Abstract
Thorpe analysis is a commonly used method to study turbulence, an important research object in the field of atmospheric science. However, using Thorpe analysis to retrieve turbulence parameters from radiosonde data can reduce inversion accuracy due to instrument noise. Therefore, this paper presents a new wavelet denoising method to determine the optimal decomposition layer based on adaptative Monte Carlo simulation, and the denoising effect of this method is tested by simulation data and real detection data. Numerical experiments shows that the stability and accuracy of the proposed new method are better than those of the previous methods.
1. Introduction
Atmosphere turbulence is an important research object in atmospheric science, and it plays a key role in the energy budget and momentum exchange in the atmosphere [1,2]. In order to remotely sense the characteristics of free atmosphere turbulence from balloon detection data, many studies have used Thorpe analysis, a method originally used to study mixing in the ocean, to analyze balloon detection data. This innovative method provides a new way for remote sensing free atmosphere turbulence.
Thorpe analysis is a method used to obtain the turbulence parameters by calculating the difference between the detected potential temperature or potential density profile and the reference profile [3,4]. In the free atmosphere, we can use balloon or high-resolution radiosonde data to obtain temperature, pressure, and humidity [5,6], and then obtain the potential temperature (θ) profile. However, the profile is unstable, and it contains a lot of ‘inversion’, with the high potential temperature at the lower level and the low potential temperature at the upper level. In order to obtain the stable profile, we arranged the potential temperature from large to small according to the height from low level to high level. During this process, when a potential temperature value at height Zn is rearranged to height Zm, the Thorpe displacement is defined as D = Zn − Zm. The root mean square of all displacement within the entire inversion is the Thorpe scale (LT), which represents the scale of the inversion. LT is related to the Ozmidov scale LO, an important scale for describing turbulence characteristics, namely , where c is the empirical constant, LO = (ε/N3)(1/2)), ε is the turbulent energy dissipation rate, and N is the buoyancy frequency.
However, whether in the ocean or in the atmosphere, the inversions calculated in these detection data can be caused by the mixing effects of turbulence or by noise from the instruments. If we do not remove the effects of instrument’s noise, it will lead to poor turbulence parameters, which may result in overestimation of the turbulent fraction [7]. In order to reduce noise effect, many researchers have tried to propose their solution. Thorpe (1977) also simply removes the Thorpe displacement that does not exceed the threshold. Some studies suggest that denoising could be realized by estimating the threshold of run length [3]. For example, Galbraith and Kelley (1996) estimated the threshold of minimum size and run length based on instrument noise and density gradient, and then removed inversions that did not meet the conditions [8]. Timmermans et al. (2003) denoised through comparing the detected run lengths obtained by the Bernoulli test with a probability of ½ [9]. However, Johnson and Garrett (2004) believe that the run length is affected by stratification and sample size, and that simply comparing the run length actually detected with the estimation by the instrument noise cannot accurately separate the noise signal from the turbulent signal [10]. In the later study, Gavrilov et al. (2005) argued that a turbulent signal should meet two requirements to be considered unaffected by noise: (1) the structure function of 1 m is greater than the double noise variance, (2) ( is the potential temperature after the arrangement) is greater than the double noise standard deviation [11]. Wilson et al. (2010) proposed a more effective method on the basis of previous studies, using the variation range of potential temperature in the inversion to select a true inversion [12]. This method is effective and has been widely used [11,12,13,14,15].
However, we argue that this method has three defects. (1) The range of the potential density or potential temperature data caused by noise within the inversion must be smaller than that caused by the turbulence. (2) The method used to improve tnr is undersampling, which may reduce the impact of noise and significantly reduce the resolution of the data. (3) This method can only determine whether an inversion is caused by noise. However, if an inversion is caused by turbulence, but is also affected by noise, this method will not remove the noise’ effect from the inversion. Therefore, we referenced the method of Piera et al. (2002), using wavelet denoising to reduce the noise’s interference, in which the number of decomposition layers was set to nine, and it achieved a good denoising effect [16]. However, we repeated their practice and found that the denoising result was not ideal. The reason being that the excessive number of decomposition layers lead most of the real turbulence signal to be filtered out. Therefore, we used the Monte Carlo simulation to comprehensively consider the factors, such as atmospheric background environment and noise intensity, and calculate the determined decomposition layer number from adaptation, so as to avoid the defect of Piera et al.’s method. The results obtained by us are compared with Wilson et al.’s and are better than those of the previous methods.
2. Methods
2.1. Wavelet Denoising
As a time–frequency analysis method, wavelet analysis overcomes the shortcomings and limitations of Fourier analysis and has been applied to signal processing, theoretical physics, fault diagnosis, and other aspects [17,18,19,20]. In the field of signal processing, wavelet threshold denoising has been applied more and more widely [21,22,23]. Assuming the is the discrete original signal and is the white noise followed to the Gaussian distribution , then the discrete noisy signal is
The observed signal is transformed by discrete wavelet and a series of wavelet coefficients are obtained. Here, represents the scale and represents position. Therefore,
Here, is the wavelet basis function in the scale and position.
After selecting the wavelet basis function [24], the orthogonal wavelet transform is carried out to obtain the wavelet coefficients and scale coefficients of each layer.
where and are a pair of orthogonal mirror filters (QMF). Then, the wavelet coefficients of each layer are processed by soft threshold.
where the wavelet coefficient of the noisy signal is compared with the selected threshold value . If , the value of shrinks to the value of . If , the value of equals to the value of . The other become zero. In this paper, the global threshold is adopted [25].
where and M is the signal length. The inverse operation of the decomposition process is the wavelet reconstruction process, and its corresponding reconstruction formula is
2.2. The Determined Optimal Decomposition Layer
In the practical application of wavelet denoising, the number of decomposition layers will have a great influence on the result of denoising. A small number of decomposition layers will lead to ineffective noise removal, and too many decomposition layers will also cause some useful signals to be removed. In previous studies, people usually set a decomposition layer number in advance, according to the experience when wavelet denoising [26,27]. However, the specific shape of the detection profile of the free atmosphere is the result of the combined action of three factors: the atmospheric background environment, the turbulence, and the noise. Here, the influence of cloud has been removed according to the method of Wilson et al. (2013) [27]. For different detection profiles, the three factors are different, and even for a certain detection profile, its three factors are also significantly different at different heights [28,29]. Therefore, it is difficult to determine the optimal number of decomposition layers just by experience.
When we applied the wavelet denoising with the 9 decomposition layers to a radiosonde data whose maximum height is 36 km and average resolution is about 4.5 m, in Shanghai on 15 September 2015, the denoising effect was not satisfactory. We found that due to the overly large number of decomposition layers, only three turbulent signals existed in the profile after noise removal, which is obviously unreasonable. Therefore, if we want to use wavelet denoising to remove instrument noise, the problem of how to avoid the influence of artificial selection of decomposition layers is very important. Thus, this paper aims to determine the optimal number of decomposition layers and denoising thresholds at various altitudes using an adaptive Monte Carlo method. Through comparison with the method proposed by Wilson et al. (2010), we find that our method has a better denoising effect, which will help to improve the inversion accuracy of the turbulence parameter in free atmosphere [7].
2.3. Improved Denoising Method
The method in this paper is as follows. The wavelet denoising method with different number of decomposition layers is used to denoise the simulated profile whose potential temperature gradient and noise variance are the same as the actual detected profile and the turbulence signal is variable. The number of decompositional layers corresponding to the recovered smallest turbulence signal is found by the Monte Carlo simulation, which is the optimal decomposition layer number. Then, the largest spurious turbulent signal caused by the residual noise signal of simulated profiles is taken as the threshold after denoising by the wavelet with the optimal decomposition layer number. Finally, the turbulence signal below the threshold is removed from the actual detection profile after the wavelet denoising. The specific steps are as follows.
When detecting the potential temperature profile , we can obtain the and according to formulas and , where and are the potential temperature over the height and , and is the noise standard deviation. The represents the atmosphere’s background environment and the represents the noise’s size. The potential temperature profile reconstructed by these two parameters can more accurately depict their comprehensive influence.
According to the , the simulated potential temperature profile without turbulence signal and noise signal is obtained
Then, following the methods of Wilson et al. (2010) and Piera et al. (2002), the potential temperature inversion in the shape of ‘Z’ is added to the middle of the potential temperature and the real turbulence signal is simulated [7,16]. Firstly, we set the size of the inversion S to 1 (, where is the thickness of the inversion) and obtain the potential temperature profile. Then, the Gaussian white noise with variance of is added to to obtain , which is used to simulate the noise profile interfered by the instrument noise. Then, the wavelet denoising with the decomposition layer number L = 1 is used to denoise the simulated profile, and is obtained. Then, we compare and to obtain and determine whether meet requirements, as Figure 1 shows. We define ‘requirements’ as
where and are, respectively, the inverted center height of and , and the is the inversion thickness of the . and are the inversion Thorpe scale of and .
Figure 1.
The profile corresponds to (a) the potential temperature profile , (b) the potential temperature profile , the potential temperature profile (c) and (d) the potential temperature profile .
In the Monte Carlo simulation, the previous process is repeated for n times (here, n is 100). If the turbulent signal Z = 1 can meet the requirements after denoising in more than 95% of tests, we believe that it can be recovered by L = 1. Otherwise, we make Z = Z + 1 and repeat the above steps until finding a turbulence signal that meets the requirements. Assuming the turbulent signal at Z = x can meet the denoising requirement, let = x. Then, the inverted Thorpe scale caused by noise is marked as , which remains after noise removal in each test when Z = x, and the average value in n experiments is recorded as . Let L = L + 1.
The steps (1), (2), and (3) are repeated, and we can achieve , , , and corresponding . At the same time, if we set L = 0, namely without denoising the data, the and corresponding value could be obtained.
The smallest value in , , , and its corresponding L is the optimal number of decomposition layers. Then, we use the L-layer wavelet to denoise the detection profile, and remove the noise signal whose Thorpe scale is smaller than in the de-noised profile, and the final denoising result is obtained.
These are the complete steps of the new method. We think there are four necessary parts: First, the Monte Carlo simulation is used due to the fact that we can only control the variance of noise in the experiment but cannot control the specific form of noise, so the repeated experiments can avoid the effect of noise’s randomness. Second, in the actual application process, due to the obvious changes of and at different heights, we can segment the detected profile, and then denoise each segment. Here, we will take every 1000 points as a segment. Third, , , represent the minimum turbulent signal that can be recovered by the wavelet denoising of each decomposition layer number, and their minimum represents the minimum turbulent signal that can be recovered by all decomposition layers. Therefore, we believe that the number of decomposition layers corresponding to their minimum values is the optimal. In other words, the real turbulent signal can be retained to the greatest extent in the process of denoising. Fourthly, since the wavelet denoising cannot completely remove noise, there will be some false inversions remaining, so we use the Monte Carlo simulation to estimate the maximum Thorpe scale caused by noise, which is taken as the threshold. Finally, it removes the false turbulence signals as much as possible by removing the inversions whose Thorpe scale is less than the threshold.
3. Results
In order to verify the effectiveness of the new wavelet denoising method, we will conduct three sets of simulated experiments and compare them with the method of Wilson et al. (2010) [7].
3.1. Simulated Experiment
In order to make our simulated experiment closer to the actual situation, Shanghai’s radiosonde data are used as the basic simulation profile. For easily calculating, only the first 8000 detection points are selected. First of all, we divided the data into four segments according to every 2000 points, and calculated the potential temperature profile of each segment (showed as Figure 2a), so as to obtain the and of each segment. Then, according to the simulated profiles (Figure 2b), we set the 100th, 300th, 500th, etc., point as the starting point, and added the 5, 10, 20, 30, … inversion to simulate the real turbulence signal (Figure 2c), and then the Gaussian white noise with variance equal to this segment was added to each segment (Figure 2d). After obtaining the simulated profile, we denoised the simulated profile using the first method and the second method, respectively. The profile after de-noising using the second method is shown in Figure 2e. It can be seen that the instrument noise has been significantly reduced after denoising.
Figure 2.
(a) Detected potential temperature profile (the panel is the local enlarged figure). (b) A potential temperature profile with the same gradient as (a) but without turbulence and noise signals. (c) A potential temperature profile added the turbulence signal to (b). (d) The Gaussian white noise is added to (c) with a variance equal to the noise’s variance. (e) The potential temperature profile processed by wavelet to (d).
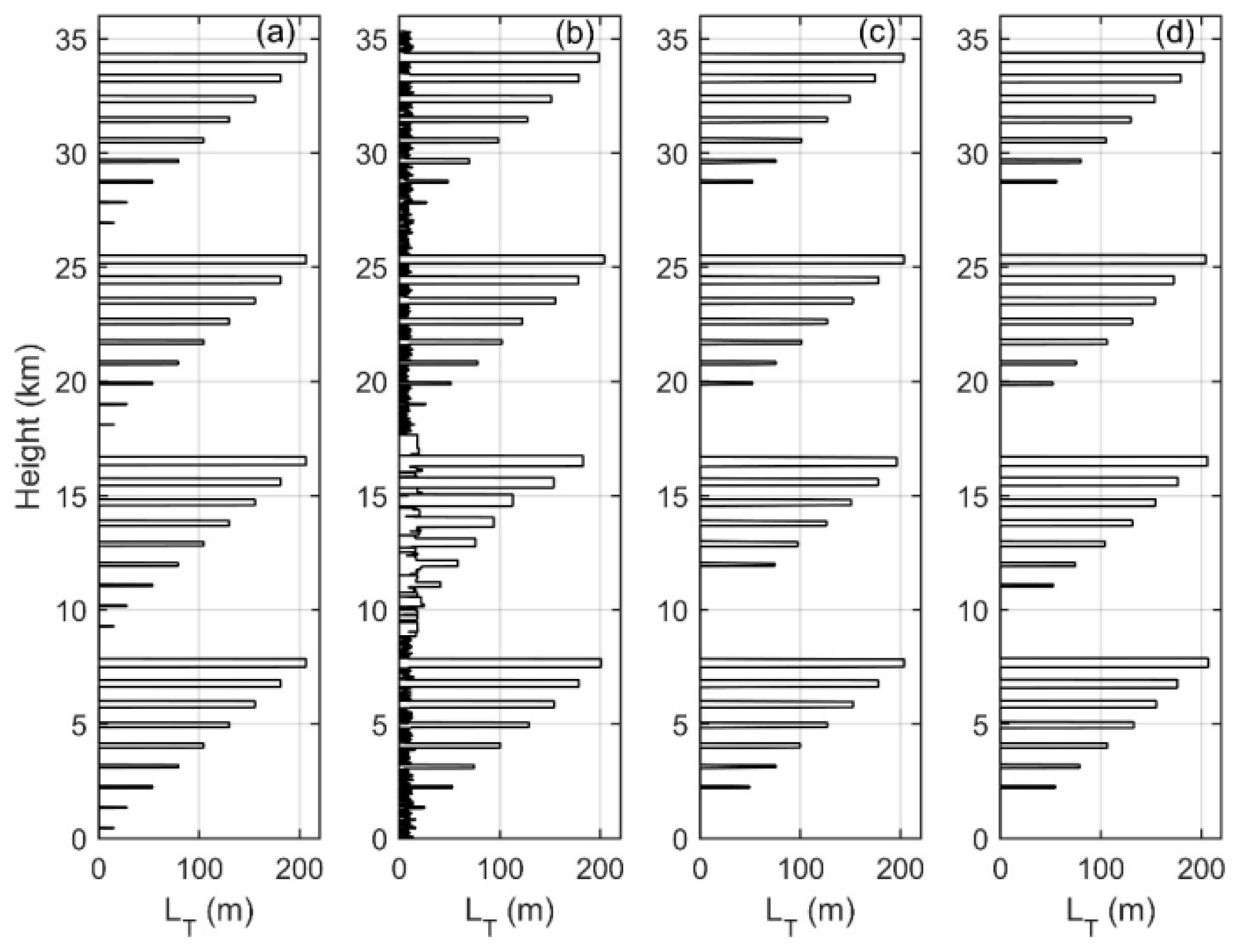
Figure 3 shows the vertical distribution of the Thorpe scales under different conditions. It can be seen that the denoising effect of the second method is better than that of the first method in each of the profiles. The second method not only could recover the smaller turbulence signal, but also obtain the Thorpe scale of turbulence which is closer to the real state. Both of these advantages are particularly evident in the second segment. In the second section, the second method can obtain six turbulent layers after denoising, in which the minimum turbulent layer is 78.36 m. However, the first method only obtains four turbulent layers, and the smallest turbulent layer is 123.6 m. Moreover, there is a big difference between the turbulent layer signal obtained by the first method and the real turbulence signal. For example, the difference of is 37.6 m and the difference in thickness is 0.11 km in the topmost turbulent layer obtained by the first methods in the second segment and the relative error is 18.2% and 31.4%, respectively. However, the difference resulting from the second method is only 2.4 m and 0.04 km, and the relative errors are 1.2% and 11.4%, respectively. The reason is that the first method is based on the assumption that the range of the potential temperature’s change caused by the noise is much smaller than that caused by turbulence. However, the assumption is only valid when the turbulence signal is much stronger than noise signal. When the intensity of the noise signal is close to or exceeds the intensity of the turbulence signal, the turbulence signal will be interfered with by the noise signal, even drowning the turbulent signal. Based on this, it is difficult to ensure that the assumption is valid, so that some smaller turbulent signals will be misjudged as noise signals and removed. At the same time, the first method can only determine whether a detected inversion is a turbulent layer. If an inversion is a real turbulent layer affected by noise, it is difficult to effectively remove the influence of noise using the first method, resulting in a large difference in and thickness between the real turbulent layer and obtained ones. According to the variance transfer formula, the noise will increase with the height, so the noise of the second segment is greater than that of the first one. Moreover, since the second segment is still below the tropopause, the potential temperature gradient does not increase significantly like the third and fourth segment. The two reasons above make the assumption difficult to be established; the first method is hardly ideal. Different from the first method, the second method could process the potential temperature profile according to the potential temperature’s gradient and noise variance and can remove the noise in the turbulent layer. Therefore, the second method could not only recover the smaller turbulence signals, but also have smaller deviations.
Figure 3.
The vertical distribution of Thorpe scales under different conditions. (a) is derived from the profile in Figure 1c and represents a true turbulence signal that is not affected by noise. (b) is obtained by the profile in Figure 1d, which is affected by noise. (c,d) are the vertical distribution of Thorpe scale after denoising by the first method and the second method, respectively.
In order to further verify our analysis, we conducted the second and third sets of simulated experiments based on the above experiment. The second set of experiments are similar to the first, except that the noise variance is set at 0.5. The results of denoising by the two methods are shown in Figure 4. It can be seen that after the noise variance is reduced by half, the impact of noise on detection becomes significantly smaller, and the assumption is more easily established. Therefore, the first method could also better recover the most turbulence signals. However, when we set the noise variance to 2 in the third set, the denoising effect of the first method is very unsatisfactory. It can be seen from Figure 5 that the method not only removes a lot of real turbulence signals but also retains signals that are very different from real signals. Then, we take the profile of the second segment as an example, where the two methods both retain five turbulent signals. Although the two turbulent signals at the bottom are retained after the processing of the first method, their thickness and Thorpe scale are obviously deviated from the real value. Meanwhile, the two larger turbulence signals are removed as noise. The relative errors of thickness and Thorpe scale are 80.0% and 7.1%, respectively, after the first method, while the relative errors after the second method are only 20.0% and 3.8%. The above results also appear in the other three segments of the profile. In contrast, although the denoising ability of the second method also decreases with the increase in noise, the overall effect is stable, and there is no case of removing large turbulence signals, in which the turbulence signals retained are closer to the real turbulence signals.
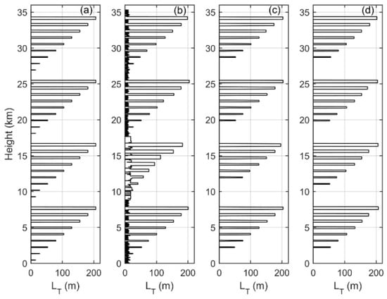
Figure 4.
The vertical distribution of Thorpe scales under different conditions. (a) is also derived from the profile in Figure 1c and represents a true turbulence signal that is not affected by noise. (b) is obtained by the profile in Figure 1d, which is affected by Gaussian white noise whose variance is only 0.5 times of the instrument noise variance. (c,d) are the vertical distribution of Thorpe scale after denoising by the first method and the second method, respectively.
Figure 5.
The vertical distribution of Thorpe scales under different conditions. (a) is also derived from the profile in Figure 1c and represents a true turbulence signal that is not affected by noise. (b) is obtained by the profile in Figure 1d, which is affected by Gaussian white noise whose variance is the twice of the instrument noise variance. (c,d) are the vertical distribution of Thorpe scale after denoising by the first method and the second method, respectively.
From the above results, it can be seen that with the increase in noise, the assumption will become difficult to be established, resulting in the weakened noise removal ability of the first method. However, the ability of the second method need not be constrained by this assumption. Therefore, although with the increase in noise, the turbulence signal recovered by the second method is constantly less, it is always more than that recovered by the first method. The turbulence signal recovered by the second method is also closer to the real signal. The denoising effect of the second method is more stable, and the more obvious turbulence signal is not removed as noise.
3.2. Verification of Actual Data
In order to further explore the denoising effect of the two methods, we respectively applied the methods to the radiosonde data in Shanghai (31.4°N, 121.45°E) on 15 September 2015, and the results are shown in Figure 6. Figure 6a is the vertical distribution of the Thorpe scale without denoising. Figure 6b is the denoising result of the first method. Figure 6c is the denoising result of the second method, and Figure 6d is the gradient profile of the Richardson number. It can be seen from Figure 6a that about 554 inversions are detected before denoising, with a total thickness of about 25.6 km, accounting for 71.1% of the entire detection height. In other words, the detection results without denoising were strongly disturbed by noise. However, after the first and second methods were applied, the number of inversions decreased significantly to 7 and 30, respectively. The total thickness is about 2.9 km and 6.4 km, accounting for 8.1% and 17.8% of the entire detection height, respectively. Below 9 km, the denoising effects of the two methods are basically the same. The main difference between the two methods is over 9 km. The thickness of the turbulence signal in Figure 6a is 1.1 km, which becomes 0.6 km by the first method, and further decreases to 0.2 km by the second method. The turbulence signal in Figure 6a is still a single inversion, although its thickness becomes smaller by the first method and becomes two inversions with smaller thickness by the second method. It is easily found that the first methods can not eliminate the influence of noise in real inversion by undersampling alone. At the same time, it can be seen from Figure 6d that the Ri at the turbulence altitude is less than 0, indicating that the atmosphere in this region is unstable, which is very conducive to the generation and development of turbulence. Therefore, it is found that the denoising effect of the second method is more credible. From Figure 6d, it can be seen that even in the stratosphere, there are many regions where Ri is less than 0.25 or even less than 0, so it is difficult to completely detect turbulence in the regions above 16 km. However, after the second method of denoising, many small-scale turbulent signals are retained, and these inversion regions have a good correspondence with the sections where Ri is less than 0.25. It also confirms that the denoising effect of the second method is better than that of the first method. It can be concluded that the first method and the second method display differences.
Figure 6.
(a) shows the profiles obtained from un-denoised radiosonde data in Shanghai. (b,c) are the profiles denoised by the first and second methods. (d) is the Ri profile from radiosonde data in Shanghai.
By comparing the variation range of potential temperature for denoising in the first method, the real turbulent layer will be mistaken as noise and removed when it is strongly interfered with by noise or even almost submerged by the noise. However, the wavelet denoising can identify and remove the noise from the detailed features, so that the second method can better separate the turbulence from the noise.
4. Discussion
In this paper, we propose a new denoising method which is suitable for Thorpe analysis. The new method is based on wavelet threshold denoising. According to the characteristics of the Thorpe analysis, the Monte Carlo simulation is used to determine the optimal number of wavelet decomposition layers. It consists of the following steps:
- (1)
- The potential temperature gradient and noise variance are obtained according to the detected potential temperature profile;
- (2)
- The Monte Carlo simulation with constant potential temperature gradient and noise variance, variable turbulence size and denoising layer number determines the optimal decomposition layer number L and its corresponding ;
- (3)
- The L layer’s wavelet denoising is used to process the detected potential temperature profile, and the inversion after denoising is removed where the Thorpe scale is less than .
In order to verify the validity, we respectively use our method and the original method to process the simulated profile and the actual profile. It is found that our method has two advantages. First, when an inversion contains both turbulent signal and noise signal, our method can remove the noise effect better than the original method and reduce the calculation error of the inversion thickness and Thorpe scale. Second, the original method is based on the range of the data
(potential density or temperature) within the inversion, which must significantly exceed the range of , a noise sample of similar size. If the noise signal is strong and the turbulence signal is weak, it is easy for this method to cause misjudgment and remove the real turbulence signal. However, the wavelet denoising is not bound by this assumption. Therefore, our method is more accurate.
The problem of our method is that due to the large amount of wavelet denoising calculation and the need for repeated tests to determine the optimal number of decomposition layers through the Monte Carlo simulation, a complete denoising process requires a long calculation time and cannot be used for the denoising of a large amount of detection data. In addition, if improved methods, such as translation invariant method, are used to increase the denoising ability of the wavelet denoising, the calculation amount will be further increased. Therefore, an important aspect is how to reduce computation cost.
Author Contributions
Conceptualization, Q.L. and Z.S.; methodology, Q.L. and P.G.; validation, Z.S.; writing—original draft preparation, Q.L.; writing—review and editing, Q.L. and P.G. All authors have read and agreed to the published version of the manuscript.
Funding
This research was funded by the National Natural Science Foundation of China, grant number 42305048 and the China Post-doctoral Science Foundation, grant number 2023M743654.
Data Availability Statement
The radiosonde data used for verification in the study are available at Integrated Global Radiosonde Archive via https://www1.ncdc.noaa.gov/pub/data/igra/data/data-por/, accessed on 15 December 2024.
Acknowledgments
Thanks to the editors and anonymous reviewers.
Conflicts of Interest
The authors declare no conflicts of interest.
References
- Theuerkauf, A.; Gerding, M.; Lübken, F.J. LITOS–A new balloon-borne instrument for fine-scale turbulence soundings in the stratosphere. Atmos. Meas. Tech. 2011, 4, 3455–3487. [Google Scholar] [CrossRef]
- Chellini, G.; Kneifel, S. Turbulence as a key driver of ice aggregation and riming in Arctic low-level mixed-phase clouds, revealed by long-term cloud radar observations. Geophys. Res. Lett. 2024, 51, e2023GL106599. [Google Scholar] [CrossRef]
- Thorpe, S.A. Turbulence and Mixing in a Scottish Loch. Philos. Trans. R. Soc. Lond. 1977, 286, 125–181. [Google Scholar] [CrossRef]
- Thorpe, S.A. The turbulent ocean. Eos Trans. Am. Geophys. Union 2005, 89, 547–548. [Google Scholar] [CrossRef]
- Zhang, J.; Zhang, S.D.; Huang, C.M.; Huang, K.M.; Gong, Y.; Gan, Q.; Zhang, Y.H. Statistical study of atmospheric turbulence by Thorpe analysis. J. Geophys. Res. Atmos. 2019, 124, 2897–2908. [Google Scholar] [CrossRef]
- Zhou, L.; Sheng, Z.; Liao, Q. Observations of turbulence in free atmosphere by balloon-borne sensors. Sensors 2018, 18, 3273. [Google Scholar] [CrossRef]
- Wilson, R.; Luce, H.; Dalaudier, F. Turbulence Patch Identification in Potential Density or Temperature Profiles. J. Atmos. Ocean. Technol. 2010, 27, 977–993. [Google Scholar] [CrossRef]
- Galbraith, P.S.; Kelley, D.E. Identifying Overturns in CTD Profiles. J. Atmos. Ocean. Technol. 1996, 13, 688–702. [Google Scholar] [CrossRef]
- Timmermans, M.L.; Garrett, C.; Carmack, E. The thermohaline structure and evolution of the deep waters in the Canada Basin. Arct. Ocean. Deep-Sea Res. Part I 2003, 50, 1305–1321. [Google Scholar] [CrossRef]
- Johnson, H.L.; Garrett, C. Effects of Noise on Thorpe Scales and Run Lengths. J. Phys. Oceanogr. 2004, 34, 2359–2372. [Google Scholar] [CrossRef]
- Gavrilov, N.M.; Luce, H.; Crochet, M.; Dalaudier, F.; Fukao, S. Turbulence parameter estimations from high-resolution balloon temperature measurements of the MUTSI-2000 campaign. Ann. Geophys. 2005, 3, 2401–2413. [Google Scholar] [CrossRef]
- Wilson, R.; Dalaudier, F.; Luce, H. Can one detect small-scale turbulence from standard meteorological radiosondes? Atmos. Meas. Tech. 2011, 4, 795–804. [Google Scholar] [CrossRef]
- Wilson, R.; Luce, H.; Hashiguchi, H.; Nishi, N.; Yabuki, Y. Energetics of persistent turbulent layers underneath mid-level clouds estimated from concurrent radar and radiosonde data. J. Atmos. Sol. -Terr. Phys. 2014, 118, 78–89. [Google Scholar] [CrossRef]
- Kantha, L.; Hocking, W. Dissipation rates of turbulence kinetic energy in the free atmosphere: MST radar and radiosondes. J. Atmos. Sol. -Terr. Phys. 2011, 73, 1043–1051. [Google Scholar] [CrossRef]
- Muhsin, M.; Sunilkumar, S.V.; Ratnam, M.V.; Parameswaran, K.; Murthy, B.K.; Ramkumar, G.; Rajeev, K. Diurnal variation of atmospheric stability and turbulence during different seasons in the troposphere and lower stratosphere derived from simultaneous radiosonde observations at two tropical stations, in the Indian Peninsula. Atmos. Res. 2016, 180, 12–23. [Google Scholar] [CrossRef]
- Piera, J.; Roget, E.; Catalan, J. Turbulent Patch Identification in Microstructure Profiles: A Method Based on Wavelet Denoising and Thorpe Displacement Analysis. J. Atmos. Ocean. Technol. 2002, 19, 1390–1402. [Google Scholar] [CrossRef]
- Bilinskis, I.; Mikelson, A.K. Randomized Signal Processing; Prentice-Hall, Inc.: New Jersey, NJ, USA, 1992. [Google Scholar]
- Donoho, D.L.; Johnstone, I.M.; Kerkyacharian, G.; Picard, D. Wavelet Shrinkage: Asymptopia? J. R. Stat. Soc. 1995, 57, 301–369. [Google Scholar] [CrossRef]
- Donoho, D.L. De-noising by soft-thresholding. IEEE Trans. Inf. Theory 1995, 41, 613–627. [Google Scholar] [CrossRef]
- Yang, K.; Shan, G.; Zhao, L. Application of Wavelet Packet Analysis and Probabilistic Neural Networks in Fault Diagnosis. In Proceedings of the 2006 6th World Congress on Intelligent Control and Automation, Dalian, China, 21–23 June 2006. [Google Scholar]
- Gençay, R.; Selçuk, F.; Whitcher, B.J. An Introduction to Wavelets and Other Filtering Methods in Finance and Economics; Elsevier: Amsterdam, The Netherlands, 2001. [Google Scholar]
- Aminghafari, M.; Cheze, N.; Poggi, J.M. Multivariate denoising using wavelets and principal component analysis. Comput. Stat. Data Anal. 2006, 50, 2381–2398. [Google Scholar] [CrossRef]
- Xu, J.; Osher, S. Iterative regularization and nonlinear inverse scale space applied to wavelet-based denoising. IEEE Trans. Image Process. 2007, 16, 534–544. [Google Scholar] [CrossRef]
- Birkhoff, G.; Lindley, D.V.; Varga, R.S.; Bahadur, R.R.; Billingsley, P.; Lions, J.L.; Penroff, H.; Durbin, J.; Rubinow, S.I.; Lax, P.D.; et al. CBMS-NSF regional conference series in applied mathematics. In Proceedings of the CBMS Workshop on Mathematical Epidemiology with Applications, Johnson City, TN, USA, 25–29 July 2013. [Google Scholar]
- Donoho, D.L.; Johnstone, J.M. Ideal spatial adaptation by wavelet shrinkage. Biometrika 1994, 81, 425–455. [Google Scholar] [CrossRef]
- Donoho, D.L. On minimum entropy segmentation. Wavelet Anal. Its Appl. 1994, 5, 233–269. [Google Scholar] [CrossRef]
- Wilson, R.; Luce, H.; Hashiguchi, H.; Shiotani, M.; Dalaudier, F. On the effect of moisture on the detection of tropospheric turbulence from in situ measurements. Atmos. Meas. Tech. 2013, 6, 697–702. [Google Scholar] [CrossRef]
- Fan, Z.Q.; Sheng, Z.; Wan, L.; Shi, H.Q.; Jiang, Y. Comprehensive assessment of the accuracy of the data from near space meteorological rocket sounding. Acta Phys. Sin. 2013, 62, 199601. [Google Scholar]
- Li, J.W.; Sheng, Z.; Fan, Z.Q.; Zhou, S.D.; Shi, W.L. Data Analysis of Upper Atmosphere Temperature Detected by Sounding Rockets in China. J. Atmos. Ocean. Technol. 2017, 34, 555–565. [Google Scholar] [CrossRef]
Disclaimer/Publisher’s Note: The statements, opinions and data contained in all publications are solely those of the individual author(s) and contributor(s) and not of MDPI and/or the editor(s). MDPI and/or the editor(s) disclaim responsibility for any injury to people or property resulting from any ideas, methods, instructions or products referred to in the content. |
© 2025 by the authors. Licensee MDPI, Basel, Switzerland. This article is an open access article distributed under the terms and conditions of the Creative Commons Attribution (CC BY) license (https://creativecommons.org/licenses/by/4.0/).





