Assessing Orographic Cloud Seeding Impacts Through Integration of Remote Sensing from Multispectral Satellite, Radar Data, and In Situ Observations in the Western United States
Abstract
Highlights
- Combining GOES-R multispectral satellite data with NEXRAD radar revealed clear seeding-induced cloud microphysical changes, including droplet-to-ice phase transitions, cloud top cooling, and optical thickening.
- Results varied by location: Tahoe showed stronger effects in comparison to Ruby and Santa Rosa mountains.
- Results show that the effectiveness of orographic cloud seeding depends strongly on local atmospheric conditions, emphasizing the need for site-specific strategies.
- Satellite and radar together provide a practical way to track seeding impacts.
Abstract
1. Introduction
1.1. Remote Sensing in Cloud Seeding
1.1.1. Satellite Observations and Technological Developments
1.1.2. Advancements in Geostationary Satellite Capabilities
2. Data and Methodology
2.1. Case Study: Wintertime Cloud Seeding in Targeted Western U.S. Regions
2.2. Advanced Baseline Imager of GOES-R Series
- (a)
- Band 2 (0.64 µm)—Red Visible Band
- (b)
- Band 3 (0.86 µm)—Vegetation Band
- (c)
- Band 5 (1.61 µm)—Snow/Ice Band
- (d)
- Band 8 (6.2 µm)—Upper-Level Water Vapor Band
- (e)
- Band 9 (6.9 µm)—Mid-Level Water Vapor Band
- (f)
- Band 10 (7.3 µm)—Lower-Level Water Vapor Band
- (g)
- Band 13 (10.3 µm)—Clean Infrared Window Band
- (h)
- Band 14 (11.2 µm)—Infrared Longwave Window Band
- (i)
- Band 15 (12.3 µm)—Dirty Window Band
2.3. Cloud Microphysical and Atmospheric Properties
- (a)
- Cloud particle size
- (b)
- Cloud phase
- (c)
- Cloud top temperature
- (d)
- Cloud optical depth and thickness
- (e)
- Ice and liquid water path
- (f)
- Water vapor content
- (g)
- Precipitation potential
2.4. Radar Reflectivity
3. Results
3.1. Meteorological Criteria for Effective Cloud Seeding
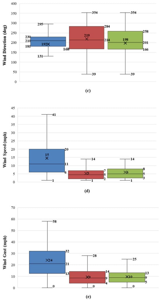
3.2. Site-Specific Variability in Atmospheric Conditions During Cloud Seeding
3.3. Satellite–Radar Analysis of Tahoe Region Cloud Seeding Events
3.3.1. Seeding Event 1: 11 November 2024
- (a)
- Satellite Remote Sensing Analysis
- (b)
- Radar-Based Analysis
3.3.2. Seeding Event 2: 20 February 2024
- (a)
- Satellite Remote Sensing Analysis
- (b)
- Radar-Based Analysis
3.3.3. Seeding Event 3: 1 February 2024
- (a)
- Satellite Remote Sensing Analysis
- (b)
- Radar-Based Analysis
3.3.4. Seeding Event 4: 4 April 2024
- (a)
- Satellite Remote Sensing Analysis
- (b)
- Radar-Based Analysis
4. Discussion
5. Summary and Conclusions
Supplementary Materials
Author Contributions
Funding
Data Availability Statement
Conflicts of Interest
References
- Bruintjes, R.T. A review of cloud seeding experiments to enhance precipitation and some new prospects. Bull. Am. Meteorol. Soc. 1999, 80, 805–820. [Google Scholar] [CrossRef]
- Guo, X.; Zheng, G.; Jin, D. A numerical comparison study of cloud seeding by silver iodide and liquid carbon dioxide. Atmos. Res. 2006, 79, 183–226. [Google Scholar] [CrossRef]
- Essien, M. Evaluation of cloud seeding techniques for precipitation enhancement. Glob. J. Clim. Stud. 2023, 1, 53–64. [Google Scholar]
- Mehdizadeh, G.; Erfani, E.; McDonough, F.; Hosseinpour, F. Quantifying the influence of cloud seeding on ice-particle growth and snowfall through idealized microphysical modeling. Atmosphere 2024, 15, 1460. [Google Scholar] [CrossRef]
- Mehdizadeh, G.; Hosseinpour, F.E.; McDonough, F.; Erfani, E. Studying the Mechanistic Impacts of Cloud Seeding on Snowfall with Insights from a Cloud Microphysical Model [Poster]; Graduate Poster Symposium: Reno, NV, USA, 2023. [Google Scholar] [CrossRef]
- Yu, X.; Dai, J.; Lei, H.; Xu, X.; Fan, P.; Chen, Z.; Duan, C.; Wang, Y. Physical effect of cloud seeding revealed by NOAA satellite imagery. Chin. Sci. Bull. 2005, 50, 45–52. [Google Scholar] [CrossRef]
- Lin, K.I.; Chung, K.S.; Wang, S.H.; Chen, L.H.; Liou, Y.C.; Lin, P.L.; Chang, W.Y.; Chiu, H.J.; Chang, Y.H. Evaluation of hygroscopic cloud seeding in warm-rain processes by a hybrid microphysics scheme using a WRF model: A real case study. Atmos. Chem. Phys. 2023, 23, 10423–10438. [Google Scholar] [CrossRef]
- Mehdizadeh, G.; Hosseinpour, F.; Erfani, E.; McDonough, F. Impacts of atmospheric conditions on cloud seeding: A numerical approach. In AGU Fall Meeting Abstracts; American Geophysical Union: Washington, DC, USA; San Francisco, CA, USA, 2024; Abstract A21G-1809. [Google Scholar]
- Cotton, W.R.; Pielke, R.A. Human Impacts on Weather and Climate, 2nd ed.; Cambridge University Press: Cambridge, UK, 2007. [Google Scholar]
- Flossmann, A.I.; Manton, M.; Abshaev, A.; Bruintjes, R.; Murakami, M.; Prabhakaran, T.; Yao, Z. Review of advances in precipitation-enhancement research. Bull. Am. Meteorol. Soc. 2019, 100, 1465–1480. [Google Scholar] [CrossRef]
- Geerts, B.; Pokharel, B.; Kristovich, D.A.R. Blowing snow as a natural glaciogenic cloud-seeding mechanism. Mon. Weather Rev. 2015, 143, 5017–5033. [Google Scholar] [CrossRef]
- Jensen, A.; Watts, A.; Richards, M. DRI Unmanned Cloud-Seeding Realizes Beyond Visual Line of Sight. Phys.org [Internet]. 17 February 2017. Available online: https://phys.org/news/2017-02-dri-unmanned-cloud-seeding-visual-line.html (accessed on 9 July 2025).
- Wu, X.; Yan, N.; Yu, H.; Niu, S.; Meng, F.; Liu, W.; Sun, H. Advances in the evaluation of cloud seeding: Statistical evidence for the enhancement of precipitation. Earth Space Sci. 2018, 5, 425–439. [Google Scholar] [CrossRef]
- Dong, X.; Zhao, C.; Huang, Z.; Mai, R.; Lv, F.; Xue, X.; Zhang, X.; Hou, S.; Yang, Y.; Sun, Y. Increase of precipitation by cloud seeding observed from a case study in November 2020 over Shijiazhuang, China. Atmos. Res. 2021, 262, 105766. [Google Scholar] [CrossRef]
- Muñoz, L.M.P. Seeding change in weather modification globally. WMO Bull. 2017, 66, 16. [Google Scholar]
- Silverman, B.A. A critical assessment of glaciogenic seeding of convective clouds for rainfall enhancement. Bull. Am. Meteorol. Soc. 2001, 82, 903–924. [Google Scholar] [CrossRef]
- United States Government Accountability Office. Cloud Seeding Technology: Assessing Effectiveness and Other Challenges [Internet]; GAO: Washington, DC, USA, 2024; Report No.: GAO-25-107328. Available online: https://www.gao.gov/products/gao-25-107328 (accessed on 9 July 2025).
- Fajardo, C.; Costa, G.; Sánchez-Fortún, S. Potential risk of acute toxicity induced by AgI cloud seeding on soil and freshwater biota. Ecotoxicol. Environ. Saf. 2016, 133, 433–441. [Google Scholar] [CrossRef] [PubMed]
- Malik, S.; Bano, H.; Rather, R.A.; Ahmad, S. Cloud seeding: Its prospects and concerns in the modern world—A review. Int. J. Pure Appl. Biosci. 2018, 6, 791–796. [Google Scholar] [CrossRef]
- Gholaminejad, A.; Mehdizadeh, G.; Dolatimehr, A.; Arfaeinia, H.; Farjadfard, S.; Dobaradaran, S.; Bonyadi, Z.; Ramavandi, B. Phthalate esters pollution in the leachate, soil, and water around a landfill near the sea, Iran. Environ. Res. 2024, 248, 118234. [Google Scholar] [CrossRef] [PubMed]
- Mehdizadeh, G.; Nikoo, M.R.; Talebbeydokhti, N.; Vanda, S.; Nematollahi, B. Hypolimnetic aeration optimization based on reservoir thermal stratification simulation. J. Hydrol. 2023, 625, 130106. [Google Scholar] [CrossRef]
- Birgani, S.A.; Zadeh, S.S.; Davari, D.D.; Ostovar, A. Deep learning applications for analysing concrete surface cracks. Int. J. Appl. Data Sci. Eng. Health 2024, 1, 69–84. [Google Scholar]
- Ostovar, A. Comparative Life Cycle Assessment (LCA) of Different Asphalt Emulsion Types. Master’s Thesis, University of Nevada, Reno, NV, USA, 2023. [Google Scholar]
- Mardi, R.; Ostovar, A. Seismic performance and sustainability of BRB and SMA-braced structures under incremental dynamic analysis. J. Sustain. 2025, 1. [Google Scholar] [CrossRef]
- Ostovar, A.; Davari, D.D.; Dzikuć, M. Determinants of design with multilayer perceptron neural networks: A comparison with logistic regression. Sustainability 2025, 17, 2611. [Google Scholar] [CrossRef]
- Dong, X.; Zhao, C.; Yang, Y.; Wang, Y.; Sun, Y.; Fan, R. Distinct change of supercooled liquid cloud properties by aerosols from an aircraft-based seeding experiment. Earth Space Sci. 2020, 7, e2020EA001196. [Google Scholar] [CrossRef]
- Rosenfeld, D.; Zhu, Y.; Wang, M.; Zheng, Y.; Goren, T.; Yu, S. Aerosol-driven droplet concentrations dominate coverage and water of oceanic low-level clouds. Science 2019, 363, eaav0566. [Google Scholar] [CrossRef]
- Yue, Z.; Rosenfeld, D.; Liu, G.; Dai, J.; Yu, X.; Zhu, Y.; Hashimshoni, E.; Xu, X.; Hui, Y.; Lauer, O. Automated mapping of convective clouds (AMCC) thermodynamical, microphysical, and CCN properties from SNPP/VIIRS satellite data. J. Appl. Meteorol. Climatol. 2019, 58, 887–902. [Google Scholar] [CrossRef]
- Anuar, S.N.S.; Narashid, R.H.; Razak, T.R.; Hashim, S.; Rahim, A.; Boharsi, S.N. Cloud seeding potential areas from remote sensing of low-level cloud. In Proceedings of the 20th IEEE Int Colloquium on Signal Processing & Its Applications (CSPA), Langkawi, Malaysia, 1–2 March 2024; IEEE: Piscataway, NJ, USA, 2024; pp. 35–40. [Google Scholar]
- Rosenfeld, D.; Lensky, I.M. Satellite-based insights into precipitation formation processes in continental and maritime convective clouds. Bull. Am. Meteorol. Soc. 1998, 79, 2457–2476. [Google Scholar] [CrossRef]
- Rosenfeld, D.; Yu, X.; Dai, J. Satellite-retrieved microstructure of AgI seeding tracks in supercooled layer clouds. J. Appl. Meteorol. 2005, 44, 760–767. [Google Scholar] [CrossRef]
- Yu, X.; Dai, J.; Rosenfeld, D.; Lei, H.; Xu, X.; Fan, P.; Chen, Z. Comparison of model-predicted transport and diffusion of seeding material with NOAA satellite-observed seeding track in supercooled layer clouds. J. Appl. Meteorol. 2005, 44, 749–759. [Google Scholar] [CrossRef]
- Wang, J.; Yue, Z.; Rosenfeld, D.; Zhang, L.; Zhu, Y.; Dai, J.; Yu, X.; Li, J. Evolution of an AgI cloud-seeding track in central China as seen by a combination of radar, satellite, and disdrometer observations. J. Geophys. Res. Atmos. 2021, 126, e2020JD033914. [Google Scholar] [CrossRef]
- Pagano, T.S.; Durham, R.M. Moderate resolution imaging spectroradiometer (MODIS). In Sensor Systems for the Early Earth Observing System Platforms. Proc. SPIE 1939, 1993, 2–17. [Google Scholar]
- Jin, S.; Gao, C.; Li, J. Atmospheric sounding from Fengyun-3C GPS radio occultation observations: First results and validation. Adv. Meteorol. 2019, 2019, 4780143. [Google Scholar] [CrossRef]
- Zheng, S.; Wang, G.; Huang, X.; Miao, C.; Xing, W.; Chen, S.; Kang, B. Improvement and design of transmitter modifier wind cooling protection for CINRAD/CB weather radar. J. Geosci. Environ. Prot. 2018, 6, 139–146. [Google Scholar] [CrossRef]
- Friedrich, K.; Higgins, S.; Masters, F.J.; Lopez, C.R. Articulating and stationary PARSIVEL disdrometer measurements in conditions with strong winds and heavy rainfall. J. Atmos. Ocean. Technol. 2013, 30, 2063–2080. [Google Scholar] [CrossRef]
- Raupach, T.H.; Berne, A. Correction of raindrop size distributions measured by Parsivel disdrometers, using a two-dimensional video disdrometer as a reference. Atmos. Meas. Tech. 2015, 8, 343–365. [Google Scholar] [CrossRef]
- Morrison, A.E.; Siems, S.T.; Manton, M.J. On a natural environment for glaciogenic cloud seeding. J. Appl. Meteorol. Climatol. 2013, 52, 1097–1104. [Google Scholar] [CrossRef]
- Bessho, K.; Date, K.; Hayashi, M.; Ikeda, A.; Imai, T.; Inoue, H.; Kumagai, Y.; Miyakawa, T.; Murata, H.; Ohno, T.; et al. An introduction to Himawari-8/9—Japan’s new-generation geostationary meteorological satellites. J. Meteorol. Soc. Jpn. 2016, 94, 151–183. [Google Scholar] [CrossRef]
- Greenwald, T.J.; Pierce, R.B.; Schaack, T.K.; Otkin, J.A.; Rogal, M.; Bah, K.; Lenzen, A.J.; Nelson, J.P.; Li, J.; Huang, H.-L. Real-time simulation of the GOES-R ABI for user readiness and product evaluation. Bull. Am. Meteorol. Soc. 2016, 97, 245–261. [Google Scholar] [CrossRef]
- Schmit, T.J.; Gunshor, M.M.; Menzel, W.P.; Gurka, J.J.; Li, J.; Bachmeier, A.S. Introducing the next-generation Advanced Baseline Imager on GOES-R. Bull. Am. Meteorol. Soc. 2005, 86, 1079–1096. [Google Scholar] [CrossRef]
- Schmit, T.J.; Lindner, B.L.; Jung, J.A.; Gunshor, M.M. GOES-R Advanced Baseline Imager (ABI) spectral bands. J. Appl. Meteorol. 2005, 44, 1735–1742. [Google Scholar]
- Schmit, T.J.; Lindstrom, S.S.; Gerth, J.J.; Gunshor, M.M. Applications of the 16 spectral bands on the Advanced Baseline Imager (ABI). J. Oper. Meteorol. 2018, 6, 33–46. [Google Scholar] [CrossRef]
- Kalluri, S.; Alcala, C.; Carr, J.; Griffith, P.; Lebair, W.; Lindsey, D.; Race, R.; Wu, X.; Zierk, S. From photons to pixels: Processing data from the Advanced Baseline Imager. Remote Sens. 2018, 10, 177. [Google Scholar] [CrossRef]
- Heidinger, A.K.; Pavolonis, M.J.; Calvert, C.; Hoffman, J.; Nebuda, S.; Straka, W.; Walther, A., III; Wanzong, S. ABI Cloud Products from the GOES-R Series; Goodman, S.J., Schmit, T.J., Daniels, J.M., Jamilkowski, M.L., Eds.; The GOES-R Series; Elsevier: Amsterdam, The Netherlands, 2020; pp. 43–62. [Google Scholar]
- Afzali Gorooh, V.; Kalia, S.; Nguyen, P.; Hsu, K.L.; Sorooshian, S.; Ganguly, S.; Nemani, R.R. Deep neural network cloud-type classification (DeepCTC) model and its application in evaluating PERSIANN-CCS. Remote Sens. 2020, 12, 316. [Google Scholar] [CrossRef]
- Gunshor, M.M.; Schmit, T.J.; Pogorzala, D.; Lindstrom, S.; Nelson, J.P. GOES-R series ABI imagery artifacts. J. Appl. Remote Sens. 2020, 14, 032411. [Google Scholar]
- Zheng, G.; Brown, C.W.; DiGiacomo, P.M. Retrieval of oceanic chlorophyll concentration from GOES-R Advanced Baseline Imager using deep learning. Remote Sens. Environ. 2023, 295, 113660. [Google Scholar] [CrossRef]
- Schmit, T.J.; Griffith, P.; Gunshor, M.M.; Daniels, J.M.; Goodman, S.J.; Lebair, W.J. A closer look at the ABI on the GOES-R series. Bull. Am. Meteorol. Soc. 2017, 98, 681–698. [Google Scholar] [CrossRef]
- Griffith, D.A.; Solak, M.E. The Potential Use of Winter Cloud Seeding Programs to Augment the Flow of the Colorado River; Colorado White Paper: Report to the Upper Colorado River Commission. 2006. Available online: https://www.researchgate.net/profile/Don-Griffith/publication/285590786_The_Potential_Use_of_Cloud_Seeding_Programs_to_Augment_the_Flow_of_the_Colorado_River/links/5660d1ae08ae418a786686c9/The-Potential-Use-of-Cloud-Seeding-Programs-to-Augment-the-Flow-of-the-Colorado-River.pdf (accessed on 11 July 2025).
- Simon, M. Enhancing the weather: Governance of weather modification activities in the United States. William Mary Environ. Law Policy Rev. 2021, 46, 149–207. [Google Scholar]
- Guo, X.; Lin, D.; Wu, F. Analysis of precipitation process and operational precipitation enhancement in Panxi region based on cloud parameters retrievals from China’s next-generation geostationary meteorological satellite FY-4A. Atmosphere 2023, 14, 922. [Google Scholar] [CrossRef]
- Yan, L.; Zhou, Y.; Wu, Y.; Cai, M.; Peng, C.; Song, C.; Liu, S.; Peng, Y. FY-4A measurement of cloud-seeding effect and validation of a catalyst T&D algorithm. Atmosphere 2024, 15, 556. [Google Scholar]
- Helder, D.; Doelling, D.; Bhatt, R.; Choi, T.; Barsi, J. Calibrating geosynchronous and polar orbiting satellites: Sharing best practices. Remote Sens. 2020, 12, 2786. [Google Scholar] [CrossRef]
- Schmit, T.J.; Gunshor, M.M. ABI Imagery from the GOES-R Series; Goodman, S.J., Schmit, T.J., Daniels, J.M., Jamilkowski, M.L., Eds.; The GOES-R Series; Elsevier: Amsterdam, The Netherlands, 2020; pp. 23–34. [Google Scholar]
- Miller, S.D.; Seaman, C.J.; Rogers, M.A.; Kidder, S.Q. The importance of shortwave-infrared observations for remote sensing of snow and ice properties from space. Remote Sens. 2021, 13, 873. [Google Scholar]
- Schmit, T.J.; Li, J.; Lee, S.-J.; Li, Z.; Dworak, R.; Lee, Y.-K. Legacy atmospheric profiles and derived products from GOES-16: Validation and applications. Earth Space Sci. 2019, 6, 1730–1748. [Google Scholar] [CrossRef]
- Li, Z.; Xu, J.; Schmit, T.J.; Zhou, X. Observing convective cloud development using GOES-16 ABI: A case study analysis. Atmosphere 2021, 12, 1013. [Google Scholar]
- Dror, T.; Chekroun, M.D.; Altaratz, O.; Koren, I. Deciphering organization of GOES-16 green cumulus through the empirical orthogonal function lens. Atmos. Chem. Phys. 2021, 21, 12261–12272. [Google Scholar] [CrossRef]
- Bah, M.K.; Gunshor, M.M.; Schmit, T.J. Generation of GOES-16 true color imagery without a green band. Earth Space Sci. 2018, 5, 549–558. [Google Scholar] [CrossRef]
- Wimmers, A.; Griffin, S.; Gerth, J.; Bachmeier, S.; Lindstrom, S. Observations of gravity waves with high-pass filtering in the new generation of geostationary imagers and their relation to aircraft turbulence. Weather Forecast 2018, 33, 139–144. [Google Scholar] [CrossRef]
- Nam, K.; Wang, F.; Yan, K.; Zhu, G. Characteristics and time-series monitoring by GOES-17 of volcano plume on 15 Jan 2022 from Tonga submarine eruption. Geoenviron. Disasters 2023, 10, 1–17. [Google Scholar] [CrossRef]
- Lee, J.R.; Li, J.; Li, Z.; Wang, P.; Li, J. ABI water vapor radiance assimilation in a regional NWP model by accounting for the surface impact. Earth Space Sci. 2019, 6, 1652–1666. [Google Scholar] [CrossRef]
- Miller, N.B.; Gunshor, M.M.; Merrelli, A.J.; L’Ecuyer, T.S.; Schmit, T.J.; Gerth, J.J.; Gordillo, N.J. Imaging considerations from a geostationary orbit using the short-wavelength side of the mid-infrared water-vapor absorption band. Earth Space Sci. 2022, 9, e2021EA002080. [Google Scholar] [CrossRef]
- Lensky, I.M.; Rosenfeld, D. Clouds-Aerosols-Precipitation Satellite Analysis Tool (CAPSAT). Atmos. Chem. Phys. 2008, 8, 6739–6753. [Google Scholar] [CrossRef]
- National Weather Service. In GOES-R ABI Bands Quick Information Guide (Cheat Sheet), NOAA Weather Forecast Office Corpus Christi; 2017. Available online: https://www.weather.gov/media/crp/GOES-R_Cheat_Sheet.pdf (accessed on 31 July 2025).
- Peng, J.; Yu, Y. GOES-R Advanced Baseline Imager (ABI) Algorithm Theoretical Basis Document for Surface Albedo; NOAA: Washington, DC, USA, 2020. [Google Scholar]
- Xu, W.; Chang, F.-L.; Li, Z.; Guo, J. Satellite-based retrieval of cloud microphysical properties: Recent advances and perspectives. Remote Sens. 2023, 15, 678. [Google Scholar]
- Mayer, B.; Emde, C.; Gasteiger, J. Radiative transfer in cloudy atmospheres: Challenges and advances. J. Quant. Spectrosc. Radiat. Transf. 2024, 205, 123–145. [Google Scholar]
- Bachmeier, S. Mixed-Phase Stratiform Clouds in an Arctic Air Mass. CIMSS Satellite Blog [Internet]. 28 December 2017. Available online: https://cimss.ssec.wisc.edu/satellite-blog (accessed on 9 July 2025).
- Harkema, S.; DiGangi, J.P.; Zondlo, M.A. Observations of ice supersaturation and cirrus clouds using a novel water vapor sensor. Atmos. Meas. Tech. 2021, 14, 1231–1245. [Google Scholar]
- Wang, Y.; Fan, J.; Zhang, R.; Leung, L.R.; Franklin, C. Improving bulk microphysics parameterizations in simulations of aerosol effects. J. Geophys. Res. Atmos. 2024, 119, 4564–4582. [Google Scholar] [CrossRef]
- Mülmenstädt, J.; Sourdeval, O.; Delanoë, J.; Quaas, J. Frequency of occurrence of rain from liquid-, mixed-, and ice-phase clouds derived from A-Train satellite retrievals. Geophys. Res. Lett. 2015, 42, 6502–6509. [Google Scholar] [CrossRef]
- Noh, Y.J.; Seaman, C.J.; Vonder Haar, T.H.; Hudak, D.R.; Rodriguez, P. Comparisons and analyses of aircraft and satellite observations for wintertime mixed-phase clouds. J. Geophys. Res. Atmos. 2011, 116, D18207. [Google Scholar] [CrossRef]
- Korolev, A. Limitations of the Wegener–Bergeron–Findeisen mechanism in the evolution of mixed-phase clouds. J. Atmos. Sci. 2007, 64, 3372–3375. [Google Scholar] [CrossRef]
- Hillger, D.W.; Ellrod, G.P. Detection of important atmospheric and surface features by employing principal component image transformation of GOES imagery. J. Appl. Meteorol. 2003, 42, 611–629. [Google Scholar] [CrossRef][Green Version]
- Costa, A.; Sherwood, S.C.; Renno, N.O. Role of supercooled water in decay of mixed-phase clouds over the Southern Ocean. J. Clim. 2017, 30, 6229–6240. [Google Scholar][Green Version]
- Bedka, K.M.; Minnis, P.; Duda, D.P. Properties of satellite-observed transient tropospheric cooling events associated with overshooting convection. J. Appl. Meteorol. Climatol. 2021, 60, 3–23. [Google Scholar][Green Version]
- Lindsey, D.T.; Grasso, L.D.; Monette, S. Use of the 1.38 µm channel for improved thin cirrus detection. J. Appl. Meteorol. Climatol. 2012, 51, 998–1012. [Google Scholar][Green Version]
- Hillger, D.W.; Kopp, T.J.; Lee, T.F. GOES-14 Super Rapid Scan Operations to prepare for GOES-R. J. Appl. Remote Sens. 2013, 7, 073462. [Google Scholar][Green Version]
- Minnis, P.; Harrison, E.F.; Stowe, L.L.; Gibson, G.R.; Denn, F.M.; Doelling, D.R.; Smith, W.L. Radiative climate forcing by the Mount Pinatubo volcanic eruption. Science 1995, 270, 75–77. [Google Scholar][Green Version]
- Minnis, P.; Young, D.F.; Garber, D.P.; Nguyen, L. Cloud optical properties derived from satellite data. J. Clim. 2002, 15, 1261–1282. [Google Scholar][Green Version]
- Platnick, S.; King, M.D.; Ackerman, S.A.; Menzel, W.P.; Baum, B.A.; Riedi, J.; Frey, R.A. The MODIS cloud products: Algorithms and examples from Terra. IEEE Trans. Geosci. Remote Sens. 2003, 41, 459–473. [Google Scholar] [CrossRef]
- Kuo, C.P.; Kummerow, C. Merging TEMPEST microwave and GOES-16 geostationary IR soundings for improved water vapor profiles. Atmos. Meas. Tech. 2024, 17, 5637–5653. [Google Scholar] [CrossRef]
- NOAA National Centers for Environmental Information. NCEI Radar Viewer: Composite Reflectivity Radar Image [Internet]; NOAA: Asheville, NC, USA, 2025. Available online: https://www.ncei.noaa.gov/maps/radar/ (accessed on 9 July 2025).
- Tang, J.; Matyas, C.J. High-efficiency weather radar mosaic image generation framework. In Proceedings of the IEEE International Geoscience & Remote Sensing Symposium (IGARSS), Brussels, Belgium, 11–16 July 2021; IEEE: Piscataway, NJ, USA, 2021; pp. 367–369. [Google Scholar]
- Zhang, J.; Howard, K.; Langston, C.; Vasiloff, S.; Kaney, B.; Arthur, A.; Van Cooten, S.; Kelleher, K.; Kitzmiller, D.; Ding, F.; et al. National Mosaic and Multi-Sensor QPE (NMQ) system: Description, results, and future plans. Bull. Am. Meteorol. Soc. 2011, 92, 1321–1333. [Google Scholar] [CrossRef]
- Geerts, B.; Miao, Q.; Yang, Y.; Rasmussen, R.; Breed, D. An airborne profiling radar study of the impact of glaciogenic cloud seeding on snowfall from winter orographic clouds. J. Atmos. Sci. 2010, 67, 3286–3302. [Google Scholar] [CrossRef]
- Breed, D.; Rasmussen, R.; Weeks, C.; Boe, B.; Deshler, T. Evaluating winter orographic cloud seeding: Design of the Wyoming Weather Modification Pilot Project. J. Appl. Meteorol. Climatol. 2014, 53, 282–299. [Google Scholar] [CrossRef]
- Langerud, D.W.; Boe, B.A.; Keyes, C.G., Jr. How to implement a cloud-seeding program. In Guidelines for Cloud Seeding to Augment Precipitation; ASCE: Reston, VA, USA, 2016; pp. 163–189. [Google Scholar]
- NOAA STAR. GOES-West—Sector View: Pacific Southwest [Internet]; NOAA/NESDIS Center for Satellite Applications and Research: College Park, MD, USA, 2025. Available online: https://www.star.nesdis.noaa.gov/GOES/sector.php?sat=G18§or=psw (accessed on 6 July 2025).











| Channel Number | Central Wavelength (µm) | Type | Highest Spatial Resolution (km) | Cloud Property to Detect |
|---|---|---|---|---|
| 2 | 0.64 | Visible (Red Band) | 0.5 | Cloud optical depth and thickness, Ice and liquid water path |
| 3 | 0.86 | Near-Infrared | 1 | Cloud particle size, Cloud optical depth and thickness |
| 5 | 1.6 | Near-Infrared | 1 | Cloud phase, Cloud particle size |
| 8 | 6.2 | Infrared (Water Vapor) | 2 | Water vapor content |
| 9 | 6.9 | Infrared (Water Vapor) | 2 | Water vapor content |
| 10 | 7.3 | Infrared (Water Vapor) | 2 | Water vapor content |
| 13 | 10.3 | Infrared (Window) | 2 | Cloud phase, Cloud top temperature, Ice and liquid water path |
| 14 | 11.2 | Infrared (Window) | 2 | Cloud top temperature, Precipitation potential |
| 15 | 12.3 | Infrared (Window) | 2 | Ice and liquid water path, Precipitation potential |
| Location | Seeding Events | Air Temperature | RH | Wind Direction | Wind Speed | Wind Gust |
|---|---|---|---|---|---|---|
| (°C) | (%) | (deg) | (mph) | (mph) | ||
| Ruby | 16 February 2025 | −1 | 94 | 224 | 5 | 11 |
| 13 January 2024 | −1 | 79 | 190 | 13 | 18 | |
| 3 January 2024 | −1 | 94 | 268 | 4 | 7 | |
| 2 January 2024 | 0 | 56 | 198 | 2 | 7 | |
| Santa Rosa | 1 March 2024 | −2 | 57 | 195 | 5 | 13 |
| 13 January 2024 | −1 | 88 | 213 | 7 | 16 | |
| 3 January 2024 | 4 | 73 | 230 | 2 | 8 | |
| 2 January 2024 | 2 | 65 | 337 | 2 | 5 | |
| Tahoe | 16 February 2025 | −1 | 96 | 208 | 12 | 21 |
| 11 November 2024 | −2 | 96 | 235 | 14 | 24 | |
| 20 February 2024 | −3 | 96 | 195 | 13 | 17 | |
| 4 April 2024 | −6 | 91 | 223 | 14 | 29 | |
| 1 February 2024 | −3 | 96 | 195 | 10 | 21 |
Disclaimer/Publisher’s Note: The statements, opinions and data contained in all publications are solely those of the individual author(s) and contributor(s) and not of MDPI and/or the editor(s). MDPI and/or the editor(s) disclaim responsibility for any injury to people or property resulting from any ideas, methods, instructions or products referred to in the content. |
© 2025 by the authors. Licensee MDPI, Basel, Switzerland. This article is an open access article distributed under the terms and conditions of the Creative Commons Attribution (CC BY) license (https://creativecommons.org/licenses/by/4.0/).
Share and Cite
Mehdizadeh, G.; McDonough, F.; Hosseinpour, F. Assessing Orographic Cloud Seeding Impacts Through Integration of Remote Sensing from Multispectral Satellite, Radar Data, and In Situ Observations in the Western United States. Remote Sens. 2025, 17, 3161. https://doi.org/10.3390/rs17183161
Mehdizadeh G, McDonough F, Hosseinpour F. Assessing Orographic Cloud Seeding Impacts Through Integration of Remote Sensing from Multispectral Satellite, Radar Data, and In Situ Observations in the Western United States. Remote Sensing. 2025; 17(18):3161. https://doi.org/10.3390/rs17183161
Chicago/Turabian StyleMehdizadeh, Ghazal, Frank McDonough, and Farnaz Hosseinpour. 2025. "Assessing Orographic Cloud Seeding Impacts Through Integration of Remote Sensing from Multispectral Satellite, Radar Data, and In Situ Observations in the Western United States" Remote Sensing 17, no. 18: 3161. https://doi.org/10.3390/rs17183161
APA StyleMehdizadeh, G., McDonough, F., & Hosseinpour, F. (2025). Assessing Orographic Cloud Seeding Impacts Through Integration of Remote Sensing from Multispectral Satellite, Radar Data, and In Situ Observations in the Western United States. Remote Sensing, 17(18), 3161. https://doi.org/10.3390/rs17183161

