Multi-Temporal Satellite Image Clustering for Pasture Type Mapping: An Object-Based Image Analysis Approach
Highlights
- Multi-temporal clustering using Sentinel-2 data effectively classifies pasture types.
- Dynamic Time Warping (DTW) combined with K-Medoids and hierarchical clustering yields promising results for pasture mapping.
- The OBIA-based clustering framework enables unsupervised pasture type mapping using multi-temporal Sentinel-2 data.
- Biannual change analysis offers insights into pasture stability and the impacts of land management practices.
Abstract
1. Introduction
- (i)
- We propose a framework for pasture clustering using spatiotemporal RS data capable of capturing landscape dynamics over extended periods.
- (ii)
- We systematically evaluate clustering methods in conjunction with time-series distance, using both internal and external measures.
- (iii)
- We perform a biannual cluster analysis over six years to examine pasture dynamics and transitions. The analysis reveals that improved pasture and cropping areas experience frequent changes, whereas the native pastures comparatively remain stable.
2. Related Work
2.1. Pixel-Based Pasture and Grassland Mapping
2.2. OBIA-Based Pasture and Grassland Mapping
3. Materials and Methods
3.1. Study Area
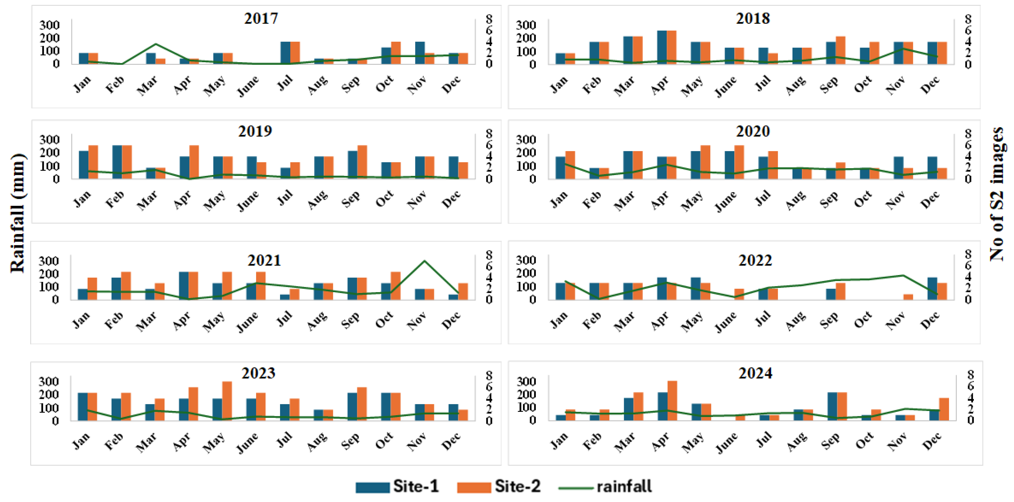
3.2. Satellite Image Time Series (SITS) Data
3.3. Normalised Difference Vegetation Index (NDVI)
3.4. Proposed Framework for OBIA-Based Pasture Clustering
3.4.1. Pre-Processing
3.4.2. Segmentation for Pasture Landscape Formation
3.4.3. Time Series Extraction and Similarity Measurement
3.4.4. Clustering
3.5. Reference Data
3.6. Evaluation Metrics
4. Results and Discussion
4.1. Segmentation Results and Pure Segments
4.2. Cluster Evaluation Using Silhouette Analysis
4.3. Cluster Analysis with External Labels
4.4. Qualitative Analysis of Clustering Results
4.5. Biannual Cluster Change Analysis
5. Conclusion and Future Work
Author Contributions
Funding
Data Availability Statement
Acknowledgments
Conflicts of Interest
Abbreviations
| ABARES | Australian Bureau of Agricultural and Resource Economics and Science | 
| ARD | Analysis-Ready data | 
| ARI | Adjusted rand index | 
| AVHRR | Advanced Very High Resolution Radiometer | 
| BGR | Blue Green Red | 
| CLUM | Catchment Scale Land Use of Australia | 
| DEA | Digital Earth Australia | 
| DEM | Digital elevation model | 
| DTW | Dynamic Time Warping | 
| ED | Euclidean Distance | 
| FMI | Fowlkes–Mallows Index | 
| GM | Grassland Management | 
| kNN | k-Nearest Neighbour | 
| MODIS | Moderate Resolution Imaging Spectroradiometer | 
| MTS | Multivariate Time Series | 
| NDVI | Normalised Difference Vegetation Index | 
| NBART | Nadir-corrected Bidirectional Reflectance Distribution Function Adjusted Reflectance | 
| NMI | Normalized Mutual Information | 
| OBIA | Object-based Image Analysis | 
| RF | Random Forest | 
| RS | Remote Sensing | 
| SAR | Synthetic Aperture Radar | 
| SITS | Satellite image time series | 
| SMA | Simple Moving Average | 
| SOM | Self-organising maps | 
| SVM | Support Vector Machine | 
| SBP | Sown Biodiverse Pasture | 
References
- Wróbel, B.; Zielewicz, W.; Staniak, M. Challenges of pasture feeding systems—Opportunities and constraints. Agriculture 2023, 13, 974. [Google Scholar] [CrossRef]
- Horn, J.; Isselstein, J. How do we feed grazing livestock in the future? A case for knowledge-driven grazing systems. Grass Forage Sci. 2022, 77, 153–166. [Google Scholar] [CrossRef]
- Scarth, P.; Röder, A.; Schmidt, M.; Denham, R. Tracking grazing pressure and climate interaction-the role of Landsat fractional cover in time series analysis. In Proceedings of the 15th Australasian Remote Sensing and Photogrammetry Conference, Alice Springs, Australia, 13–17 September 2010; Volume 13. [Google Scholar]
- Adar, S.; Sternberg, M.; Argaman, E.; Henkin, Z.; Dovrat, G.; Zaady, E.; Paz-Kagan, T. Testing a novel pasture quality index using remote sensing tools in semiarid and Mediterranean grasslands. Agric. Ecosyst. Environ. 2023, 357, 108674. [Google Scholar] [CrossRef]
- Fulkerson, B. Perennial ryegrass. In Future Dairy; University of Sydney: Camperdown, Australia, 2007. [Google Scholar]
- Crabbe, R.A.; Lamb, D.; Edwards, C. Discrimination of species composition types of a grazed pasture landscape using Sentinel-1 and Sentinel-2 data. Int. J. Appl. Earth Obs. Geoinf. 2020, 84, 101978. [Google Scholar] [CrossRef]
- Monjardino, M.; Loi, A.; Thomas, D.T.; Revell, C.K.; Flohr, B.M.; Llewellyn, R.S.; Norman, H.C. Improved legume pastures increase economic value, resilience and sustainability of crop-livestock systems. Agric. Syst. 2022, 203, 103519. [Google Scholar] [CrossRef]
- Shahi, T.B.; Balasubramaniam, T.; Sabir, K.; Nayak, R. Pasture monitoring using remote sensing and machine learning: A review of methods and applications. Remote Sens. Appl. Soc. Environ. 2025, 101459. [Google Scholar] [CrossRef]
- Bonamigo, A.; Oliveira, J.D.C.; Lamparelli, R.; Figueiredo, G.; Campbell, E.; Soares, J.; Monteiro, L.; Vianna, M.; Jaiswal, D.; Sheehan, J.; et al. Mapping Pasture Areas In Western Region Of SÃO Paulo State, Brazil. In Proceedings of the 2020 IEEE Latin American GRSS & ISPRS Remote Sensing Conference (LAGIRS), Santiago, Chile, 22–26 March 2020; pp. 681–686. [Google Scholar]
- Vilar, P.; Morais, T.G.; Rodrigues, N.R.; Gama, I.; Monteiro, M.L.; Domingos, T.; Teixeira, R.F. Object-based classification approaches for multitemporal identification and monitoring of pastures in agroforestry regions using multispectral unmanned aerial vehicle products. Remote Sens. 2020, 12, 814. [Google Scholar] [CrossRef]
- Oleinik, S.; Lesnyak, T.; Skripkin, V.; Litvin, D. Remote clustering of pastures. In Proceedings of the BIO Web of Conferences; EDP Sciences: Les Ulis, France, 2024; Volume 82, p. 05033. [Google Scholar]
- Stumpf, F.; Schneider, M.K.; Keller, A.; Mayr, A.; Rentschler, T.; Meuli, R.G.; Schaepman, M.; Liebisch, F. Spatial monitoring of grassland management using multi-temporal satellite imagery. Ecol. Indic. 2020, 113, 106201. [Google Scholar] [CrossRef]
- Xu, D.; Chen, B.; Shen, B.; Wang, X.; Yan, Y.; Xu, L.; Xin, X. The classification of grassland types based on object-based image analysis with multisource data. Rangel. Ecol. Manag. 2019, 72, 318–326. [Google Scholar] [CrossRef]
- Taylor, S.; Kumar, L.; Reid, N. Accuracy comparison of Quickbird, Landsat TM and SPOT 5 imagery for Lantana camara mapping. J. Spat. Sci. 2011, 56, 241–252. [Google Scholar] [CrossRef]
- Zhao, X.; Zhang, S.; Shi, R.; Yan, W.; Pan, X. Classification of grassland conditions using a hyperspectral camera and deep learning. Int. J. Remote Sens. 2025, 46, 1–21. [Google Scholar] [CrossRef]
- Crabbe, R.A.; Lamb, D.W.; Edwards, C. Discriminating between C3, C4, and mixed C3/C4 pasture grasses of a grazed landscape using multi-temporal Sentinel-1a data. Remote Sens. 2019, 11, 253. [Google Scholar] [CrossRef]
- Seyler, F.; Chaplot, V.; Muller, F.; Cerri, C.; Bernoux, M.; Ballester, V.; Feller, C.; Cerri, C. Pasture mapping by classification of Landsat TM images. Analysis of the spectral behaviour of the pasture class in a real medium-scale environment: The case of the Piracicaba Catchment (12,400 km2, Brazil). Int. J. Remote Sens. 2002, 23, 4985–5004. [Google Scholar] [CrossRef]
- Hill, M.; Smith, A.; Foster, T. Remote sensing of grassland with RADARSAT; case studies from Australia and Canada. Can. J. Remote Sens. 2000, 26, 285–296. [Google Scholar] [CrossRef]
- Santos, L.A.; Ferreira, K.; Picoli, M.; Camara, G.; Zurita-Milla, R.; Augustijn, E.W. Identifying spatiotemporal patterns in land use and cover samples from satellite image time series. Remote Sens. 2021, 13, 974. [Google Scholar] [CrossRef]
- Gonçalves, R.R.d.V.; Zullo, J.; Amaral, B.; Coltri, P.P.; Sousa, E.P.M.d.; Romani, L.A.S. Land use temporal analysis through clustering techniques on satellite image time series. In Proceedings of the 2014 IEEE Geoscience and Remote Sensing Symposium, Quebec City, QC, Canada, 13–18 July 2014; pp. 2173–2176. [Google Scholar]
- Whiteside, T.G.; Boggs, G.S.; Maier, S.W. Comparing object-based and pixel-based classifications for mapping savannas. Int. J. Appl. Earth Obs. Geoinf. 2011, 13, 884–893. [Google Scholar] [CrossRef]
- Wu, N.; Crusiol, L.G.T.; Liu, G.; Wuyun, D.; Han, G. Comparing machine learning algorithms for pixel/object-based classifications of semi-arid grassland in northern China using multisource medium resolution imageries. Remote Sens. 2023, 15, 750. [Google Scholar] [CrossRef]
- Lopes, M.; Fauvel, M.; Girard, S.; Sheeren, D. Object-based classification of grasslands from high resolution satellite image time series using Gaussian mean map kernels. Remote Sens. 2017, 9, 688. [Google Scholar] [CrossRef]
- Cai, Y.; Zhang, M.; Lin, H. Estimating the urban fractional vegetation cover using an object-based mixture analysis method and Sentinel-2 MSI imagery. IEEE J. Sel. Top. Appl. Earth Obs. Remote Sens. 2020, 13, 341–350. [Google Scholar] [CrossRef]
- He, H.; Liang, T.; Hu, D.; Yu, X. Remote sensing clustering analysis based on object-based interval modeling. Comput. Geosci. 2016, 94, 131–139. [Google Scholar] [CrossRef]
- NSW Local Land Services. Central Tablelands Region Profile. 2025. Available online: https://www.lls.nsw.gov.au/regions/central-tablelands/region-profile (accessed on 7 October 2025).
- NSW Local Land Services. Central Tablelands Local Strategic Plan 2021–2026: Supporting Document. 2021. Available online: https://www.lls.nsw.gov.au/__data/assets/pdf_file/0009/1362717/Central-Tablelands-Local-Strategic-Plan-2021-2026-supporting-document.pdf (accessed on 22 May 2025).
- Australian Government’s Bureau of Meteorology. Climate Data Online. 2024. Available online: https://www.lls.nsw.gov.au/__data/assets/pdffile/0009/1362717/Central-Tablelands-Local-Strategic-Plan-2021-2026-supporting-document.pdf (accessed on 22 January 2025).
- Department of Climate Change, Energy, the Environment and Water. Interim Biogeographic Regionalisation for Australia (Subregions) v. 7 (IBRA). 2020. Available online: https://fed.dcceew.gov.au/datasets/fa066cfb26ff4ccdb8172a38734905cc (accessed on 25 February 2025).
- Geoscience Australia. Geoscience Australia Sentinel-2A MSI NBART Collection 3—DEA Surface Reflectance NBART (Sentinel-2A MSI). 2022. Available online: https://pid.geoscience.gov.au/dataset/ga/146571 (accessed on 24 January 2025).
- Skakun, S.; Wevers, J.; Brockmann, C.; Doxani, G.; Aleksandrov, M.; Batič, M.; Frantz, D.; Gascon, F.; Gómez-Chova, L.; Hagolle, O.; et al. Cloud Mask Intercomparison eXercise (CMIX): An evaluation of cloud masking algorithms for Landsat 8 and Sentinel-2. Remote Sens. Environ. 2022, 274, 112990. [Google Scholar] [CrossRef]
- do Valle Júnior, R.F.; Siqueira, H.E.; Valera, C.A.; Oliveira, C.F.; Fernandes, L.F.S.; Moura, J.P.; Pacheco, F.A.L. Diagnosis of degraded pastures using an improved NDVI-based remote sensing approach: An application to the Environmental Protection Area of Uberaba River Basin (Minas Gerais, Brazil). Remote Sens. Appl. Soc. Environ. 2019, 14, 20–33. [Google Scholar] [CrossRef]
- Suwanprasit, C.; Shahnawaz. Mapping burned areas in Thailand using Sentinel-2 imagery and OBIA techniques. Sci. Rep. 2024, 14, 9609. [Google Scholar] [CrossRef]
- Chen, Y.; Ming, D.; Lv, X. Superpixel based land cover classification of VHR satellite image combining multi-scale CNN and scale parameter estimation. Earth Sci. Inform. 2019, 12, 341–363. [Google Scholar] [CrossRef]
- Girolamo-Neto, C.D.; Sato, L.Y.; Sanches, I.; Silva, I.C.d.O.; Rocha, J.C.S.; Almeida, C.A.d. Object based image analysis and texture features for pasture classification in brazilian savannah. ISPRS Ann. Photogramm. Remote Sens. Spat. Inf. Sci. 2020, 3, 453–460. [Google Scholar] [CrossRef]
- Vedaldi, A.; Soatto, S. Quick shift and kernel methods for mode seeking. In Proceedings of the Computer Vision—ECCV 2008: 10th European Conference on Computer Vision, Marseille, France, 12–18 October 2008; Springer: Berlin/Heidelberg, Germany, 2008; pp. 705–718. [Google Scholar]
- van der Walt, S.; Schönberger, J.L.; Nunez-Iglesias, J.; Boulogne, F.; Warner, J.D.; Yager, N.; Gouillart, E.; Yu, T. Scikit-Image: Image processing in Python. PeerJ 2014, 2, e453. [Google Scholar] [CrossRef] [PubMed]
- Khiali, L.; Ienco, D.; Teisseire, M. Object-oriented satellite image time series analysis using a graph-based representation. Ecol. Inform. 2018, 43, 52–64. [Google Scholar] [CrossRef]
- Petitjean, F.; Ketterlin, A.; Gançarski, P. A global averaging method for dynamic time warping, with applications to clustering. Pattern Recognit. 2011, 44, 678–693. [Google Scholar] [CrossRef]
- Petitjean, F.; Inglada, J.; Gançarski, P. Satellite image time series analysis under time warping. IEEE Trans. Geosci. Remote Sens. 2012, 50, 3081–3095. [Google Scholar] [CrossRef]
- Fu, T.c. A review on time series data mining. Eng. Appl. Artif. Intell. 2011, 24, 164–181. [Google Scholar] [CrossRef]
- Ntekouli, M.; Spanakis, G.; Waldorp, L.; Roefs, A. Evaluating multivariate time-series clustering using simulated ecological momentary assessment data. Mach. Learn. Appl. 2023, 14, 100512. [Google Scholar] [CrossRef]
- Tavenard, R.; Faouzi, J.; Vandewiele, G.; Divo, F.; Androz, G.; Holtz, C.; Payne, M.; Yurchak, R.; Rußwurm, M.; Kolar, K.; et al. Tslearn, A Machine Learning Toolkit for Time Series Data. J. Mach. Learn. Res. 2020, 21, 1–6. [Google Scholar]
- Mathieu, T.; Yurchak, R.; Birodkar, V.; Scikit-Learn-Extra Contributors. Scikit-Learn-Extra—A Set of Useful Tools Compatible with Scikit-Learn. 2020. Available online: https://github.com/scikit-learn-contrib/scikit-learn-extra (accessed on 17 July 2025).
- Pedregosa, F.; Varoquaux, G.; Gramfort, A.; Michel, V.; Thirion, B.; Grisel, O.; Blondel, M.; Prettenhofer, P.; Weiss, R.; Dubourg, V.; et al. Scikit-learn: Machine Learning in Python. J. Mach. Learn. Res. 2011, 12, 2825–2830. [Google Scholar]
- Ikotun, A.M.; Ezugwu, A.E.; Abualigah, L.; Abuhaija, B.; Heming, J. K-means clustering algorithms: A comprehensive review, variants analysis, and advances in the era of big data. Inf. Sci. 2023, 622, 178–210. [Google Scholar] [CrossRef]
- Cuturi, M.; Blondel, M. Soft-dtw: A differentiable loss function for time-series. In Proceedings of the International Conference on Machine Learning, Sydney, Australia, 6–11 August 2017; PMLR: Cambridge, MA, USA, 2017; pp. 894–903. [Google Scholar]
- Kaufman, L.; Rousseeuw, P.J. Partitioning Around Medoids (Program PAM). In Finding Groups in Data; John Wiley & Sons, Inc.: Hoboken, NJ, USA, 2008; Chapter 2. [Google Scholar] [CrossRef]
- Australian Bureau of Agricultural and Resource Economics and Sciences. Catchment Scale Land Use of Australia—Update December 2023. Version 2. 2024. Available online: https://www.agriculture.gov.au/abares/aclump/land-use/catchment-scale-land-use-and-commodities-update-2023#about-the-catchment-scale-land-use-of-australia–update-december-2023-spatial-dataset (accessed on 3 February 2025).











| Site | Total Segments | Pure Segments (%) | 
|---|---|---|
| site-1 | 987 | 457 (46.30) | 
| site-2 | 1929 | 1155 (59.87) | 
| Site | Clustering | Distance | ARI | NMI | FMI | Purity | 
|---|---|---|---|---|---|---|
| site-1 | ED | 0.6377 | 0.5486 | 0.8188 | 0.8996 | |
| KM | DTW | 0.6480 | 0.5751 | 0.8259 | 0.9022 | |
| ED | 0.6679 | 0.5633 | 0.8336 | 09090 | ||
| HC | DTW | 0.7113 | 0.6152 | 0.8555 | 0.9220 | |
| ED | 0.7103 | 0.6072 | 0.8554 | 0.9221 | ||
| PAM | DTW | 0.7261 | 0.6246 | 0.8628 | 0.9264 | |
| site-2 | ED | 0.5917 | 0.5515 | 0.7998 | 0.8848 | |
| KM | DTW | 0.6087 | 0.5649 | 0.8082 | 0.8902 | |
| ED | 0.7323 | 0.6179 | 0.8719 | 0.9281 | ||
| HC | DTW | 0.7494 | 0.6372 | 0.8802 | 0.9330 | |
| ED | 0.5249 | 0.5100 | 0.7674 | 0.8625 | ||
| PAM | DTW | 0.5430 | 0.5224 | 0.7761 | 0.8686 | 
| Site | Clustering | Distance | ARI | NMI | FMI | Purity | 
|---|---|---|---|---|---|---|
| site-1 | ED | 0.2971 | 0.3640 | 0.5506 | 0.7011 | |
| KM | DTW | 0.3143 | 0.3687 | 0.5621 | 0.6972 | |
| ED | 0.4212 | 0.4449 | 0.6987 | 0.7067 | ||
| HC | DTW | 0.4008 | 0.4537 | 0.6848 | 0.7089 | |
| ED | 0.2951 | 0.3556 | 0.5515 | 0.6958 | ||
| PAM | DTW | 0.3111 | 0.3667 | 0.5578 | 0.7002 | |
| site-2 | ED | 0.4279 | 0.5100 | 0.6519 | 0.6990 | |
| KM | DTW | 0.4346 | 0.4899 | 0.6440 | 0.6921 | |
| ED | 0.5430 | 0.5286 | 0.7322 | 0.7082 | ||
| HC | DTW | 0.4722 | 0.5165 | 0.7026 | 0.6735 | |
| ED | 0.4155 | 0.5091 | 0.6445 | 0.6935 | ||
| PAM | DTW | 0.3969 | 0.5021 | 0.6325 | 0.6909 | 
| Disclaimer/Publisher’s Note: The statements, opinions and data contained in all publications are solely those of the individual author(s) and contributor(s) and not of MDPI and/or the editor(s). MDPI and/or the editor(s) disclaim responsibility for any injury to people or property resulting from any ideas, methods, instructions or products referred to in the content. | 
© 2025 by the authors. Licensee MDPI, Basel, Switzerland. This article is an open access article distributed under the terms and conditions of the Creative Commons Attribution (CC BY) license (https://creativecommons.org/licenses/by/4.0/).
Share and Cite
Shahi, T.B.; Nayak, R.; Woodley, A.; Guerschman, J.P.; Sabir, K. Multi-Temporal Satellite Image Clustering for Pasture Type Mapping: An Object-Based Image Analysis Approach. Remote Sens. 2025, 17, 3601. https://doi.org/10.3390/rs17213601
Shahi TB, Nayak R, Woodley A, Guerschman JP, Sabir K. Multi-Temporal Satellite Image Clustering for Pasture Type Mapping: An Object-Based Image Analysis Approach. Remote Sensing. 2025; 17(21):3601. https://doi.org/10.3390/rs17213601
Chicago/Turabian StyleShahi, Tej Bahadur, Richi Nayak, Alan Woodley, Juan Pablo Guerschman, and Kenneth Sabir. 2025. "Multi-Temporal Satellite Image Clustering for Pasture Type Mapping: An Object-Based Image Analysis Approach" Remote Sensing 17, no. 21: 3601. https://doi.org/10.3390/rs17213601
APA StyleShahi, T. B., Nayak, R., Woodley, A., Guerschman, J. P., & Sabir, K. (2025). Multi-Temporal Satellite Image Clustering for Pasture Type Mapping: An Object-Based Image Analysis Approach. Remote Sensing, 17(21), 3601. https://doi.org/10.3390/rs17213601
 
        




 
       