Can Ground-Penetrating Radar Detect Thermal Gradients in the Active Layer of Frozen Peatlands?
Abstract
1. Introduction
2. Study Site
3. Materials and Methods
4. Results
4.1. FTC and Relative Permittivity
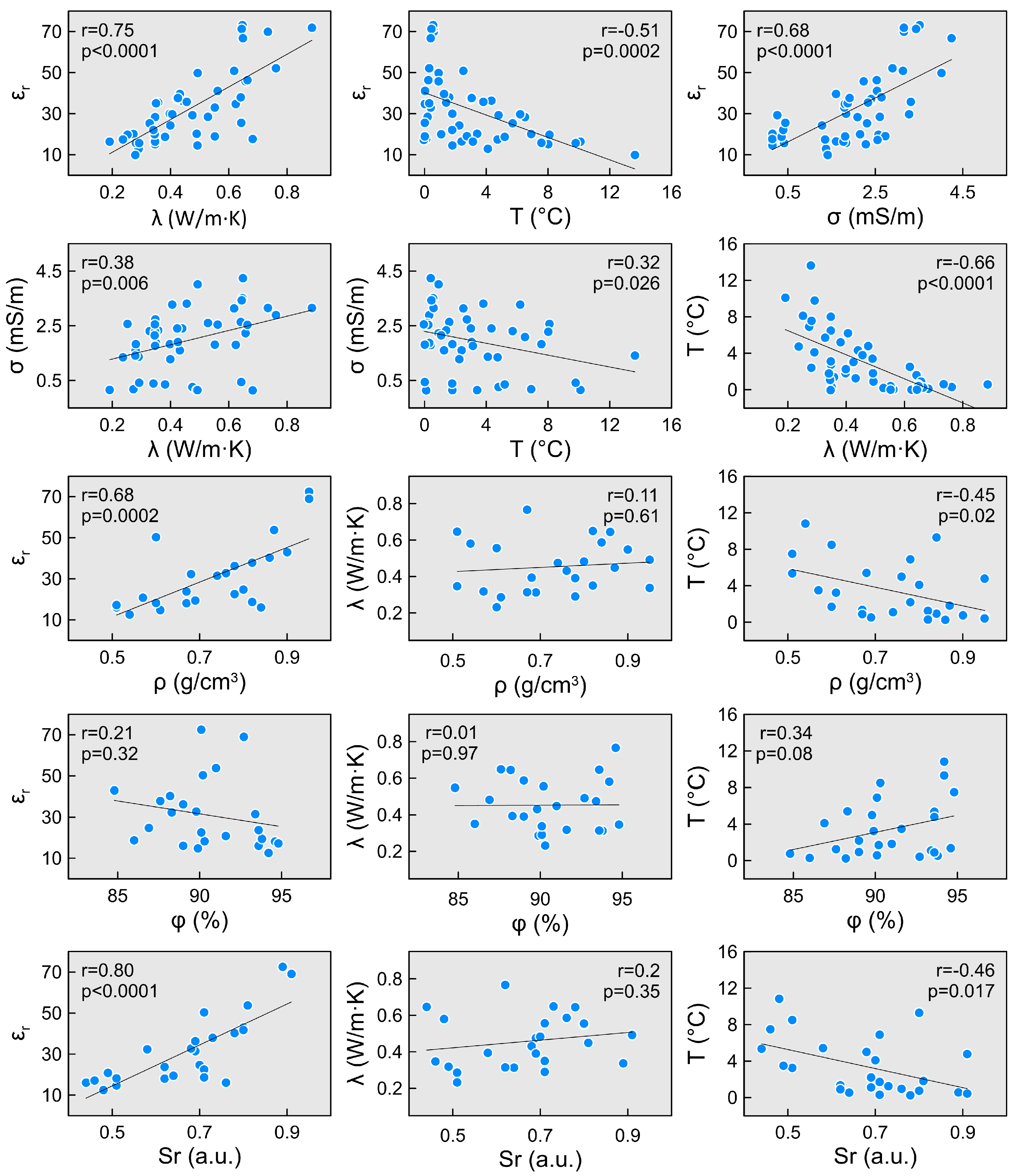
4.2. Variability of Peat Parameters
4.3. GPR Field Survey
5. Discussion
- (i)
- High-resolution field studies combining high-frequency GPR antennas with thermistor arrays;
- (ii)
- Controlled freeze–thaw cycle experiments with concurrent GPR monitoring following approaches described by Léger et al. [61];
- (iii)
- Advanced attribute selection and analysis incorporating machine learning techniques.
6. Conclusions
Funding
Data Availability Statement
Conflicts of Interest
References
- Aalto, J.; Karjalainen, O.; Hjort, J.; Luoto, M. Statistical Forecasting of Current and Future Circum-Arctic Ground Temperatures and Active Layer Thickness. Geophys. Res. Lett. 2018, 45, 4889–4898. [Google Scholar] [CrossRef]
- Kaverin, D.; Malkova, G.; Zamolodchikov, D.; Shiklomanov, N.; Pastukhov, A.; Novakovskiy, A.; Sadurtdinov, M.; Skvortsov, A.; Tsarev, A.; Pochikalov, A.; et al. Long-Term Active Layer Monitoring at CALM Sites in the Russian European North. Polar Geogr. 2021, 44, 203–216. [Google Scholar] [CrossRef]
- Li, G.; Zhang, M.; Pei, W.; Melnikov, A.; Khristoforov, I.; Li, R.; Yu, F. Changes in Permafrost Extent and Active Layer Thickness in the Northern Hemisphere from 1969 to 2018. Sci. Total Environ. 2022, 804, 150182. [Google Scholar] [CrossRef]
- Yi, Y.; Kimball, J.S.; Chen, R.H.; Moghaddam, M.; Reichle, R.H.; Mishra, U.; Zona, D.; Oechel, W.C. Characterizing Permafrost Active Layer Dynamics and Sensitivity to Landscape Spatial Heterogeneity in Alaska. Cryosphere 2018, 12, 145–161. [Google Scholar] [CrossRef] [PubMed]
- Zhang, H.; Piilo, S.R.; Amesbury, M.J.; Charman, D.J.; Gallego-Sala, A.V.; Väliranta, M.M. The Role of Climate Change in Regulating Arctic Permafrost Peatland Hydrological and Vegetation Change Over the Last Millennium. Quat. Sci. Rev. 2018, 182, 121–130. [Google Scholar] [CrossRef]
- Carpino, O.A.; Haynes, K.; Connon, R.; Craig, J.; Devoie, E.; Quinton, W. Long-Term Climate-Influenced Land Cover Change in Discontinuous Permafrost Peatland Complexes. Hydrol. Earth Syst. Sci. 2021, 25, 3301–3317. [Google Scholar] [CrossRef]
- Olefeldt, D.; Heffernan, L.; Jones, M.C.; Sannel, A.B.K.; Treat, C.C.; Turetsky, M.R. Permafrost Thaw in Northern Peatlands: Rapid Changes in Ecosystem and Landscape Functions. In Ecosystem Collapse and Climate Change; Canadell, J.G., Jackson, R.B., Eds.; Ecological Studies; Springer: Cham, Switzerland, 2021; Volume 241, pp. 3–22. [Google Scholar] [CrossRef]
- Luo, D.; Wu, Q.; Jin, H.; Marchenko, S.S.; Lü, L.; Gao, S. Recent Changes in the Active Layer Thickness Across the Northern Hemisphere. Environ. Earth Sci. 2016, 75, 555. [Google Scholar] [CrossRef]
- Clayton, L.K.; Schaefer, K.; Battaglia, M.J.; Bourgeau-Chavez, L.; Chen, J.; Chen, R.H.; Chen, A.C.; Bakian-Dogaheh, K.; Grelik, S.; Jafarov, E.; et al. Active Layer Thickness as a Function of Soil Water Content. Environ. Res. Lett. 2021, 16, 055028. [Google Scholar] [CrossRef]
- Bobrik, A.A.; Goncharova, O.Y.; Matyshak, G.V.; Ryzhova, I.M.; Moskalenko, N.G.; Ponomareva, O.E.; Ogneva, O.A. Correlation of Active Layer Thickness and Landscape Parameters of Peatland in Northern West Siberia (Nadym Station). Earth’s Cryosphere 2015, 19, 29–35. [Google Scholar]
- Atchley, A.L.; Coon, E.T.; Painter, S.L.; Harp, D.R.; Wilson, C.J. Influences and Interactions of Inundation, Peat, and Snow on Active Layer Thickness. Geophys. Res. Lett. 2016, 43, 5116–5123. [Google Scholar] [CrossRef]
- Du, R.; Peng, X.; Frauenfeld, O.W.; Sun, W.; Liang, B.; Chen, C.; Jin, H.; Zhao, Y. The Role of Peat on Permafrost Thaw Based on Field Observations. Catena 2022, 208, 105772. [Google Scholar] [CrossRef]
- Sannel, A.B.K.; Hugelius, G.; Jansson, P.; Kuhry, P. Permafrost Warming in a Subarctic Peatland—Which Meteorological Controls Are Most Important? Permafr. Periglac. Process. 2016, 27, 177–188. [Google Scholar] [CrossRef]
- Sannel, A.B.K. Ground Temperature and Snow Depth Variability Within a Subarctic Peat Plateau Landscape. Permafr. Periglac. Process. 2020, 31, 255–263. [Google Scholar] [CrossRef]
- Léger, E.; Dafflon, B.; Robert, Y.; Ulrich, C.; Peterson, J.E.; Biraud, S.C.; Romanovsky, V.E.; Hubbard, S.S. A Distributed Temperature Profiling Method for Assessing Spatial Variability in Ground Temperatures in a Discontinuous Permafrost Region of Alaska. Cryosphere 2019, 13, 2853–2867. [Google Scholar] [CrossRef]
- Wilson, R.M.; Hopple, A.M.; Tfaily, M.M.; Sebestyen, S.D.; Schadt, C.W.; Pfeifer-Meister, L.; Hanson, P.J. Stability of Peatland Carbon to Rising Temperatures. Nat. Commun. 2016, 7, 13723. [Google Scholar] [CrossRef]
- Byun, E.; Rezanezhad, F.; Fairbairn, L.; Slowinski, S.; Basiliko, N.; Price, J.S.; Quintom, W.L.; Roy-Léveillée, P.; Webster, K.; Van Cappellen, P. Temperature, Moisture and Freeze–Thaw Controls on CO2 Production in Soil Incubations from Northern Peatlands. Sci. Rep. 2021, 11, 23219. [Google Scholar] [CrossRef]
- Rowlandson, T.L.; Berg, A.A.; Roy, A.; Kim, E.; Lara, R.P.; Powers, J.; Lewis, K.; Houser, P.; McDonald, K.; Toose, P.; et al. Capturing Agricultural Soil Freeze/Thaw State Through Remote Sensing and Ground Observations: A Soil Freeze/Thaw Validation Campaign. Remote Sens. Environ. 2018, 211, 59–70. [Google Scholar] [CrossRef]
- Williamson, M.; Adams, J.R.; Berg, A.A.; Derksen, C.; Toose, P.; Walker, A. Plot-Scale Assessment of Soil Freeze/Thaw Detection and Variability with Impedance Probes: Implications for Remote Sensing Validation Networks. Hydrol. Res. 2018, 49, 1–16. [Google Scholar] [CrossRef]
- Mavrovic, A.; Pardo Lara, R.; Berg, A.; Demontoux, F.; Royer, A.; Roy, A. Soil Dielectric Characterization During Freeze-Thaw Transitions Using L-Band Coaxial and Soil Moisture Probes. Hydrol. Earth Syst. Sci. 2021, 25, 1117–1131. [Google Scholar] [CrossRef]
- Zhu, H.H.; Wu, B.; Cao, D.F.; Li, B.; Wen, Z.; Liu, X.F.; Shi, B. Characterizing Thermo-Hydraulic Behaviors of Seasonally Frozen Loess Via a Combined Opto-Electronic Sensing System: Field Monitoring and Assessment. J. Hydrol. 2023, 622, 129647. [Google Scholar] [CrossRef]
- Wollschläger, U.; Gerhards, H.; Yu, Q.; Roth, K. Multi-Channel Ground-Penetrating Radar to Explore Spatial Variations in Thaw Depth and Moisture Content in the Active Layer of a Permafrost Site. Cryosphere 2010, 4, 269–283. [Google Scholar] [CrossRef]
- Gusmeroli, A.; Liu, L.; Schaefer, K.; Zhang, T.; Schaefer, T.; Grosse, G. Active Layer Stratigraphy and Organic Layer Thickness at a Thermokarst Site in Arctic Alaska Identified Using Ground Penetrating Radar. Arct. Antarct. Alp. Res. 2015, 47, 195–202. [Google Scholar] [CrossRef]
- Cao, B.; Gruber, S.; Zhang, T.; Li, L.; Peng, X.; Wang, K.; Zheng, L.; Shao, W.; Guo, H. Spatial Variability of Active Layer Thickness Detected by Ground-Penetrating Radar in the Qilian Mountains, Western China. J. Geophys. Res. Earth Surf. 2017, 122, 574–591. [Google Scholar] [CrossRef]
- Jafarov, E.E.; Parsekian, A.D.; Schaefer, K.; Liu, L.; Chen, A.C.; Panda, S.K.; Zhang, T. Estimating Active Layer Thickness and Volumetric Water Content from Ground Penetrating Radar Measurements in Barrow, Alaska. Geosci. Data J. 2017, 4, 72–79. [Google Scholar] [CrossRef]
- Sudakova, M.S.; Sadurtdinov, M.R.; Tsarev, A.M.; Skvortsov, A.G.; Malkova, G.V. Ground-Penetrating Radar for Studies of Peatlands in Permafrost. Russ. Geol. Geophys. 2019, 60, 793–800. [Google Scholar] [CrossRef]
- Ryazantsev, P.; Kutenkov, S.; Kabonen, A. Study of Subarctic Palsa Permafrost under Various Thawing Conditions Based on Geophysical and Geospatial Models. Permafr. Periglac. Process. 2025; in print. [Google Scholar] [CrossRef]
- Klinge, M.; Schneider, F.; Dulamsuren, C.; Arndt, K.; Bayarsaikhan, U.; Sauer, D. Interrelations between Relief, Vegetation, Disturbances, and Permafrost in the Forest-Steppe of Central Mongolia. Earth Surf. Process. Landf. 2021, 46, 1766–1782. [Google Scholar] [CrossRef]
- Campbell, S.W.; Briggs, M.; Roy, S.G.; Douglas, T.A.; Saari, S. Ground-Penetrating Radar, Electromagnetic Induction, Terrain, and Vegetation Observations Coupled with Machine Learning to Map Permafrost Distribution at Twelvemile Lake, Alaska. Permafr. Periglac. Process. 2021, 32, 407–426. [Google Scholar] [CrossRef]
- Huang, Y.; Niu, F.; He, P.; Pan, W.; Yuan, K.; Su, W. Effectiveness Evaluation of Cooling Measures for Express Highway Construction in Permafrost Regions Based on GPR and ERT. Cold Reg. Sci. Technol. 2024, 228, 104339. [Google Scholar] [CrossRef]
- Harris, R.H.; Evans, S.G.; Marshall, S.T.; Godsey, S.E.; Parsekian, A.D. Using Ground-Penetrating Radar to Infer Ice Wedge Characteristics Proximal to Water Tracks. J. Geophys. Res. Earth Surf. 2025, 130, e2024JF007832. [Google Scholar] [CrossRef]
- Neradovsky, L.G. Permafrost Soils Influence on EM Energy Attenuation. J. Geophys. 2009, 2, 57–67. (In Russian) [Google Scholar]
- Neradovsky, L.G. Effect of Ground Temperatures on Electromagnetic Field Attenuation in Developed Areas of the Yakutian Permafrost Region. Earth’s Cryosphere 2010, 14, 56–65. (In Russian) [Google Scholar]
- Song, L.; Yang, W.; Huang, J.; Li, H.; Zhang, X. GPR Utilization in Artificial Freezing Engineering. J. Geophys. Eng. 2013, 10, 034004. [Google Scholar] [CrossRef]
- Steelman, C.M.; Endres, A.L.; Van der Kruk, J. Field Observations of Shallow Freeze and Thaw Processes Using High-Frequency Ground-Penetrating Radar. Hydrol. Process. 2010, 24, 2022–2033. [Google Scholar] [CrossRef]
- Jadoon, K.Z.; Weihermüller, L.; McCabe, M.F.; Moghadas, D.; Vereecken, H.; Lambot, S. Temporal Monitoring of the Soil Freeze-Thaw Cycles over a Snow-Covered Surface by Using Air-Launched Ground-Penetrating Radar. Remote Sens. 2015, 7, 12041–12056. [Google Scholar] [CrossRef]
- Shen, Y.; Zuo, R.; Liu, J.; Tian, Y.; Wang, Q. Characterization and Evaluation of Permafrost Thawing Using GPR Attributes in the Qinghai-Tibet Plateau. Cold Reg. Sci. Technol. 2018, 151, 302–313. [Google Scholar] [CrossRef]
- Wang, Q.; Shen, Y. Calculation and Interpretation of Ground Penetrating Radar for Temperature and Relative Water Content of Seasonal Permafrost in Qinghai-Tibet Plateau. Electronics 2019, 8, 731. [Google Scholar] [CrossRef]
- Wang, Q.; Liu, X.; Shen, Y.; Li, M. Characterization and Evaluation of Thaw-Slumping Using GPR Attributes in the Qinghai-Tibet Plateau. Remote Sens. 2023, 15, 2273. [Google Scholar] [CrossRef]
- Elina, G.A.; Lukashov, A.D.; Yurkovskaya, T.K. Late Glacial and Holocene Palaeovegetation and Palaeogeography of Eastern Fennoscandia; Finnish Environment Institute: Helsinki, Finland, 2010; Volume 4. [Google Scholar]
- Rönkkö, M.; Seppälä, M. Surface Characteristics Affecting Active Layer Formation in Palsas, Finnish Lapland. In Proceedings of the Eighth International Conference on Permafrost, Zürich, Switzerland, 21–25 July 2003; Phillips, M., Springman, S.M., Arenson, L.U., Eds.; Swets & Zeitlinger: Lisse, The Netherlands, 2003; pp. 995–1000. [Google Scholar]
- Brown, J.; Ferrians, O.; Heginbottom, J.A.; Melnikov, E. Circum-Arctic Map of Permafrost and Ground-Ice Conditions, Version 2; National Snow and Ice Data Center: Boulder, CO, USA, 2002. [Google Scholar] [CrossRef]
- Danielson, J.J.; Gesch, D.B. Global Multi-Resolution Terrain Elevation Data 2010 (GMTED2010); Open-File Report 1073; U.S. Department of the Interior: Washington, DC, USA; U.S. Geological Survey: Reston, VA, USA, 2011. [Google Scholar]
- Romanenko, F.A.; Garankina, E.V. Permafrost Formation and Structure at the South Border of Cryolithozone, the Kola Peninsula. Earth’s Cryosphere 2012, 16, 72–80. [Google Scholar]
- Olvmo, M.; Holmer, B.; Thorsson, S.; Reese, H.; Lindberg, F. Sub-Arctic Palsa Degradation and the Role of Climatic Drivers in the Largest Coherent Palsa Mire Complex in Sweden (Vissátvuopmi), 1955–2016. Sci. Rep. 2020, 10, 8937. [Google Scholar] [CrossRef]
- Fewster, R.E.; Morris, P.J.; Ivanovic, R.F.; Swindles, G.T.; Peregon, A.M.; Smith, C.J. Imminent Loss of Climate Space for Permafrost Peatlands in Europe and Western Siberia. Nat. Clim. Change 2022, 12, 373–379. [Google Scholar] [CrossRef]
- Leppiniemi, O.; Karjalainen, O.; Aalto, J.; Luoto, M.; Hjort, J. Environmental Spaces for Palsas and Peat Plateaus Are Disappearing at a Circumpolar Scale. Cryosphere 2023, 17, 3157–3176. [Google Scholar] [CrossRef]
- Krutskikh, N.; Ryazantsev, P.; Ignashov, P.; Kabonen, A. The Spatial Analysis of Vegetation Cover and Permafrost Degradation for a Subarctic Palsa Mire Based on UAS Photogrammetry and GPR Data in the Kola Peninsula. Remote Sens. 2023, 15, 1896. [Google Scholar] [CrossRef]
- Kujala, K.; Seppälä, M.; Holappa, T. Physical Properties of Peat and Palsa Formation. Cold Reg. Sci. Technol. 2008, 52, 408–414. [Google Scholar] [CrossRef]
- Spaans, E.J.A.; Baker, J.M. The Soil Freezing Characteristic: Its Measurement and Similarity to the Soil Moisture Characteristic. Soil Sci. Soc. Am. J. 1996, 60, 13–19. [Google Scholar] [CrossRef]
- Kojima, Y.; Nakano, Y.; Kato, C.; Noborio, K.; Kamiya, K.; Horton, R. A New Thermo-Time Domain Reflectometry Approach to Quantify Soil Ice Content at Temperatures Near the Freezing Point. Cold Reg. Sci. Technol. 2020, 174, 103060. [Google Scholar] [CrossRef]
- Annan, A.P. Ground Penetrating Radar. In Near Surface Geophysics; Butler, D.K., Ed.; Society of Exploration Geophysicists: Tulsa, OK, USA, 2005; pp. 357–438. [Google Scholar]
- Kapustin, V.V.; Sinitsin, A.V. The Application of Attribute Analysis for the Solution of Applied Problems of GPR Profiling. J. Geophys. 2015, 2, 17–23. (In Russian) [Google Scholar]
- Patterson, D.E.; Smith, M.W. The Measurement of Unfrozen Water Content by Time Domain Reflectometry: Results from Laboratory Tests. Can. Geotech. J. 1981, 18, 131–144. [Google Scholar] [CrossRef]
- Smerdon, B.D.; Mendoza, C.A. Hysteretic Freezing Characteristics of Riparian Peatlands in the Western Boreal Forest of Canada. Hydrol. Process. 2010, 24, 955–1094. [Google Scholar] [CrossRef]
- Quinton, W.L.; Baltzer, J.L. The Active-Layer Hydrology of a Peat Plateau with Thawing Permafrost (Scotty Creek, Canada). Hydrogeol. J. 2013, 21, 201–220. [Google Scholar] [CrossRef]
- Oleszczuk, R.; Brandyk, T.; Gnatowski, T.; Szatylowicz, J. Calibration of TDR for Moisture Determination in Peat Deposits. Int. Agrophys. 2004, 18, 145–151. [Google Scholar]
- Parsekian, A.D.; Slater, L.; Giménez, D. Application of Ground-Penetrating Radar to Measure Near-Saturation Soil Water Content in Peat Soils. Water Resour. Res. 2012, 48, W02533. [Google Scholar] [CrossRef]
- Zhao, Y.; Si, B. Thermal Properties of Sandy and Peat Soils Under Unfrozen and Frozen Conditions. Soil Tillage Res. 2019, 189, 64–72. [Google Scholar] [CrossRef]
- Kalyuzhny, I.L.; Lavrov, S.A. Thermophysical Properties of the Active Layer of the Kola Peninsula Bogs. Her. Kola Sci. Cent. RAS 2019, 4, 16–28. (In Russian) [Google Scholar]
- Léger, E.; Saintenoy, A.; Serhir, M.; Costard, F.; Grenier, C. Brief Communication: Monitoring Active Layer Dynamic Using a Lightweight Nimble Ground-Penetrating Radar System. A Laboratory Analog Test Case. Cryosphere 2023, 17, 1271–1277. [Google Scholar] [CrossRef]
- Devoie, É.; Craig, J.; Dominico, M.; Carpino, O.; Connon, R.; Rudy, A.; Quinton, W. Mechanisms of Discontinuous Permafrost Thaw in Peatlands. J. Geophys. Res. Earth Surf. 2021, 126, e2021JF006204. [Google Scholar] [CrossRef]
- Kalyuzhny, I.L. Content of Non-Frozen Moisture in a Seasonally Frozen Active Layer of the Kola Peninsula Marshes. Her. Kola Sci. Cent. RAS 2019, 3, 55–64. (In Russian) [Google Scholar]
- Mustamo, P.; Ronkanen, A.K.; Berglund, Ö.; Berglund, K.; Kløve, B. Thermal Conductivity of Unfrozen and Partially Frozen Managed Peat Soils. Soil Tillage Res. 2019, 191, 245–255. [Google Scholar] [CrossRef]
- Nagare, R.M.; Schincariol, R.A.; Quinton, W.L.; Hayashi, M. Effects of Freezing on Soil Temperature, Freezing Front Propagation and Moisture Redistribution in Peat: Laboratory Investigations. Hydrol. Earth Syst. Sci. 2012, 16, 501–515. [Google Scholar] [CrossRef]
- Pardo Lara, R.; Berg, A.A.; Warland, J.; Tetlock, E. In Situ Estimates of Freezing/Melting Point Depression in Agricultural Soils Using Permittivity and Temperature Measurements. Water Resour. Res. 2020, 56, e2019WR026020. [Google Scholar] [CrossRef]
- Romanovsky, V.E.; Osterkamp, T.E. Effects of unfrozen water on heat and mass transport processes in the active layer and permafrost. Permafr. Periglac. Process. 2000, 11, 219–239. [Google Scholar] [CrossRef]
- Gamayunov, N.I.; Stotland, D.M.; Agafonova, O.N.; Tovbin, I.B. Investigation of Heat and Mass Transport During Freezing in Peat Soils. Sov. Soil Sci. 1990, 22, 88–97. [Google Scholar]
- Watanabe, K.; Wake, T. Measurement of Unfrozen Water Content and Relative Permittivity of Frozen Unsaturated Soil Using NMR and TDR. Cold Reg. Sci. Technol. 2009, 59, 34–41. [Google Scholar] [CrossRef]
- Pavlova, N.N. Thermal Properties of the Active Layer of Bogs; Proceedings of the State Hydrological Institute: Leningrad, Russia, 1969; Volume 177, pp. 119–155. (In Russian) [Google Scholar]
- Pavlova, N.N. Phase Composition of Water and Thermophysical Characteristics of Frozen Peat in the Study of Infiltration. Sov. Hydrol. 1970, 4, 361–378. [Google Scholar]
- Koopmans, R.W.R.; Miller, R.D. Soil Freezing and Soil Water Characteristic Curves. Soil Sci. Soc. Am. J. 1966, 30, 680–685. [Google Scholar] [CrossRef]
- Bircher, S.; Andreasen, M.; Vuollet, J.; Vehviläinen, J.; Rautiainen, K.; Jonard, F.; Weihermüller, L.; Zakharova, E.; Wigneron, J.-P.; Kerr, Y.H. Soil Moisture Sensor Calibration for Organic Soil Surface Layers. Geosci. Instrum. Methods Data Syst. 2016, 5, 109–125. [Google Scholar] [CrossRef]
- Naasz, R.; Michel, J.C.; Charpentier, S. Measuring Hysteretic Hydraulic Properties of Peat and Pine Bark Using a Transient Method. Soil Sci. Soc. Am. J. 2005, 69, 13–22. [Google Scholar] [CrossRef]
- Westin, B.; Zuidhoff, F.S. Ground Thermal Conditions in a Frost-Crack Polygon, a Palsa and a Mineral Palsa (Lithalsa) in the Discontinuous Permafrost Zone, Northern Sweden. Permafr. Periglac. Process. 2001, 12, 325–335. [Google Scholar] [CrossRef]
- Delisle, G.; Allard, M.; Phillips, M.; Springman, S.M.; Arenson, L.U. Numerical Simulation of the Temperature Field of a Palsa Reveals Strong Influence of Convective Heat Transport by Groundwater. In Proceedings of the 8th International Permafrost Conference, Zurich, Switzerland, 21–25 July 2003; pp. 21–25. [Google Scholar]
- Arcone, S.A.; Peapples, P.R.; Liu, L. Propagation of a Ground-Penetrating Radar (GPR) Pulse in a Thin-Surface Waveguide. Geophysics 2003, 68, 1922–1933. [Google Scholar] [CrossRef]
- Van der Kruk, J.; Steelman, C.M.; Endres, A.L.; Vereecken, H. Dispersion Inversion of Electromagnetic Pulse Propagation Within Freezing and Thawing Soil Waveguides. Geophys. Res. Lett. 2009, 36, L18503. [Google Scholar] [CrossRef]
- Batbaatar, J.; Gillespie, A.R.; Sletten, R.S.; Mushkin, A.; Amit, R.; Trombotto Liaudat, D.; Liu, L.; Petrie, G. Toward the Detection of Permafrost Using Land-Surface Temperature Mapping. Remote Sens. 2020, 12, 695. [Google Scholar] [CrossRef]
- Bohidar, R.N.; Hermance, J.F. The GPR Refraction Method. Geophysics 2002, 67, 1474–1485. [Google Scholar] [CrossRef]












Disclaimer/Publisher’s Note: The statements, opinions and data contained in all publications are solely those of the individual author(s) and contributor(s) and not of MDPI and/or the editor(s). MDPI and/or the editor(s) disclaim responsibility for any injury to people or property resulting from any ideas, methods, instructions or products referred to in the content. |
© 2025 by the author. Licensee MDPI, Basel, Switzerland. This article is an open access article distributed under the terms and conditions of the Creative Commons Attribution (CC BY) license (https://creativecommons.org/licenses/by/4.0/).
Share and Cite
Ryazantsev, P. Can Ground-Penetrating Radar Detect Thermal Gradients in the Active Layer of Frozen Peatlands? Remote Sens. 2025, 17, 1805. https://doi.org/10.3390/rs17111805
Ryazantsev P. Can Ground-Penetrating Radar Detect Thermal Gradients in the Active Layer of Frozen Peatlands? Remote Sensing. 2025; 17(11):1805. https://doi.org/10.3390/rs17111805
Chicago/Turabian StyleRyazantsev, Pavel. 2025. "Can Ground-Penetrating Radar Detect Thermal Gradients in the Active Layer of Frozen Peatlands?" Remote Sensing 17, no. 11: 1805. https://doi.org/10.3390/rs17111805
APA StyleRyazantsev, P. (2025). Can Ground-Penetrating Radar Detect Thermal Gradients in the Active Layer of Frozen Peatlands? Remote Sensing, 17(11), 1805. https://doi.org/10.3390/rs17111805

