Next Article in Journal
LEO Navigation Augmentation Signal-Based Passive Radar: System Model and Performance Analysis
Previous Article in Journal
A Slope Adaptive Bathymetric Method by Integrating ICESat-2 ATL03 Data with Sentinel-2 Images
Previous Article in Special Issue
Mechanisms Driving Recent Sea-Level Acceleration in the Gulf of Guinea
 
 
Font Type:
Arial Georgia Verdana
Font Size:
Aa Aa Aa
Line Spacing:
Column Width:
Background:
Article

A Novel UAV- and AI-Based Remote Sensing Approach for Quantitative Monitoring of Jellyfish Populations: A Case Study of Acromitus flagellatus in Qinglan Port

1
Key Laboratory of Marine Ecology and Environmental Sciences, Institute of Oceanology, Chinese Academy of Sciences, Qingdao 266071, China
2
Laboratory for Marine Ecology and Environmental Science, Qingdao Marine Science and Technology Center, Qingdao 266237, China
3
College of Marine Science, University of Chinese Academy of Sciences, Qingdao 266400, China
4
Jiangsu Huanghai Ecological Environment Technology Co., Ltd., Yancheng 224000, China
5
University of Maryland Center for Environmental Science, Solomons, MD 20688, USA
*
Author to whom correspondence should be addressed.
These authors contributed equally to this work.
Remote Sens. 2025, 17(17), 3020; https://doi.org/10.3390/rs17173020
Submission received: 26 June 2025 / Revised: 27 August 2025 / Accepted: 27 August 2025 / Published: 31 August 2025

Abstract

The frequency of jellyfish blooms in marine ecosystems has been rising globally, attracting significant attention from the scientific community and the general public. Low-altitude remote sensing with Unmanned Aerial Vehicles (UAVs) offers a promising approach for rapid, large-scale, and automated image acquisition, making it an effective tool for jellyfish population monitoring. This study employed UAVs for extensive sea surface surveys, achieving quantitative monitoring of the spatial distribution of jellyfish and optimizing flight altitude through gradient experiments. We developed a “bell diameter measurement model” for estimating jellyfish bell diameters from aerial images and used the Mask R-CNN algorithm to identify and count jellyfish automatically. This method was tested in Qinglan Port, where we monitored Acromitus flagellatus populations from mid-April to mid-May 2021 and late May 2023. Our results show that the UAVs can monitor jellyfish with bell diameters of 5 cm or more, and the optimal flight height is 100–150 m. The bell diameter measurement model, defined as L = 0.0103 × H × N + 0.1409, showed no significant deviation from field measurements. Compared to visual identification by human experts, the automated method achieved high accuracy while reducing labor and time costs. Case analysis revealed that the abundance of A. flagellatus in Qinglan Port initially increased and then decreased from mid-April to mid-May 2021, displaying a distinct patchy distribution. During this period, the average bell diameter gradually increased from 15.0 ± 3.4 cm to 15.5 ± 4.3 cm, with observed sizes ranging from 8.2 to 24.5 cm. This study introduces a novel, efficient, and cost-effective UAV-based method for quantitative monitoring of large jellyfish populations in surface waters, with broad applicability.

1. Introduction

In recent years, the increasing frequency of jellyfish blooms in marine regions worldwide has drawn considerable attention from the scientific community and resource managers [1]. These blooms can disrupt ecological processes by influencing nutrient cycling and altering marine food web dynamics, posing serious threats to the stability of marine ecosystems [2,3]. Furthermore, jellyfish blooms have substantial societal impacts: they can clog cooling water intake systems at power plants, disrupt the operations of nuclear power stations, reduce fish yields, and negatively affect tourism [4,5]. Due to these far-reaching effects, considerable research has been directed at better understanding jellyfish behavior, population dynamics, and ecological roles to support better monitoring and management strategies [6].
Current jellyfish monitoring methods include visual observation, trawl surveys, sonar detection, and underwater robotic photography [7,8,9,10]. Visual observation is simple, intuitive, and cost-effective, often relying on commercial vessels. However, direct visual count is susceptible to weather and sea conditions, and only provides surface-level data and spatial coverage, limiting its suitability for large-scale quantitative monitoring [11]. In contrast, trawl surveys yield extensive data on jellyfish species and quantities, offering scientific reliability; however, they are limited by water trawling depth and net size, resulting in restricted scope in monitoring due to high costs and significant environmental impact [12]. Sonar detection enables fine-scale monitoring in space and time without requiring light and allowing for night or deep-water operations. However, it often has limited spatial coverage, requires enhanced accuracy in acoustic signatures, and generally provides information at the group level [13]. Underwater robotic photography captures high-quality images and videos for species identification and behavioral observation, with minimal environmental impact, but it is costly, requires specialized equipment and training, and is limited by underwater visibility and operation time, often resulting in low efficiency [14,15]. Notably, satellite-based remote sensing offers promise for large-scale jellyfish monitoring [16], but its current application is constrained by resolution, cloud cover, species identification challenges, and high data acquisition costs. Considering the strengths and limitations of these methods, there is a pressing need to develop efficient, cost-effective techniques for large-scale quantitative monitoring of large jellyfish.
UAV low-altitude remote sensing technology, with its ability to automatically capture images over wide areas, shows great promise for monitoring and assessing jellyfish blooms [17]. Recent studies have demonstrated its effectiveness in estimating jellyfish density, distribution, and biomass. For instance, Schaub et al. [18] combined trawl sampling with UAV transects to investigate Aurelia aurita blooms in Pruth Bay, analyzing the size and spatial extent of the bloom. Choi et al. [19] utilized ImageJ software (v 1.40s, National Institutes of Health, Bethesda, MD, USA) and manual visual counts to estimate Nemopilema nomurai density from UAV images and explored the optimal UAV flight altitudes. Raoult et al. [20] integrated UAV low-altitude remote sensing with automated image processing technology to propose a method for estimating the density and size of Catostylus mosaicus, concluding that it provided faster biomass estimates over larger areas more rapidly than traditional field sampling. Rowley et al. [21] focused on monitoring Chironex fleckeri, evaluating how environmental factors (e.g., wind speed, water transparency, cloud cover) influence detection rates. Their findings suggest that UAV technology can overcome limitations in traditional methods for studying elusive and dangerous jellyfish species, making it a valuable tool for analyzing toxic jellyfish behavior and ecological characteristics.
Despite these advancements, current UAV-based methods for monitoring jellyfish still face limitations, such as restricted monitoring areas, low efficiency, and insufficient data accuracy. Most studies have used small consumer-grade UAVs at low altitudes, which restricts coverage area and hinders precise geolocation of aerial images. As a result, latitude and longitude information for jellyfish distributions is often captured inaccurately. Additionally, identifying jellyfish patterns in aerial images relies heavily on direct visual identification, which is time-consuming, labor-intensive, and prone to errors, reducing monitoring efficiency and delaying response during large-scale jellyfish blooms. Thus, there is an urgent need to develop more accurate and efficient jellyfish monitoring methods to address these limitations and enhance our capabilities of jellyfish monitoring.
To address these knowledge gaps, we tested the effectiveness of UAV-based surveys for monitoring blooms of the jellyfish Acromitus flagellatus in the surface waters of Qinglan Port. We evaluated the optimal UAV flight altitude for detecting jellyfish aggregations and developed a model to estimate jellyfish bell diameters directly from aerial images, validating its accuracy against field measurements. Additionally, we assessed the performance of the Mask R-CNN algorithm in automatically detecting and counting jellyfish, comparing automated counts with manual visual identification to verify accuracy. The advantages and limitations of this UAV-based monitoring approach are also discussed. Our findings provide a practical and efficient methodology for quantitative, large-scale jellyfish monitoring, offering critical support for understanding jellyfish bloom dynamics and mitigating their ecological and economic impacts on marine ecosystems.

2. Materials and Methods

2.1. Studied Jellyfish Species

Acromitus flagellatus (Maas, 1903) is a scyphozoan jellyfish belonging to the genus Acromitus within the family Catostylidae. Adult individuals typically exhibit a bell diameter of up to 20 cm, with a semi-transparent, whitish bell often marked by irregular brown spots along the margin (Figure 1). A defining morphological feature of this species is the presence of eight elongated oral arms, each extending to at least two-thirds of the bell diameter and terminating in a distinctive boat-shaped flagellum [22,23]. A. flagellatus primarily inhabits coastal zones, mangroves, and estuaries ranging from the Western Indian Ocean to the Central Pacific [23,24]. It preys on zooplankton, thereby competing with fish for food resources [25]. Notably, Siddique et al. [23] identified spined anchovy (Stolephorus tri) in the gut contents of A. flagellatus, suggesting potential trophic interactions with economically important fish species. Consequently, aggregations of A. flagellatus could have a significant impact on national fisheries and marine food web structure [26]. Recently, large-scale occurrences of A. flagellatus in the coastal waters of Hainan Province, China, have attracted considerable attention [27]. However, research on this species within China remains limited, and its ecological characteristics are not yet fully understood.

2.2. Experimental Sea Area

Field sampling for UAV aerial photography was conducted in the waters of Qinglan Port, Wenchang City, Hainan Province, China (19.544°N–19.559°N, 110.822°E–110.836°E) (Figure 2). Qinglan Port is located on the northeastern coast of Hainan Island. The port is bordered by Bamen Bay to the north, where the Wenjiao and Wenchang Rivers flow into the bay from the east and west, respectively. As a significant open port in China, Qinglan Port serves as a comprehensive port integrating commercial, fishing, military, and public services.

2.3. Aerial Survey

2.3.1. UAVs

We utilized the FEIMA D2000 multi-rotor lightweight UAV system (Shenzhen Feima Robotics Technology Co., Ltd., Shenzhen, China) for aerial photography, equipped with a SONY a7Rm4 camera (61 million pixels, image resolution: 9504 × 6336). The UAV platform system features a takeoff weight of 2.8 kg, a flight speed of 6.0–13.5 m/s, a maximum flight duration of 74 min, and wind resistance up to level 6 (10.8–13.8 m/s). Powered by lithium batteries, the UAV is capable of autonomous flight path planning, automatic image acquisition and storage, obstacle avoidance, and high-precision positioning through real-time kinematic (RTK) and post-processed kinematic (PPK) network correction, thereby ensuring extended flight endurance, operational efficiency, and high reliability.

2.3.2. Flight Strategy

To customize UAV missions for different study areas and jellyfish species, flight routes, altitudes, and overlaps were planned as follows:
(1)
Flight routes: The monitoring area boundaries and flight schemes were planned using the UAV’s manufacturer-provided mission planning software (UAV Manager Pro Edition). The UAV autonomously executed the predefined missions using RTK positioning, typically initiating from open coastal areas and subsequently following a bidirectional S-shaped flight pattern (Figure 3).
(2)
Flight altitudes: To identify the optimal altitude for jellyfish detection while ensuring equipment safety, flight altitudes were set at 100 m, 120 m, 140 m, 160 m, 180 m, and 200 m. This gradient allowed us to compare the minimum detectable jellyfish size and coverage area at different altitudes.
(3)
Route overlaps: Route overlaps include both along-track overlap and across-track overlap. Along-track overlap refers to the extent of image overlap between two adjacent images on the same flight path, while across-track overlap refers to the image overlap between adjacent images from neighboring flight paths. For the UAV used in this study, route overlap can be autonomously set during route planning, reducing the potential for manual errors. The extent of overlap was determined based on the monitoring requirements. According to previous research, it is recommended to set overlap percentages between 10% and 15% [28,29,30].

2.4. Jellyfish Identification

For this study, aerial images were analyzed with ImageJ software (v 1.53k, National Institutes of Health, Bethesda, MD, USA) to identify and measure jellyfish. ImageJ is a widely used image analysis tool capable of performing basic image processing and comparing data from multiple imaging systems [31]. This Java-based, open-source platform is compatible with Microsoft Windows, macOS, and Linux, and is recognized for its intuitive graphical interface and strong community support [32]. The images were magnified to facilitate visual identification, and all visible jellyfish were manually marked and counted using ImageJ’s counting function.

2.4.1. Automated Identification

Identifying and enumerating jellyfish from aerial photographs is particularly challenging due to several factors. First, the jellyfish targets often occupy only a small number of pixels (186) relative to the overall image size (9504 by 6336). This small size, combined with their generally featureless appearance, makes it difficult for automated systems or even human observers to reliably recognize and differentiate them from the surrounding environment. The lack of distinctive features such as sharp edges, vibrant colors, or unique textures further exacerbates the difficulty in distinguishing jellyfish from noise or other objects in the imagery. Secondly, the presence of terrestrial landscapes in the images adds another layer of complexity. These landscapes often contain objects-such as rocks, vegetation, or debris, that may share similar shapes or colors with jellyfish targets, leading to misclassification or confusion during analysis. Thirdly, the classification is further complicated by Sun glint, a phenomenon where sunlight reflects off water surfaces at the same angle as the sensor or observer’s line of sight [33,34]. This reflection creates bright, sparkling areas that obscure underlying features and can easily mask or mimic the appearance of jellyfish, making their detection and enumeration even more challenging. Collectively, these factors highlight the need for advanced image processing techniques and robust machine learning algorithms capable of accounting for such complexities to accurately identify and count jellyfish in aerial photographs.
Mask R-CNN has proven to be a highly effective algorithm for plankton image processing, addressing the challenges posed by small targets with weak visual features [35]. It builds on the Faster R-CNN framework, which combines a convolutional neural network (CNN) for feature extraction and a Region Proposal Network (RPN) to identify regions likely to contain objects [36]. Mask R-CNN enhances this architecture by adding a dedicated branch for predicting object masks alongside the existing branch for bounding box recognition, thereby enabling precise instance segmentation.
A key improvement in Mask R-CNN is its replacement of region of interest (RoI) pooling with RoIAlign, which maintains spatial alignment and significantly improves detection accuracy. This refinement allows the model to generate high-quality segmentation masks for each detected instance. The output from the RoIAlign layer is further processed by a residual neural network (ResNet) for object classification, followed by segmentation of the identified objects based on the corresponding masks generated during detection [36]. This combination of features makes Mask R-CNN particularly well-suited for the complex task of plankton identification and segmentation in image data (Figure 4 and Figure 5). In this study, the original aerial photograph, measuring approximately 9504 by 6336 pixels, was divided into 36 smaller sub-images to facilitate analysis. This segmentation was essential because the typical input size for the Mask R-CNN model is approximately 1024 by 1024 pixels, ensuring optimal processing and detection accuracy. Each sub-image was analyzed using a two-step pre-trained Mask R-CNN procedure (Figure 4). In the first step, regions containing terrestrial landscapes, such as ports, forests, and grasslands, were identified and replaced with black pixels. This step prevented the model from mistakenly identifying features in these terrestrial areas as resembling jellyfish. The second step involved applying a model specifically trained to detect key regions of interest (ROIs), including jellyfish and areas affected by sun glint. The model not only identified these ROIs but also provided size estimates for each region. This two-step approach systematically excluded terrestrial landscapes and sun glint regions, both of which could introduce significant biases in jellyfish density estimates. By isolating and focusing exclusively on jellyfish ROIs, the method enabled a more precise and reliable assessment of jellyfish density across the aerial survey.
In this study, 113 images were labeled using the open-source annotation tool LabelMe [37]. Within these images, we labeled 2405 targets, including 1994 jellyfish, 17 terrestrial landscapes, and 394 sun glints, and the sizes of these objects ranging from 100 to 1.6 × 107 pixels. To train the model, the data was divided into training and validation sets in a 70:30 ratio. The model was trained using a batch size of 4 and underwent 50,000 iterations during the training process. Performance assessment comprised training-phase diagnostics (accuracy and confusion matrix) followed by 5-fold cross-validation under the training configuration.

2.4.2. Comparison of Manual and Automated Jellyfish Detection Methods

To evaluate the feasibility of automatically identifying jellyfish patterns in aerial images using the Mask R-CNN algorithm, we randomly selected 100 images from our database. The number of jellyfish in these images was quantified using two methods: automated identification with the Mask R-CNN algorithm and manual visual identification. A single-sample Wilcoxon test was applied to assess differences between the two methods, and regression analysis was conducted to evaluate the correlation between the results. Both analyses were performed using IBM SPSS Statistics, version 27 (IBM Corp., Armonk, NY, USA).

2.5. Standardization of Jellyfish Bell Diameter Measurement

Bell diameter is a critical parameter for characterizing jellyfish populations. To address this, we developed a method to directly estimate jellyfish size from aerial images by analyzing the relationship between actual bell diameter and pixel count at different flight altitudes. The calculation formula is as follows:
L = α × Y × N + ε = α × β × H × N + ε
where L is the actual size of the jellyfish umbrella diameter in cm, Y is the conversion coefficient between actual length and pixel number at different flight altitudes, H is the flying altitude of the UAV in meters, N is the number of pixels occupied by the jellyfish bell, α is the correction coefficient, β is a parameter, and ɛ is the error.
To calculate the conversion factor Y, the UAV performed aerial photography of objects with known lengths at different flight altitudes. The relationship between flight altitude, the actual size of the reference objects in the images, and their pixel values was modeled to obtain the β value. The camera was set to a 90° nadir position, with flight altitudes of 100 m, 120 m, 140 m, 160 m, 180 m, and 200 m. The lengths of the reference objects were 15 cm, 17.5 cm, 20 cm, 22.5 cm, 25 cm, 27.7 cm, 35.5 cm, and 40.7 cm (Figure 6). The pixel value of the reference object’s diameter was obtained by using ImageJ’s v1.54p “Straight” tool and the “Measure” function in the “Analyze” workspace.
To validate the measurement results, three field samplings were conducted at sites S1 (19.5505°N, 110.8387°E), S2 (19.5652°N, 110.8221°E), and S3 (19.5485°N, 110.8402°E). The bell diameter of the captured jellyfish was measured using a ruler while dehydrated onshore (Figure 1b). The bell diameter of the A. flagellata was fully extended during measurement. A comparison analysis between field measurements and model calculations was performed to obtain the α value and verify its accuracy. A one-way ANOVA was used to assess whether there were significant differences between the two methods.

2.6. Jellyfish Abundance Calculation

The camera’s longitudinal field of view is 48.1°, and the horizontal field of view is 33.1°. At an aerial height of 100 m, the coverage area of a single image (S) is 5310.4 m2 (Figure 7). The number of jellyfish identified in each image represents the jellyfish count in a 5310.4 m2 sea area, and the abundance formula is:
C = N 5310.4 × m × 10 6
where C is the jellyfish abundance (ind./km2), N is the number of jellyfish identified in a single image, and m is the ratio identified as sea area.

3. Results

3.1. Minimum Detection Size and Efficiency

A. flagellatus were observed in aerial images captured at varying flight altitudes. As flight altitude increased, the clarity of jellyfish features diminished, complicating identification. At altitudes of 100 m and 120 m, both the bell and oral arms were clearly visible, allowing for the discernment of swimming postures in larger individuals. However, at altitudes of 180 m and 200 m, smaller jellyfish could only be identified by combining morphological and color characteristics with the seawater background. The minimum identifiable bell diameter at 100 m was 5.4 cm (Figure 8a), corresponding to a ground sampling distance (GSD) of 0.9 cm/pixel. As flight altitude increased, GSD gradually degraded—from 1.1 cm/pixel at 120 m to 1.9 cm/pixel at 200 m (Figure 8b)—reducing the number of pixels representing each jellyfish and thus lowering the ability to distinguish smaller individuals. Additionally, at 100 m, the UAV covered 1.5 km2 per 45 min flight, whereas at 200 m, coverage expanded to 3.0 km2 (Figure 8c).

3.2. Jellyfish Bell Diameter Estimation Model

A significant linear relationship was identified between the actual length of reference objects and the pixel count in images taken at different flight altitudes (Figure 9). Regression analysis incorporating the actual length of the reference objects, flight altitude, and pixel count, yielded the following equation: L = 0.0092 × H × N + 0.1258 (R2 = 0.98), indicating a good fit. When comparing the estimated jellyfish bell diameters from aerial images with field measurements, the estimates were generally lower than the actual values, with a significant difference between the two methods (F = 10.1, p < 0.05). To correct this discrepancy, the overall underestimation at site S1 was calculated to be 10.3%, leading to the introduction of a correction factor α of 1.12. The revised model equation became: L = 0.0103 × H × N + 0.1409. Validation with data from sites S2 and S3 showed no significant difference between the corrected model estimates and field measurements (Table 1).

3.3. Automated Jellyfish Detection and Enumeration

As shown in Figure 10, the model was trained using a labeled jellyfish dataset, achieving an overall classification accuracy of 97% for jellyfish target detection. In the first step, masking the terrestrial landscape, the detection model has an accuracy >99% and very low misclassification in the confusion matrix (<1%). In the second phase, detecting jellyfish and removing sun glint, the model accuracy exhibited a steady upward trend, with a rapid increase in the initial stages followed by stabilization, indicating that the model achieved strong generalization performance after multiple rounds of optimization while effectively avoiding overfitting. The confusion matrix (Figure 11) further revealed that the classification accuracy for the ‘Medusa’ category reached 100%, while the accuracy for the ‘Sun glint’ category was 95%. Cross-validation results (mean ± SD across folds) were as follows: Mask average precision (AP) 97.11 ± 0.88 and Box AP 99.76 ± 0.34, with no evident differences among partitions (Appendix A). Additionally, we compared the jellyfish counts obtained through both automated identification and manual visual identification. A Wilcoxon rank-sum test revealed no significant difference between the two methods in estimating jellyfish abundance (p = 0.23 > 0.05) (Figure 12a). Furthermore, a regression analysis showed a significant correlation between the results of the two methods, described by the equation: Number of jellyfish (automatically identified) = 0.995 × Number of jellyfish (manually identified) +35.771 (R2 = 0.998) (Figure 12b). These findings suggest that automatic identification provides results highly consistent with manual methods, making it a feasible and efficient tool for monitoring jellyfish populations in aerial surveys.

3.4. Case Study: Population Dynamics of A. flagellatus in Qinglan Port Waters

To validate the feasibility of the above methodology, multiple flights were conducted over the surface of Qinglan Port from mid-April to mid-May 2021 and late May 2023 to capture jellyfish images (Table 2). A total of eight UAV flights were conducted during the study period, each lasting 78 min and covering both designated monitoring blocks. The combined survey area spanned approximately 1.56 km2 (Figure 13). The weather on the day of the operation was clear with light winds, ensuring stable and high-quality image data collection [38]. The planning and design were carried out to ensure equipment safety, reduce costs, and enhance the overall effectiveness of marine monitoring. After multiple field validations, the takeoff point location, relative flight height, flight route, path overlap, and camera parameters were determined [29,30,39]. Detailed aerial survey indicators are shown in Table 2. The acquired aerial images were subsequently processed using a pre-trained Mask R-CNN algorithm to detect and identify A. flagellatus individuals. To minimize errors, each image underwent manual verification and correction following automated detection. These data were then used to calculate jellyfish abundance, spatial distribution, and bell diameter across the different survey periods.
Our analysis revealed significant fluctuations in the abundance and spatial distribution patterns of A. flagellatus during these monitoring periods (Figure 14 and Figure 15). In mid-April 2021, the average abundance of A. flagellatus was 2.3 × 104 ind./km2, with a patchy distribution, particularly in the central nearshore region where the maximum abundance reached 1.4 × 105 ind./km2. By late April, the average abundance increased to 3.2 × 104 ind./km2, and several new aggregation areas appeared near the northeastern coast, with a peak abundance of 1.7 × 105 ind./km2. By mid-May, the average abundance had decreased significantly to 1.2 × 104 ind./km2, although high-density aggregation areas persisted, especially in the northwestern nearshore region, where abundance reached 1.9 × 105 ind./km2. Over this month, the population first increased and then decreased, with a notable northward shift in aggregation areas. In comparison, the abundance of A. flagellatus in May 2023 was significantly higher, with a maximum density in aggregation areas reaching 2.5 × 105 ind./km2. The spatial distribution of A. flagellatus in May 2023 remained concentrated in the northwestern nearshore region.
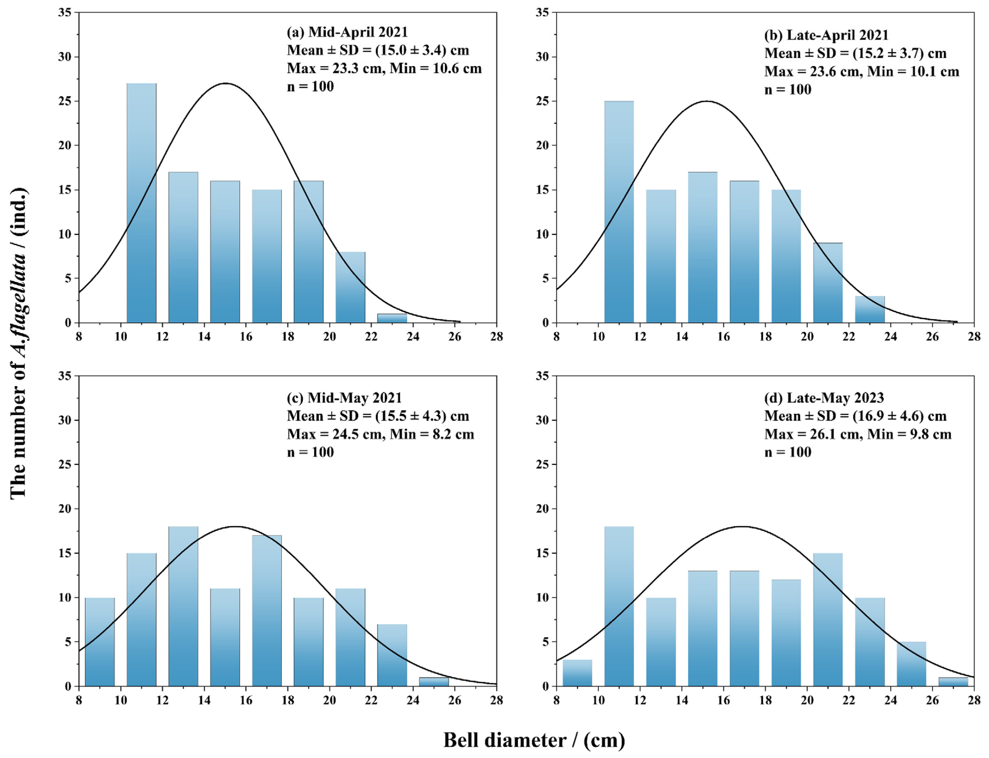
For each sampling period, 100 individuals of A. flagellatus were randomly selected from the UAV images to calculate the bell diameter. The results (Figure 16) showed that in mid-April 2021, the average bell diameter of A. flagellatus was 15.0 ± 3.4 cm, with most diameters ranging between 10 and 12 cm. By late April, the average bell diameter increased to 15.2 ± 3.7 cm (range: 10.1–23.6 cm), reflecting a 1.3% increase from mid-April. By mid-May, the average bell diameter reached 15.5 ± 4.3 cm, with sizes ranging from 8.2 to 24.5 cm. During this period, the number of jellyfish in different bell diameter ranges was more evenly distributed, and the growth rate of the bell diameter from late April to mid-May was 2.0%. However, one-way ANOVA showed no statistically significant variation in bell diameter among the three sampling periods in 2021, suggesting temporal consistency in the size structure of A. flagellatus during this timeframe. In contrast, a significantly greater average bell diameter was recorded in May 2023 (16.9 ± 4.6 cm) compared to May 2021 (p < 0.05), highlighting a pronounced interannual shift in the size structure of A. flagellatus populations.

4. Discussion

4.1. UAV Monitoring Method

The UAV-based method for monitoring jellyfish developed in this study demonstrates significant technical advantages. Utilizing a multi-rotor, lightweight UAV, this approach ensures stable flight even in complex marine environments, with excellent wind resistance that enables effective large-area monitoring. Integration of the RTK positioning system significantly improves spatial data accuracy by assigning centimeter-level georeferencing coordinates to each captured image. This allows for a quantitative assessment of jellyfish spatial distribution, overcoming the limitations of traditional methods, which often lack precise geolocation data, while delivering high-resolution geospatial datasets for ecological modeling [17,18]. Our experimental results indicated that this UAV method is suitable for monitoring jellyfish with bell diameters exceeding 5 cm. Given this detection threshold, the method may also be applicable to other large jellyfish species, such as A. aurita and Rhopilema esculentum, which typically occur near the surface and exhibit clear morphological features in aerial images. For optimal performance, we recommend a flight altitude of 100 to 150 m, striking a balance between monitoring efficiency and equipment safety. Altitude adjustments should account for target organism size to maximize survey coverage while retaining sufficient image resolution for species identification [17,19]. In this study, UAV imagery was used to describe jellyfish distribution in surface waters, combined with density and biomass estimates, presenting a novel approach to quantitatively studying large-scale jellyfish population dynamics [18].
Additionally, simulation experiments were conducted to explore the relationship between actual length and pixel count in aerial images at different flight altitudes. This allowed us to estimate jellyfish bell diameters from aerial images [40], addressing a gap in the existing research. However, without a correction factor, the model’s diameter estimates were slightly lower than those measured in the field. This discrepancy is hypothesized to result from differences in the contraction and expansion states of jellyfish under varying conditions. A. flagellatus tend to contract in aerial imagery, while they appear more expanded during shore-based measurements. After correcting the model with field measurements and validating it using data from sites S2 and S3, the results showed no significant difference between the revised model and field measurements. Nonetheless, further validation with extensive field data is required to generalize the model fully.
Advancements in deep learning-based image detection technologies offer potential improvements for jellyfish monitoring [41,42,43]. For instance, Han et al. [42] used convolutional neural networks and digital image processing techniques to detect ten jellyfish species, while Gao et al. [44] developed an improved YOLOv4-tiny algorithm for faster and more accurate jellyfish detection using a CBMA module. In this study, we combined UAV imagery with the Mask-RCNN algorithm to automatically identify and count A. flagellatus individuals. The algorithm’s identification accuracy was highly consistent with manual counts, significantly reducing processing time and labor costs. Incorporating deep learning algorithms has improved the automation of UAV remote sensing monitoring, expanding its potential for large-scale jellyfish monitoring applications.
However, UAV monitoring faces challenges such as limited water transparency, turbidity, and seabed topography, which restrict the effective depth of monitoring and may lead to underestimations of jellyfish abundance [17]. To address these limitations, we recommend integrating UAV monitoring with other methods, such as trawling survey, sonar detection, and underwater vehicle photography, to provide a comprehensive biomass estimate from both horizontal and vertical perspectives [45,46]. Additionally, environmental factors such as cloud cover, visibility, and sunlight glare can affect UAV monitoring efficiency. For instance, strong reflections from sunlight can reduce contrast between jellyfish and the background, complicating identification [38]. Therefore, future research should further explore the impact of different environmental factors on jellyfish detection rates to optimize UAV monitoring technology. Despite these challenges, UAV-based remote sensing offers great potential for studying jellyfish population dynamics.

4.2. Population Dynamics of A. flagellatus in Qinglan Port

Our analysis of A. flagellatus population dynamics in Qinglan Port from mid-April to mid-May 2021 showed an initial increase in abundance, followed by a decline, while abundance in aggregation areas continued to rise. We hypothesize that this decline does not signify the end of the bloom, but rather reflects the effects of continuous rainfall in early May, which may have caused the jellyfish to move from surface waters to deeper layers, making them undetectable by UAVs [47]. Furthermore, the abundance of A. flagellatus in May 2023 was significantly higher than that in 2021, especially in the northwest nearshore area, where dense jellyfish concentrations reached 2.5 × 105 ind./km2. Notably, the average bell diameter of the jellyfish in May 2023 was also significantly larger than in 2021, indicating that the hydrological conditions in Qinglan Port in 2023 were more favorable for the bloom of A. flagellatus. Spatially, A. flagellatus in Qinglan Port exhibited a typical patchy distribution, with aggregation areas often near estuarine coasts and artificial structures (e.g., aquaculture rafts, docks) [48]. Previous research indicates that A. flagellatus, belonging to the class Scyphozoa, tends to attach to artificial structures and floating docks, leading to blooms through continuous development and reproduction [22,49]. This leads us to hypothesize that the estuarine coastal areas in Qinglan Port might be the source of A. flagellatus. Similar findings were reported by Bhowal et al. [50], who documented a bloom of A. flagellatus in the northern estuarine region of the Bay of Bengal, alongside shifts in the zooplankton food web. Likewise, Syazwan et al. [24] observed large aggregations of A. flagellatus in the Matang mangrove estuary, further supporting our observations.
Marine dynamics—including wind, tides, and currents—as well as environmental conditions such as temperature, salinity, dissolved oxygen, and nutrient availability are known to influence jellyfish bloom formation and dispersal [23,51,52]. For example, Bhowal et al. [50] found higher A. flagellatus numbers at low-oxygen stations, likely due to their ability to store oxygen in their mesoglea, giving them a competitive advantage in hypoxic conditions [53,54]. Coastal and estuarine ecosystems affected by pollution and eutrophication may create conditions conducive to A. flagellatus blooms, characterized by low temperature, low salinity, and high nutrient levels [23,50]. Overall, these results advance our understanding of A. flagellatus bloom dynamics by identifying nearshore estuarine areas as key source regions and demonstrating the capacity of UAV-based monitoring to capture fine-scale spatiotemporal variations in jellyfish abundance and morphology.

5. Conclusions

This study presents an advanced methodology for monitoring large jellyfish populations, specifically A. flagellatus, using low-altitude UAV remote sensing in Qinglan Port, Hainan Province. By combining UAV technology with the Mask R-CNN algorithm, we achieved precise identification and quantification of jellyfish, significantly improving efficiency compared to traditional monitoring techniques. The results demonstrated that UAVs can effectively monitor jellyfish with bell diameters of 5 cm or more, with optimal flight altitudes ranging from 100 to 150 m. Furthermore, the developed bell diameter measurement model, validated through field measurements, demonstrated high accuracy, providing a reliable approach for estimating jellyfish size from aerial images. Finally, the analysis of A. flagellatus population dynamics revealed distinct patterns of abundance and distribution, underscoring the capability of UAV-based monitoring to capture temporal and spatial variations in jellyfish populations. These results highlight the necessity of advanced monitoring techniques to deepen our understanding of jellyfish ecology and support effective management strategies. Future research should explore integrating this approach with complementary methods to address environmental challenges and broaden its applicability across various marine ecosystems.

Author Contributions

Conceptualization, F.Z., S.S. and H.B.; Data curation, S.W. and Y.Q.; Formal analysis, S.W. and N.W.; Funding acquisition, F.Z. and S.S.; Investigation, Y.Q.; Methodology, F.Z., S.W., N.W. and H.B.; Supervision, F.Z., S.S. and H.B.; Writing—original draft, S.W.; Writing—review and editing, F.Z. and H.B. All authors have read and agreed to the published version of the manuscript.

Funding

This study was funded by the National Key Research and Development Program of China (Grant No. 2023YFC3108202) and the Laoshan Laboratory (Grant No. LSKJ202203704).

Data Availability Statement

Data will be made available on request.

Conflicts of Interest

Yanhao Qiu is employed by Jiangsu Huanghai Ecological Environment Technology Co., Ltd. The authors declare that they have no known competing financial interests or personal relationships that could have appeared to influence the work reported in this paper.

Appendix A

Figure A1. Results of 5-fold cross-validation showing mean ± SD of Mask AP and Box AP under 70:30 training/validation split.
Figure A1. Results of 5-fold cross-validation showing mean ± SD of Mask AP and Box AP under 70:30 training/validation split.
Remotesensing 17 03020 g0a1

References

  1. Lee, S.H.; Tseng, L.C.; Yoon, Y.H.; Ramirez-Romero, E.; Hwang, J.S.; Molinero, J.C. The global spread of jellyfish hazards mirrors the pace of human imprint in the marine environment. Environ. Int. 2023, 171, 107699. [Google Scholar] [CrossRef]
  2. Sanz-Martín, M.; Pitt, K.A.; Condon, R.H.; Lucas, C.H.; Novaes de Santana, C.; Duarte, C.M. Flawed citation practices facilitate the unsubstantiated perception of a global trend toward increased jellyfish blooms. Glob. Ecol. Biogeogr. 2016, 25, 1039–1049. [Google Scholar] [CrossRef]
  3. Brodeur, R.D.; Link, J.S.; Smith, B.E.; Ford, M.; Kobayashi, D.; Jones, T.T. Ecological and economic consequences of ignoring jellyfish: A plea for increased monitoring of ecosystems. Fisheries 2016, 41, 630–637. [Google Scholar] [CrossRef]
  4. Purcell, J.E. Successes and challenges in jellyfish ecology: Examples from Aequorea spp. Mar. Ecol. Prog. Ser. 2018, 591, 7–27. [Google Scholar] [CrossRef]
  5. Fuentes, V.L.; Purcell, J.E.; Condon, R.H.; Lombard, F.; Lucas, C.H. Jellyfish blooms: Advances and challenges. Mar. Ecol. Prog. Ser. 2018, 591, 3–5. [Google Scholar] [CrossRef]
  6. Purcell, J.E.; Uye, S.I.; Lo, W.T. Anthropogenic causes of jellyfish blooms and their direct consequences for humans: A review. Mar. Ecol. Prog. Ser. 2007, 350, 153–174. [Google Scholar] [CrossRef]
  7. Sun, S.; Zhang, F.; Li, C.L.; Wang, S.W.; Wang, M.X.; Tao, Z.C.; Wang, Y.T.; Zhang, G.T.; Sun, X.X. Breeding places, population dynamics, and distribution of the giant jellyfish Nemopilema nomurai (Scyphozoa: Rhizostomeae) in the Yellow Sea and the East China Sea. Hydrobiologia 2015, 754, 59–74. [Google Scholar] [CrossRef]
  8. Martin-Abadal, M.; Ruiz-Frau, A.; Hinz, H.; Gonzalez-Cid, Y. Jellytoring: Real-time jellyfish monitoring based on deep learning object detection. Sensors 2020, 20, 1708. [Google Scholar] [CrossRef]
  9. Oh, S.; Kim, K.Y.; Oh, H.J.; Park, G.; Oh, W.; Lee, K. Spatio-Temporal Distribution of Giant Jellyfish (Nemopilema nomurai). Water 2022, 14, 2883. [Google Scholar] [CrossRef]
  10. Shahrestani, S.; Bi, H.; Liang, D.; Lankowicz, K.; Fan, C. Multi-scale spatial dynamics of the Chesapeake Bay nettle, Chrysaora chesapeakei. Ecosphere 2020, 11, e03128. [Google Scholar] [CrossRef]
  11. Bastian, T.; Haberlin, D.; Purcell, J.E.; Hays, G.C.; Davenport, J.; McAllen, R.; Doyle, T.K. Large-scale sampling reveals the spatio-temporal distributions of the jellyfish Aurelia aurita and Cyanea capillata in the Irish Sea. Mar. Biol. 2011, 158, 2639–2652. [Google Scholar] [CrossRef]
  12. Zavolokin, A. Distribution and abundance dynamics of jellyfish in the Sea of Okhotsk. Russ. J. Mar. Biol. 2010, 36, 157–166. [Google Scholar] [CrossRef]
  13. Brierley, A.S.; Boyer, D.C.; Axelsen, B.E.; Lynam, C.P.; Sparks, C.A.; Boyer, H.J.; Gibbons, M.J. Towards the acoustic estimation of jellyfish abundance. Mar. Ecol. Prog. Ser. 2005, 295, 105–111. [Google Scholar] [CrossRef]
  14. Hoving, H.J.; Christiansen, S.; Fabrizius, E.; Hauss, H.; Kiko, R.; Linke, P.; Neitzel, P.; Piatkowski, U.; Körtzinger, A. The Pelagic In situ Observation System (PELAGIOS) to reveal biodiversity, behavior, and ecology of elusive oceanic fauna. Ocean Sci. 2019, 15, 1327–1340. [Google Scholar] [CrossRef]
  15. Lynam, C.P.; Hay, S.J.; Brierley, A.S. Interannual variability in abundance of North Sea jellyfish and links to the North Atlantic Oscillation. Limnol. Oceanogr. 2004, 49, 637–643. [Google Scholar] [CrossRef]
  16. Qi, L.; Hu, C.; Mikelsons, K.; Wang, M.; Lance, V.; Sun, S.; Barnes, B.B.; Zhao, J.; Van der Zande, D. In search of floating algae and other organisms in global oceans and lakes. Remote Sens. Environ. 2020, 239, 111659. [Google Scholar] [CrossRef]
  17. Hamel, H.; Lhoumeau, S.; Wahlberg, M.; Javidpour, J. Using drones to measure jellyfish density in shallow estuaries. J. Mar. Sci. Eng. 2021, 9, 659. [Google Scholar] [CrossRef]
  18. Schaub, J.; Hunt, B.P.; Pakhomov, E.A.; Holmes, K.; Lu, Y.; Quayle, L. Using unmanned aerial vehicles (UAVs) to measure jellyfish aggregations. Mar. Ecol. Prog. Ser. 2018, 591, 29–36. [Google Scholar] [CrossRef]
  19. Choi, S.Y.; Kim, H.J.; Seo, M.H.; Soh, H.Y. Density estimation of Nemopilema nomurai (Scyphozoa, Rhizostomeae) using a drone. J. Indian Soc. Remote Sens. 2021, 49, 1727–1732. [Google Scholar] [CrossRef]
  20. Raoult, V.; Gaston, T. Rapid biomass and size-frequency estimates of edible jellyfish populations using drones. Fish. Res. 2018, 207, 160–164. [Google Scholar] [CrossRef]
  21. Rowley, O.C.; Courtney, R.L.; Browning, S.A.; Seymour, J.E. Bay watch: Using unmanned aerial vehicles (UAV’s) to survey the box jellyfish Chironex fleckeri. PLoS ONE 2020, 15, e0241410. [Google Scholar] [CrossRef]
  22. Rizman-Idid, M.; Farrah-Azwa, A.B.; Chong, V.C. Preliminary taxonomic survey and molecular documentation of jellyfish species (Cnidaria: Scyphozoa and Cubozoa) in Malaysia. Zool. Stud. 2016, 55, e35. [Google Scholar] [CrossRef]
  23. Siddique, A.; Bhowal, A.; Purushothaman, J.; Athira, A.; Azeez, A. First record of Acromitus flagellatus (Maas, 1903) (Cnidaria: Scyphozoa) swarm from the world’s largest deltaic ecosystem, the Sundarbans, India. Reg. Stud. Mar. Sci. 2022, 55, 102555. [Google Scholar] [CrossRef]
  24. Syazwan, W.M.; Rizman-Idid, M.; Low, L.B.; Then, A.Y.H.; Chong, V.C. Assessment of scyphozoan diversity, distribution and blooms: Implications of jellyfish outbreaks to the environment and human welfare in Malaysia. Reg. Stud. Mar. Sci. 2020, 39, 101444. [Google Scholar] [CrossRef]
  25. Hemavathi, M. Studies on the Isolation, Purification, Characterization and Biomedical Applications of Nematocyst Venom Protein from the Jellyfish Acromitus flagellatus. Ph.D. Thesis, University of Madras, Chennai, India, 2017. [Google Scholar]
  26. Kogovšek, T.; Bogunović, B.; Malej, A. Recurrence of bloom-forming scyphomedusae: Wavelet analysis of a 200-year time series. Hydrobiologia 2010, 645, 81–96. [Google Scholar] [CrossRef]
  27. Lin, J.N.; Feng, S.; Wang, L.J.; Qiu, Y.H. Complete mitochondrial genome sequence of Acromitus flagellatus and its phylogenetic relationship with related jellyfish species. Mitochondrial DNA Part B 2022, 7, 1823–1824. [Google Scholar] [CrossRef] [PubMed]
  28. Xiang, H.T.; Tian, L. Development of a low-cost agricultural remote sensing system based on an autonomous unmanned aerial vehicle (UAV). Biosyst. Eng. 2011, 108, 174–190. [Google Scholar] [CrossRef]
  29. Bao, Z.C.; Sha, J.M.; Li, X.M.; Hanchiso, T.; Shifaw, E. Monitoring of beach litter by automatic interpretation of unmanned aerial vehicle images using the segmentation threshold method. Mar. Pollut. Bull. 2018, 137, 388–398. [Google Scholar] [CrossRef]
  30. Yao, P.; Xie, Z.; Ren, P. Optimal UAV route planning for coverage search of stationary target in river. IEEE Trans. Control Syst. Technol. 2017, 27, 822–829. [Google Scholar] [CrossRef]
  31. Igathinathane, C.; Pordesimo, L.; Columbus, E.; Batchelor, W.; Methuku, S. Shape identification and particles size distribution from basic shape parameters using ImageJ. Comput. Electron. Agric. 2008, 63, 168–182. [Google Scholar] [CrossRef]
  32. Gerst, R.; Cseresnyés, Z.; Figge, M.T. JIPipe: Visual batch processing for ImageJ. Nat. Methods 2023, 20, 168–169. [Google Scholar] [CrossRef]
  33. Kay, S.; Hedley, J.D.; Lavender, S. Sun glint correction of high and low spatial resolution images of aquatic scenes: A review of methods for visible and near-infrared wavelengths. Remote Sens. 2009, 1, 697–730. [Google Scholar] [CrossRef]
  34. Hedley, J.; Harborne, A.; Mumby, P. Simple and robust removal of sun glint for mapping shallow-water benthos. Int. J. Remote Sens. 2005, 26, 2107–2112. [Google Scholar] [CrossRef]
  35. Bi, H.; Cheng, Y.; Cheng, X.; Benfield, M.C.; Kimmel, D.G.; Zheng, H.; Groves, S.; Ying, K. Taming the data deluge: A novel end-to-end deep learning system for classifying marine biological and environmental images. Limnol. Oceanogr. Methods 2024, 22, 47–64. [Google Scholar] [CrossRef]
  36. He, K.; Zhang, X.; Ren, S.; Sun, J. Deep residual learning for image recognition. In Proceedings of the IEEE Conference on Computer Vision and Pattern Recognition, Las Vegas, NV, USA, 27–30 June 2016; pp. 770–778. [Google Scholar] [CrossRef]
  37. Wada, K. Labelme: Image Polygonal Annotation with Python. 2016. Available online: https://github.com/mpitid/pylabelme (accessed on 15 August 2023).
  38. Joyce, K.E.; Duce, S.; Leahy, S.M.; Leon, J.; Maier, S. Principles and practice of acquiring drone-based image data in marine environments. Mar. Freshw. Res. 2018, 70, 952–963. [Google Scholar] [CrossRef]
  39. Fallati, L.; Polidori, A.; Salvatore, C.; Saponari, L.; Savini, A.; Galli, P. Anthropogenic Marine Debris assessment with Unmanned Aerial Vehicle imagery and deep learning: A case study along the beaches of the Republic of Maldives. Sci. Total Environ. 2019, 693, 133581. [Google Scholar] [CrossRef] [PubMed]
  40. Lee, J.; Sung, S. Evaluating spatial resolution for quality assurance of UAV images. Spat. Inf. Res. 2016, 24, 141–154. [Google Scholar] [CrossRef]
  41. Gauci, A.; Deidun, A.; Abela, J. Automating jellyfish species recognition through faster region-based convolution neural networks. Appl. Sci. 2020, 10, 8257. [Google Scholar] [CrossRef]
  42. Han, Y.; Chang, Q.; Ding, S.; Gao, M.; Zhang, B.; Li, S. Research on multiple jellyfish classification and detection based on deep learning. Multimed. Tools Appl. 2022, 81, 19429–19444. [Google Scholar] [CrossRef]
  43. Zhang, S.; Yang, X.T.; Wang, Y.Z.; Zhao, Z.X.; Liu, J.T.; Liu, Y.; Sun, C.H.; Zhou, C. Automatic fish population counting by machine vision and a hybrid deep neural network model. Animals 2020, 10, 364. [Google Scholar] [CrossRef]
  44. Gao, M.; Li, S.; Wang, K.; Bai, Y.; Ding, Y.; Zhang, B.; Guan, N.; Wang, P. Real-time jellyfish classification and detection algorithm based on improved YOLOv4-tiny and improved underwater image enhancement algorithm. Sci. Rep. 2023, 13, 12989. [Google Scholar] [CrossRef]
  45. Shkurti, F.; Xu, A.; Meghjani, M.; Higuera, J.C.G.; Girdhar, Y.; Giguere, P.; Dey, B.B.; Li, J.; Kalmbach, A.; Prahacs, C. Multi-domain monitoring of marine environments using a heterogeneous robot team. In Proceedings of the 2012 IEEE/RSJ International Conference on Intelligent Robots and Systems, Vilamoura-Algarve, Portugal, 7–12 October 2012; pp. 1747–1753. [Google Scholar] [CrossRef]
  46. Båmstedt, U.; Kaartvedt, S.; Youngbluth, M. An evaluation of acoustic and video methods to estimate the abundance and vertical distribution of jellyfish. J. Plankton Res. 2003, 25, 1307–1318. [Google Scholar] [CrossRef][Green Version]
  47. Banha, T.N.; Morandini, A.C.; Rosário, R.P.; Martinelli Filho, J.E. Scyphozoan jellyfish (Cnidaria, Medusozoa) from Amazon coast: Distribution, temporal variation and length–weight relationship. J. Plankton Res. 2020, 42, 767–778. [Google Scholar] [CrossRef]
  48. Lee, J.S.; Jo, Y.H. Jellyfish patch detecting using low latitude remote sensing system. In AGU Fall Meeting Abstracts; American Geophysical Union: Washington, DC, USA, 2015; Volume 2015, p. OS31A-1964. [Google Scholar]
  49. Wakabayashi, K.; Nagai, S.; Tanaka, Y. The complete larval development of Ibacus ciliatus from hatching to the nisto and juvenile stages using jellyfish as the sole diet. Aquaculture 2016, 450, 102–107. [Google Scholar] [CrossRef]
  50. Bhowal, A.; Siddique, A.; Prasad, H.; Purushothaman, J.; Banerjee, D. Comparison of microzooplankton community structure before and during Acromitus flagellatus swarm in the estuarine waters of northern Bay of Bengal. Reg. Stud. Mar. Sci. 2023, 61, 102864. [Google Scholar] [CrossRef]
  51. Resgalla Jr, C.; Kruger, K.C.; Costa, M.A.L.M.; Sarraff, T.E.S.; da Silva, A.L. Urticating macromedusae and stinging bathers on the South Atlantic coast: Oceanographic and climatological conditions of Olindias sambaquiensis (Müller, 1861) outbreaks. Cont. Shelf Res. 2023, 269, 105128. [Google Scholar] [CrossRef]
  52. Kaneshiro-Pineiro, M.Y.; Kimmel, D.G. Local wind dynamics influence the distribution and abundance of Chrysaora quinquecirrha in North Carolina, USA. Estuaries Coasts 2015, 38, 1965–1975. [Google Scholar] [CrossRef]
  53. Vineetha, G.; Kripa, V.; Karati, K.K.; Madhu, N.; Anil, P.; Nair, M.V. Surge in the jellyfish population of a tropical monsoonal estuary: A boon or bane to its plankton community dynamics? Mar. Pollut. Bull. 2022, 182, 113951. [Google Scholar] [CrossRef]
  54. Thuesen, E.V.; Rutherford, L.D., Jr.; Brommer, P.L.; Garrison, K.; Gutowska, M.A.; Towanda, T. Intragel oxygen promotes hypoxia tolerance of scyphomedusae. J. Exp. Biol. 2005, 208, 2475–2482. [Google Scholar] [CrossRef]
Figure 1. A. flagellatus observed from UAV imagery (a) and captured by fishing vessels (b).
Figure 1. A. flagellatus observed from UAV imagery (a) and captured by fishing vessels (b).
Remotesensing 17 03020 g001
Figure 2. Map showing the study site, the Qinglan Port of China.
Figure 2. Map showing the study site, the Qinglan Port of China.
Remotesensing 17 03020 g002
Figure 3. Example of a UAV flight route in an S-shaped pattern. The red shaded area represents the monitoring area, the yellow numbered circles (1–12) denote the flight turning points, and the blue lines illustrate the UAV flight paths. The red pin indicates the UAV take-off and landing point.
Figure 3. Example of a UAV flight route in an S-shaped pattern. The red shaded area represents the monitoring area, the yellow numbered circles (1–12) denote the flight turning points, and the blue lines illustrate the UAV flight paths. The red pin indicates the UAV take-off and landing point.
Remotesensing 17 03020 g003
Figure 4. Diagram of the proposed procedure. (a) minimize data errors through the identification and masking of non-marine areas (e.g., land, vessels) and sun glare reflection zones; (b) process for identifying jellyfish patterns in aerial imagery.
Figure 4. Diagram of the proposed procedure. (a) minimize data errors through the identification and masking of non-marine areas (e.g., land, vessels) and sun glare reflection zones; (b) process for identifying jellyfish patterns in aerial imagery.
Remotesensing 17 03020 g004
Figure 5. Aerial images and their final processing results; (a,b): Images containing land and jellyfish, along with their corresponding processing results; (c,d): Images containing jellyfish and numerous sun glares, along with their corresponding processing results; (e,f): Images containing vessels, jellyfish, and sun glares, along with their corresponding processing results; Note: due to the processing procedure dividing each image into 36 sections, (a,c,e) represent 1/36 of the original aerial images.
Figure 5. Aerial images and their final processing results; (a,b): Images containing land and jellyfish, along with their corresponding processing results; (c,d): Images containing jellyfish and numerous sun glares, along with their corresponding processing results; (e,f): Images containing vessels, jellyfish, and sun glares, along with their corresponding processing results; Note: due to the processing procedure dividing each image into 36 sections, (a,c,e) represent 1/36 of the original aerial images.
Remotesensing 17 03020 g005
Figure 6. Aerial reference at different flight altitudes (100% display).
Figure 6. Aerial reference at different flight altitudes (100% display).
Remotesensing 17 03020 g006
Figure 7. Area of sea covered by a single photo.
Figure 7. Area of sea covered by a single photo.
Remotesensing 17 03020 g007
Figure 8. UAV performance at different flight altitudes: (a) minimum identifiable jellyfish bell diameter, (b) ground sampling distance (GSD), and (c) area covered by a single 45 min flight.
Figure 8. UAV performance at different flight altitudes: (a) minimum identifiable jellyfish bell diameter, (b) ground sampling distance (GSD), and (c) area covered by a single 45 min flight.
Remotesensing 17 03020 g008
Figure 9. Linear regression of the actual length of the reference object and the number of pixels at different flight altitudes.
Figure 9. Linear regression of the actual length of the reference object and the number of pixels at different flight altitudes.
Remotesensing 17 03020 g009
Figure 10. Classification accuracy for jellyfish model.
Figure 10. Classification accuracy for jellyfish model.
Remotesensing 17 03020 g010
Figure 11. Normalized confusion matrix for the jellyfish classification model.
Figure 11. Normalized confusion matrix for the jellyfish classification model.
Remotesensing 17 03020 g011
Figure 12. Comparative analysis (a) and linear regression (b) of the number of jellyfish identified by automatic identification and manual visual identification.
Figure 12. Comparative analysis (a) and linear regression (b) of the number of jellyfish identified by automatic identification and manual visual identification.
Remotesensing 17 03020 g012
Figure 13. UAV survey blocks in Qinglan Port.
Figure 13. UAV survey blocks in Qinglan Port.
Remotesensing 17 03020 g013
Figure 14. Spatial distribution of A. flagellatus in Qinglan Port Waters.
Figure 14. Spatial distribution of A. flagellatus in Qinglan Port Waters.
Remotesensing 17 03020 g014
Figure 15. Boxplot of the abundance of A. flagellatus in Qinglan Port waters.
Figure 15. Boxplot of the abundance of A. flagellatus in Qinglan Port waters.
Remotesensing 17 03020 g015
Figure 16. Frequency distribution of bell diameter of A. flagellatus in Qinglan Port waters.
Figure 16. Frequency distribution of bell diameter of A. flagellatus in Qinglan Port waters.
Remotesensing 17 03020 g016
Table 1. Variance analysis results of model estimation and field measurements.
Table 1. Variance analysis results of model estimation and field measurements.
SiteSource of ErrorSum of Squares dfMean SquareF Valuep Value
intergroup0.86710.867 0.1090.742
S2intra-group974.3671227.987
Total975.234123
intergroup0.00410.004 0.0020.961
S3intra-group44.234281.580
Total44.23829
Table 2. Flight parameter design and its principles.
Table 2. Flight parameter design and its principles.
Planned ProjectDesign IndexPrinciples
Operation Dates2021.04.13/2021.04.30/2021.05.11/2023.05.26Make sure there are no bad weather conditions, like rain or strong winds, on the day of operation.
place of departure19.548°N, 110.832°EThe ground is flat and open, and the sky is free of foreign bodies.
Distance from surrounding high-rise buildings >50m. No source of signal interference.
aerial photography time6:00–9:00Eliminate the interference of ground reflection and sun glare.
relative flight height100 mEnsure good spatial resolution, while avoiding the safety threat caused by too low flight altitude.
flight speed6.0 m/sFlight safety and energy saving.
degree of heading overlap10%All the monitoring areas of the stone were effectively covered, and excessive duplicate data were avoided.
degree of lateral overlap10%
camera exposure time1/1250 sAvoid over-exposure to ensure image data quality
ISO value800
Disclaimer/Publisher’s Note: The statements, opinions and data contained in all publications are solely those of the individual author(s) and contributor(s) and not of MDPI and/or the editor(s). MDPI and/or the editor(s) disclaim responsibility for any injury to people or property resulting from any ideas, methods, instructions or products referred to in the content.

Share and Cite

MDPI and ACS Style

Zhang, F.; Wang, S.; Qiu, Y.; Wang, N.; Sun, S.; Bi, H. A Novel UAV- and AI-Based Remote Sensing Approach for Quantitative Monitoring of Jellyfish Populations: A Case Study of Acromitus flagellatus in Qinglan Port. Remote Sens. 2025, 17, 3020. https://doi.org/10.3390/rs17173020

AMA Style

Zhang F, Wang S, Qiu Y, Wang N, Sun S, Bi H. A Novel UAV- and AI-Based Remote Sensing Approach for Quantitative Monitoring of Jellyfish Populations: A Case Study of Acromitus flagellatus in Qinglan Port. Remote Sensing. 2025; 17(17):3020. https://doi.org/10.3390/rs17173020

Chicago/Turabian Style

Zhang, Fang, Shuo Wang, Yanhao Qiu, Nan Wang, Song Sun, and Hongsheng Bi. 2025. "A Novel UAV- and AI-Based Remote Sensing Approach for Quantitative Monitoring of Jellyfish Populations: A Case Study of Acromitus flagellatus in Qinglan Port" Remote Sensing 17, no. 17: 3020. https://doi.org/10.3390/rs17173020

APA Style

Zhang, F., Wang, S., Qiu, Y., Wang, N., Sun, S., & Bi, H. (2025). A Novel UAV- and AI-Based Remote Sensing Approach for Quantitative Monitoring of Jellyfish Populations: A Case Study of Acromitus flagellatus in Qinglan Port. Remote Sensing, 17(17), 3020. https://doi.org/10.3390/rs17173020

Note that from the first issue of 2016, this journal uses article numbers instead of page numbers. See further details here.

Article Metrics

Back to TopTop