensing cloud computing platform. Natl. Remote Sens. Bull. 2022, 26, 335–347. [Google Scholar]
- An, Y.; Yang, F.; Xu, J.; Ren, C.; Hu, J.; Luo, G. Analysis and prediction of temporal and spatial evolution of groundwater storage by combined SAR-GRACE satellite data. IEEE Access 2024, 12, 33671–33686. [Google Scholar] [CrossRef]
- Gui, S.; Song, S.; Qin, R.; Tang, Y. Remote sensing object detection in the deep learning era—A review. Remote Sens. 2024, 16, 327. [Google Scholar] [CrossRef]
- Shen, C.; Fang, Y.; Wang, S.; Liu, Z.; Cai, X.; Tian, L. Assessing wetland ecological quality and protection effectiveness in the Qilihai Wetland using long-term multi-source remote sensing data. Geo-Spat. Inf. Sci. 2025, 1–20. [Google Scholar] [CrossRef]
- Zhang, X.; Wang, G.; Xue, B.; Zhang, M.; Tan, Z. Dynamic landscapes and the driving forces in the Yellow River Delta wetland region in the past four decades. Sci. Total Environ. 2021, 787, 147644. [Google Scholar] [CrossRef]













| Data Source | Feature Category | Feature Name |
|---|---|---|
| Sentinel-2 | Vegetation Index | ARVI, DVI, EVI, GNDVI, HJVI, NDSI, NDSBI, NDWI, NDVI, OSAVI, RVI, SBI, SI, SRI |
| Texture Features | Homogeneity (Hom), Contrast (Con), Dissimilarity (Dis), Entropy (Ent), Angular Second Moment (ASM), Mean, Correlation (Cor), Variance (VAR) | |
| GF-3 | Polarization Decomposition Features | Pauli (PD, PO, PV), Krogager (KD, KH, KS), Freeman (FD, FO, FV), H-A-Alpha (H, A, α, λ), Yamaguchi-Y4 (YV, YO, YH, YD), Anyang (AnO, AnV, AnH, AnD) |
| Texture Features | Homogeneity (Hom), Contrast (Con), Dissimilarity (Dis), Entropy (Ent), Angular Second Moment (ASM), Mean, Correlation (Cor), Variance (VAR) | |
| C3 Matrix, T3 Matrix | C11, C12, C13, C22, C23, C33, T11, T12, T13, T22, T23, T33 | |
| Sentinel-1 | C2 Matrix, T2 Matrix | C11, C12, C22, T11, T12, T22 |
| Method | Detailed Information |
|---|---|
| SVM | The optimized LinearSVC parameters are: penalty = L2, C = 10. |
| XGBoost | The optimized XGB parameters: n_estimators = 1000, max_depth = 4, learning_rate = 0.01, gamma = 1, min_child_weight = 1, subsample = 0.5, colsample_bytree = 0.8. |
| RF | The optimized RandomForestClassifier parameters: n_estimators = 1000, max_depth = 5, min_samples_split = 2, min_samples_leaf = 1, min_impurity_decrease = 0.0001. |
| CNN | The optimized Convolutional Neural Network (CNN) architecture: conv_layers = 3, filters = [32, 64, 128], kernel_size = 3 × 3, activation = ReLU, pooling = max pooling (2 × 2), dropout_rate = 0.5, optimizer = Adam, learning_rate = 0.001, batch_size = 32, epochs = 100. |
| Study Area | Sensor | Image Type | Image Selection | Acquire Date | Resolution (m) |
|---|---|---|---|---|---|
| Yellow river delta | GF-3 | SAR Images | HH, HV, VV, VH | 9 September 2019 | 8 × 8 |
| Sentinel-2 | Optical Images | B2, B3, B4, B8 | 15 September 2019 | 10 × 10 | |
| Qilihai wetland | Sentinel-1 | SAR Images | VV, VH | 16 October 2020 | 5 × 20 |
| Sentinel-2 | Optical Images | B2, B3, B4, B8 | 16 October 2020 | 10 × 10 |
| Class Name | Total Samples | Training Samples | Testing Samples |
|---|---|---|---|
| Road | 47,400 | 265 | 114 |
| Bare soil | 198,182 | 1110 | 475 |
| wetland | 380,855 | 2132 | 914 |
| Water | 221,663 | 1241 | 532 |
| building | 21,526 | 150 | 60 |
| Total | 869,626 | 4898 | 2095 |
| Class Name | Total Samples | Training Samples | Testing Samples |
|---|---|---|---|
| Yellow River | 142,777 | 799 | 343 |
| Tidal Flat | 829,726 | 4647 | 199 |
| Suaeda Salsa | 1,025,845 | 5745 | 2462 |
| Spartina alterniflora | 262,562 | 1470 | 630 |
| Sea | 202,698 | 1135 | 487 |
| Pond | 271,827 | 1523 | 653 |
| Phragmites australis | 528,681 | 2960 | 1269 |
| Building | 1249 | 100 | 30 |
| Other | 848,455 | 4752 | 2036 |
| Total | 4,113,820 | 23,131 | 8109 |
| GF3 | Sentinel-2 | GF3 + Sentinel-2 | |||||||
|---|---|---|---|---|---|---|---|---|---|
| OA (%) | Kappa | F1 | OA (%) | Kappa | F1 | OA (%) | Kappa | F1 | |
| (1) | 32.87 | 0.1347 | 0.4062 | 57.20 | 0.4788 | 0.5706 | 69.27 | 0.6287 | 0.6920 |
| (2) | 46.37 | 0.3490 | 0.4622 | 71.97 | 0.6610 | 0.7212 | 79.33 | 0.7499 | 0.7998 |
| (3) | 49.56 | 0.3895 | 0.4953 | 72.67 | 0.6697 | 0.7291 | 80.76 | 0.7672 | 0.8131 |
| (4) | 64.56 | 0.5735 | 0.6387 | 85.51 | 0.8247 | 0.8551 | 85.89 | 0.8294 | 0.8728 |
| (5) | 66.71 | 0.5982 | 0.6476 | 87.13 | 0.8443 | 0.8747 | 87.47 | 0.8484 | 0.8846 |
| (6) | 61.94 | 0.5419 | 0.6236 | 84.18 | 0.8083 | 0.8389 | 84.32 | 0.8107 | 0.8432 |
| (7) | 72.34 | 0.6668 | 0.6769 | 89.62 | 0.8773 | 0.8900 | 90.03 | 0.8822 | 0.9033 |
| GF3 | Sentinel-2 | GF3 + Sentinel-2 | |||||||
|---|---|---|---|---|---|---|---|---|---|
| OA (%) | Kappa | F1 | OA (%) | Kappa | F1 | OA (%) | Kappa | F1 | |
| (1) | 67.03 | 0.6007 | 0.5023 | 72.92 | 0.6726 | 0.7335 | 81.50 | 0.7767 | 0.8232 |
| (2) | 70.67 | 0.6337 | 0.6702 | 75.35 | 0.7019 | 0.8120 | 81.67 | 0.7782 | 0.8333 |
| (3) | 74.06 | 0.6865 | 0.7435 | 89.42 | 0.8719 | 0.8989 | 90.53 | 0.8855 | 0.9057 |
| (4) | 75.80 | 0.7075 | 0.7585 | 90.06 | 0.8725 | 0.9001 | 90.91 | 0.8898 | 0.9136 |
| Sentinel-1 | Sentinel-2 | Sentinel-1 + Sentinel-2 | |||||||
|---|---|---|---|---|---|---|---|---|---|
| OA (%) | Kappa | F1 | OA (%) | Kappa | F1 | OA (%) | Kappa | F1 | |
| (1) | 57.78 | 0.3706 | 0.7178 | 81.22 | 0.7424 | 0.8115 | 82.59 | 0.7618 | 0.8255 |
| (2) | 63.65 | 0.4185 | 0.7395 | 83.56 | 0.7776 | 0.8276 | 85.06 | 0.7976 | 0.8431 |
| (3) | 71.71 | 0.6172 | 0.7668 | 84.15 | 0.7850 | 0.8469 | 85.14 | 0.7983 | 0.8557 |
| (4) | 82.96 | 0.7685 | 0.8430 | 86.14 | 0.8161 | 0.9026 | 90.33 | 0.8733 | 0.9073 |
| (5) | 83.91 | 0.7824 | 0.8491 | 90.01 | 0.8655 | 0.9044 | 90.57 | 0.8733 | 0.9112 |
| (6) | 84.56 | 0.7912 | 0.8378 | 90.34 | 0.8702 | 0.8806 | 90.73 | 0.8753 | 0.9012 |
| (7) | 85.15 | 0.7985 | 0.8544 | 90.41 | 0.8707 | 0.9069 | 90.78 | 0.8757 | 0.9213 |
| Sentinel-1 | Sentinel-2 | Sentinel-1 + Sentinel-2 | |||||||
|---|---|---|---|---|---|---|---|---|---|
| OA (%) | Kappa | F1 | OA (%) | Kappa | F1 | OA (%) | Kappa | F1 | |
| (1) | 72.06 | 0.6212 | 0.7791 | 84.23 | 0.7864 | 0.8587 | 85.56 | 0.8041 | 0.8672 |
| (2) | 73.48 | 0.6386 | 0.8021 | 84.52 | 0.7903 | 0.8653 | 85.73 | 0.8063 | 0.8776 |
| (3) | 85.22 | 0.7993 | 0.8598 | 90.37 | 0.8704 | 0.9132 | 90.81 | 0.8762 | 0.9247 |
| (4) | 85.36 | 0.8013 | 0.8631 | 90.41 | 0.8708 | 0.9188 | 91.31 | 0.8893 | 0.9308 |
Disclaimer/Publisher’s Note: The statements, opinions and data contained in all publications are solely those of the individual author(s) and contributor(s) and not of MDPI and/or the editor(s). MDPI and/or the editor(s) disclaim responsibility for any injury to people or property resulting from any ideas, methods, instructions or products referred to in the content. |
© 2025 by the authors. Licensee MDPI, Basel, Switzerland. This article is an open access article distributed under the terms and conditions of the Creative Commons Attribution (CC BY) license (https://creativecommons.org/licenses/by/4.0/).
Share and Cite
Zhang, L.; Wang, Z.; Wang, J.; Hu, Q.; Chang, Y.; Lu, Z.; Zhao, J. An Integrated Feature Framework for Wetland Mapping Using Multi-Source Imagery. Remote Sens. 2025, 17, 3737. https://doi.org/10.3390/rs17223737
Zhang L, Wang Z, Wang J, Hu Q, Chang Y, Lu Z, Zhao J. An Integrated Feature Framework for Wetland Mapping Using Multi-Source Imagery. Remote Sensing. 2025; 17(22):3737. https://doi.org/10.3390/rs17223737
Chicago/Turabian StyleZhang, Liansong, Zixuan Wang, Jifei Wang, Qiang Hu, Yonglei Chang, Zhong Lu, and Jinqi Zhao. 2025. "An Integrated Feature Framework for Wetland Mapping Using Multi-Source Imagery" Remote Sensing 17, no. 22: 3737. https://doi.org/10.3390/rs17223737
APA StyleZhang, L., Wang, Z., Wang, J., Hu, Q., Chang, Y., Lu, Z., & Zhao, J. (2025). An Integrated Feature Framework for Wetland Mapping Using Multi-Source Imagery. Remote Sensing, 17(22), 3737. https://doi.org/10.3390/rs17223737

