Assessing Intraspecific Variation of Tree Species Based on Sentinel-2 Vegetation Indices Across Space and Time
Abstract
1. Introduction
2. Materials and Methods
2.1. Study Area
2.2. Sentinel-2 Time Series Processing

2.3. Tree Species References
2.4. Tree Species-Specific Sentinel-2 Time Series
2.5. Assessing Intraspecific Variation
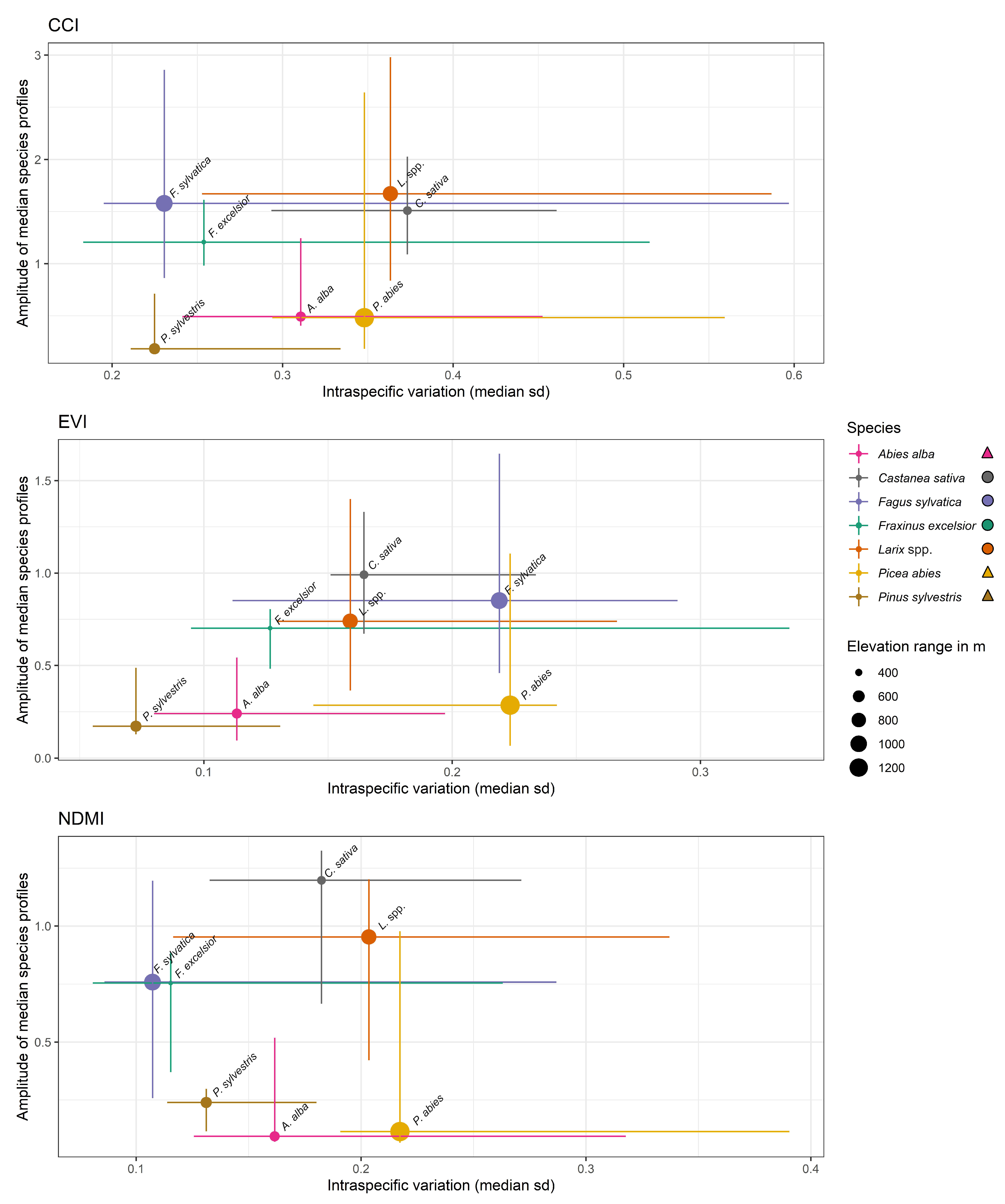
3. Results
4. Discussion
4.1. Spatial and Temporal Patterns of Intraspecific Variation
4.2. Limitations and Challenges of Tree Species-Specific Satellite Remote Sensing Approaches
4.3. Implications of Findings
5. Conclusions
Supplementary Materials
Author Contributions
Funding
Data Availability Statement
Acknowledgments
Conflicts of Interest
References
- DeFries, R. Why Forest Monitoring Matters for People and the Planet. In Global Forest Monitoring from Earth Observation; Achard, F., Hansen, M.C., Eds.; Taylor and Francis: Boca Raton, FL, USA, 2012; p. 14. [Google Scholar]
- Forrester, D.I. The spatial and temporal dynamics of species interactions in mixed-species forests: From pattern to process. For. Ecol. Manag. 2014, 312, 282–292. [Google Scholar] [CrossRef]
- Violle, C.; Navas, M.L.; Vile, D.; Kazakou, E.; Fortunel, C.; Hummel, I.; Garnier, E. Let the concept of trait be functional! Oikos 2007, 116, 882–892. [Google Scholar] [CrossRef]
- Cornelissen, J.H.C.; Lavorel, S.; Garnier, E.; Díaz, S.; Buchmann, N.; Gurvich, D.E.; Reich, P.B.; Steege, H.t.; Morgan, H.D.; van der Heijden, M.G.A.; et al. A handbook of protocols for standardised and easy measurement of plant functional traits worldwide. Aust. J. Bot. 2003, 51, 335–380. [Google Scholar] [CrossRef]
- Aitken, S.N.; Yeaman, S.; Holliday, J.A.; Wang, T.; Curtis-McLane, S. Adaptation, migration or extirpation: Climate change outcomes for tree populations. Evol. Appl. 2008, 1, 95–111. [Google Scholar] [CrossRef]
- Willmore, K.E.; Young, N.M.; Richtsmeier, J.T. Phenotypic Variability: Its Components, Measurement and Underlying Developmental Processes. Evol. Biol. 2007, 34, 99–120. [Google Scholar] [CrossRef]
- Gárate-Escamilla, H.; Hampe, A.; Vizcaíno-Palomar, N.; Robson, T.M.; Benito Garzón, M. Range-wide variation in local adaptation and phenotypic plasticity of fitness-related traits in Fagus sylvatica and their implications under climate change. Glob. Ecol. Biogeogr. 2019, 28, 1336–1350. [Google Scholar] [CrossRef]
- Leites, L.; Benito Garzón, M. Forest tree species adaptation to climate across biomes: Building on the legacy of ecological genetics to anticipate responses to climate change. Glob. Change Biol. 2023, 29, 4711–4730. [Google Scholar] [CrossRef] [PubMed]
- Benito Garzón, M.; Robson, T.M.; Hampe, A. TraitSDMs: Species distribution models that account for local adaptation andz phenotypic plasticity. New Phytol. 2019, 222, 1757–1765. [Google Scholar] [CrossRef]
- Benito Garzón, M.; Alía, R.; Robson, T.M.; Zavala, M.A. Intra-specific variability and plasticity influence potential tree species distributions under climate change. Glob. Ecol. Biogeogr. 2011, 20, 766–778. [Google Scholar] [CrossRef]
- Streit, K.; Brang, P.; Frei, E.R. The Swiss common garden network: Testing assisted migration of tree species in Europe. Front. For. Glob. Change 2024, 7, 1396798. [Google Scholar] [CrossRef]
- Fréjaville, T.; Fady, B.; Kremer, A.; Ducousso, A.; Benito Garzón, M. Inferring phenotypic plasticity and population responses to climate across tree species ranges using forest inventory data. Glob. Ecol. Biogeogr. 2019, 28, 1259–1271. [Google Scholar] [CrossRef]
- Damm, A.; Paul-Limoges, E.; Haghighi, E.; Simmer, C.; Morsdorf, F.; Schneider, F.D.; van der Tol, C.; Migliavacca, M.; Rascher, U. Remote sensing of plant-water relations: An overview and future perspectives. J. Plant Physiol. 2018, 227, 3–19. [Google Scholar] [CrossRef] [PubMed]
- Czyz, E.A.; Guillen Escriba, C.; Wulf, H.; Tedder, A.; Schuman, M.C.; Schneider, F.D.; Schaepman, M.E. Intraspecific genetic variation of a Fagus sylvatica population in a temperate forest derived from airborne imaging spectroscopy time series. Ecol. Evol. 2020, 10, 7419–7430. [Google Scholar] [CrossRef]
- Czyż, E.A.; Schmid, B.; Hueni, A.; Eppinga, M.B.; Schuman, M.C.; Schneider, F.D.; Guillén-Escribà, C.; Schaepman, M.E. Genetic constraints on temporal variation of airborne reflectance spectra and their uncertainties over a temperate forest. Remote Sens. Environ. 2023, 284, 113338. [Google Scholar] [CrossRef]
- D’Odorico, P.; Schuman, M.C.; Kurz, M.; Csilléry, K. Discerning Oriental from European beech by leaf spectroscopy: Operational and physiological implications. For. Ecol. Manag. 2023, 541, 121056. [Google Scholar] [CrossRef]
- Grubinger, S.; Coops, N.C.; O’Neill, G.A. Picturing local adaptation: Spectral and structural traits from drone remote sensing reveal clinal responses to climate transfer in common-garden trials of interior spruce (Picea engelmannii × glauca). Glob. Change Biol. 2023, 29, 4842–4860. [Google Scholar] [CrossRef]
- Grubinger, S.; Coops, N.C.; O’Neill, G.A.; Degner, J.C.; Wang, T.; Waite, O.J.M.; Riofrío, J.; Koch, T.L. Seasonal vegetation dynamics for phenotyping using multispectral drone imagery: Genetic differentiation, climate adaptation, and hybridization in a common-garden trial of interior spruce (Picea Engelmannii × glauca). Remote Sens. Environ. 2025, 317, 114512. [Google Scholar] [CrossRef]
- Löw, M.; Koukal, T. Phenology Modelling and Forest Disturbance Mapping with Sentinel-2 Time Series in Austria. Remote Sens. 2020, 12, 4191. [Google Scholar] [CrossRef]
- Misra, G.; Cawkwell, F.; Wingler, A. Status of Phenological Research Using Sentinel-2 Data: A Review. Remote Sens. 2020, 12, 2760. [Google Scholar] [CrossRef]
- Grabska-Szwagrzyk, E.; Tymińska-Czabańska, L. Sentinel-2 time series: A promising tool in monitoring temperate species spring phenology. For. Int. J. For. Res. 2024, 97, 267–281. [Google Scholar] [CrossRef]
- Cioldi, F.; Brändli, U.B.; Didion, M.; Fischer, C.; Ginzler, C.; Herold, A.; Huber, M.; Thürig, E. Waldressourcen. In Schweizerisches Landesforstinventar. Ergebnisse der Vierten Erhebung 2009–2017; Brändli, U., Abegg, M., Allgaier Leuch, B., Eds.; Eidgenössische Forschungsanstalt für Wald Schnee und Landschaft, Birmensdorf & Bundesamt für Umwelt: Bern, Germany, 2020; pp. 35–119. [Google Scholar]
- Brändli, U.B.; Abegg, M.; Düggelin, C. Biologische Vielfalt. In Schweizerisches Landesforstinventar. Ergebnisse der Vierten Erhebung 2009–2017; Brändli, U., Abegg, M., Allgaier Leuch, B., Eds.; WSL & BAFU: Bern, Germany, 2020; pp. 189–237. [Google Scholar]
- Drusch, M.; Bello, U.D.; Carlier, S.; Colin, O.; Fernandez, V.; Gascon, F.; Hoersch, B.; Isola, C.; Laberinti, P.; Martimort, P.; et al. Sentinel-2: ESA’s Optical High-Resolution Mission for GMES Operational Services. Remote Sens. Environ. 2012, 120, 25–36. [Google Scholar] [CrossRef]
- Frantz, D. FORCE—Landsat + Sentinel-2 Analysis Ready Data and Beyond. Remote Sens. 2019, 11, 1124. [Google Scholar] [CrossRef]
- Koch, T.; Weber, D.; Waser, L. Sentinel-2 Imagery of Switzerland. 2024. Available online: https://envidat.ch/#/metadata/sentinel-2-imagery-of-switzerland (accessed on 23 May 2024). [CrossRef]
- Koch, T.; Weber, D.; Waser, L. Sentinel-2 Time Series of Switzerland. 2024. Available online: https://envidat.ch/#/metadata/sentinel-2-time-series-of-switzerland (accessed on 23 May 2024). [CrossRef]
- Frantz, D.; Haß, E.; Uhl, A.; Stoffels, J.; Hill, J. Improvement of the Fmask algorithm for Sentinel-2 images: Separating clouds from bright surfaces based on parallax effects. Remote Sens. Environ. 2018, 215, 471–481. [Google Scholar] [CrossRef]
- Zhu, Z.; Wang, S.; Woodcock, C.E. Improvement and expansion of the Fmask algorithm: Cloud, cloud shadow, and snow detection for Landsats 4–7, 8, and Sentinel 2 images. Remote Sens. Environ. 2015, 159, 269–277. [Google Scholar] [CrossRef]
- Rengarajan, R.; Choate, M.; Storey, J.; Franks, S.; Micijevic, E.; Butler, J.J.; Xiong, X.; Gu, X. Landsat Collection-2 geometric calibration updates. In Proceedings of the Earth Observing Systems XXV, Online, 24 August–4 September 2020. [Google Scholar]
- Rufin, P.; Frantz, D.; Yan, L.; Hostert, P. Operational Coregistration of the Sentinel-2A/B Image Archive Using Multitemporal Landsat Spectral Averages. IEEE Geosci. Remote Sens. Lett. 2021, 18, 712–716. [Google Scholar] [CrossRef]
- Waser, L.T.; Fischer, C.; Wang, Z.; Ginzler, C. Wall-to-Wall Forest Mapping Based on Digital Surface Models from Image-Based Point Clouds and a NFI Forest Definition. Forests 2015, 6, 4510–4528. [Google Scholar] [CrossRef]
- Schwieder, M.; Leitão, P.J.; da Cunha Bustamante, M.M.; Ferreira, L.G.; Rabe, A.; Hostert, P. Mapping Brazilian savanna vegetation gradients with Landsat time series. Int. J. Appl. Earth Obs. Geoinf. 2016, 52, 361–370. [Google Scholar] [CrossRef]
- Hemmerling, J.; Pflugmacher, D.; Hostert, P. Mapping temperate forest tree species using dense Sentinel-2 time series. Remote Sens. Environ. 2021, 267, 112743. [Google Scholar] [CrossRef]
- Helfenstein, I.S.; Schneider, F.D.; Schaepman, M.E.; Morsdorf, F. Assessing biodiversity from space: Impact of spatial and spectral resolution on trait-based functional diversity. Remote Sens. Environ. 2022, 275, 113024. [Google Scholar] [CrossRef]
- Helfenstein, I.S.; Sturm, J.T.; Schmid, B.; Damm, A.; Schuman, M.C.; Morsdorf, F. Satellite Observations Reveal a Positive Relationship Between Trait-Based Diversity and Drought Response in Temperate Forests. Glob. Change Biol. 2025, 31, e70059. [Google Scholar] [CrossRef]
- Rouse, J.W.; Haas, R.H.; Schell, J.A.; Deering, D.W. Monitoring Vegetation Systems in the Great Plains with ERTS; Goddard Space Flight Center 3d ERTS-1 Symp.; NASA: Washington, DC, USA, 1974; Volume 1, p. 309. [Google Scholar]
- Huete, A. Overview of the radiometric and biophysical performance of the MODIS vegetation indices. Remote Sens. Environ. 2002, 83, 195–213. [Google Scholar] [CrossRef]
- Gamon, J.A.; Huemmrich, K.F.; Wong, C.Y.S.; Ensminger, I.; Garrity, S.; Hollinger, D.Y.; Noormets, A.; Peñuelas, J. A remotely sensed pigment index reveals photosynthetic phenology in evergreen conifers. Proc. Natl. Acad. Sci. USA 2016, 113, 13087–13092. [Google Scholar] [CrossRef] [PubMed]
- Gitelson, A.A.; Gritz, Y.; Merzlyak, M.N. Relationships between leaf chlorophyll content and spectral reflectance and algorithms for non-destructive chlorophyll assessment in higher plant leaves. J. Plant Physiol. 2003, 160, 271–282. [Google Scholar] [CrossRef]
- Gao, B.C. NDWI—A normalized difference water index for remote sensing of vegetation liquid water from space. Remote Sens. Environ. 1996, 58, 257–266. [Google Scholar] [CrossRef]
- Glenn, E.P.; Nagler, P.L.; Huete, A.R. Vegetation Index Methods for Estimating Evapotranspiration by Remote Sensing. Surv. Geophys. 2010, 31, 531–555. [Google Scholar] [CrossRef]
- Pettorelli, N.; Vik, J.O.; Mysterud, A.; Gaillard, J.M.; Tucker, C.J.; Stenseth, N.C. Using the satellite-derived NDVI to assess ecological responses to environmental change. Trends Ecol. Evol. 2005, 20, 503–510. [Google Scholar] [CrossRef]
- Kosczor, E.; Forkel, M.; Hernández, J.; Kinalczyk, D.; Pirotti, F.; Kutchartt, E. Assessing land surface phenology in Araucaria-Nothofagus forests in Chile with Landsat 8/Sentinel-2 time series. Int. J. Appl. Earth Obs. Geoinf. 2022, 112, 102862. [Google Scholar] [CrossRef]
- Liang, L.; Schwartz, M.D.; Fei, S. Validating satellite phenology through intensive ground observation and landscape scaling in a mixed seasonal forest. Remote Sens. Environ. 2011, 115, 143–157. [Google Scholar] [CrossRef]
- Kowalski, K.; Senf, C.; Hostert, P.; Pflugmacher, D. Characterizing spring phenology of temperate broadleaf forests using Landsat and Sentinel-2 time series. Int. J. Appl. Earth Obs. Geoinf. 2020, 92, 102172. [Google Scholar] [CrossRef]
- Brändli, U.B.; Abegg, M.; Allgaier Leuch, B. Schweizerisches Landesforstinventar. Ergebnisse der Vierten Erhebung 2009–2017; WSL & BAFU: Birmensdorf and Bern, Switzerland, 2020. [Google Scholar]
- Brändli, U.B.; Hägeli, M. Swiss NFI at a Glance. In Swiss National Forest Inventory—Methods and Models of the Fourth Assessment; Fischer, C., Traub, B., Eds.; Springer International Publishing: Cham, Switzerland, 2019; pp. 3–35. [Google Scholar]
- Nyquist, H. Certain Topics in Telegraph Transmission Theory. Trans. Am. Inst. Electr. Eng. 1928, 47, 617–644. [Google Scholar] [CrossRef]
- Shannon, C. Communication in the Presence of Noise. Proc. IRE 1949, 37, 10–21. [Google Scholar] [CrossRef]
- Koch, T.; Hobi, M.; Morsdorf, F.; Weber, D.; Rüetschi, M.; Damm, A.; Wegner, J.D.; Waser, L. Tree Species Profiles from Sentinel-2 Time Series. 2024. Available online: https://envidat.ch/#/metadata/tree-species-profiles-from-sentinel-2-time-series (accessed on 11 June 2024). [CrossRef]
- R Core Team. R: A Language and Environment for Statistical Computing; R Core Team: Vienna, Austria, 2024. [Google Scholar]
- Rossi, C.; Kneubühler, M.; Schütz, M.; Schaepman, M.E.; Haller, R.M.; Risch, A.C. Remote sensing of spectral diversity: A new methodological approach to account for spatio-temporal dissimilarities between plant communities. Ecol. Indic. 2021, 130, 108106. [Google Scholar] [CrossRef]
- Rossi, C.; McMillan, N.A.; Schweizer, J.M.; Gholizadeh, H.; Groen, M.; Ioannidis, N.; Hauser, L.T. Parcel level temporal variance of remotely sensed spectral reflectance predicts plant diversity. Environ. Res. Lett. 2024, 19, 074023. [Google Scholar] [CrossRef]
- Welch, B.L. On the Comparison of Several Mean Values: An Alternative Approach. Biometrika 1951, 38, 330–336. [Google Scholar] [CrossRef]
- Vitasse, Y.; Signarbieux, C.; Fu, Y.H. Global warming leads to more uniform spring phenology across elevations. Proc. Natl. Acad. Sci. USA 2018, 115, 1004–1008. [Google Scholar] [CrossRef]
- Chaurasia, A.N.; Dave, M.G.; Parmar, R.M.; Bhattacharya, B.; Marpu, P.R.; Singh, A.; Krishnayya, N.S.R. Inferring Species Diversity and Variability over Climatic Gradient with Spectral Diversity Metrics. Remote Sens. 2020, 12, 2130. [Google Scholar] [CrossRef]
- Pflug, E.E.; Buchmann, N.; Siegwolf, R.T.W.; Schaub, M.; Rigling, A.; Arend, M. Resilient Leaf Physiological Response of European Beech (Fagus sylvatica L.) to Summer Drought and Drought Release. Front. Plant Sci. 2018, 9, 187. [Google Scholar] [CrossRef]
- Klesse, S.; Peters, R.L.; Alfaro-Sánchez, R.; Badeau, V.; Baittinger, C.; Battipaglia, G.; Bert, D.; Biondi, F.; Bosela, M.; Budeanu, M.; et al. No Future Growth Enhancement Expected at the Northern Edge for European Beech due to Continued Water Limitation. Glob. Change Biol. 2024, 30, e17546. [Google Scholar] [CrossRef] [PubMed]
- Rohner, B.; Kumar, S.; Liechti, K.; Gessler, A.; Ferretti, M. Tree vitality indicators revealed a rapid response of beech forests to the 2018 drought. Ecol. Indic. 2021, 120, 106903. [Google Scholar] [CrossRef]
- Schmied, G.; Pretzsch, H.; Ambs, D.; Uhl, E.; Schmucker, J.; Fäth, J.; Biber, P.; Hoffmann, Y.D.; Šeho, M.; Mellert, K.H.; et al. Rapid beech decline under recurrent drought stress: Individual neighborhood structure and soil properties matter. For. Ecol. Manag. 2023, 545, 121305. [Google Scholar] [CrossRef]
- Pautasso, M.; Aas, G.; Queloz, V.; Holdenrieder, O. European ash (Fraxinus excelsior) dieback—A conservation biology challenge. Biol. Conserv. 2013, 158, 37–49. [Google Scholar] [CrossRef]
- Valenta, V.; Moser, D.; Kapeller, S.; Essl, F. A new forest pest in Europe: A review of Emerald ash borer (Agrilus planipennis) invasion. J. Appl. Entomol. 2017, 141, 507–526. [Google Scholar] [CrossRef]
- Gossner, M.M.; Perret-Gentil, A.; Britt, E.; Queloz, V.; Glauser, G.; Ladd, T.; Roe, A.D.; Cleary, M.; Liziniewicz, M.; Nielsen, L.R.; et al. A glimmer of hope—Ash genotypes with increased resistance to ash dieback pathogen show cross-resistance to emerald ash borer. New Phytol. 2023, 240, 1219–1232. [Google Scholar] [CrossRef]
- Rocchini, D.; Santos, M.J.; Ustin, S.L.; Feret, J.B.; Asner, G.P.; Beierkuhnlein, C.; Dalponte, M.; Feilhauer, H.; Foody, G.M.; Geller, G.N.; et al. The Spectral Species Concept in Living Color. J. Geophys. Res. Biogeosci. 2022, 127, e2022JG007026. [Google Scholar] [CrossRef] [PubMed]
- Hein, S.; Collet, C.; Ammer, C.; Goff, N.L.; Skovsgaard, J.P.; Savill, P. A review of growth and stand dynamics of Acer pseudoplatanus L. in Europe: Implications for silviculture. Forestry 2008, 82, 361–385. [Google Scholar] [CrossRef]
- Waser, L.T.; Rüetschi, M.; Psomas, A.; Small, D.; Rehush, N. Mapping dominant leaf type based on combined Sentinel-1/-2 data—Challenges for mountainous countries. ISPRS J. Photogramm. Remote Sens. 2021, 180, 209–226. [Google Scholar] [CrossRef]
- Heinzel, J.; Koch, B. Investigating multiple data sources for tree species classification in temperate forest and use for single tree delineation. Int. J. Appl. Earth Obs. Geoinf. 2012, 18, 101–110. [Google Scholar] [CrossRef]
- Pardos, M.; del Río, M.; Pretzsch, H.; Jactel, H.; Bielak, K.; Bravo, F.; Brazaitis, G.; Defossez, E.; Engel, M.; Godvod, K.; et al. The greater resilience of mixed forests to drought mainly depends on their composition: Analysis along a climate gradient across Europe. For. Ecol. Manag. 2021, 481, 118687. [Google Scholar] [CrossRef]
- Scherrer, D.; Ascoli, D.; Conedera, M.; Fischer, C.; Maringer, J.; Moser, B.; Nikolova, P.S.; Rigling, A.; Wohlgemuth, T. Canopy Disturbances Catalyse Tree Species Shifts in Swiss Forests. Ecosystems 2021, 25, 199–214. [Google Scholar] [CrossRef]
- Gordon, T.R.; Kirkpatrick, S.C.; Aegerter, B.J.; Wood, D.L.; Storer, A.J. Susceptibility of Douglas fir (Pseudotsuga menziesii) to pitch canker, caused by Gibberella circinata (anamorph = Fusarium circinatum). Plant Pathol. 2006, 55, 231–237. [Google Scholar] [CrossRef]
- Violle, C.; Enquist, B.J.; McGill, B.J.; Jiang, L.; Albert, C.H.; Hulshof, C.; Jung, V.; Messier, J. The return of the variance: Intraspecific variability in community ecology. Trends Ecol. Evol. 2012, 27, 244–252. [Google Scholar] [CrossRef] [PubMed]
- Bolnick, D.I.; Amarasekare, P.; Araújo, M.S.; Bürger, R.; Levine, J.M.; Novak, M.; Rudolf, V.H.W.; Schreiber, S.J.; Urban, M.C.; Vasseur, D.A. Why intraspecific trait variation matters in community ecology. Trends Ecol. Evol. 2011, 26, 183–192. [Google Scholar] [CrossRef] [PubMed]
- Sides, C.B.; Enquist, B.J.; Ebersole, J.J.; Smith, M.N.; Henderson, A.N.; Sloat, L.L. Revisiting Darwin’s hypothesis: Does greater intraspecific variability increase species’ ecological breadth? Am. J. Bot. 2014, 101, 56–62. [Google Scholar] [CrossRef] [PubMed]
- Petibon, F.; Czyż, E.A.; Ghielmetti, G.; Hueni, A.; Kneubühler, M.; Schaepman, M.E.; Schuman, M.C. Uncertainties in measurements of leaf optical properties are small compared to the biological variation within and between individuals of European beech. Remote Sens. Environ. 2021, 264, 112601. [Google Scholar] [CrossRef]





| Species | Filter 1 Pure Plots | Filter 1 → Filter 2 Excluded Plots [in Percent] Considering Sufficient Sentinel-2 Imagery | Filter 2 Pure Plots with Sufficient Sentinel-2 Imagery | Filter 2 Pure Pixels with Sufficient Sentinel-2 Imagery |
|---|---|---|---|---|
| Abies alba | 11 | 55% | 5 | 22 |
| Castanea sativa | 19 | 37% | 12 | 51 |
| Fagus sylvatica | 141 | 46% | 76 | 285 |
| Fraxinus excelsior | 10 | 60% | 4 | 13 |
| Larix spp. | 46 | 74% | 12 | 34 |
| Picea abies | 371 | 77% | 85 | 329 |
| Pinus sylvestris | 12 | 50% | 6 | 29 |
| Total | 610 | 67% | 200 | 763 |
Disclaimer/Publisher’s Note: The statements, opinions and data contained in all publications are solely those of the individual author(s) and contributor(s) and not of MDPI and/or the editor(s). MDPI and/or the editor(s) disclaim responsibility for any injury to people or property resulting from any ideas, methods, instructions or products referred to in the content. |
© 2025 by the authors. Licensee MDPI, Basel, Switzerland. This article is an open access article distributed under the terms and conditions of the Creative Commons Attribution (CC BY) license (https://creativecommons.org/licenses/by/4.0/).
Share and Cite
Koch, T.L.; Hobi, M.L.; Morsdorf, F.; Damm, A.; Weber, D.; Rüetschi, M.; Wegner, J.D.; Waser, L.T. Assessing Intraspecific Variation of Tree Species Based on Sentinel-2 Vegetation Indices Across Space and Time. Remote Sens. 2025, 17, 2094. https://doi.org/10.3390/rs17122094
Koch TL, Hobi ML, Morsdorf F, Damm A, Weber D, Rüetschi M, Wegner JD, Waser LT. Assessing Intraspecific Variation of Tree Species Based on Sentinel-2 Vegetation Indices Across Space and Time. Remote Sensing. 2025; 17(12):2094. https://doi.org/10.3390/rs17122094
Chicago/Turabian StyleKoch, Tiziana L., Martina L. Hobi, Felix Morsdorf, Alexander Damm, Dominique Weber, Marius Rüetschi, Jan D. Wegner, and Lars T. Waser. 2025. "Assessing Intraspecific Variation of Tree Species Based on Sentinel-2 Vegetation Indices Across Space and Time" Remote Sensing 17, no. 12: 2094. https://doi.org/10.3390/rs17122094
APA StyleKoch, T. L., Hobi, M. L., Morsdorf, F., Damm, A., Weber, D., Rüetschi, M., Wegner, J. D., & Waser, L. T. (2025). Assessing Intraspecific Variation of Tree Species Based on Sentinel-2 Vegetation Indices Across Space and Time. Remote Sensing, 17(12), 2094. https://doi.org/10.3390/rs17122094

