A Combined Multiple Reassignment Squeezing and Ergodic Hough Transform Method for Hovering Rotorcraft Detection from Radar Micro-Doppler Signals
Highlights
- A novel detection method is proposed to identify hovering small unmanned rotorcrafts (SURs) by enhancing rotor-induced micro-Doppler signatures.
- Multiple reassignment squeezing and Hough-based trajectory detection are combined to distinguish hovering SURs from stationary clutter.
- The method enables reliable drone detection in low-velocity scenarios using low-frequency (UHF-band) radar systems.
- The proposed approach provides a practical foundation for real-time airspace surveillance and security applications.
Abstract
1. Introduction
- Most current studies on the micro-Doppler effect use high radar carrier frequencies (e.g., millimeter-wave bands) because higher frequencies capture the micro-Doppler effect more accurately. However, this is also accompanied by higher path loss, limiting long-range monitoring of SUR. In contrast, the lower frequency band may be more suitable for SUR monitoring, but the micro-Doppler effect signals may become blurred, degrading the detection performance. In addition, the low RCS of the rotor blades makes the detection of the micro-Doppler effect more difficult. SUN et al. [1] used a single-frequency continuous-wave radar to detect SURs by the micro-Doppler effect in the low-frequency band (UHF band) but the detection distance was limited to less than 10 m. Therefore, the selection of appropriate radar waveform is crucial to improve the detection performance especially at low frequency bands.
- Micro-Doppler Effect Signal Accumulation Problem: The RCS of the rotor blades varies with time, making the micro-Doppler effect manifest itself as a series of sideband signals (micro-Doppler effect) [20], which means that the micro-Doppler spectrum cannot be accumulated at the same frequency during the measurement period. In addition, the rotor speed may vary rapidly in order to maintain the stability of the SUR, which further leads to the frequency-domain spreading of the micro-Doppler signal. The long time accumulation processing is usually used for detecting low observable targets, which contributes to the improvement of Doppler resolution and facilitates the detection of low-speed targets, but also exacerbates the diffusion of micro-Doppler features [19]. For radars with linear frequency modulation (LFM) waveforms, the micro-Doppler effect may also fall into neighboring cells of the distance cell where the target is located due to the distance–Doppler coupling. This energy dispersion degrades the performance of conventional radar target detection techniques. Therefore, there is an urgent need for an efficient method to extract and detect the micro-Doppler effect.
- To overcome the micro-Doppler blurring and low-RCS issue at lower frequencies, we employ a horizontally co-polarized LFM waveform radar in the UHF band. This configuration provides low propagation loss and preserves rotor-induced micro-Doppler visibility [20]. Furthermore, the large time–bandwidth product and high Doppler tolerance of LFM waveforms ensure reliable detection of low-observable SURs [39].
- To mitigate the dispersion and accumulation difficulty of micro-Doppler energy, we propose a multiple reassignment squeezing (MRS) enhancement followed by an ergodic Hough transform (EHT) and mean-shift clustering. This processing chain effectively suppresses range–Doppler coupling, concentrates energy in the range–time domain, and enables robust extraction of rotor blade trajectories.
- Numerical simulations and field experiments are conducted to verify the effectiveness of the proposed method and demonstrate its performance gains in hovering SUR detection, particularly in terms of micro-Doppler feature enhancement and detection robustness.
2. Signal Model
3. Micro-Doppler Signature Detection Method
3.1. Range Squeezing via Multiple Reassignment
3.2. Ergodic Hough Transform-Based Detection
3.2.1. Step 1: Primary Detection in Range–Time Spectrum
3.2.2. Step 2: Enumerating and Mapping
3.2.3. Step 3: Binary Accumulation and Threshold Detection
3.3. Computational Complexity
4. Numerical Simulation
5. Experiment Results and Discussion
5.1. Experiment Description
5.2. Detection Results of Hovering SUR
5.3. Detection Results of Moving SUR
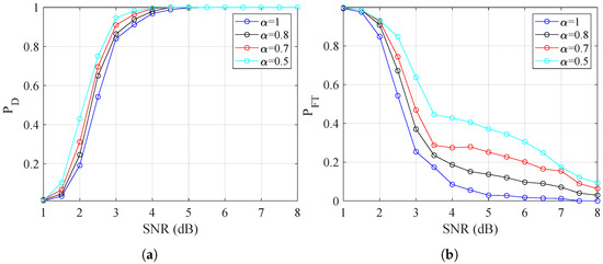
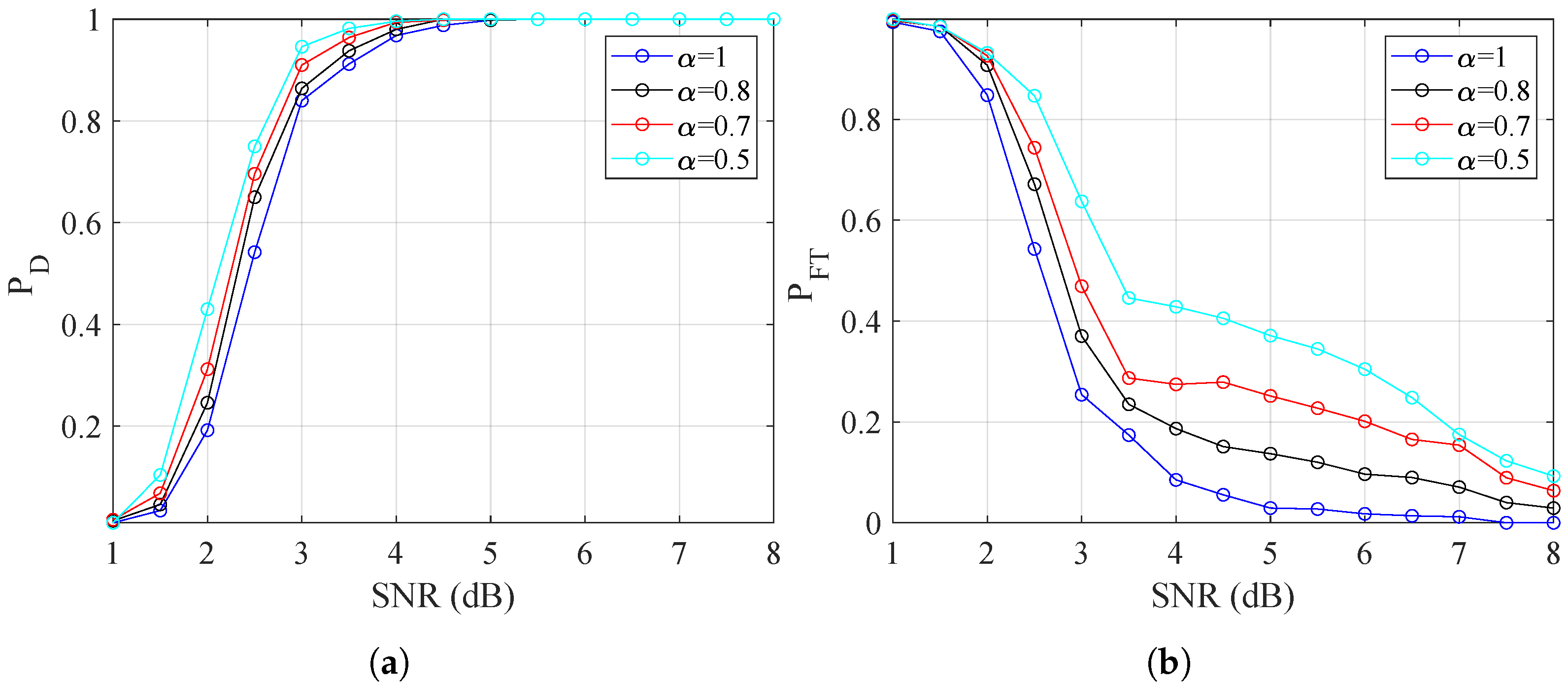
5.4. Low SNR Condition’s Performance
5.5. Discussion
5.5.1. Effect of Strong Interference Target
5.5.2. Effect of Power Difference of Multiple Targets
5.5.3. Effect of Multiple Target Clustering
6. Conclusions
- The proposed method is a non-coherent integration method which has accumulation loss. How to further improve the detection performance is significant and worth further study.
- The radar pattern employed in this paper ensures the measurement of MDS. Thus, the MDS can be used for SUR recognition after detection.
- The detection performance of the proposed method in the case of different types of SUR is not considered in the field experiment and should be investigated in the future.
- One may consider increasing the radar transmitting power, gaining the bandwidth product, using the beam forming method, etc., to further improve the detection performance.
- Future work may extend the proposed framework to multi-target scenarios, evaluating its capability in separating and detecting multiple micro-Doppler signatures with different motion characteristics.
Author Contributions
Funding
Data Availability Statement
Acknowledgments
Conflicts of Interest
References
- Sun, Y.; Abeywickrama, S.; Jayasinghe, L.; Yuen, C.; Chen, J.; Zhang, M. Micro-Doppler Signature-Based Detection, Classification, and Localization of Small UAV with Long Short-Term Memory Neural Network. IEEE Trans. Geosci. Remote Sens. 2021, 59, 6285–6300. [Google Scholar] [CrossRef]
- Fan, B.; Li, Y.; Zhang, R.; Fu, Q. Review on the technological development and application of UAV systems. Chin. J. Electron. 2020, 29, 199–207. [Google Scholar] [CrossRef]
- Gargalakos, M. The role of unmanned aerial vehicles in military communications: Application scenarios, current trends, and beyond. J. Def. Model. Simul. 2024, 21, 313–321. [Google Scholar] [CrossRef]
- Guvenc, I.; Koohifar, F.; Singh, S.; Sichitiu, M.L.; Matolak, D. Detection, Tracking, and Interdiction for Amateur Drones. IEEE Commun. Mag. 2018, 56, 75–81. [Google Scholar] [CrossRef]
- Nguyen, P.; Ravindranatha, M.; Nguyen, A.; Han, R.; Vu, T. Investigating cost-effective RF-based detection of drones. In Proceedings of the 2nd Workshop on Micro Aerial Vehicle Networks, Systems, and Applications for Civilian Use, Singapore, 26 June 2016; pp. 17–22. [Google Scholar]
- Haluza, M.; Čechák, J. Analysis and decoding of radio signals for remote control of drones. In Proceedings of the 2016 New Trends in Signal Processing (NTSP), Demanovska dolina, Slovakia, 12–14 October 2016; pp. 1–5. [Google Scholar]
- Dumitrescu, C.; Minea, M.; Costea, I.M.; Cosmin Chiva, I.; Semenescu, A. Development of an acoustic system for UAV detection. Sensors 2020, 20, 4870. [Google Scholar] [CrossRef]
- Fang, J.; Li, Y.; Ji, P.N.; Wang, T. Drone detection and localization using enhanced fiber-optic acoustic sensor and distributed acoustic sensing technology. J. Light. Technol. 2022, 41, 822–831. [Google Scholar] [CrossRef]
- Svanström, F.; Alonso-Fernandez, F.; Englund, C. Drone detection and tracking in real-time by fusion of different sensing modalities. Drones 2022, 6, 317. [Google Scholar] [CrossRef]
- Xiaolong, C.; Weishi, C.; Yunhua, R.; Yong, H.; Jian, G.; Yunlong, D. Progress and prospects of radar target detection and recognition technology for flying birds and unmanned aerial vehicles. J. Radars 2020, 9, 803–827. [Google Scholar]
- Zuo, L.; Wang, J.; Wang, J.; Chen, G. UAV detection via long-time coherent integration for passive bistatic radar. Digit. Signal Process. 2021, 112, 102997. [Google Scholar] [CrossRef]
- Shao, S.; Zhu, W.; Li, Y. Radar Detection of Low-Slow-Small UAVs in Complex Environments. In Proceedings of the 2022 IEEE 10th Joint International Information Technology and Artificial Intelligence Conference (ITAIC), Chongqing, China, 17–19 June 2022; Volume 10, pp. 1153–1157. [Google Scholar] [CrossRef]
- Rudys, S.; Ragulis, P.; Laučys, A.; Bručas, D.; Pomarnacki, R.; Plonis, D. Investigation of UAV detection by different solid-state marine radars. Electronics 2022, 11, 2502. [Google Scholar] [CrossRef]
- Ezuma, M.; Anjinappa, C.K.; Semkin, V.; Guvenc, I. Comparative Analysis of Radar-Cross-Section- Based UAV Recognition Techniques. IEEE Sens. J. 2022, 22, 17932–17949. [Google Scholar] [CrossRef]
- de Quevedo, Á.D.; Urzaiz, F.I.; Menoyo, J.G.; López, A.A. Drone detection and radar-cross-section measurements by RAD-DAR. IET Radar Sonar Navig. 2019, 13, 1437–1447. [Google Scholar] [CrossRef]
- Kapoulas, I.K.; Hatziefremidis, A.; Baldoukas, A.; Valamontes, E.S.; Statharas, J. Small fixed-wing UAV radar cross-section signature investigation and detection and classification of distance estimation using realistic parameters of a commercial anti-drone system. Drones 2023, 7, 39. [Google Scholar] [CrossRef]
- Park, J.; Jung, D.H.; Bae, K.B.; Park, S.O. Range-Doppler Map Improvement in FMCW Radar for Small Moving Drone Detection Using the Stationary Point Concentration Technique. IEEE Trans. Microw. Theory Tech. 2020, 68, 1858–1871. [Google Scholar] [CrossRef]
- Gong, J.; Yan, J.; Hu, H.; Kong, D.; Li, D. Improved radar detection of small drones using doppler signal-to-clutter ratio (DSCR) detector. Drones 2023, 7, 316. [Google Scholar] [CrossRef]
- Chen, V.C. The Micro-Doppler Effect in Radar; Artech House: Norwood, MA, USA, 2019. [Google Scholar]
- Li, T.; Wen, B.; Tian, Y.; Li, Z.; Wang, S. Numerical Simulation and Experimental Analysis of Small Drone Rotor Blade Polarimetry Based on RCS and Micro-Doppler Signature. IEEE Antennas Wirel. Propag. Lett. 2019, 18, 187–191. [Google Scholar] [CrossRef]
- Sun, H.; Oh, B.S.; Guo, X.; Lin, Z. Improving the Doppler Resolution of Ground-Based Surveillance Radar for Drone Detection. IEEE Trans. Aerosp. Electron. Syst. 2019, 55, 3667–3673. [Google Scholar] [CrossRef]
- Kang, K.B.; Choi, J.H.; Cho, B.L.; Lee, J.S.; Kim, K.T. Analysis of Micro-Doppler Signatures of Small UAVs Based on Doppler Spectrum. IEEE Trans. Aerosp. Electron. Syst. 2021, 57, 3252–3267. [Google Scholar] [CrossRef]
- Kim, B.K.; Kang, H.S.; Park, S.O. Experimental Analysis of Small Drone Polarimetry Based on Micro-Doppler Signature. IEEE Geosci. Remote Sens. Lett. 2017, 14, 1670–1674. [Google Scholar] [CrossRef]
- Reddy, V.V.; Peter, S. UAV micro-Doppler signature analysis using FMCW radar. In Proceedings of the 2021 IEEE Radar Conference (RadarConf21), Atlanta, GA, USA, 8–14 May 2021; pp. 1–6. [Google Scholar] [CrossRef]
- Stasiak, K.; Ciesielski, M.; Samczyński, P.; Gromek, D.; Kulpa, K. Preliminary results of Drone’s propellers detection using K-band and mm-Wave FMCW radar. In Proceedings of the 2019 20th International Radar Symposium (IRS), Ulm, Germany, 26–28 June 2019; pp. 1–7. [Google Scholar]
- Zhao, Y.; Su, Y. Sparse Recovery on Intrinsic Mode Functions for the Micro-Doppler Parameters Estimation of Small UAVs. IEEE Trans. Geosci. Remote Sens. 2019, 57, 7182–7193. [Google Scholar] [CrossRef]
- Dai, T.; Xu, S.; Tian, B.; Hu, J.; Zhang, Y.; Chen, Z. Extraction of micro-doppler feature using LMD algorithm combined supplement feature for UAVs and birds classification. Remote Sens. 2022, 14, 2196. [Google Scholar] [CrossRef]
- Lam, I.; Pant, S.; Manning, M.; Kubanski, M.; Fox, P.; Rajan, S.; Patnaik, P.; Balaji, B. Time-Frequency Analysis using V-band Radar for Drone Detection and Classification. In Proceedings of the 2023 IEEE International Instrumentation and Measurement Technology Conference (I2MTC), Kuala Lumpur, Malaysia, 22–25 May 2023; pp. 1–6. [Google Scholar] [CrossRef]
- Zhang, Z. A Micro-Doppler Analysis for Radar-Based UAV Swarm Detection. In Proceedings of the 2024 IEEE 4th International Conference on Data Science and Computer Application (ICDSCA), Dalian, China, 22–24 November 2024; pp. 620–625. [Google Scholar] [CrossRef]
- He, W.; Sun, J.; Wang, X.; Zhang, X. Micro-motion feature extraction of micro-rotor UAV based on RSP-CFD method. J. Signal Process. 2021, 37, 399–408. [Google Scholar]
- Zhang, Y.D.; Xiang, X.; Li, Y.; Chen, G. Enhanced Micro-Doppler Feature Analysis for Drone Detection. In Proceedings of the 2021 IEEE Radar Conference (RadarConf21), Atlanta, GA, USA, 8–14 May 2021; pp. 1–4. [Google Scholar] [CrossRef]
- Fan, S.; Wu, Z.; Xu, W.; Zhu, J.; Tu, G. Micro-Doppler Signature Detection and Recognition of UAVs Based on OMP Algorithm. Sensors 2023, 23, 7922. [Google Scholar] [CrossRef] [PubMed]
- Hong, T.; Li, Y.; Fang, C.; Dong, W.; Chen, Z. Extracting Micro-Doppler Features from Multi-Rotor Unmanned Aerial Vehicles Using Time-Frequency Rotation Domain Concentration. Drones 2024, 8, 20. [Google Scholar] [CrossRef]
- Passafiume, M.; Rojhani, N.; Collodi, G.; Cidronali, A. Modeling small UAV micro-Doppler signature using millimeter-wave FMCW radar. Electronics 2021, 10, 747. [Google Scholar] [CrossRef]
- Yan, J.; Hu, H.; Gong, J.; Kong, D.; Li, D. Exploring radar micro-Doppler signatures for recognition of drone types. Drones 2023, 7, 280. [Google Scholar] [CrossRef]
- Leonardi, M.; Ligresti, G.; Piracci, E. Drones classification by the use of a multifunctional radar and micro-Doppler analysis. Drones 2022, 6, 124. [Google Scholar] [CrossRef]
- Hong, T.; Fang, C.; Hao, H.; Sun, W. Identification technology of UAV based on micro-Doppler effect. In Proceedings of the 2021 International Wireless Communications and Mobile Computing (IWCMC), Harbin, China, 28 June–2 July 2021; pp. 308–311. [Google Scholar]
- Narayanan, R.M.; Tsang, B.; Bharadwaj, R. Classification and discrimination of birds and small drones using radar micro-Doppler spectrogram images. Signals 2023, 4, 337–358. [Google Scholar] [CrossRef]
- Eaves, J.; Reedy, E. Principles of Modern Radar; Springer Science & Business Media: Berlin/Heidelberg, Germany, 2012. [Google Scholar]
- Caputi, W.J. Stretch: A Time-Transformation Technique. IEEE Trans. Aerosp. Electron. Syst. 1971, AES-7, 269–278. [Google Scholar] [CrossRef]
- Chen, V.C. Radar signatures of rotor blades. In Proceedings of the Wavelet Applications VIII. SPIE, Orlando, FL, USA, 18–20 April 2001; Volume 4391, pp. 63–70. [Google Scholar]
- Chen, V.; Li, F.; Ho, S.S.; Wechsler, H. Micro-Doppler effect in radar: Phenomenon, model, and simulation study. IEEE Trans. Aerosp. Electron. Syst. 2006, 42, 2–21. [Google Scholar] [CrossRef]
- Auger, F.; Flandrin, P. Improving the readability of time-frequency and time-scale representations by the reassignment method. IEEE Trans. Signal Process. 1995, 43, 1068–1089. [Google Scholar] [CrossRef]
- Carlson, B.; Evans, E.; Wilson, S. Search radar detection and track with the Hough transform. I. system concept. IEEE Trans. Aerosp. Electron. Syst. 1994, 30, 102–108. [Google Scholar] [CrossRef]
- Cheng, Y. Mean shift, mode seeking, and clustering. IEEE Trans. Pattern Anal. Mach. Intell. 1995, 17, 790–799. [Google Scholar] [CrossRef]
- Baraniuk, R.; Flandrin, P.; Janssen, A.; Michel, O. Measuring time-frequency information content using the Renyi entropies. IEEE Trans. Inf. Theory 2001, 47, 1391–1409. [Google Scholar] [CrossRef]
- Guo, Y.; Zheng, X.; Peng, D. Track Before Detect Algorithm for Weak Target Based on Ergodic Hough Transform. J. Syst. Simul. 2015, 27, 1316–1323. [Google Scholar]
- The DJI M600 Pro User Manual v1.0. 2018. Available online: https://dl.djicdn.com/downloads/m600%20pro/20180417/Matrice_600_Pro_User_Manual_v1.0_EN.pdf (accessed on 15 September 2025).
- Shao, X.; Zhang, F.; Liu, J.; Zhang, Q. Finite-Time Learning-Based Optimal Elliptical Encircling Control for UAVs with Prescribed Constraints. IEEE Trans. Intell. Transp. Syst. 2025, 26, 7065–7080. [Google Scholar] [CrossRef]
- Mei, Z.; Shao, X.; Xia, Y.; Liu, J. Enhanced Fixed-Time Collision-Free Elliptical Circumnavigation Coordination for UAVs. IEEE Trans. Aerosp. Electron. Syst. 2024, 60, 4257–4270. [Google Scholar] [CrossRef]


















| Symbol | Meaning |
|---|---|
| Distance from the rotor center C to radar O | |
| v | Radial velocity of SUR with respect to radar |
| Backscattering coefficient of point P | |
| Rotation speed of the rotor (revolutions per second) | |
| Pitch angle of the SUR with respect to radar |
| Symbol | Value |
|---|---|
| c | |
| 335 MHz | |
| B | 10 MHz |
| 20 ms | |
| N | 128 |
| 2700 m | |
| v | 0 m/s |
| 1 | |
| L | 266 mm |
| M | 2 |
| I | 4 |
| ∼ | |
| ∼ | |
| ∼ | |
| ∼ | |
| Parameter | Value |
|---|---|
| Carrier frequency | 340 MHz |
| Bandwidth | 10.5 MHz |
| Sweep duration | 20 ms |
| Dwell time | 5.12 s |
| Peak power | 1 W |
| Method | Detection Rate for the Entire Period | Detection Rate for the Hovering Period |
|---|---|---|
| Proposed method | ||
| Ergodic HT | ||
| Standard HT | ||
| Conventional method |
Disclaimer/Publisher’s Note: The statements, opinions and data contained in all publications are solely those of the individual author(s) and contributor(s) and not of MDPI and/or the editor(s). MDPI and/or the editor(s) disclaim responsibility for any injury to people or property resulting from any ideas, methods, instructions or products referred to in the content. |
© 2025 by the authors. Licensee MDPI, Basel, Switzerland. This article is an open access article distributed under the terms and conditions of the Creative Commons Attribution (CC BY) license (https://creativecommons.org/licenses/by/4.0/).
Share and Cite
Tian, Y.; Nie, P.; Zhao, J.; Huang, W. A Combined Multiple Reassignment Squeezing and Ergodic Hough Transform Method for Hovering Rotorcraft Detection from Radar Micro-Doppler Signals. Remote Sens. 2025, 17, 3590. https://doi.org/10.3390/rs17213590
Tian Y, Nie P, Zhao J, Huang W. A Combined Multiple Reassignment Squeezing and Ergodic Hough Transform Method for Hovering Rotorcraft Detection from Radar Micro-Doppler Signals. Remote Sensing. 2025; 17(21):3590. https://doi.org/10.3390/rs17213590
Chicago/Turabian StyleTian, Yingwei, Pengfei Nie, Jiurui Zhao, and Weimin Huang. 2025. "A Combined Multiple Reassignment Squeezing and Ergodic Hough Transform Method for Hovering Rotorcraft Detection from Radar Micro-Doppler Signals" Remote Sensing 17, no. 21: 3590. https://doi.org/10.3390/rs17213590
APA StyleTian, Y., Nie, P., Zhao, J., & Huang, W. (2025). A Combined Multiple Reassignment Squeezing and Ergodic Hough Transform Method for Hovering Rotorcraft Detection from Radar Micro-Doppler Signals. Remote Sensing, 17(21), 3590. https://doi.org/10.3390/rs17213590

