Application of Ensemble Algorithm Based on the Feature-Oriented Mean in Tropical Cyclone-Related Precipitation Forecasting
Abstract
1. Introduction
- (1)
- Considering the spatial non-continuity of TC precipitation, can an FM algorithm be developed for TC precipitation fields, and how can it be effectively employed to regionally adjust precipitation fields, reducing deviations in TC precipitation locations among ensemble members?
- (2)
- To what extent can the FM method improve the forecast skill of TC ensemble mean precipitation compared to the traditional AM method? How does this improvement vary with the leading time of ensemble forecasts?
2. Methods and Experimental Data
2.1. Feature-Oriented Ensemble Mean (FM) Algorithm
2.2. Data
3. Experimental Design
4. Forecast Verification Methods
4.1. Traditional Point-to-Point Verification
4.2. Spatial Verification
5. Results
5.1. Adjustment of Precipitation Ensemble Forecast Fields via the Feature-Oriented Mean Method
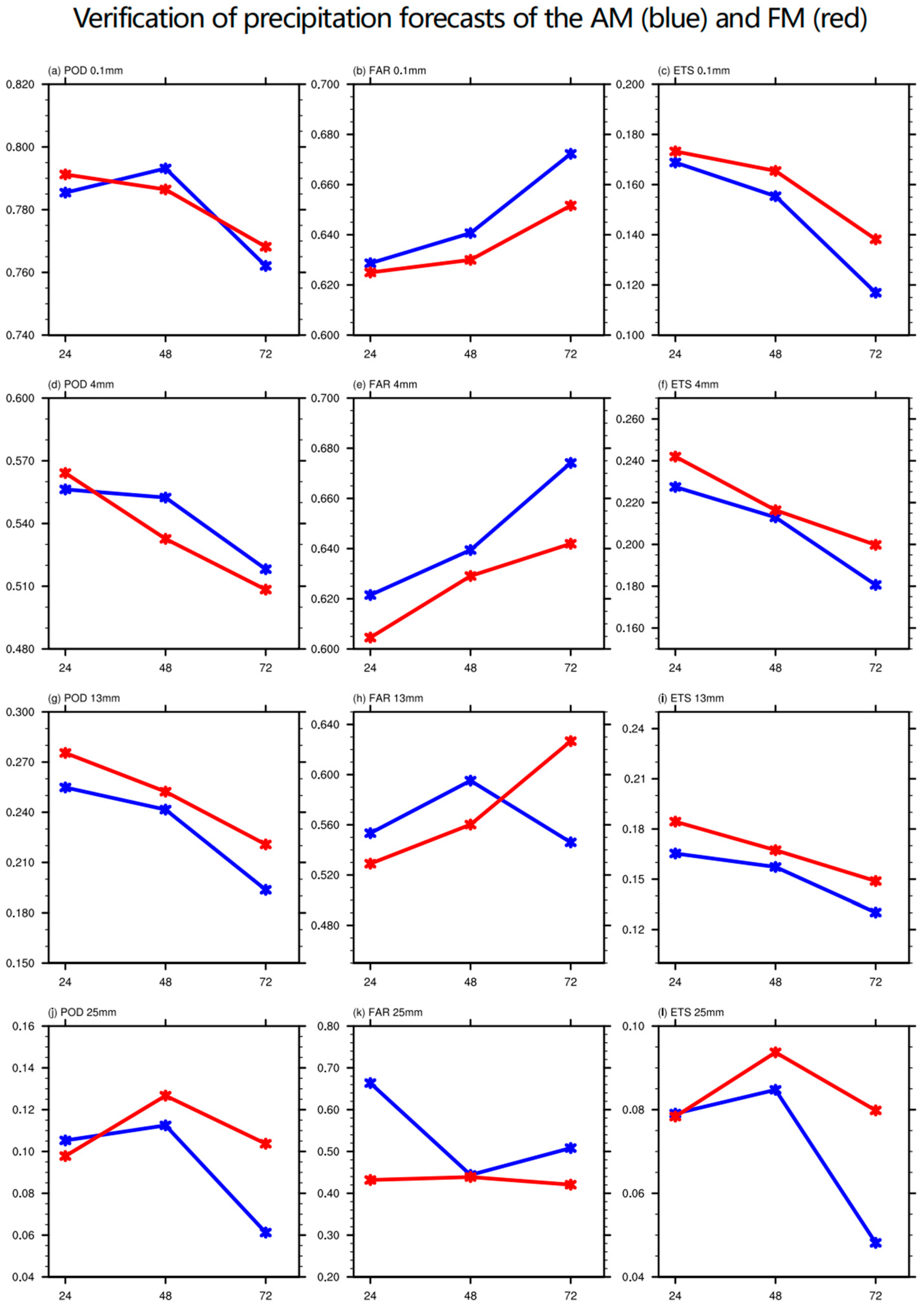
5.2. Evaluation of the Forecast Performance of the Feature-Oriented Mean Method
6. Conclusions and Discussion
Author Contributions
Funding
Data Availability Statement
Conflicts of Interest
References
- Chen, L.; Duan, Y.; Song, L.; Xu, Y. Typhoon Forecasting and Its Disasters; Meteorological Press: Beijing, China, 2012; pp. 151–152. [Google Scholar]
- Fan, Q.; Liang, B. Fuzzy mathematical evaluation of economic losses caused by tropical cyclone disasters. Meteorol. Sci. 2000, 20, 7. [Google Scholar]
- Raghavan, S.; Rajesh, S. Trends in tropical cyclone impact: A study in Andhra Pradesh India. Bull. Am. Meteorol. Soc. 2003, 84, 635–644. [Google Scholar] [CrossRef]
- Pielke RA, J.; Landsea, C.W. Normalized Hurricane Damages in the United States: 1925–95. Weather Forecast. 2008, 13, 621–631. [Google Scholar] [CrossRef]
- Peduzzi, P.; Chatenoux, B.; Dao, H.; De Bono, A.; Herold, C.; Kossin, J.; Mouton, F.; Nordbeck, O. Global trends in tropical cyclone risk. Nat. Clim. Chang. 2012, 2, 289–294. [Google Scholar] [CrossRef]
- Chenchen, D.; Ren, F.; Liu, Y.; McBride, J.L.; Feng, T. Improvement in the forecasting of heavy rainfall over south China in the DASAEF_LTP model by introducing the intensity of the tropical cyclone. Weather Forecast. 2020, 35, 1967–1980. [Google Scholar] [CrossRef]
- Zhou, X.; Zhu, Y.; Hou, D.; Fu, B.; Li, W.; Guan, H.; Sinsky, E.; Kolczynski, W.; Xue, X.; Luo, Y.; et al. The development of the NCEP global ensemble forecast system version 12. Weather Forecast. 2022, 37, 1069–1084. [Google Scholar] [CrossRef]
- Lu, D.; Ding, R.; Mao, J.; Zhong, Q.; Zou, Q. Comparison of different global ensemble prediction systems for tropical cyclone intensity forecasting. Atmos. Sci. Lett. 2024, 25, e1207. [Google Scholar] [CrossRef]
- Yamaguchi, M.; Nakazawa, T.; Hoshino, S. On the relative benefits of a multi-center grand ensemble for tropical cyclone track prediction in the western North Pacific. Q. J. R. Meteorol. Soc. 2012, 138, 2019–2029. [Google Scholar] [CrossRef]
- Yamaguchi, M.; Vitart, F.; Lang, S.T.K.; Magnusson, L.; Elsberry, R.L.; Elliott, G.; Kyouda, M.; Nakazawa, T. Global distribution of the skill of tropical cyclone activity forecasts on short- to medium-range time scales. Weather Forecast. 2015, 30, 1695–1709. [Google Scholar] [CrossRef]
- Melhauser, C.; Zhang, F.; Weng, Y.; Jin, Y.; Jin, H.; Zhao, Q. A multiple-model convection-permitting ensemble examination of the probabilistic prediction of tropical cyclones: Hurricanes Sandy (2012) and Edouard (2014). Weather Forecast. 2017, 32, 665–688. [Google Scholar] [CrossRef]
- Feng, J.; Zhang, J.; Toth, Z.; Peña, M.; Ravela, S. A new measure of ensemble central tendency. Weather Forecast. 2020, 35, 879–889. [Google Scholar] [CrossRef]
- Li, J.; Zhang, Z.; Liu, L.; Zhang, X.; Qu, J.; Wan, Q. The simulation of five tropical cyclones by sample optimization of ensemble forecasting based on the observed track and intensity. Adv. Atmos. Sci. 2021, 38, 1763–1777. [Google Scholar] [CrossRef]
- Liu, Q.; Lord, S.; Surgi, N.; Zhu, Y.; Wobus, R.; Toth, Z.; Marchok, T. Hurricane relocation in global ensemble forecast system. Monterey: 27th Conf on Hurricanes and Tropical Meteorology. Am. Meteorol. Soc. 2006, 5, 13. [Google Scholar]
- Liu, Q.; Zhang, X.; Tong, M.; Zhang, Z.; Liu, B.; Wang, W.; Zhu, L.; Zhang, B.; Xu, X.; Trahan, S.; et al. Vortex initialization in the NCEP operational hurricane models. Atmosphere 2020, 11, 968. [Google Scholar] [CrossRef]
- Tallapragada, V.; Bernardet, L.; Biswas, M.; Ginis, I.; Kwon, Y.; Liu, Q.; Marchok, T.; Sheinin, D.; Thomas, B.; Tong, M.; et al. Hurricane Weather Research and Forecasting (HWRF) Model: 2015 Scientific Documentation; Report No. NCAR/TN-522+STR; Developmental Testbed Center: Boulder, CO, USA, 2015. [Google Scholar]
- Lu, X.; Wang, X.; Li, Y.; Tong, M.; Ma, X. GSI-based ensemble-variational hybrid data assimilation for HWRF for hurricane initialization and prediction: Impact of various error covariances for airborne radar observation assimilation. Q. J. R. Meteorol. Soc. 2016, 143, 223–239. [Google Scholar] [CrossRef]
- Feng, J.; Wang, X.G. Impact of assimilating upper level dropsonde observations collected during the TCI field campaign on the prediction of intensity and structure of Hurricane Patricia (2015). Mon. Weather. Rev. 2019, 147, 3069–3089. [Google Scholar] [CrossRef]
- Ravela, S. Two extensions of data assimilation by field alignment. In Proceedings of the 7th International Conference on Computational Science—ICCS 2007, Beijing, China, 27–30 May 2007; pp. 1147–1154. [Google Scholar]
- Shahi, N.K.; Polcher, J.; Bastin, S.; Pennel, R.; Fita, L. Assessment of the spatio-temporal variability of the added value on precipitation of convection-permitting simulation over the Iberian Peninsula using the RegIPSL regional earth system model. Clim. Dyn. 2022, 59, 471–498. [Google Scholar] [CrossRef]
- Johnson, A.; Wang, X. Object-based evaluation of a storm-scale ensemble during the 2009 NOAA Hazardous Weather Testbed Spring Experiment. Mon. Weather. Rev. 2013, 141, 1079–1098. [Google Scholar] [CrossRef]













| International Number | Name | Intensity | First Landfall in China | Model Forecast Time (UTC) | ||
|---|---|---|---|---|---|---|
| Landfall Time (BJT) | Landfall Time (UTC) | Landfall Location | ||||
| 1904 | Mun | Tropical storm | 00:45 on 3 July | 18:00 on 2 July | Wanning City, Hainan Province | 00:00 on 2 July (24 h); 00:00 on 1 July (48 h); 00:00 on 30 June (72 h) |
| 1907 | Wipha | Tropical storm | 02:15 on 1 August | 18:00 on 31 July | Wenchang City, Hainan Province | 00:00 on 31 July (24 h); 00:00 on 30 July (48 h); 00:00 on 29 July (72 h) |
| 1909 | Lekima | Super typhoon | 01:45 on 10 August | 18:00 on 9 August | Wenling City, Zhejiang Province | 00:00 on 9 August (24 h); 00:00 on 8 August (48 h); 00:00 on 7 August (72 h) |
| 1911 | Bailu | Severe tropical storm | 13:00 on 24 August | 06:00 on 24 August | Pingtung County, Taiwan Province | 12:00 on 23 August (24 h); 12:00 on 22 August (48 h); 12:00 on 21 August (72 h) |
| 1914 | Kajiki | Tropical storm | 10:40 on 2 September | 00:00 on 2 September | Wanning City, Hainan Province | 06:00 on 1 September (24 h); 06:00 on 31 August (48 h); 06:00 on 30 August (72 h) |
| 1918 | Mitag | Typhoon | 20:20 on 1 October | 12:00 on 1 October | Zhoushan City, Zhejiang Province | 18:00 on 30 September (24 h); 18:00 on 29 September (48 h); 18:00 on 28 September (72 h) |
| International Number | Name | Intensity | First Landfall in China | Model Forecast Time (UTC) | ||
|---|---|---|---|---|---|---|
| Landfall Time (BJT) | Landfall Time (UTC) | Landfall Location | ||||
| 2002 | Nuri | Tropical storm | 08:50 on 14 June | 06:00 on 14 June | Hailing Island, Guangdong Province | 12:00 on 13 June (24 h); 12:00 on 12 June (48 h); 12:00 on 11 June (72 h) |
| 2003 | Sinlaku | Tropical storm | 07:15 on 1 August | 00:00 on 1 August | Wanning City, Hainan Province | 06:00 on 31 July (24 h); 06:00 on 30 July (48 h); 06:00 on 29 July (72 h) |
| 2004 | Hagupit | Strong typhoon | 03:30 on 4 August | 00:00 on 4 August | Leqing City, Zhejiang Province | 06:00 on 3 August (24 h); 06:00 on 2 August (48 h); 06:00 on 1 August (72 h) |
| 2006 | Mekkhala | Typhoon | 07:30 on 11 August | 00:00 on 11 August | Zhangpu County, Fujian Province | 06:00 on 10 August (24 h); 06:00 on 9 August (48 h); 06:00 on 8 August (72 h) |
| 2007 | Higos | Typhoon | 05:50 on 19 August | 00:00 on 19 August | Zhuhai City, Guangdong Province | 06:00 on 18 August (24 h); 06:00 on 17 August (48 h); 06:00 on 16 August (72 h) |
| 2016 | Nangka | Severe tropical storm | 19:35 on 13 October | 12:00 on 13 October | Qionghai City, Hainan Province | 18:00 on 12 October (24 h); 18:00 on 11 October (48 h); 18:00 on 10 October (72 h) |
| International Number | Name | Intensity | First Landfall in China | Model Forecast Time (UTC) | ||
|---|---|---|---|---|---|---|
| Landfall Time (BJT) | Landfall Time (UTC) | Landfall Location | ||||
| 2104 | Koguma | Tropical storm | 09:45 on 12 June | 06:00 on 12 June | Lingshui City, Hainan Province | 12:00 on 11 June (24 h); 12:00 on 10 June (48 h); 12:00 on 9 June (72 h) |
| 2106 | In-fa | Strong typhoon | 12:30 on 25 July | 06:00 on 25 July | Zhoushan City, Zhejiang Province | 12:00 on 24 July (24 h); 12:00 on 23 July (48 h); 12:00 on 2 July (72 h) |
| 2107 | Cempaka | Typhoon | 21:50 on 20 July | 18:00 on 20 July | Yangjiang City, Guangdong Province | 00:00 on 20 July (24 h); 00:00 on 19 July (48 h); 00:00 on 18 July (72 h) |
| 2109 | Lupit | Tropical storm | 11:20 on 5 August | 06:00 on 5 August | Shantou City, Guangdong Province | 12:00 on 4 August (24 h); 12:00 on 3 August (48 h); 12:00 on 2 August (72 h) |
| 2117 | Lionrock | Tropical storm | 22:40 on 8 October | 18:00 on 8 October | Qionghai City, Hainan Province | 00:00 on 8 October (24 h); 00:00 on 7 October (48 h); 00:00 on 6 October (72 h) |
| 2118 | Kompasu | Typhoon | 15:20 on 13 October | 12:00 on 13 October | Qionghai City, Hainan Province | 18:00 on 12 October (24 h); 18:00 on 11 October (48 h); 18:00 on 10 October (72 h) |
| Forecasts | |||
|---|---|---|---|
| Positive | Negative | ||
| Observations | Positive | (correct forecasts) | (false alarms) |
| Negative | (missing alarms) | (correct rejections) | |
Disclaimer/Publisher’s Note: The statements, opinions and data contained in all publications are solely those of the individual author(s) and contributor(s) and not of MDPI and/or the editor(s). MDPI and/or the editor(s) disclaim responsibility for any injury to people or property resulting from any ideas, methods, instructions or products referred to in the content. |
© 2024 by the authors. Licensee MDPI, Basel, Switzerland. This article is an open access article distributed under the terms and conditions of the Creative Commons Attribution (CC BY) license (https://creativecommons.org/licenses/by/4.0/).
Share and Cite
Zhang, J.; Li, H. Application of Ensemble Algorithm Based on the Feature-Oriented Mean in Tropical Cyclone-Related Precipitation Forecasting. Remote Sens. 2024, 16, 1596. https://doi.org/10.3390/rs16091596
Zhang J, Li H. Application of Ensemble Algorithm Based on the Feature-Oriented Mean in Tropical Cyclone-Related Precipitation Forecasting. Remote Sensing. 2024; 16(9):1596. https://doi.org/10.3390/rs16091596
Chicago/Turabian StyleZhang, Jing, and Hong Li. 2024. "Application of Ensemble Algorithm Based on the Feature-Oriented Mean in Tropical Cyclone-Related Precipitation Forecasting" Remote Sensing 16, no. 9: 1596. https://doi.org/10.3390/rs16091596
APA StyleZhang, J., & Li, H. (2024). Application of Ensemble Algorithm Based on the Feature-Oriented Mean in Tropical Cyclone-Related Precipitation Forecasting. Remote Sensing, 16(9), 1596. https://doi.org/10.3390/rs16091596
