Integrating Multi-Temporal Satellite Data and Machine Learning Approaches for Crop Rotation Pattern Mapping in Thailand
Abstract
Highlights
- The random forest (RF) classifier model, combined with an extensive reference dataset, yielded excellent results for mapping crop types in smallholder farms.
- All three seasonal crop maps in Thailand achieved an overall accuracy of more than 85%.
- The crop type classification maps highlighted sugarcane, rice, and cassava as the principal crops in the region.
Abstract
1. Introduction
- Classify season-specific crop types in smallholder farming regions of Thailand during the 2023–2024 period, leveraging multi-temporal data acquired from various Earth Observation (EO) sensors.
- Evaluate the effectiveness of machine learning algorithms, specifically RF, SVM, and gradient tree boosting (GBoost), for season-specific crop classification in mixed cropping systems based on an extensive collection of reference data.
- Analyze temporal changes in crop patterns across various seasons, July–October, November-February, and March-June, to identify crop sequences and cropping patterns.
2. Study Area and Data
2.1. Study Area
2.2. Reference Data
2.3. Earth Observation (EO) Data
2.4. Vegetation Indices (VIs)
2.5. Pixel-Based Compositing and Auxiliary Data
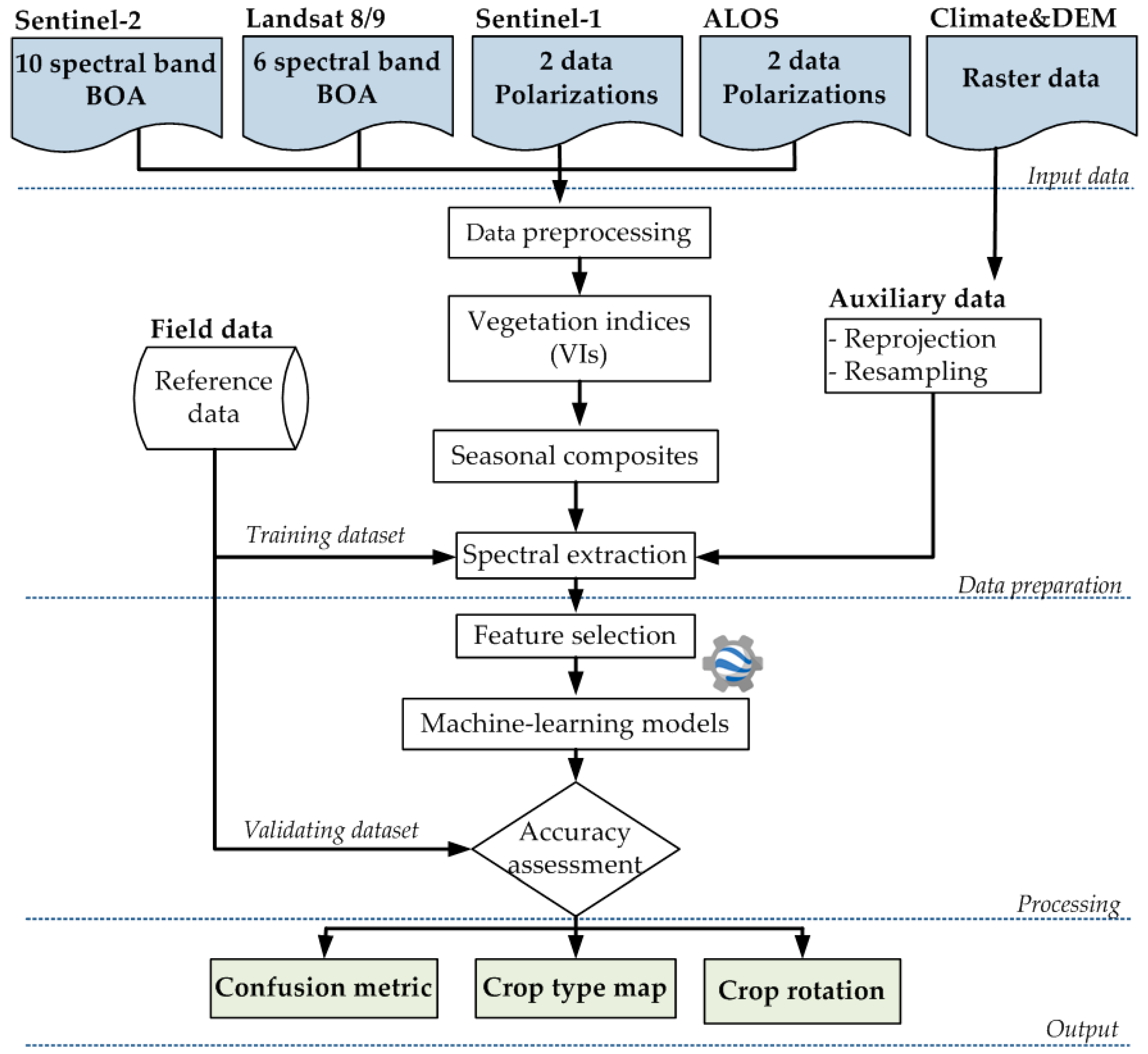
3. Classification Procedures
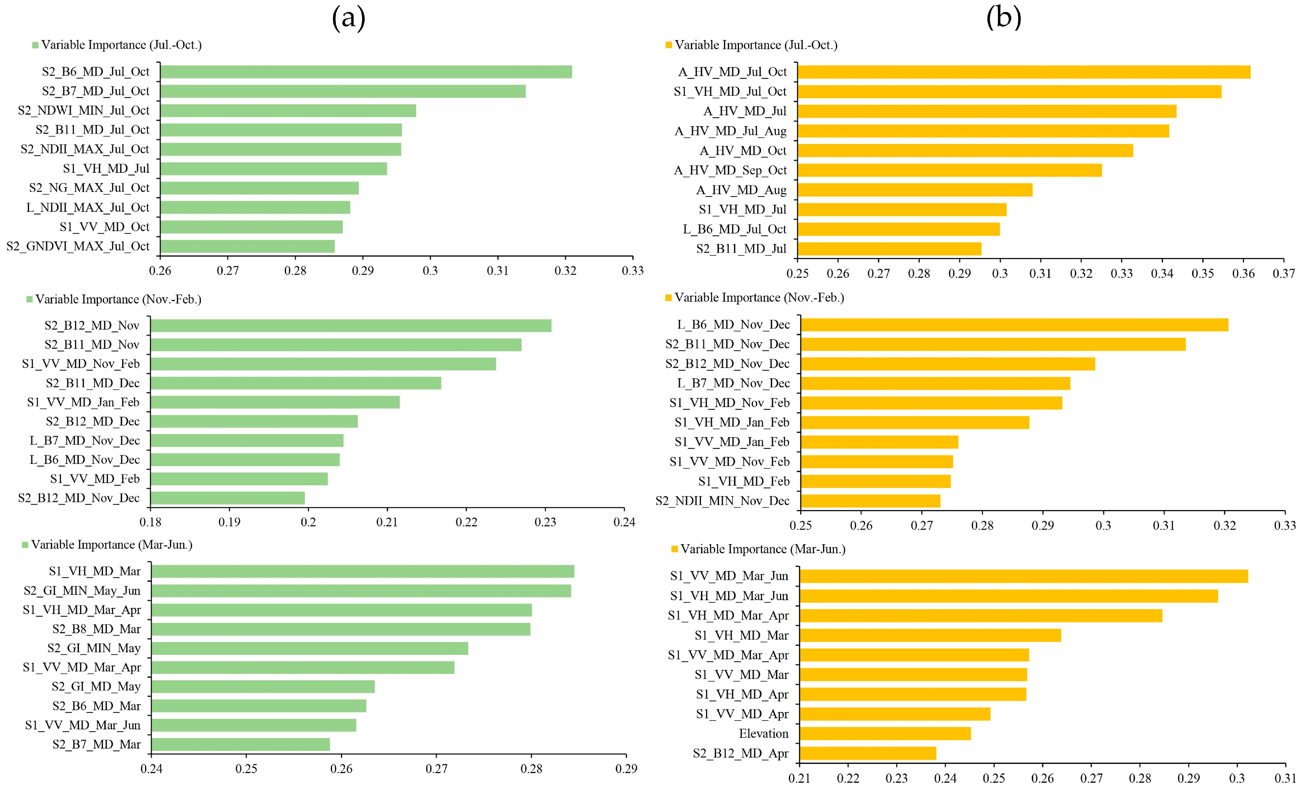
3.1. Feature Selection
3.2. Classification Algorithms
3.3. Accuracy Assessment
3.4. Crop Rotation Identification
4. Results
4.1. Comparative Evaluation of Machine Learning Algorithms
4.2. Crop Type Classification
4.3. Crop Pattern Identification
5. Discussions
5.1. Evaluating the Potential of Machine Learning Algorithms
5.2. Crop Type Rotations
6. Conclusions
Author Contributions
Funding
Data Availability Statement
Conflicts of Interest
References
- Apipoonyanon, C.; Szabo, S.; Tsusaka, T.W.; Leeson, K.; Gunawan, E.; Kuwornu, J.K. Socio-economic and environmental barriers to increased agricultural production: New evidence from central Thailand. Outlook Agric. 2021, 50, 178–187. [Google Scholar] [CrossRef]
- Waqas, M.; Naseem, A.; Humphries, U.W.; Hlaing, P.T.; Shoaib, M.; Hashim, S. A comprehensive review of the impacts of climate change on agriculture in Thailand. Farming Syst. 2025, 3, 100114. [Google Scholar] [CrossRef]
- Yodkhum, S.; Gheewala, S.H.; Sampattagul, S. Life cycle GHG evaluation of organic rice production in northern Thailand. J. Environ. Manag. 2017, 196, 217–223. [Google Scholar] [CrossRef]
- Som-ard, J. Rice Security Assessment Using Geo-Spatial Analysis. Int. J. Geoinform. 2021, 16, 21–38. [Google Scholar]
- Romruen, O.; Karbowiak, T.; Tongdeesoontorn, W.; Shiekh, K.A.; Rawdkuen, S. Extraction and characterization of cellulose from agricultural by-products of Chiang Rai Province, Thailand. Polymers 2022, 14, 1830. [Google Scholar] [CrossRef]
- Liao, X.; Nguyen, T.; Sasaki, N. Use of the knowledge, attitude, and practice (KAP) model to examine sustainable agriculture in Thailand. Reg. Sustain. 2022, 3, 41–52. [Google Scholar] [CrossRef]
- Atzberger, C. Advances in remote sensing of agriculture: Context description, existing operational monitoring systems and major information needs. Remote Sens. 2013, 5, 949–981. [Google Scholar] [CrossRef]
- Blickensdörfer, L.; Schwieder, M.; Pflugmacher, D.; Nendel, C.; Erasmi, S.; Hostert, P. Mapping of crop types and crop sequences with combined time series of Sentinel-1, Sentinel-2 and Landsat 8 data for Germany. Remote Sens. Environ. 2022, 269, 112831. [Google Scholar] [CrossRef]
- Tariq, A.; Yan, J.; Gagnon, A.S.; Riaz Khan, M.; Mumtaz, F. Mapping of cropland, cropping patterns and crop types by combining optical remote sensing images with decision tree classifier and random forest. Geo-Spat. Inf. Sci. 2023, 26, 302–320. [Google Scholar] [CrossRef]
- Som-ard, J.; Immitzer, M.; Vuolo, F.; Ninsawat, S.; Atzberger, C. Mapping of crop types in 1989, 1999, 2009 and 2019 to assess major land cover trends of the Udon Thani Province, Thailand. Comput. Electron. Agric. 2022, 198, 107083. [Google Scholar] [CrossRef]
- Weiss, M.; Jacob, F.; Duveiller, G. Remote sensing for agricultural applications: A meta-review. Remote Sens. Environ. 2020, 236, 111402. [Google Scholar] [CrossRef]
- Zhang, Z.; Shu, D.; Liao, C.; Liu, C.; Zhao, Y.; Wang, R.; Huang, X.; Zhang, M.; Gong, J. FlexiSAM: A flexible SAM-based semantic segmentation model for land cover classification using high-resolution multimodal remote sensing imagery. ISPRS J. Photogramm. Remote Sens. 2025, 227, 594–612. [Google Scholar] [CrossRef]
- Aires, U.R.; Martins, V.S.; Ferreira, L.B.; Huang, Y.; Heintzman, L.; Ouyang, Y. Impact of sampling techniques on crop type mapping using multi-temporal composites from Harmonized Landsat-Sentinel images. Comput. Electron. Agric. 2025, 237, 110676. [Google Scholar] [CrossRef]
- Calderón-Loor, M.; Hadjikakou, M.; Bryan, B.A. High-resolution wall-to-wall land-cover mapping and land change assessment for Australia from 1985 to 2015. Remote Sens. Environ. 2021, 252, 112148. [Google Scholar] [CrossRef]
- Suwanlee, S.R.; Keawsomsee, S.; Pengjunsang, M.; Homtong, N.; Prakobya, A.; Borgogno-Mondino, E.; Sarvia, F.; Som-ard, J. Monitoring Agricultural Land and Land Cover Change from 2001–2021 of the Chi River Basin, Thailand Using Multi-Temporal Landsat Data Based on Google Earth Engine. Remote Sens. 2023, 15, 4339. [Google Scholar] [CrossRef]
- Pan, L.; Xia, H.; Zhao, X.; Guo, Y.; Qin, Y. Mapping winter crops using a phenology algorithm, time-series Sentinel-2 and Landsat-7/8 images, and Google Earth Engine. Remote Sens. 2021, 13, 2510. [Google Scholar] [CrossRef]
- Maqsood, M.H.; Mumtaz, R.; Khan, M.A. Deforestation detection and reforestation potential due to natural disasters—A case study of floods. Remote Sens. Appl. Soc. Environ. 2024, 34, 101188. [Google Scholar] [CrossRef]
- Pande-Chhetri, R.; Abd-Elrahman, A.; Liu, T.; Morton, J.; Wilhelm, V.L. Object-based classification of wetland vegetation using very high-resolution unmanned air system imagery. Eur. J. Remote Sens. 2017, 50, 564–576. [Google Scholar] [CrossRef]
- Pflugmacher, D.; Rabe, A.; Peters, M.; Hostert, P. Mapping pan-European land cover using Landsat spectral-temporal metrics and the European LUCAS survey. Remote Sens. Environ. 2019, 221, 583–595. [Google Scholar] [CrossRef]
- Zhang, S.; Qin, H.; Li, X.; Zhang, M.; Yao, W.; Lyu, X.; Jiang, H. Sensitive Multispectral Variable Screening Method and Yield Prediction Models for Sugarcane Based on Gray Relational Analysis and Correlation Analysis. Remote Sens. 2025, 17, 2055. [Google Scholar] [CrossRef]
- Raza, A.; Shahid, M.A.; Zaman, M.; Miao, Y.; Huang, Y.; Safdar, M.; Maqbool, S.; Muhammad, N.E. Improving Wheat Yield Prediction with Multi-Source Remote Sensing Data and Machine Learning in Arid Regions. Remote Sens. 2025, 17, 774. [Google Scholar] [CrossRef]
- Teixeira Pinto, C.; Jing, X.; Leigh, L. Evaluation analysis of Landsat level-1 and level-2 data products using in situ measurements. Remote Sens. 2020, 12, 2597. [Google Scholar] [CrossRef]
- Wang, J.; Xiao, X.; Liu, L.; Wu, X.; Qin, Y.; Steiner, J.L.; Dong, J. Mapping sugarcane plantation dynamics in Guangxi, China, by time series Sentinel-1, Sentinel-2 and Landsat images. Remote Sens. Environ. 2020, 247, 111951. [Google Scholar] [CrossRef]
- Wang, M.; Liu, Z.; Baig, M.H.A.; Wang, Y.; Li, Y.; Chen, Y. Mapping sugarcane in complex landscapes by integrating multi-temporal Sentinel-2 images and machine learning algorithms. Land Use Policy 2019, 88, 104190. [Google Scholar] [CrossRef]
- Wang, X.; Fang, S.; Yang, Y.; Du, J.; Wu, H. A New Method for Crop Type Mapping at the Regional Scale Using Multi-Source and Multi-Temporal Sentinel Imagery. Remote Sens. 2023, 15, 2466. [Google Scholar] [CrossRef]
- Ghassemi, B.; Dujakovic, A.; Żółtak, M.; Immitzer, M.; Atzberger, C.; Vuolo, F. Designing a European-wide crop type mapping approach based on machine learning algorithms using LUCAS field survey and Sentinel-2 data. Remote Sens. 2022, 14, 541. [Google Scholar] [CrossRef]
- Xing, H.; Chen, B.; Lu, M. A sub-seasonal crop information identification framework for crop rotation mapping in smallholder farming areas with time series sentinel-2 imagery. Remote Sens. 2022, 14, 6280. [Google Scholar] [CrossRef]
- Qi, H.; Qian, X.; Shang, S.; Wan, H. Multi-year mapping of cropping systems in regions with smallholder farms from Sentinel-2 images in Google Earth engine. GIScience Remote Sens. 2024, 61, 2309843. [Google Scholar] [CrossRef]
- Pott, L.P.; Amado, T.J.C.; Schwalbert, R.A.; Corassa, G.M.; Ciampitti, I.A. Mapping crop rotation by satellite-based data fusion in Southern Brazil. Comput. Electron. Agric. 2023, 211, 107958. [Google Scholar] [CrossRef]
- Suwanlee, S.R.; Keawsomsee, S.; Izquierdo-Verdiguier, E.; Som-Ard, J.; Moreno-Martinez, A.; Veerachit, V.; Polpinij, J.; Rattanasuteerakul, K. Mapping sugarcane plantations in Northeast Thailand using multi-temporal data from multi-sensors and machine-learning algorithms. Big Earth Data 2025, 9, 187–216. [Google Scholar] [CrossRef]
- Valero, S.; Arnaud, L.; Planells, M.; Ceschia, E. Synergy of Sentinel-1 and Sentinel-2 imagery for early seasonal agricultural crop mapping. Remote Sens. 2021, 13, 4891. [Google Scholar] [CrossRef]
- Jain, M.; Srivastava, A.K.; Joon, R.K.; McDonald, A.; Royal, K.; Lisaius, M.C.; Lobell, D.B. Mapping smallholder wheat yields and sowing dates using micro-satellite data. Remote Sens. 2016, 8, 860. [Google Scholar] [CrossRef]
- Suwanlee, S.R.; Keawsomsee, S.; Izquierdo-Verdiguier, E.; Moreno-Martínez, Á.; Ninsawat, S.; Som-ard, J. Synergistic use of multi-sensor satellite data for mapping crop types and land cover dynamics from 2021 to 2023 in Northeast Thailand. Int. J. Appl. Earth Obs. Geoinf. 2025, 141, 104673. [Google Scholar] [CrossRef]
- Filipponi, F. Sentinel-1 GRD preprocessing workflow. In Proceedings of the 3rd International Electronic Conference on Remote Sensing, online, 22 May–5 June 2019; p. 11. [Google Scholar]
- Shimada, M.; Itoh, T.; Motooka, T.; Watanabe, M.; Shiraishi, T.; Thapa, R.; Lucas, R. New global forest/non-forest maps from ALOS PALSAR data (2007–2010). Remote Sens. Environ. 2014, 155, 13–31. [Google Scholar] [CrossRef]
- Weigand, M.; Staab, J.; Wurm, M.; Taubenböck, H. Spatial and semantic effects of LUCAS samples on fully automated land use/land cover classification in high-resolution Sentinel-2 data. Int. J. Appl. Earth Obs. Geoinf. 2020, 88, 102065. [Google Scholar] [CrossRef]
- Skakun, S.; Wevers, J.; Brockmann, C.; Doxani, G.; Aleksandrov, M.; Batič, M.; Frantz, D.; Gascon, F.; Gómez-Chova, L.; Hagolle, O. Cloud Mask Intercomparison eXercise (CMIX): An evaluation of cloud masking algorithms for Landsat 8 and Sentinel-2. Remote Sens. Environ. 2022, 274, 112990. [Google Scholar] [CrossRef]
- Tucker, C.J. Red and photographic infrared linear combinations for monitoring vegetation. Remote Sens. Environ. 1979, 8, 127–150. [Google Scholar] [CrossRef]
- Cihlar, J.; Manak, D.; D’Iorio, M. Evaluation of compositing algorithms for AVHRR data over land. IEEE Trans. Geosci. Remote Sens. 2002, 32, 427–437. [Google Scholar] [CrossRef]
- Gitelson, A.A.; Kaufman, Y.J.; Merzlyak, M.N. Use of a green channel in remote sensing of global vegetation from EOS-MODIS. Remote Sens. Environ. 1996, 58, 289–298. [Google Scholar] [CrossRef]
- Gitelson, A.A.; Kaufman, Y.J.; Stark, R.; Rundquist, D. Novel algorithms for remote estimation of vegetation fraction. Remote Sens. Environ. 2002, 80, 76–87. [Google Scholar] [CrossRef]
- Le Maire, G.; François, C.; Dufrene, E. Towards universal broad leaf chlorophyll indices using PROSPECT simulated database and hyperspectral reflectance measurements. Remote Sens. Environ. 2004, 89, 1–28. [Google Scholar] [CrossRef]
- Yan, K.; Gao, S.; Chi, H.; Qi, J.; Song, W.; Tong, Y.; Mu, X.; Yan, G. Evaluation of the vegetation-index-based dimidiate pixel model for fractional vegetation cover estimation. IEEE Trans. Geosci. Remote Sens. 2021, 60, 4400514. [Google Scholar] [CrossRef]
- Huete, A.R. A soil-adjusted vegetation index (SAVI). Remote Sens. Environ. 1988, 25, 295–309. [Google Scholar] [CrossRef]
- Klemas, V.; Smart, R. The influence of soil salinity, growth form, and leaf moisture on-the spectral radiance of. Photogramm. Eng. Remote Sens 1983, 49, 77–83. [Google Scholar]
- Huete, A.; Didan, K.; Miura, T.; Rodriguez, E.P.; Gao, X.; Ferreira, L.G. Overview of the radiometric and biophysical performance of the MODIS vegetation indices. Remote Sens. Environ. 2002, 83, 195–213. [Google Scholar] [CrossRef]
- Serrano, L.; Ustin, S.L.; Roberts, D.A.; Gamon, J.A.; Penuelas, J. Deriving water content of chaparral vegetation from AVIRIS data. Remote Sens. Environ. 2000, 74, 570–581. [Google Scholar] [CrossRef]
- Griffiths, P.; van der Linden, S.; Kuemmerle, T.; Hostert, P. A pixel-based Landsat compositing algorithm for large area land cover mapping. IEEE J. Sel. Top. Appl. Earth Obs. Remote Sens. 2013, 6, 2088–2101. [Google Scholar] [CrossRef]
- Griffiths, P.; Nendel, C.; Hostert, P. Intra-annual reflectance composites from Sentinel-2 and Landsat for national-scale crop and land cover mapping. Remote Sens. Environ. 2019, 220, 135–151. [Google Scholar] [CrossRef]
- Garmaev, E.Z.; P’yankov, S.; Shikhov, A.; Ayurzhanaev, A.; Sodnomov, B.; Abdullin, R.; Tsydypov, B.; Andreev, S.; Chernykh, V. Mapping modern climate change in the Selenga river basin. Russ. Meteorol. Hydrol. 2022, 47, 113–122. [Google Scholar] [CrossRef]
- Hossain, M.D.; Chen, D. Performance comparison of deep learning (DL)-based tabular models for building mapping using high-resolution red, green, and blue imagery and the geographic object-based image analysis framework. Remote Sens. 2024, 16, 878. [Google Scholar] [CrossRef]
- Immitzer, M.; Neuwirth, M.; Böck, S.; Brenner, H.; Vuolo, F.; Atzberger, C. Optimal input features for tree species classification in Central Europe based on multi-temporal Sentinel-2 data. Remote Sens. 2019, 11, 2599. [Google Scholar] [CrossRef]
- Breiman, L. Random forests. Mach. Learn. 2001, 45, 5–32. [Google Scholar] [CrossRef]
- Friedman, J.H. Greedy function approximation: A gradient boosting machine. Ann. Stat. 2001, 29, 1189–1232. [Google Scholar] [CrossRef]
- Bailly, J.-S.; Arnaud, M.; Puech, C. Boosting: A classification method for remote sensing. Int. J. Remote Sens. 2007, 28, 1687–1710. [Google Scholar] [CrossRef]
- Vapnik, V.N. An overview of statistical learning theory. IEEE Trans. Neural Netw. 1999, 10, 988–999. [Google Scholar] [CrossRef] [PubMed]
- Congalton, R.G.; Green, K. Assessing the Accuracy of Remotely Sensed Data: Principles and Practices; CRC Press: Boca Raton, FL, USA, 2019. [Google Scholar]
- Pontius Jr, R.G.; Millones, M. Death to Kappa: Birth of quantity disagreement and allocation disagreement for accuracy assessment. Int. J. Remote Sens. 2011, 32, 4407–4429. [Google Scholar] [CrossRef]
- Olofsson, P.; Foody, G.M.; Stehman, S.V.; Woodcock, C.E. Making better use of accuracy data in land change studies: Estimating accuracy and area and quantifying uncertainty using stratified estimation. Remote Sens. Environ. 2013, 129, 122–131. [Google Scholar] [CrossRef]
- Zheng, Y.; Dong, W.; Lu, Y.; Zhang, X.; Dong, Y.; Sun, F. A new attention-based deep metric model for crop type mapping in complex agricultural landscapes using multisource remote sensing data. Int. J. Appl. Earth Obs. Geoinf. 2024, 134, 104204. [Google Scholar] [CrossRef]
- Suwanlee, S.R.; Qaisrani, Z.N.; Som-ard, J.; Keawsomsee, S.; Kasa, K.; Nuthammachot, N.; Kaewplang, S.; Ninsawat, S.; Mondino, E.B.; De Petris, S. Integrating PRISMA hyperspectral data with Sentinel-1, Sentinel-2 and Landsat data for mapping crop types and land cover in northeast Thailand. Egypt. J. Remote Sens. Space Sci. 2025, 28, 252–260. [Google Scholar] [CrossRef]
- Costa, J.d.S.; Liesenberg, V.; Schimalski, M.B.; Sousa, R.V.d.; Biffi, L.J.; Gomes, A.R.; Neto, S.L.R.; Mitishita, E.; Bispo, P.d.C. Benefits of combining ALOS/PALSAR-2 and Sentinel-2A data in the classification of land cover classes in the Santa Catarina southern Plateau. Remote Sens. 2021, 13, 229. [Google Scholar] [CrossRef]
- Yan, S.; Yao, X.; Zhu, D.; Liu, D.; Zhang, L.; Yu, G.; Gao, B.; Yang, J.; Yun, W. Large-scale crop mapping from multi-source optical satellite imageries using machine learning with discrete grids. Int. J. Appl. Earth Obs. Geoinf. 2021, 103, 102485. [Google Scholar] [CrossRef]
- Rana, S.; Gerbino, S.; Carillo, P. Study of spectral overlap and heterogeneity in agriculture based on soft classification techniques. MethodsX 2025, 14, 103114. [Google Scholar] [CrossRef] [PubMed]
- Barriere, V.; Claverie, M.; Schneider, M.; Lemoine, G.; d’Andrimont, R. Boosting crop classification by hierarchically fusing satellite, rotational, and contextual data. Remote Sens. Environ. 2024, 305, 114110. [Google Scholar] [CrossRef]
- Som-ard, J.; Immitzer, M.; Vuolo, F.; Atzberger, C. Sugarcane yield estimation in Thailand at multiple scales using the integration of UAV and Sentinel-2 imagery. Precis. Agric. 2024, 25, 1581–1608. [Google Scholar] [CrossRef]
- Saqib, S.E.; Lakapunrat, N.; Yaseen, M.; Visetnoi, S.; Boonchit, K.; Ali, S. Assessing the impacts of transitioning from rice farming to sugarcane cultivation on food security: Case of the dietary energy intake in the Northeast of Thailand. NJAS Impact Agric. Life Sci. 2023, 95, 2278897. [Google Scholar] [CrossRef]
- Prasara-A, J.; Gheewala, S.H. An assessment of social sustainability of sugarcane and cassava cultivation in Thailand. Sustain. Prod. Consum. 2021, 27, 372–382. [Google Scholar] [CrossRef]
- Suchato, R.; Patoomnakul, A.; Photchanaprasert, N. Alternative cropping adoption in Thailand: A case study of rice and sugarcane production. Heliyon 2021, 7, e08629. [Google Scholar] [CrossRef] [PubMed]
- Lisaius, M.C.; Blake, A.; Keshav, S.; Atzberger, C. Using Barlow twins to create representations from cloud-corrupted remote sensing time series. IEEE J. Sel. Top. Appl. Earth Obs. 2024, 17, 13162–13168. [Google Scholar] [CrossRef]










| Crop Type | Crop Type Seasons | |||||
|---|---|---|---|---|---|---|
| Jul.–Oct. | Nov.–Feb. | Mar.–Jun. | ||||
| 47QRU | 47PNS | 47QRU | 47PNS | 47QRU | 47PNS | |
| Sugarcane | 2915 | 2583 | 2226 | 2219 | 2378 | 2829 |
| Rice | 1815 | 998 | 63 | 340 | 89 | 428 |
| Rubber | 547 | 443 | 543 | 441 | 538 | 434 |
| Cassava | 1039 | 1595 | 870 | 1051 | 905 | 1361 |
| Oil palm | 121 | 186 | 118 | 185 | 116 | 182 |
| Corn | 96 | 344 | 47 | 202 | 54 | 213 |
| Eucalyptus | 253 | 381 | 251 | 380 | 213 | 338 |
| Other-crops | 339 | 522 | 313 | 518 | 255 | 441 |
| Pineapple | - | 230 | - | 219 | - | 214 |
| Forest | 556 | 554 | 565 | 557 | 562 | 560 |
| Building | 388 | 385 | 389 | 389 | 390 | 391 |
| Water | 331 | 330 | 339 | 333 | 338 | 333 |
| Bare soil | 239 | 391 | 2939 | 2056 | 2874 | 1231 |
| Total | 8639 | 8942 | 8663 | 8890 | 8712 | 8955 |
| Sensor | Jul.–Oct. | Nov.–Feb. | Mar.–Jun. | |||
|---|---|---|---|---|---|---|
| 47QRU | 47PNS | 47QRU | 47PNS | 47QRU | 47PNS | |
| Sentinel-1 | 62 | 49 | 40 | 40 | 38 | 38 |
| Sentinel-2 | 173 | 124 | 281 | 274 | 191 | 212 |
| Landsat 8/9 | 38 | 23 | 58 | 44 | 37 | 33 |
| ALOS-2 | 24 | 29 | 16 | 14 | 14 | 12 |
| Index | Formula | Reference |
|---|---|---|
| Normalized difference vegetation index (NDVI) | [38] | |
| Maximum normalized difference vegetation index (MaxNDVI) | max{NDVI(i,j)1, NDVI(i,j)2,…, NDV(i,j)n} | [39] |
| Green normalized difference vegetation index (GNDVI) | [40] | |
| Simple ratio NIR/Green (NG) | [41] | |
| Simple ratio greenness (GI) | [42] | |
| Ratio vegetation index (RVI) | [43] | |
| Soil-adjusted vegetation index (SAVI) (L = 0.5) | (L+1) | [44] |
| Normalized difference infrared index (NDII) | [45] | |
| Enhanced vegetation index (EVI) | [46] | |
| Normalized difference water index (NDWI) | [47] |
| Accuracy Assessment | 47QRU | 47PNS | ||||||||||
|---|---|---|---|---|---|---|---|---|---|---|---|---|
| Jul–Oct | Nov–Feb | Mar–Jun | Jul–Oct | Nov–Feb | Mar–Jun | |||||||
| OA | κ | OA | κ | OA | κ | OA | κ | OA | κ | OA | κ | |
| RF | 91% | 0.88 | 92% | 0.89 | 92% | 0.89 | 87% | 0.85 | 90% | 0.88 | 91% | 0.9 |
| GBoost | 90% | 0.87 | 91% | 0.88 | 78% | 0.7 | 87% | 0.85 | 88% | 0.86 | 66% | 0.6 |
| SVM | 86% | 0.81 | 77% | 0.68 | 80% | 0.72 | 85% | 0.83 | 73% | 0.68 | 66% | 0.59 |
Disclaimer/Publisher’s Note: The statements, opinions and data contained in all publications are solely those of the individual author(s) and contributor(s) and not of MDPI and/or the editor(s). MDPI and/or the editor(s) disclaim responsibility for any injury to people or property resulting from any ideas, methods, instructions or products referred to in the content. |
© 2025 by the authors. Licensee MDPI, Basel, Switzerland. This article is an open access article distributed under the terms and conditions of the Creative Commons Attribution (CC BY) license (https://creativecommons.org/licenses/by/4.0/).
Share and Cite
Som-ard, J.; Hossain, M.D.; Keawsomsee, S.; Suwanlee, S.R.; Veerachitt, V.; Heawchaiyaphum, P.; Puntura, A.; Izquierdo-Verdiguier, E.; Immitzer, M.; Atzberger, C. Integrating Multi-Temporal Satellite Data and Machine Learning Approaches for Crop Rotation Pattern Mapping in Thailand. Remote Sens. 2025, 17, 3156. https://doi.org/10.3390/rs17183156
Som-ard J, Hossain MD, Keawsomsee S, Suwanlee SR, Veerachitt V, Heawchaiyaphum P, Puntura A, Izquierdo-Verdiguier E, Immitzer M, Atzberger C. Integrating Multi-Temporal Satellite Data and Machine Learning Approaches for Crop Rotation Pattern Mapping in Thailand. Remote Sensing. 2025; 17(18):3156. https://doi.org/10.3390/rs17183156
Chicago/Turabian StyleSom-ard, Jaturong, Mohammad D. Hossain, Surasak Keawsomsee, Savittri Ratanopad Suwanlee, Vorraveerukorn Veerachitt, Phattamon Heawchaiyaphum, Akkawat Puntura, Emma Izquierdo-Verdiguier, Markus Immitzer, and Clement Atzberger. 2025. "Integrating Multi-Temporal Satellite Data and Machine Learning Approaches for Crop Rotation Pattern Mapping in Thailand" Remote Sensing 17, no. 18: 3156. https://doi.org/10.3390/rs17183156
APA StyleSom-ard, J., Hossain, M. D., Keawsomsee, S., Suwanlee, S. R., Veerachitt, V., Heawchaiyaphum, P., Puntura, A., Izquierdo-Verdiguier, E., Immitzer, M., & Atzberger, C. (2025). Integrating Multi-Temporal Satellite Data and Machine Learning Approaches for Crop Rotation Pattern Mapping in Thailand. Remote Sensing, 17(18), 3156. https://doi.org/10.3390/rs17183156

