You are currently viewing a new version of our website. To view the old version click .
Remote Sensing
  • Article
  • Open Access

20 May 2025

A Detection and Cover Integrated Waveform Design Method with Good Correlation Characteristics and Doppler Tolerance

,
,
,
,
,
and
1
The State Key Laboratory of Complex Electromagnetic Environment Effects on Electronics and Information System, College of Electronic Science and Technology, National University of Defense Technology, Changsha 410073, China
2
School of Electronics and Communication Engineering, Sun Yat-sen University, Guangzhou 510275, China
*
Author to whom correspondence should be addressed.

Abstract

With the increasing complexity of the electromagnetic environment, radar waveform design needs to break through the limitation of traditional single-function architectures, prompting the emergence of integrated radar waveforms. Currently, the mainstream integrated signals are achieved through conventional waveform synthesis or time/frequency division multiplexing. However, the former suffers from limited design flexibility and is confined to single scenario applications, while the latter has interference between different sub-channels, which will limit the performance of multi-function radar. Aiming at the above problems, this paper proposes a waveform optimization method for a detection and cover integrated signal with high Doppler tolerance. By constructing a joint optimization model, the sidelobe characteristics of the signal’s autoambiguity function and the output response of the non-cooperative matched filter were incorporated into the unified objective function framework. The gradient descent algorithm is used to solve the model, and the optimized waveform with low sidelobe characteristics and multiple false target interference abilities is obtained. When the optimized waveform generates multiple false targets to cover our radar position, its peak sidelobe level (PSL) drops below −23 dB, and most of the sidelobe levels in the range-Doppler interval of interest drop below −40 dB. Finally, the proposed integrated waveform undergoes hardware-in-the-loop experiments, experimentally validating its performance and the effectiveness of the proposed method.

1. Introduction

As a core research direction in the field of electronic countermeasures, radar waveform design always faces the technical challenge of the collaborative optimization of anti-jamming and detection performance in a complex electromagnetic environment [1,2,3]. With the increasingly complex electromagnetic environment of modern battlefields, the jamming encountered by radar can be divided into active jamming and passive jamming. Passive jamming mainly includes chaff jamming and corner reflector [4,5], while active jamming refers to electromagnetic radiation-based techniques that induce blanket jamming or deception jamming [6,7,8]. These jamming mechanisms pose significant threats to radar systems’ target detection and tracking capabilities. In this context, how to construct a radar waveform with high detection efficiency and strong anti-jamming capability has become a key problem restricting the development of modern radar technology.
Traditional waveform design methods primarily address interference suppression through two technical approaches: time domain and frequency domain strategies. To mitigate passive jamming effects on range sidelobes, researchers commonly adopt autocorrelation function optimization strategies to suppress sidelobes in specific range intervals [9,10,11,12,13]. For active frequency domain interference, the academic focus has been on power spectrum notch design techniques, achieving narrowband interference suppression via spectral nulling construction [14,15,16]. It is worth noting that Gerlach et al. proposed a spectral sparse waveform design method to achieve narrowband interference suppression while preserving the ambiguity function characteristics of the original waveform [17]. However, this method neglects time domain sidelobe characteristics, compromising the robustness of receiver matched filtering. Although these studies have advanced their respective dimensions, they fail to achieve cooperative suppression of multi-dimensional interference.
In recent years, the rise of the concept of an integrated radar–electronic warfare system has provided a new paradigm for waveform design [18,19,20]. By transmitting the integrated waveform of detection and jamming, the system can realize target detection and jamming of the enemy radar at the same time, so as to hide the position of our radar and enhance the anti-jamming ability.
Preliminary studies have explored the use of noise randomness to jam enemy radar and simultaneous target detection. The University of Nebraska demonstrated that noise radar exhibits ranging, velocity measurement, and target imaging capabilities [21]. Nevertheless, its high sidelobe levels and poor detection performance remain as limitations. To solve this problem, Shao et al. established the corresponding objective function to find the optimal two-phase sequence, which improved the detection and interference performance of random two-phase coding [22]. Similarly, leveraging signal randomness, some scholars used chaotic sequences instead of random two-phase codes, and proposed time/frequency sharing detection and interference integrated waveform based on chaos theory [23,24,25]. The above studies start from the interference characteristics of signals, and mostly use signals with high randomness for their design. Some scholars start from the interference effect. Tan et al. designed a comb spectrum jamming waveform, though its high range sidelobes degrade detection performance [26]. Also from the perspective of jamming, the LFM signal and noise convolution are used to generate an integrated signal, which can detect enemy targets while jamming enemy radar [27]. The above waveform design is mainly designed in the time domain of the signal. Li et al., starting from the perspective of the frequency domain, used different carrier frequencies to modulate the signal and proposed a pseudo-random two-phase coding integrated waveform based on dual carrier frequencies [28]. By analyzing the performance of phase modulation and frequency modulation random signals, the relationship between signal randomness and detection performance was studied, and the design method of the integrated waveform was proposed [29,30].
The above studies mainly design the integrated signal by increasing the randomness of the integrated waveform to cause the blanket jamming effect. Alternatively, some studies focus on deceptive jamming mechanisms. Chen et al. used the deep Q-network to optimize the amplitude coding sequence to design the non-uniform interrupted sampling repeater jamming (ISRJ) integrated signal, embedding detection signals within jamming signals and optimizing sampling intervals for dual performance enhancement [31]. Similar ISRJ-based methods transmit detection signals during forwarding intervals to achieve simultaneous target detection and jamming [32]. Li et al. extended this by intercepting and modulating enemy signals to generate false targets while maintaining detection capabilities [33]. However, most of the existing methods employ fixed modes such as time division multiplexing, suffering from limited design flexibility and monotonous jamming modes. Especially for the integrated waveform design of deceptive jamming, there is still a lack of a systematic optimization framework and universal design method. In particular, it should be pointed out that the existing research on deception integrated waveform mostly focuses on the forwarding jamming scenario, and lacks modeling and analysis of the non-ideal factors such as the quantization error and delay jitter of the Digital Radio Frequency Memory (DRFM) system, which restricts the transformation and application of theoretical results to the actual environment.
Aiming at the problems of the single structure and the limitation of the jamming mode in the existing integrated waveform design, this paper proposes an integrated waveform optimization algorithm based on deception jamming principles. By constructing a composite objective function that integrates the ambiguity function and the output of enemy radar matched filters, and applying the gradient descent algorithm for iterative optimization, this study achieves the cooperative enhancement of detection performance and deceptive jamming effects. The results of simulation experiments and hardware measurement show that the proposed algorithm can effectively generate preset false targets to jam the enemy radar while maintaining the range-Doppler resolution ability, which provides a novel theoretical and technical foundation for intelligent countermeasure waveform design in complex electromagnetic environments. The advantages of this approach are as follows.
  • Strong applicability. At present, the mainstream probing and jamming integrated waveform is mainly realized by a simple combination waveform or time/frequency division multiplexing, such as an LFM-Barker code integrated waveform, etc. However, this kind of method has obvious limitations in engineering implementation: the waveform construction method is limited by the preset basis function combination mode, and the design freedom is limited. Compared with these methods, the proposed method establishes an objective function to optimize the waveform itself, which is not limited by the type of adversary detection waveform, has higher design freedom, and is applicable to a wide range of scenarios.
  • Stable performance. At present, there are two typical realization modes of an integrated waveform: Suppression interference mostly adopts a noise modulation waveform, which mainly suppresses the interference through the noise-like nature of the waveform. This interference style requires a high jamming–signal ratio (JSR), and is difficult to realize in practical applications. Deception jamming generally adopts signal forwarding architecture. Although it can achieve a coherent jamming effect, it has inherent defects such as strict isolation requirements and high hardware implementation complexity. Compared with the above methods, the proposed method considers the low interference-to-signal ratio scenario from the perspective of deception jamming, and does not need to forward the enemy detection signal to achieve a stable jamming effect, and the detection performance is better than the mainstream integrated waveform.
The remainder of this article is structured as follows. In Section 2, the integrated signal model is constructed and an objective function is constructed jointly in terms of detection performance and jamming performance. Section 3 focuses on the engineering realizability problem of the optimization model. Firstly, the objective function is reconstructed, which simplifies the calculation of the objective function and significantly improves the calculation efficiency. Furthermore, the gradient of the objective function is derived, which provides theoretical support for the gradient optimization algorithm. In Section 4, the performance of the designed waveform is verified by numerical and hardware experiments. Finally, Section 5 summarizes the conclusions drawn from this study.
Notation: Throughout the paper, boldface lower case letters represent column vectors, and standard lower case letters denote scalars. R L × M and C L × M denote the L × M dimensional realm matrices and complex matrices, respectively. | · | , ( · ) * , ( · ) T , and ( · ) denote the modulus, complex conjugate, transpose, and conjugate transpose, respectively. Re ( · ) denotes the real part of a complex number. x 2 denotes the two-norm of vector x and j = 1 ; Diag ( · ) denotes extracting diagonal elements or constructing a diagonal matrix from elements.

2. Problem Statement

In this section, the problem of the optimal design of the detection cover integrated waveform is defined and a model for solving it is developed. Firstly, based on the requirements of electronic countermeasures, the core parameters of the integrated waveform were clearly defined. On this basis, a unified objective function and problem form were introduced, and finally, a nonlinear optimization problem with multiple constraints was formed.
The detection and cover integrated signal emitted by the radar is a phase-coded sequence containing N sub-pulses, which can be written as
s ( t ) = 1 N τ n = 1 N rect t ( n 1 ) τ τ x ( n )
where
rect ( t ) = 1 , 0 < t < 1 0 , otherwise
x ( n ) = a ( n ) exp j ϕ ( n ) , n = 1 , , N
where a ( n ) and ϕ ( n ) represent the modulus and phase of x ( n ) , respectively, and τ is the time width of the subelement. The bandwidth of the phase-coded waveform shown in (1) is approximately B 1 τ . Usually, the phase sequence ϕ ( n ) can take any value in the interval [ π , π ] . According to radar signal processing theory, the performance of the aperiodic correlation function for phase-encoded signals mainly depends on the correlation properties of the discrete sequences x
x = [ x ( 1 ) , x ( 2 ) , , x ( N ) ] T
Hence, the problem of optimal design for the detection of phase-coded signals is the construction of discrete sequences with ideal correlation properties x . On the other hand, in practical application scenarios, in order to make the correlation characteristics of the transmitted signal tolerant to the motion of the target, the Doppler tolerance of the waveform is also required, which is equivalent to the discrete sequence x having to maintain good correlation performance in a certain Doppler frequency shift interval [34,35,36,37]. The range and Doppler characteristics of the radar signal can be characterized by a two-dimensional function, which is the ambiguity function of the signal [38]. According to the above analysis, the design of a high Doppler tolerance phase-coded waveform is essentially to design a sequence x with the desired ambiguity function shape, so that the ambiguity function of the waveform has ideal performance in a certain distance and Doppler interval. The aperiodic autocorrelation of the transmitted sequence x at lag k is defined as
r x x n , f = k = 1 N x k x * k n exp j 2 π k f N , n = N + 1 , , 0 , , N 1
where n denotes the range delay, f denotes the normalized Doppler frequency, and the relation between the normalized Doppler frequency f and the frequency shift Doppler frequency f d is f = f d N τ . At the same time, it should be stated that in (5), when k < 1 or k > N , x ( k ) = 0 .
In this paper, for the signal detection performance, a natural idea is to minimize the integrated sidelobe level (ISL) [39] of the pulse compression output of x , which can be written as
ISL = f = f m i n , f m a x n = 1 N , n 0 N 1 r x x ( n , f ) 2
where [ f m i n , f m a x ] is the given interval encompassing the concerned Doppler frequency. In recent years, with the proposal and rapid development of new concepts such as cognitive system [40,41,42], radar can usually obtain the range interval of the target of interest in advance, which means that it is not necessary to suppress all the sidelobes of the ambiguity function, but only the sidelobes of the target of interest can be suppressed to achieve effective detection and parameter estimation of the target. Therefore, the objective function is reconstructed as a weighted integrated sidelobe level (WISL), which is expressed as follows
WISL = f = f m i n f m a x n = 1 N , n 0 N 1 w x x ( n , f ) r x x ( n , f ) 2
where w x x ( n , f ) denote the weighting coefficient of the distance delay n and the normalized Doppler shift f.
For the cover performance of the signal, it is first assumed that the signal transmitted by the non-cooperative radar, ascertained through reconnaissance, is a linear frequency modulation (LFM) signal, which can be expressed as:
y = rect t T p exp j π K t ( n ) 2
where t ( n ) is the discrete time sequence, K = B L F M / T p is the frequency modulation slope of the LFM signal, and T p represents the time width of the LFM signal, B L F M represents the bandwidth of the LFM signal. The receiver results of the integrated signal received by the non-cooperator radar can be written as
r x y ( n ) = k = 1 N x ( k ) y * ( k n ) , n = N + 1 , , 0 , , N 1
where r x y ( n ) is defined as the output of the cross-correlation function between the non-cooperative radar signal and the detection and cover integrated waveform. In order to realize the controllability of the spatial distribution of false targets, the energy weighted constraint term in the objective function is constructed to maximize the cross-correlation energy of the preset interference region to generate false targets, and the energy of the sidelobes in other regions is reduced to ensure the effectiveness of the amplitude of false targets, which can be expressed as
d = n = 1 N P B 1 r x y ( n ) 2 + n = P E 1 P B 2 r x y ( n ) 2 + + n = P E L 1 P B L r x y ( n ) 2 + n = P E L N 1 r x y ( n ) 2 ( n = P B 1 P E 1 r x y ( n ) 2 + + n = P B L P E L r x y ( n ) 2 )
where L denotes the number of set false targets, P B i denotes the start distance unit of the i false target, and P E i denotes the end distance unit of the i false target; that is, the position of the false target generation should be located between P B i , P E i , and by combining the simplifications (10) can be rewritten as
d = n = 1 N P B 1 r x y ( n ) 2 + i = 1 L n = P E i P B i + 1 r x y ( n ) 2 + n = P E L N 1 r x y ( n ) 2 i = 1 L n = P E i P B i r x y ( n ) 2 = n Ω j r x y ( n ) 2 n Ω j r x y ( n ) 2
where Ω j represents the set of preset false target locations. The objective function is constructed by the union of (7) and (11) as follows
ε = γ WISL + ( 1 γ ) d
where γ is defined as the weight factor, and γ [ 0 , 1 ] .
In order to make the false target amplitude sufficient to confuse the enemy radar, the non-cooperative receiver output maximum constraint max r xy ( n ) N + 1 N 1 = a max is considered, which is usually set to a max = N . According to the above notation, the optimization problem of designing the probe and interferer integrated waveform can be formulated as minimizing the uniform metric in (13), i.e.,
min x C N × 1 ε ( x ) s . t . max r xy ( n ) N + 1 N 1 = a max x ( n ) = 1 , n = 1 , , N

3. Problem Optimization

This section focuses on the solution to the optimization problem of designing detection and cover integrated waveforms with good Doppler tolerance. Firstly, the objective function was simplified to improve the computational efficiency in the optimization process. Furthermore, the gradient of the objective function is solved so that the objective function can be optimized by gradient descent.

3.1. Simplifying the Objective Function

By analyzing the mathematical structure of (7), we can see that this expression is essentially a weighted combination of autocorrelation functions. In order to improve the numerical efficiency, this paper uses the matrix operation framework to reconstruct the optimization model. First, we define the Doppler matrix d f as follows
d f = exp j 2 π 1 · f N , exp j 2 π 2 · f N , , exp j 2 π N · f N T
and the transition matrix J n is also defined as follows
J n = 0 01 n + 1 0 0 1 0 N × N = J n T , n = 0 , , N 1
The aperiodic autocorrelation function in (7) can then be rewritten as
r x x n , f = x J n x f , n = N + 1 , , 0 , , N 1
where x f = Diag ( d ) f x . In this case, the ambiguity function of detection and cover integration can be calculated by simple matrix multiplication in (16), which reduces the complexity and operation time of calculation.
To facilitate the calculation of (11), the non-cooperative output weight vector w xy is defined in this paper, i.e.,
w xy = [ w x y ( N + 1 ) , , w x y ( 0 ) , , w x y ( N 1 ) ] T
where
w xy ( n ) = 1 , n [ P B i , P E i ] , i = 1 , 2 , , L 1 , n [ P B i , P E i ] , i = 1 , 2 , , L
Equation (18) shows that w xy ( m ) is −1 for the region where the false target is located, while w xy ( m ) is 1 for the rest of the region; thus, (11) can be written as
d = n = 1 N N 1 w x y ( n ) r x y ( n ) 2 = w xy T r x y 2
where r x y is the non-cooperative sequence correlation vector, which can be written as
r x y = [ r x y ( N + 1 ) , , r x y ( 0 ) , , r x y ( N 1 ) ] T
By the above simplification of the objective function, the objective function in (12) can be rewritten as
ε = γ f = f m i n f m a x n = 1 N , m 0 N 1 w x x ( n , f ) x J n x f 2 + ( 1 γ ) w xy T r x y 2
Observing (13), it can be found that there is a constant modulus constraint, which is a nonlinear constraint that makes the optimization problem difficult to solve. Then, using ϕ = { ϕ ( n ) } n = 1 N of the signal as a new variable, the constant modulus constraint can be removed. Therefore, (13) can be written as
min ϕ R N × 1 ε ( ϕ ) s . t . max r xy ( n ) N + 1 N 1 = a max

3.2. Gradient Descent

The optimization problem (22) is non-convex, making it difficult to find the global optimal solution. However, it is acceptable to find a local optimal solution in engineering to replace the global optimal solution [43,44,45]. It should be pointed out that the nonlinear constraints in (15) make the optimization problem difficult to solve directly. In this paper, a constrained nonlinear multivariate programming solver, fmincon of MATLAB, is used to minimize ε ( ϕ ) under the given constraints. fmincon is a gradient-based solver and it uses the finite difference method to obtain the gradient of the objective function by default [46]. In the following, the analytical gradient of the objective function is derived so that the local solver can converge faster.
The objective function of (22) consists of the detection performance subobjective function and the cover performance subobjective function, and finding the gradient of the objective function is to find the gradient of its subobjective function, respectively, i.e.,
ε ( ϕ ) ϕ ( n ) = WISL ( ϕ ) ϕ ( n ) + d ( ϕ ) ϕ ( n ) , n = 1 , , N
According to (7), the objective function WISL is formed by the sum of a series of correlation functions r x x ( n , f ) . Therefore, in order to obtain the gradient of the objective function WISL with respect to the optimization variable ϕ , it is essential to compute the partial derivative of r x x ( n , f ) with respect to the phase ϕ ( n ) of the sequence x , i.e.,
WISL ( ϕ ) ϕ ( n ) = f = f m i n f m a x k = 1 N , n 0 N 1 w x x ( k , f ) r x x ( k , f ) 2 ϕ ( n ) = f = f m i n f m a x k = 1 N , n 0 N 1 w x x ( k , f ) r x x ( k , f ) 2 ϕ ( n )
At the same time, the power function derivative principle can be obtained
r x x ( k , f ) 2 ϕ ( n ) = 2 Re r x x * k , f r x x k , f ϕ ( n )
According to the definition of (5), it can be obtained that
r x x k , f = p = 1 , p n p n + k N x p x * p k exp j 2 π p f N + x n x * n k exp j 2 π n f N + x n + k x * n exp j 2 π n + k f N
and according to the above equation, it can be easily obtained that
r x x k , f ϕ ( n ) = x * n k exp j 2 π n f N x n ϕ ( n ) + x n + k exp j 2 π n + k f N x * n ϕ ( n )
The analytical solution of the gradient of WISL with respect to the variables can be obtained using (24)–(27). As for d ( ϕ ) / ϕ ( n ) , it can be derived that
d ( ϕ ) ϕ ( n ) = ( r x y 2 2 2 i = 1 L m = P B i P E i r x y ( k ) 2 ) ϕ ( n ) = 2 Re r x y r x y ϕ ( n ) 2 i = 1 L m = P B i P E i r x y ( n ) r x y ( k ) ϕ ( k )
According to the definition of (9), r x y ( k ) / ϕ ( n ) can be obtained
r x y ( k ) ϕ ( n ) = y * n k x n ϕ ( n )
Using (24)–(29), an analytical solution of the gradient of the objective function with respect to the variables can be obtained.
Algorithm 1 gives a complete description of the detection and cover integrated waveform design algorithm with good correlation and Doppler tolerance. It can be observed that the computation complexity of the proposed algorithm is mainly determined by the multiplication operation in (27) and (29), the computation cost of which is O ( N 2 ) , respectively. Thus, the total computation cost of the proposed algorithm is O ( N 2 ) . The initial phase sequence ϕ ( 0 ) is generated by independent random variables uniformly distributed in [ 0 , 2 π ] . The stop criterion of the fmincon solver can be set to be ε ( w + 1 ) ( ϕ ) ε ( w ) ( ϕ ) ϵ where ε ( w ) ( ϕ ) is the objective function at the wth iteration and ϵ is a predefined threshold.
Algorithm 1 Gradient Optimization of detection and cover integrated waveform
  • Input: Initial phase sequence ϕ ( 0 ) , the non-cooperative detection signal y , the weighting coefficient w xx , the non-cooperative output weight vector w xy , the max iteration number W and the accuracy of convergence ϵ .
  •    for  w = 1 , , W
  •       while
  •          Calculate the gradient using (27)–(29).
  •          Solve the optimization problem (22) with the fmincon solver.
  •       end while until convergence and obtain ϕ ( k )
  •    end for  w = W
  • Output: The optimized phase sequence ϕ

4. Simulations and Experimental Results

This section presents the systematic validation of gradient descent optimized detection and jamming integrated waveforms through comprehensive simulation and hardware experimentation. Firstly, the feasibility of the model was determined by numerical simulation, and the influence of different factors on its optimization effect was analyzed. In the actual hardware system, an integrated waveform with good simulation performance is selected for transmitting and receiving, which verifies the practicability of the integrated waveform.

4.1. Numerical Results

Numerous factors can impact the optimization results of the algorithm, including waveform parameters and initialization methods. Thus, numerical results are provided to demonstrate the effectiveness of the proposed method. All simulations were conducted in MATLAB R2023a on a PC with a 2.50-GHz i9-12900H CPU and 16-GB RAM in Changsha, China.
In this paper, the pulse duration of the radar transmitted waveform is assumed to be T = 25.6 μ s, and the bandwidth of each PRT is B = 40 MHz, which means that the sequence length is N = B T = 1024, and the accuracy of convergence ϵ = 10 6 . Firstly, the weight factor γ was set from 0–1 with an interval of 0.005, and a total of 201 sets of independent optimization examples were generated. The convergence of the objective function and the values of the sub-objective functions are as follows.
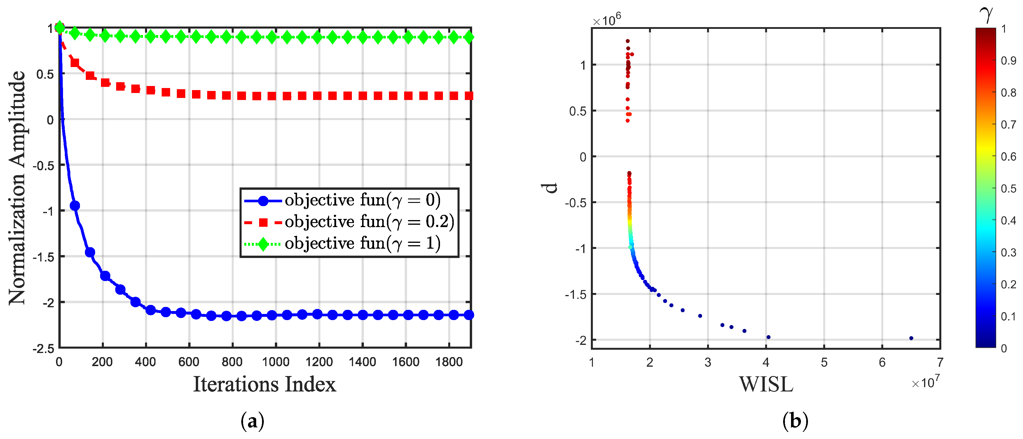
Figure 1a gives the normalized evolution curve of the objective function concerning the iteration exponent, illustrating the normalized decrease relative to the objective function’s initial value for γ = 0 , γ = 0.2 , and γ = 1 . Each data point represents the ratio of the current iteration’s objective function value to its initial value before optimization. Its physical meaning characterizes the relative convergence degree of the objective function with respect to the initial state during the optimization process. It can be found that when γ increases from 0 to 1, the change in the value of the objective function shows a clear trend of increasing. Specifically, when γ = 0, the value changes the most, which verifies the dominant role of γ as the weighting factor in the optimization direction.
Figure 1. Convergence curve. (a) Objective function. (b) WISL and d.
Figure 1b shows the Pareto frontier of the objective function, revealing the inherent trade-off between detection performance and jamming efficiency from a multi-objective optimization perspective. Since the objective function is essentially a weighted combination of detection and jamming performance, its Pareto frontier shows typical non-dominated solution distribution characteristics. Experimental results demonstrate that any solution vector cannot achieve the global optimum in the detection performance and jamming performance at the same time. Therefore, in practical applications, the waveforms should be designed with different γ values according to different application scenarios. This parameter reconfigurable feature enables the proposed model to adapt to the complex electromagnetic countermeasures environment.
Next, the performance of the integrated waveform is analyzed, and the parameters are set as follows: the number of false targets is set to two, and the start and end distance units are set to P B = 410 , 390 and P E = 390 , 410 . The carrier frequency is set to f 0 = 10 GHz. In addition, the distance interval and Doppler shift interval of concern are set to
w x x ( n , f ) = 1 , | n | 1024 and | f | = 0 0 , otherwise
The optimization model defined by (30) does not incorporate Doppler sensitivity constraints, and WISL is equivalent to ISL in this case. The simulation results in Figure 2 verify the integration performance of the waveform: Figure 2a quantitatively analyzes the range sidelobe suppression characteristics of the waveform. Experimental results demonstrate that the optimized waveform achieves significantly lower full-range sidelobe levels compared to its pre-optimized counterpart, with a peak sidelobe level (PSL) [47] of −23.6801 dB, exhibiting a substantial improvement over conventional LFM signals. This performance satisfies the engineering requirements for weak target detection in high-resolution radar systems. Figure 2b illustrates the jamming performance of the integrated signal, where the optimized waveform generates two false targets within the preset spoofing cell (front and back range cells 390–410). The results confirm that the designed waveform effectively disrupts enemy radar target discrimination logic through range dimension false targets while retaining superior detection performance, thereby verifying the joint optimization model’s efficacy in harmonizing detection and jamming functions.
Figure 2. The performance of integrated signal ( P B = 410 , 390 and P E = 390 , 410 ; w x x ( n , f ) = 1 ,   | n | 1024 and | f | = 0 ). (a) Matched filter output. (b) Receiver output of the non−cooperative signal.
In order to enhance the jamming ability of the integrated signal, next, the number of false targets is changed in this paper, namely P B = 610 , 210 , 190 , 590 and P E = 590 , 190 , 210 , 610 . The simulation results are shown in Figure 3.
Figure 3. The performance of integrated signal ( P B = 610 , 210 , 190 , 590 and P E = 590 , 190 , 210 , 610 ; w x x ( n , f ) = 1 ,   | n | 1024 and | f | = 0 ). (a) Matched filter output. (b) Receiver output of the non−cooperative signal.
The experimental results in Figure 3 demonstrate the performance limitations of the initial optimization model under energy constraints. Although the waveform design successfully generated multiple false targets within the specified region, it was constrained by the requirement for full-range sidelobe suppression, resulting in significant deterioration in the detection performance; its PSL increased to −13.3983 dB, representing a 10.28 dB degradation compared to Figure 2a. This phenomenon seriously affects the waveform detection ability. To address these limitations, this paper enhances the optimization model described in (30) by prioritizing the range sidelobe suppression within the interval of interest. The improved strategy selectively optimizes local sidelobes while increasing the waveform optimization degrees of freedom, thereby balancing interference efficacy with detection performance. The distance interval and Doppler shift interval of concern are set to
w x x ( n , f ) = 1 , | n | 200 and | f | = 0 0 , otherwise
The simulation results in Figure 4 demonstrate the performance differences between local and full sidelobe optimization strategies. Experimental data demonstrate that within the region of interest, the PSL of the waveform is optimized to −23.6963 dB, representing a 10.3 dB improvement over the full sidelobe optimization result. Although the autocorrelation function generates false targets, this has no adverse impact on detection performance since these false targets are located outside the range cell of interest. Notably, within the sidelobe region of interest, the majority of sidelobe levels are suppressed below −40 dB, significantly enhancing the integrated waveform’s detection capability. Furthermore, analysis of the jamming performance indicates that local sidelobe optimization achieves superior jamming efficacy compared to full sidelobe optimization. Specifically, the locally optimized waveform generates false targets all within the predefined range cells, compared to Figure 3b which only generates three false targets, a result attributable to its selective optimization of partial sidelobes and enhanced waveform design flexibility. These findings validate the effectiveness of the proposed optimization algorithm.
Figure 4. The performance of integrated signal ( P B = 610 , 210 , 190 , 590 and P E = 590 , 190 , 210 , 610 ; w x x ( n , f ) = 1 ,   | n | 200 and | f | = 0 ). (a) Matched filter output. (b) Receiver output of the non−cooperative signal.
The above simulation only considers the range sidelobes of the waveform and does not consider the Doppler tolerance of the waveform. The Doppler tolerance of the signal determines its ability to detect moving targets, so the Doppler tolerance of the signal will be considered for optimization next. The range interval and Doppler shift interval of interest are set to
w x x ( n , f ) = 1 , | n | 200 and | f | 0.62 0 , otherwise
According to the parameters of the designed waveform, the distance and velocity intervals of interest corresponding to (32) are approximately [ 750 , 750 ] m and [ 365 , 365 ] m/s, respectively. Specifically, under these parameters, the designed waveform is theoretically expected to exhibit low sidelobe characteristics within the range interval of [ 750 , 750 ] m around the strong scattering points. And the low sidelobe property can be maintained for the target with velocity within the interval of [ 365 , 365 ] m/s. The simulation results validating these performance metrics are presented below.
Figure 5 demonstrates the comprehensive performance of the detection and cover integrated waveform with high Doppler tolerance. Figure 5a illustrates the autocorrelation function of the integrated waveform. Experimental results indicate that the PSL of the optimized waveform is reduced to −25.8002 dB, and the sidelobe levels in the preset attention interval (range gate ± 750 m) are effectively suppressed to below −45 dB on average, which verifies the accurate detection ability of the waveform for static and low-speed targets. Figure 5b analyzes the jamming performance of the waveform, and the results show that the waveform successfully generates two false targets within the specified range cell, which can produce the effect of deceptive jamming to the enemy radar and protect our radar system.
Figure 5. The performance of integrated signal ( P B = 410 , 390 and P E = 390 , 410 ; w x x ( n , f ) = 1 ,   | n | 200 and | f | 0.62 ). (a) Matched filter output. (b) Receiver output of the non−cooperative signal. (c) Autoambiguity functions. (d) Top view of the autoambiguity functions.
According to the ambiguity function of Figure 5c,d, it can be seen that within the normalized Doppler frequency offset range (corresponding to the target velocity of ±365 m/s), the range-Doppler sidelobes of the waveform still maintain low-level characteristics. This characteristic shows that the waveform can maintain both high resolution and jamming performance in high-speed target detection scenarios, thereby resolving the inherent trade-off between Doppler sensitivity and jamming performance in conventional waveforms. To further verify the scalability of the waveform, the comprehensive performance was tested by increasing the number of false targets. Simulation results show that the waveform retains its detection capabilities while reliably generating multiple deceptive false targets.
Figure 6 verifies the comprehensive performance of the integrated waveform and its inherent constraint mechanism under multiple false target scenarios. Comparing and analyzing the experimental data in Figure 5a and Figure 6a, it can be seen that when the number of false targets increases from 2 to 4, the system presents a significant trade-off between detection and jamming performance: The PSL of the waveform increased from −25.8002 dB to −24.107 dB, while the majority of sidelobe levels within the focus region are elevated to approximately −40 dB. Nevertheless, most sidelobes in the region of interest remain suppressed below −40 dB, indicating that the waveform optimization model retains robust detection performance under multi-constraint conditions.
Figure 6. The performance of integrated signal ( P B = 610 , 210 , 190 , 590 and P E = 590 , 190 , 210 , 610 ; w x x ( n , f ) = 1 ,   | n | 200 and | f | 0.62 ). (a) Matched filter output. (b) Receiver output of the non−cooperative signal. (c) Autoambiguity functions. (d) Top view of the autoambiguity functions.
Further investigation of the jamming characteristics of Figure 6b shows that the waveform successfully generates four false target clusters with spatial correlation characteristics within the range gate of the enemy radar. Its spatial distribution pattern can effectively cover the location characteristics of real radar emitters. It is worth noting that this performance is achieved without significantly sacrificing the detection performance, which verifies the adaptability of the optimization model in multi-objective scenarios. The ambiguity function analysis in Figure 6c,d further shows that within the preset range-Doppler constraint interval (range: ± 750 m, velocity: ± 365 m/s), the waveform still maintains low sidelobe characteristics, and the majority of sidelobes are ≤−40 dB. A series of experimental results confirm that the proposed objective function construction method and optimization framework can effectively coordinate the contradiction between multiple false target jamming requirements and detection performance guarantee, providing a feasible theoretical solution for radar–electronic warfare cooperative design in a complex electromagnetic environment.

4.2. Experimental Results

This section presents the results of experiments performed on a real hardware system to verify the performance of the designed detection and cover integrated waveform. The hardware system used in the experiments is shown in Figure 7. In the hardware experiment, the designed integrated waveform was first generated using an NI-5644R vector signal transceiver with a 16-bit digital to analog converter in Changsha, China. The waveform is then upconverted to C-band and amplified by a power amplifier. Subsequently, the amplified signal is attenuated by an attenuator, which is adjusted by a down-conversion module. Finally, the IF signal was sampled and processed by the NI-5644R vector signal transceiver through the 16-bit analog to digital converter.
Figure 7. Hardware system.
In the experiment, the detection and cover integrated waveform corresponding to Figure 5 was selected for the measured experiment. The carrier frequency is f 0 = 2.4 GHz, the waveform bandwidth is B = 40 MHz, the waveform sub-pulse width is T p = 0.25   μ s , and the pulse width is T = 25.6   μ s . Figure 8, Figure 9 and Figure 10 show the differences in time domain, frequency domain, correlation performance, and Doppler tolerance for the hardware implementation of the integrated waveform, respectively.
Figure 8. Waveform transmitted and received by NI−5644R. (a) Time domain. (b) Frequency domain.
Figure 9. The integrated performance of waveforms transmitted and received by NI−5644R. (a) Matched filter output. (b) Matched filter output of the non-cooperative signal.
Figure 10. Autoambiguity functions of integrated waveforms transmitted and received by NI−5644R. (a) Autoambiguity functions. (b) Top view of the autoambiguity functions.
Figure 8a shows the time domain waveform of the baseband signal after 5644’s transmission. The experimental results show that the nonlinear effect of the RF channel causes significant phase distortion. However, through the waveform envelope analysis, it can be seen that although the phase coding signal is adopted, the detection and cover integrated waveform designed in this paper presents the characteristics of the FM signal. Notably, even under phase nonlinear disturbances caused by channel distortion, the waveform’s time domain envelope remains highly consistent with the ideal design, highlighting its robustness. Figure 8b shows the spectrum of the baseband waveform. It can be found that the spectral energy of this waveform is relatively scattered, but the energy is more concentrated than the rest in the range of −20–20 MHz, and its energy occupies 57.5 % of the overall spectral energy. Since the enemy radar’s transmit signal in the optimization objective function is an LFM signal, its spectrum is similar to that of an LFM signal. However, the proposed waveform exhibits more pronounced spectral leakage due to jamming performance constraints. This spectrum characteristic balances the detection performance requirements and the electronic interference performance, demonstrating the waveform optimization model’s coordination capability under multi-objective constraints.
Figure 9a presents the autocorrelation function of the baseband waveform. The experimental data show that the PSL of the measured waveform is degraded by 3 dB compared to the ideal waveform. Furthermore, although the sidelobes within the range cell of interest exhibit slight elevation, the majority remain suppressed below −40 dB, preserving the waveform’s robust detection performance. It is proved that the integrated waveform mentioned above in this paper has the characteristics of an FM signal, and the distortion caused by the transmitter has little impact on the performance. Additionally, Figure 9a analyzes the output of the enemy radar’s matched filter. It can be found that compared with the ideal waveform, the false target generated by the measured waveform only drops by about 1dB. In practical application, this enables the waveform to effectively induce multiple false targets on enemy radars, obscuring our radar’s position while simultaneously jamming and detecting the adversary.
Figure 10 shows the autoambiguity function of the actual transmitted waveform, systematically validating the Doppler tolerance characteristics of the designed integrated waveform. Compared with the simulation results in Figure 5c,d, it is evident that the range-Doppler joint sidelobes of the measured waveform exhibit an overall elevation due to hardware-induced nonlinear distortion. However, within the region of interest defined in (32), the ambiguity function sidelobe levels remain predominantly below −40 dB. This characteristic demonstrates the waveform’s ability to measure speed in high-speed target detection scenarios while effectively mitigating the matched-filter mismatch problem caused by target Doppler shifts. Based on the analysis of the measured data in Figure 8, Figure 9 and Figure 10, the proposed detection and cover integrated waveform satisfies the following key performance metrics despite the nonlinear distortion characteristics of the practical RF channel. First, the amplitude of false targets on enemy radars is attenuated by ≤1 dB, which maintains the effective jamming ability. Secondly, the sidelobe suppression ratio of the range-Doppler interval of interest is mostly below −40 dB. This performance verifies the applicability and robustness of the waveform optimization model in complex electromagnetic environments.

5. Conclusions

In this paper, a detection and cover integrated signal design method with good correlation characteristics and high Doppler tolerance is proposed. By constructing a comprehensive objective function that jointly optimizes detection performance and jamming performance. The detection performance is based on the sidelobes of the autoambiguity function of the waveform, and the jamming performance is based on the output value of the enemy radar receiver. This paper establishes a weighted optimization framework adaptable to practical requirements. The gradient descent algorithm is employed to solve this complex non-convex optimization problem, with experimental validation confirming the algorithm’s feasibility.
By independently adjusting the number of false targets, spatial distribution, range-Doppler focusing interval, and other parameters’ sensitivity analysis, the optimization effect of the algorithm under different parameters was compared. Numerical and hardware experiments show that the algorithm can obtain a variety of integrated waveforms with different effects, which can jam non-cooperative radar and cover our radar position while detecting targets. In addition, as detailed in Section 4, the optimized waveforms maintain excellent detection capabilities (with sidelobes predominantly below −40 dB in specified regions) while generating multiple coherent false targets at predetermined range cells. Hardware implementation results show practical waveform characteristics remain consistent with theoretical predictions, exhibiting approximately 3 dB degradation in PSL and less than 1 dB amplitude variation in false targets compared to numerical simulations, which proves the effectiveness of the waveform.
Compared with the existing integrated waveforms, the proposed integrated waveform is designed from the signal itself and is suitable for a variety of scenarios. Compared with the time/frequency division multiplexing combined waveform, the proposed integrated waveform does not have the problem of mutual interference between each channel. In addition, the integrated waveform proposed in this paper has the ability to detect high speed targets, and compared with the current mainstream integrated signals, it has lower requirements on the JSR, and can produce a deceptive jamming effect at low JSR.
In this paper, the study of the detection and cover integrated waveform is still in the preliminary stage. For example, only the MF system has been considered, and the optimization algorithm is limited to the relatively simple and inefficient gradient descent method. Therefore, the mismatched filtering system with integrated waveform design is worth studying. In addition, optimization methods such as the MM algorithm and alternating direction method of multipliers [48,49], which are widely used in phase-coded waveform design, can be considered to further improve the optimization efficiency. At the same time, we also plan to broaden the application scenarios of this waveform, such as applying it to the field of polarimetric radar. These aspects can be explored in future research.

Author Contributions

Conceptualization, H.G. and F.W.; methodology, H.G. and F.W.; software, H.G., N.L. and Z.W.; data curation, F.W. and H.G.; supervision, F.W., Z.W. and Y.L.; writing—original draft preparation, H.G.; writing—review and editing, F.W., N.L., L.Z. and C.P.; resources, F.W., C.P. and Y.L; validation, L.Z. All authors have read and agreed to the published version of the manuscript.

Funding

This research was funded by the National Natural Science Foundation of China (No. 62401579 and No. 62471470).

Data Availability Statement

The raw data supporting the conclusions of this article will be made available by the authors on request.

Conflicts of Interest

The authors declare no conflicts of interest.

References

  1. Ding, M.; Li, Y.; Wei, J.; Zhu, E. Joint Design of OFDM-LFM Waveforms and Receive Filter for MIMO Radar in Spatial Heterogeneous Clutter. IEEE Geosci. Remote Sens. Lett. 2024, 21, 1–5. [Google Scholar] [CrossRef]
  2. Xie, Z.; Wu, L.; Huang, X.; Fan, C.; Zhu, J.; Liu, W. Cross Ambiguity Function Shaping of Cognitive MIMO Radar: A Synergistic Approach to Antenna Placement and Waveform Design. IEEE Trans. Geosci. Remote Sens. 2024, 62, 1–13. [Google Scholar] [CrossRef]
  3. Liu, X.; Yuan, Y.; Zhang, T.; Cui, G.; Tay, W.P. Integrated Transmit Waveform and RIS Phase Shift Design for LPI Detection and Communication. IEEE Trans. Wireless Commun. 2024, 23, 5663–5679. [Google Scholar] [CrossRef]
  4. Li, H.; Chen, S. Electromagnetic Scattering Characteristics and Radar Identification of Sea Corner Reflectors: Advances and Prospects. J. Radars 2023, 12, 738–761. [Google Scholar] [CrossRef]
  5. Luo, Y.; Guo, L.; Zuo, Y.; Liu, W. Time-Domain Scattering Characteristics and Jamming Effectiveness in Corner Reflectors. IEEE Access 2021, 9, 15696–15707. [Google Scholar] [CrossRef]
  6. Li, Y.; Huang, D.; Xing, S.; Wang, X. A Review of Synthetic Aperture Radar Jamming Technique. J. Radars 2020, 9, 753–764. [Google Scholar] [CrossRef]
  7. Wu, Q.; Zhao, F.; Ai, X.; Liu, X.; Xiao, S. Two-Dimensional Blanket Jamming Against ISAR Using Nonperiodic ISRJ. IEEE Sens. J. 2019, 19, 4031–4038. [Google Scholar] [CrossRef]
  8. Xu, Z.; Tang, B.; Ai, W.; Zhu, J. Relative Entropy Based Jamming Signal Design Against Radar Target Detection. IEEE Trans. Signal Process. 2025, 73, 1200–1215. [Google Scholar] [CrossRef]
  9. Li, F.; Zhao, Y.; Qiao, X. A waveform design method for suppressing range sidelobes in desired intervals. Signal Process. 2014, 96, 203–211. [Google Scholar] [CrossRef]
  10. An, M.; Yin, J.; Wang, T.; Li, Y. Quantitative Impacts of Different Polarization Operating Modes and Waveforms on Weather Observables for Polarimetric Phased Array Radar. IEEE Trans. Geosci. Remote Sens. 2024, 62, 1–22. [Google Scholar] [CrossRef]
  11. Zhu, J.; Yin, T.; Guo, W.; Zhang, B.; Zhou, Z. An underwater target azimuth trajectory enhancement approach in BTR. Appl. Acoust. 2025, 230, 110373. [Google Scholar] [CrossRef]
  12. Wang, F.; Li, N.; Pang, C.; Li, Y.; Wang, X. Algorithm for Designing PCFM Waveforms for Simultaneously Polarimetric Radars. IEEE Trans. Geosci. Remote Sens. 2024, 62, 1–16. [Google Scholar] [CrossRef]
  13. Xu, Z.; Tang, B.; Ai, W.; Xie, Z.; Zhu, J. Radar Transceiver Design for Extended Targets Based on Optimal Linear Detector. IEEE Trans. Aerosp. Electron. Syst. 2025, 1–12. [Google Scholar] [CrossRef]
  14. He, H.; Stoica, P.; Li, J. Waveform design with stopband and correlation constraints for cognitive radar. In Proceedings of the 2010 2nd International Workshop on Cognitive Information Processing, Elba, Italy, 14–16 June 2010; pp. 344–349. [Google Scholar] [CrossRef]
  15. Aubry, A.; De Maio, A.; Huang, Y.; Piezzo, M.; Farina, A. A new radar waveform design algorithm with improved feasibility for spectral coexistence. IEEE Trans. Aerosp. Electron. Syst. 2015, 51, 1029–1038. [Google Scholar] [CrossRef]
  16. Rowe, W.; Stoica, P.; Li, J. Spectrally Constrained Waveform Design. IEEE Signal Process Mag. 2014, 31, 157–162. [Google Scholar] [CrossRef]
  17. Gerlach, K.; Frey, M.R.; Steiner, M.J.; Shackelford, A. Spectral Nulling on Transmit via Nonlinear FM Radar Waveforms. IEEE Trans. Aerosp. Electron. Syst. 2011, 47, 1507–1515. [Google Scholar] [CrossRef]
  18. Yuan, Y.; Liu, X.; Zhang, T.; Cui, G.; Kong, L. Reinforcement-Learning-Enhanced Adaption of Signal Power and Modulation for LPI Radar System. IEEE Trans. Aerosp. Electron. Syst. 2024, 60, 8555–8568. [Google Scholar] [CrossRef]
  19. Celentano, S.; Farina, A.; Timmoneri, L.; Foglia, G. Co-existence of AESA (Active Electronically Scanned Array) radar and Electronic Warfare (EW) systems on board of a military ship. In Proceedings of the 2020 IEEE Radar Conference (RadarConf20), Florence, Italy, 21–25 September 2020; pp. 1–5. [Google Scholar]
  20. Chen, K.; Xie, C.; Yang, F.; Huang, M.; Chen, Y.; Qu, S.W.; Yang, S. Integrated Radar and Communication Design With Low Probability of Intercept Based on 4-D Antenna Arrays. IEEE Trans. Antennas Propag. 2022, 70, 8496–8506. [Google Scholar] [CrossRef]
  21. Kay, S.M.; Thanos, J.H. Optimal transmit signal design for active sonar/radar. In Proceedings of the 2002 IEEE International Conference on Acoustics, Speech, and Signal Processing, Orlando, FL, USA, 13–17 May 2002; pp. II-1513–II-1516. [Google Scholar]
  22. Shao, C.; Tang, S. Optimization research of radar and jammer integration share signal design. Microcomputer Inf. 2010, 26, 208–210. [Google Scholar]
  23. Zhang, Y.; Chen, T. Integrated Radar and Jammer Signal Modulated by Bi-phase Encoding Signal of Spatiotemporal Chaos. Mod. Radar. 2006, 15–18. [Google Scholar]
  24. Yang, D.; Liu, Y.; Tang, S.; Wu, S. Optimization design of radar/jammer share signal modulated by binary phase encoding signal of chaos. Comput. Simul. 2011, 28, 30–33, 37. [Google Scholar]
  25. Han, G.; He, J.; Pan, Q. Optimization design of radar and jammer integration signal based on improved chaos genetic algorithm. Comput. Eng. Appl. 2014, 50, 212–215. [Google Scholar]
  26. Tan, L.; Jiang, Q.; Liu, F. Detection and jamming integration signal of orthogonal comb waveform. J. Detect. Control. 2016, 38, 78–81. [Google Scholar]
  27. Li, C.; Wu, G.; Li, G.; Xue, H. Shared Waveform Design for Integrated Detection and Jamming Signal Based on Smart Noise Jamming of Convolution Modulation. In Proceedings of the 2023 8th International Conference on Signal and Image Processing (ICSIP), Wuxi, China, 8–10 July 2023; pp. 564–569. [Google Scholar]
  28. Li, Q.; Wang, Y.; Shang, K. Design and performance simulation for the detection and jamming integrated signal waveform. J. Detect. Control. 2016, 42, 39–44. [Google Scholar]
  29. Pralon, L.; Beltrao, G.; Barreto, A.; Cosenza, B. On the Analysis of PM/FM Noise Radar Waveforms Considering Modulating Signals with Varied Stochastic Properties. Sensors 2021, 21, 1727. [Google Scholar] [CrossRef]
  30. Cao, R.; Li, M.; Ding, D. Design of Integrated Detection-Jamming Signal Based on Noise Frequency Modulation and Phase-Coded. In Proceedings of the 2023 International Conference on Microwave and Millimeter Wave Technology (ICMMT), Qingdao, China, 14–17 May 2023; pp. 1–2. [Google Scholar] [CrossRef]
  31. Chen, T.; Zhang, Y.; Hu, X.; Xiao, Y. Integrated waveform optimization design of detection and jamming based on DQN. Syst. Eng. Electron. 2023, 45, 638–646. [Google Scholar]
  32. Deng, Y.; Wei, X. Design and Processing of Integrated Signal for Co-Frequency Detection and Jamming Based on Timing Constraint. In Proceedings of the 2024 6th International Conference on Electronic Engineering and Informatics (EEI), Chongqing, China, 28–30 June 2024; pp. 1738–1743. [Google Scholar]
  33. Li, C.; Wu, G. A Shared Waveform Design and Processing Method for Integrated Radar Detection and Coherent Jamming Signal. In Proceedings of the 2022 IEEE 10th Joint International Information Technology and Artificial Intelligence Conference (ITAIC), Chongqing, China, 17–19 June 2022; pp. 373–380. [Google Scholar]
  34. Wang, F.; Xia, X.G.; Pang, C.; Cheng, X.; Li, Y.; Wang, X. Joint Design Methods of Unimodular Sequences and Receiving Filters With Good Correlation Properties and Doppler Tolerance. IEEE Trans. Geosci. Remote Sens. 2023, 61, 1–14. [Google Scholar] [CrossRef]
  35. Zhu, J.; Xie, Z.; Jiang, N.; Song, Y.; Han, S.; Liu, W.; Huang, X. Delay-Doppler Map Shaping through Oversampled Complementary Sets for High-Speed Target Detection. Remote Sens. 2024, 16, 2898. [Google Scholar] [CrossRef]
  36. Yin, T.; Guo, W.; Zhu, J.; Wu, Y.; Zhang, B.; Zhou, Z. Underwater Broadband Target Detection by Filtering Scanning Azimuths Based on Features of Subband Peaks. IEEE Sens. J. 2025, 25, 13601–13609. [Google Scholar] [CrossRef]
  37. Wang, F.; Pang, C.; Zhou, J.; Li, Y.; Wang, X. Design of Complete Complementary Sequences for Ambiguity Functions Optimization With a PAR Constraint. IEEE Geosci. Remote Sens. Lett. 2022, 19, 1–5. [Google Scholar] [CrossRef]
  38. Lin, C.t. On the Ambiguity Function of Random Binary-Phase-Coded Waveforms. IEEE Trans. Aerosp. Electron. Syst. 1985, AES-21, 432–436. [Google Scholar] [CrossRef]
  39. Wang, Y.C.; Dong, L.; Xue, X.; Yi, K.C. On the Design of Constant Modulus Sequences with Low Correlation Sidelobes Levels. IEEE Commun. Lett. 2012, 16, 462–465. [Google Scholar] [CrossRef]
  40. Zhang, C.; Wang, L.; Jiang, R.; Hu, J.; Xu, S. Radar Jamming Decision-Making in Cognitive Electronic Warfare: A Review. IEEE Sens. J. 2023, 23, 11383–11403. [Google Scholar] [CrossRef]
  41. Xiong, J.; Cui, G.; Fan, T.; Li, Y.; Yu, X.; Kong, L.; Yang, X. Tangential Maneuvering Target Detection for Airborne Cognitive Radar. IEEE Trans. Aerosp. Electron. Syst. 2025, 61, 401–415. [Google Scholar] [CrossRef]
  42. Rybicki, B.W.; Nelson, J.K. Train Offline, Refine Online: Improving Cognitive Tracking Radar Performance with Approximate Policy Iteration and Deep Neural Networks. IEEE Trans. Radar Syst. 2025, 3, 57–70. [Google Scholar] [CrossRef]
  43. Wicks, M.C.; Mokole, E.L.; Blunt, S.D.; Schneible, R.S.; Amuso, V.J. Principles of Waveform Diversity and Design; IET Press: Rijeka, Croatia, 2011. [Google Scholar]
  44. Pillai, S.R.; Pillai, S.U.; Selesnick, I.W.; Li, K.Y. Waveform Diversity: Theory & Applications; McGraw-Hill: New York, NY, USA, 2011. [Google Scholar]
  45. Gini, F.; Maio, A.D.; Patton, L. Waveform Design and Diversity for Advanced Radar Systems; IET Press: London, UK, 2012. [Google Scholar]
  46. The MathWorks, Inc. Optimization Toolbox User’s Guide. Available online: https://ww2.mathworks.cn/help/pdfdoc/optim/optim.pdf/ (accessed on 5 March 2025).
  47. Jin, G.; Deng, Y.; Wang, R.; Wang, W.; Wang, P.; Long, Y.; Zhang, Z.M.; Zhang, Y. An Advanced Nonlinear Frequency Modulation Waveform for Radar Imaging With Low Sidelobe. IEEE Trans. Geosci. Remote Sens. 2019, 57, 6155–6168. [Google Scholar] [CrossRef]
  48. Wu, L.; Palomar, D.P. Sequence Design for Spectral Shaping via Minimization of Regularized Spectral Level Ratio. IEEE Trans. Signal Process. 2019, 67, 4683–4695. [Google Scholar] [CrossRef]
  49. Zhang, J.; Xu, N. Discrete Phase Coded Sequence Set Design for Waveform-Agile Radar Based on Alternating Direction Method of Multipliers. IEEE Trans. Aerosp. Electron. Syst. 2020, 56, 4238–4252. [Google Scholar] [CrossRef]
Disclaimer/Publisher’s Note: The statements, opinions and data contained in all publications are solely those of the individual author(s) and contributor(s) and not of MDPI and/or the editor(s). MDPI and/or the editor(s) disclaim responsibility for any injury to people or property resulting from any ideas, methods, instructions or products referred to in the content.

Article Metrics

Citations

Article Access Statistics

Multiple requests from the same IP address are counted as one view.