Effective First-Break Picking of Seismic Data Using Geometric Learning Methods
Abstract
1. Introduction
1.1. Background
1.2. Related Work
- The picking quality of the supervised deep models is heavily dependent on the training dataset, thus in case of the data lacking of high quality labels, the picking quality becomes lower. In practical applications, the data requiring picking may have a lower signal-to-noise ratio than the training data used and may feature complex near-surface environments, faults, or collapsed zones, which impose greater limitations on the usage of these deep models.
- When dealing with first-break picking problem, semantic segmentation models are often employed, with the goal of generating a pixel-level segmentation mask for the input image. However, this does not align well with the primary objective of first-break picking, which is to identify a specific arrival time for each seismic trace.
- Since the deep models are often considered black boxes where the learned patterns are not easily interpretable, mistakes made by the DL models in first-break picking cannot be easily corrected by simply adjusting the models.
1.3. Contributions
- 1.
- We introduce a novel unsupervised method for accurate first-break picking in 2D seismic image using an active contour image segmentation technique. The first arrival times along all the traces in a 2D seismic image are considered as a target curve which is represented by the level-set method. Our approach incorporates an energy functional framework that relies on the length of the first-break curve along with a fitting region energy.
- 2.
- Since the unsupervised model yields interpretable insights into the picking process, we offer a means to promptly and directly enhance picking results through human interaction, providing valuable support for experts to annotate first arrival times with high accuracy in newly acquired seismic data. We further apply our method to refining the picking results of other methods, such as inadequately trained deep learning models or traditional picking methods.
- 3.
- Based on the geometric properties of the first-break curve, we also design a specialized loss function for deep models tailored to address the first-arrival picking problem. Our experimental results show that using this loss function significantly enhances the picking ability of supervised semantic segmentation based models for the arrival time picking task.
2. Proposed Method
2.1. Unsupervised Method
2.1.1. Theory
2.1.2. Numerical Approximation and Algorithm
- Algorithm Steps for picking FB:
- 1.
- Transform the original seismic image to energy-based image .
- 2.
- Initialize .
- 3.
- Calculate and . Use 6 to get by
- 4.
- Use to get the 0 level set, i.e., the FB curve.
- 5.
- Verify whether the FB curve is stationary. If not, increase n by 1 and repeat from step 3.
2.2. Supervised Method
2.2.1. Motivation
2.2.2. Curve Loss Function for Deep Supervised Methods
3. Experiments for the Unsupervised Method
3.1. General Results
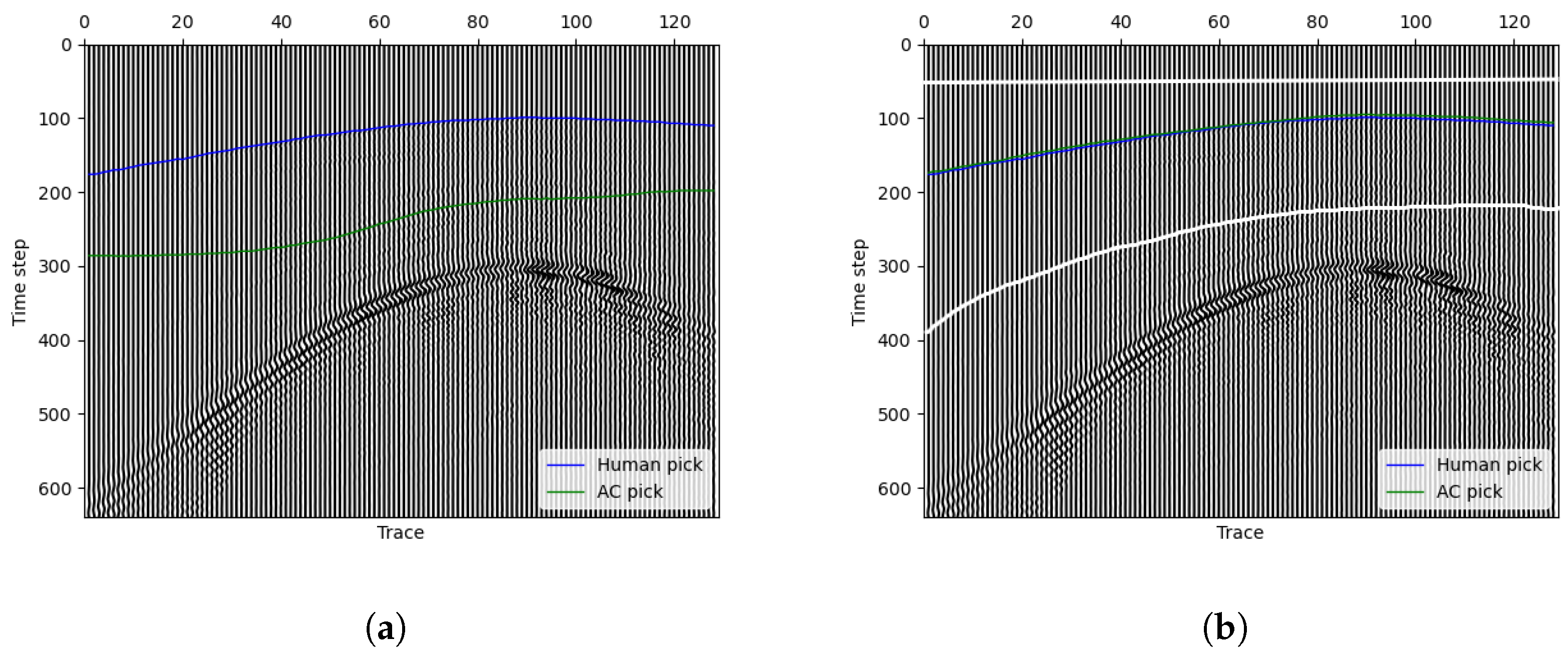
3.2. Human Interaction
3.2.1. Parameters Selection
3.2.2. Region Selection
3.2.3. Fix Points
3.3. Improving Picking Results of Other Methods
4. Experimental Results for the Deep Supervised Methods
5. Conclusions and Remarks
Author Contributions
Funding
Data Availability Statement
Acknowledgments
Conflicts of Interest
References
- Akram, J.; Eaton, D.W. A review and appraisal of arrival-time picking methods for downhole microseismic data. Geophysics 2016, 81, KS71–KS91. [Google Scholar] [CrossRef]
- Allen, R.V. Automatic earthquake recognition and timing from single traces. Bull. Seismol. Soc. Am. 1978, 68, 1521–1532. [Google Scholar] [CrossRef]
- McCormack, M.D.; Zaucha, D.E.; Dushek, D.W. First-break refraction event picking and seismic data trace editing using neural networks. Geophysics 1993, 58, 67–78. [Google Scholar] [CrossRef]
- Maity, D.; Aminzadeh, F.; Karrenbach, M. Novel hybrid artificial neural network based autopicking workflow for passive seismic data. Geophys. Prospect. 2014, 62, 834–847. [Google Scholar] [CrossRef]
- Mousavi, S.M.; Beroza, G.C. Deep-learning seismology. Science 2022, 377, eabm4470. [Google Scholar] [CrossRef] [PubMed]
- Guo, C.; Zhu, T.; Gao, Y.; Wu, S.; Sun, J. AEnet: Automatic Picking of P-Wave First Arrivals Using Deep Learning. IEEE Trans. Geosci. Remote Sens. 2021, 59, 5293–5303. [Google Scholar] [CrossRef]
- Zhu, W.; Beroza, G.C. PhaseNet: A deep-neural-network-based seismic arrival-time picking method. Geophys. J. Int. 2019, 216, 261–273. [Google Scholar] [CrossRef]
- Zheng, J.; Lu, J.; Peng, S.; Jiang, T. An automatic microseismic or acoustic emission arrival identification scheme with deep recurrent neural networks. Geophys. J. Int. 2018, 212, 1389–1397. [Google Scholar] [CrossRef]
- Yuan, S.; Liu, J.; Wang, S.; Wang, T.; Shi, P. Seismic Waveform Classification and First-Break Picking Using Convolution Neural Networks. IEEE Geosci. Remote Sens. Lett. 2018, 15, 272–276. [Google Scholar] [CrossRef]
- Hollander, Y.; Merouane, A.; Yilmaz, O. Using a deep convolutional neural network to enhance the accuracy of first-break picking. In SEG Technical Program Expanded Abstracts 2018; SEG: Houston, TX, USA, 2018; pp. 4628–4632. [Google Scholar] [CrossRef]
- Duan, X.; Zhang, J.; Liu, Z.; Liu, S.; Chen, Z.; Li, W. Integrating seismic first-break picking methods with a machine learning approach. In SEG Technical Program Expanded Abstracts 2018; SEG: Houston, TX, USA, 2018; pp. 2186–2190. [Google Scholar] [CrossRef]
- Hu, L.; Zheng, X.; Duan, Y.; Yan, X.; Hu, Y.; Zhang, X. First-arrival picking with a U-net convolutional network. Geophysics 2019, 84, U45–U57. [Google Scholar] [CrossRef]
- Ronneberger, O.; Fischer, P.; Brox, T. U-Net: Convolutional Networks for Biomedical Image Segmentation. arXiv 2015. Available online: http://arxiv.org/abs/1505.04597 (accessed on 28 October 2024).
- Yuan, P.; Wang, S.; Hu, W.; Wu, X.; Chen, J.; Nguyen, H.V. A robust first-arrival picking workflow using convolutional and recurrent neural networks. Geophysics 2020, 85, U109–U119. [Google Scholar] [CrossRef]
- Mousavi, S.M.; Ellsworth, W.L.; Zhu, W.; Chuang, L.Y.; Beroza, G.C. Earthquake transformer—An attentive deep-learning model for simultaneous earthquake detection and phase picking. Nat. Commun. 2020, 11, 3952. [Google Scholar] [CrossRef]
- Tsai, K.C.; Hu, W.; Wu, X.; Chen, J.; Han, Z. Automatic First Arrival Picking via Deep Learning With Human Interactive Learning. IEEE Trans. Geosci. Remote Sens. 2020, 58, 1380–1391. [Google Scholar] [CrossRef]
- Yuan, S.Y.; Zhao, Y.; Xie, T.; Qi, J.; Wang, S.X. SegNet-based first-break picking via seismic waveform classification directly from shot gathers with sparsely distributed traces. Pet. Sci. 2022, 19, 162–179. [Google Scholar] [CrossRef]
- Jiang, P.; Deng, F.; Wang, X.; Shuai, P.; Luo, W.; Tang, Y. Seismic First Break Picking Through Swin Transformer Feature Extraction. IEEE Geosci. Remote Sens. Lett. 2023, 20, 1–5. [Google Scholar] [CrossRef]
- Chan, T.; Vese, L. Active contours without edges. IEEE Trans. Image Process. 2001, 10, 266–277. [Google Scholar] [CrossRef] [PubMed]
- Osher, S.; Sethian, J.A. Fronts propagating with curvature-dependent speed: Algorithms based on Hamilton-Jacobi formulations. J. Comput. Phys. 1988, 79, 12–49. [Google Scholar] [CrossRef]
- Sudre, C.H.; Li, W.; Vercauteren, T.; Ourselin, S.; Jorge Cardoso, M. Generalised dice overlap as a deep learning loss function for highly unbalanced segmentations. In Proceedings of the Deep Learning in Medical Image Analysis and Multimodal Learning for Clinical Decision Support: Third International Workshop, DLMIA 2017, and 7th International Workshop, ML-CDS 2017, Held in Conjunction with MICCAI 2017, Québec City, QC, Canada, 14 September 2017; pp. 240–248. [Google Scholar]
- Lin, T.Y.; Goyal, P.; Girshick, R.; He, K.; Dollár, P. Focal loss for dense object detection. In Proceedings of the IEEE International Conference on Computer Vision, Honolulu, HI, USA, 21–26 July 2017; pp. 2980–2988. [Google Scholar]












| Parameters | Selections |
|---|---|
| 30 | |
| 150 | |
| 150 | |
| 0.1 | |
| End Condition | 50 |
| Structures/Parameters | Selections |
|---|---|
| Encoder structure | Resnext50 |
| Pretrained Encoder weights | Imagenet |
| Loss Function | Dice Loss |
| Optimizer | Adam |
| Learning Rate | / |
| Models * | [, 1] | [−2, 2] | [−5, 5] | [−10, 10] |
|---|---|---|---|---|
| 5 shots | 39.10% | 57.22% | 82.73% | 93.78% |
| 10 shots | 55.07% | 69.89% | 85.32% | 93.24% |
| 20 shots | 68.61% | 81.32% | 92.90% | 97.11% |
| 5 shots + AC | 66.93% | 79.70% | 90.99% | 96.25% |
| Models * | [−1, 1] | [−2, 2] | [−5, 5] | [−10, 10] | |
|---|---|---|---|---|---|
| Different Base Loss | Dice Loss | 45.99% | 59.06% | 72.65% | 79.30% |
| + Curve Loss | 61.57% | 73.31% | 84.96% | 91.95% | |
| CE Loss | 47.36% | 59.41% | 72.24% | 78.54% | |
| + Curve Loss | 52.64% | 64.23% | 76.38% | 82.98% | |
| Focal Loss | 41.62% | 55.14% | 68.49% | 75.09% | |
| + FB Loss | 62.18% | 71.89% | 81.48% | 87.35% | |
| Different Datasets | 5 shots | 34.28% | 47.42% | 66.47% | 78.07% |
| + Curve Loss | 37.13% | 50.37% | 68.57% | 78.99% | |
| 10 shots Loss | 45.99% | 59.06% | 72.65% | 79.30% | |
| + Curve Loss | 61.57% | 73.31% | 84.96% | 91.95% | |
| 160 shots | 86.65% | 90.71% | 94.45% | 98.29% | |
| + FB Loss | 89.82% | 91.35% | 94.11% | 98.08% | |
| Different Deep Models | UNet | 45.99% | 59.06% | 72.65% | 79.30% |
| + Curve Loss | 61.57% | 73.31% | 84.96% | 91.95% | |
| PSPNet | 32.52% | 49.15% | 73.23% | 83.42% | |
| + Curve Loss | 37.97% | 55.02% | 74.82% | 82.23% | |
| Focal Loss | 27.33% | 42.20% | 69.52% | 86.12% | |
| + FB Loss | 31.42% | 46.27% | 70.91% | 86.31% |
Disclaimer/Publisher’s Note: The statements, opinions and data contained in all publications are solely those of the individual author(s) and contributor(s) and not of MDPI and/or the editor(s). MDPI and/or the editor(s) disclaim responsibility for any injury to people or property resulting from any ideas, methods, instructions or products referred to in the content. |
© 2025 by the authors. Licensee MDPI, Basel, Switzerland. This article is an open access article distributed under the terms and conditions of the Creative Commons Attribution (CC BY) license (https://creativecommons.org/licenses/by/4.0/).
Share and Cite
Wen, Z.; Ma, J. Effective First-Break Picking of Seismic Data Using Geometric Learning Methods. Remote Sens. 2025, 17, 232. https://doi.org/10.3390/rs17020232
Wen Z, Ma J. Effective First-Break Picking of Seismic Data Using Geometric Learning Methods. Remote Sensing. 2025; 17(2):232. https://doi.org/10.3390/rs17020232
Chicago/Turabian StyleWen, Zhongyang, and Jinwen Ma. 2025. "Effective First-Break Picking of Seismic Data Using Geometric Learning Methods" Remote Sensing 17, no. 2: 232. https://doi.org/10.3390/rs17020232
APA StyleWen, Z., & Ma, J. (2025). Effective First-Break Picking of Seismic Data Using Geometric Learning Methods. Remote Sensing, 17(2), 232. https://doi.org/10.3390/rs17020232

