Influence of Assimilation of NEXRAD-Derived 2D Inner-Core Structure Data from Single Radar on Numerical Simulations of Hurricane Charley (2004) near Its Landfall
Abstract
1. Introduction
2. Materials and Methods
2.1. A Brief Overview of Hurricane Charley (2004)
2.2. Doppler Radar Data
2.3. Experiment Design
3. Results
3.1. Hurricane Track and Intensity Forecasts
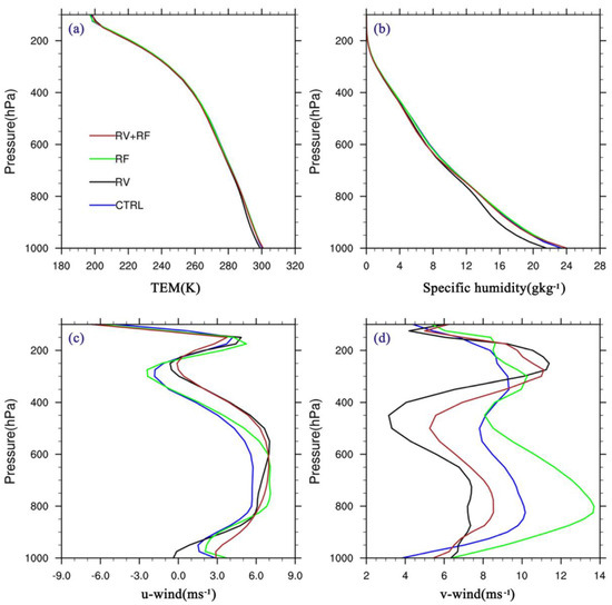
3.2. Hurricane Structures
3.3. Precipitation Forecasts
4. Discussion
Author Contributions
Funding
Data Availability Statement
Acknowledgments
Conflicts of Interest
References
- Pu, Z.; Li, X.; Sun, J. Impact of airborne Doppler radar data assimilation on the numerical simulation of intensity changes of Hurricane Dennis near a landfall. J. Atmos. Sci. 2009, 66, 3351–3365. [Google Scholar] [CrossRef]
- Zhao, K.; Xue, M. Assimilation of coastal Doppler radar data with the ARPS 3DVAR and cloud analysis for the prediction of Hurricane Ike (2008). Geophys. Res. Lett. 2009, 36, 12. [Google Scholar] [CrossRef]
- Zhang, F.; Weng, Y.; Gamache, J.-F.; Marks, F.D. Performance of convection-permitting hurricane initialization and prediction during 2008–2010 with ensemble data assimilation of inner-core airborne Doppler radar observations. Geophys. Res. Lett. 2011, 38, L15810. [Google Scholar] [CrossRef]
- Joo, S.; Eyre, J.; Marriott, R. The impact of MetOp and other satellite data within the Met Office global NWP system using an adjoint-based sensitivity method. Mon. Weather Rev. 2013, 141, 3331–3342. [Google Scholar] [CrossRef]
- Zhu, T.; Boukabara, S.A.; Garrett, K. Comparing Impacts of Satellite Data Assimilation and Lateral Boundary Conditions on Regional Model Forecasting: A Case Study of Hurricane Sandy (2012). Weather Forecast. 2017, 32, 595–608. [Google Scholar] [CrossRef]
- Rogers, R.F.; Black, M.L.; Chen, S.; Black, R.A. An evaluation of microphysics fields from mesoscale model simulations of tropical cyclones. Part I: Comparisons with observations. J. Atmos. Sci. 2007, 64, 1811–1834. [Google Scholar] [CrossRef][Green Version]
- Kossin, J.P.; Eastin, M.D. Two distinct regimes in the kinematic and thermodynamic structure of the hurricane eye and eyewall. J. Atmos. Sci. 2001, 58, 1079–1090. [Google Scholar] [CrossRef]
- Houze, R.A.; Chen, S.; Lee, W.-C.; Rogers, R.F.; Moore, J.A.; Stossmeister, G.J.; Bell, M.M.; Cetrone, J.; Zhao, W.; Brodzik, S.R. The Hurricane Rainband and Intensity Change Experiment: Observations and modeling of Hurricanes Katrina, Ophelia, and Rita. Bull. Amer. Meteor. Soc. 2006, 87, 1503–1521. [Google Scholar] [CrossRef]
- Pu, Z.; Li, X.; Zipser, E.J. Diagnosis of the initial and forecast errors in the numerical simulation of the rapid intensification of Hurricane Emily (2005). Weather Forecast. 2009, 24, 1236–1251. [Google Scholar] [CrossRef][Green Version]
- Zhang, L.; Pu, Z.; Lee, W.-C.; Zhao, Q. The influence of airborne Doppler radar data quality on numerical simulations of a tropical cyclone. Weather Forecast. 2012, 27, 231–239. [Google Scholar] [CrossRef]
- Pu, Z.; Li, X.; Velden, C.; Aberson, S.; Liu, W. Impact of aircraft dropsonde and satellite wind data on the numerical simulation of two landfalling tropical storms during TCSP. Weather Forecast. 2008, 23, 62–79. [Google Scholar] [CrossRef][Green Version]
- Weng, Y.; Zhang, F. Assimilating airborne Doppler radar observations with an ensemble Kalman filter for convection-permitting hurricane initialization and prediction: Katrina (2005). Mon. Weather Rev. 2012, 140, 841–859. [Google Scholar] [CrossRef]
- Reasor, P.D.; Montgomery, M.T.; Marks, F.D.; Gamache, J.F. Low-wavenumber structure and evolution of the hurricane inner core observed by airborne dual-Doppler radar. Mon. Weather Rev. 2000, 128, 1653–1680. [Google Scholar] [CrossRef]
- Zhao, Q.; Jin, Y. High-resolution radar data assimilation for Hurricane Isabel (2003) at landfall. Bull. Amer. Meteor. Soc. 2008, 89, 1355–1372. [Google Scholar] [CrossRef]
- Murillo, S.T.; Lee, W.-C.; Bell, M.M.; Marks, F.D.; Dodge, P.P.; Barnes, G.M. Intercomparison of GBVTD-retrieved circulation centers and structures of Hurricane Danny (1997) from two coastal WSR-88Ds. Mon. Weather Rev. 2011, 139, 153–174. [Google Scholar] [CrossRef][Green Version]
- Zhang, F.; Weng, Y. Predicting hurricane intensity and associated hazards: A five-year real-time forecast experiment with assimilation of airborne Doppler radar observations. Bull. Amer. Meteor. Soc. 2015, 96, 25–33. [Google Scholar] [CrossRef]
- Xiao, Q.; Zhang, X.; Davis, C.; Tuttle, J.; Holland, G.; Fitzpatrick, P.J. Experiments of hurricane initialization with airborne Doppler radar data for the Advanced Research Hurricane WRF (AHW) model. Mon. Weather Rev. 2009, 137, 2758–2777. [Google Scholar] [CrossRef]
- Li, Z.; Pu, Z.; Sun, J.; Lee, W.-C. Impacts of 4DVAR assimilation of airborne Doppler radar observations on numerical simulations of the genesis of Typhoon Nuri (2008). J. Appl. Meteor. Climatol. 2014, 53, 2325–2343. [Google Scholar] [CrossRef]
- Lee, W.-C.; Jou, J.-D.; Chang, P.-L.; Deng, S.-M. Tropical cyclone kinematic structure retrieved from single Doppler radar observations. part I: Interpretation of Doppler velocity patterns and the GBVTD technique. Mon. Weather Rev. 1999, 127, 2419–2439. [Google Scholar] [CrossRef]
- Zhao, K.; Xue, M.; Lee, W.-C. Assimilation of GBVTD-retrieved winds from single-Doppler radar for short-term forecasting of super typhoon Saomai (0608) at landfall. Q. J. R. Meteorol. Soc. 2012, 138, 1055–1071. [Google Scholar] [CrossRef]
- Lee, W.-C.; Bell, M.M. Rapid intensification, eyewall contraction, and breakdown of Hurricane Charley (2004) near landfall. Geophys. Res. Lett. 2007, 34, 2. [Google Scholar] [CrossRef]
- Landsea, C.; Franklin, J. Atlantic Hurricane Database Uncertainty and Presentation of a New Database Format. Mon. Weather Rev. 2013, 141, 3576–3592. [Google Scholar] [CrossRef]
- Oye, R.; Mueller, C.; Smith, C. Software for radar data translation, visualization, editing, and interpolation. In Proceedings of the 27th Conference on Radar Meteorology, Vail, CO, USA, 9–13 October 1995; pp. 359–361. [Google Scholar]
- Brewster, K.; Hu, M.; Xue, M.; Gao, J. Efficient assimilation of radar data at high resolution for short-range numerical weather prediction. In Proceedings of the World Weather Research Program Symposium on Nowcasting Very Short Range Forecasting, Toulouse, Tolouse, France, 5–9 September 2005; Volume 3. [Google Scholar]
- Skamarock, W.C.; Klemp, J.B.; Dudhia, J.; Gill, D.O.; Barker, D.; Duda, M.G.; Huang, X.-Y.; Wang, W.; Powers, J.G. A Description of the Advanced Research WRF Version 3 (No. NCAR/TN-475+STR); University Corporation for Atmospheric Research: Boulder, CO, USA, 2008. [Google Scholar] [CrossRef]
- Huang, X.-Y.; Xiao, Q.; Barker, D.M.; Zhang, X.; Michalakes, J.; Huang, W.; Henderson, T.; Bray, J.; Chen, Y.; Ma, Z.; et al. Four-dimensional variational data assimilation for WRF: Formulation and preliminary results. Mon. Weather Rev. 2009, 137, 299–314. [Google Scholar] [CrossRef]
- Barker, D.M.; Lee, M.S.; Guo, Y.-R.; Huang, W.; Huang, H.; Kuo, Y.-H.; Rizvi, S.; Xiao, Q. WRF-Var—A unified 3/4DVAR variational data assimilation system for WRF. In Proceedings of the Sixth WRF/15th MM5 Users’ Workshop, Boulder, CO, USA, 1 January 2005; p. 17. [Google Scholar]
- Sun, J.; Wang, H. Radar data assimilation with WRF 4DVAR. Part II: Comparison with 3DVAR for a squall line over the U.S. Great Plains. Mon. Weather Rev. 2013, 141, 2245–2264. [Google Scholar] [CrossRef]
- Liu, Y.; Zhuo, L.; Han, D. Developing spin-up time framework for WRF extreme precipitation simulations. J. Hydrol. 2023, 620, 129443. Available online: https://www.sciencedirect.com/science/article/pii/S0022169423003852 (accessed on 19 February 2024). [CrossRef]
- Powell, M.D.; Houston, S.H.; Amat, L.R.; Morisseau-Leroy, N. The HRD real-time hurricane wind analysis system. J. Wind Eng. Ind. Aerodyn. 1998, 77–78, 53–64. [Google Scholar] [CrossRef]
- Powell, M.D. Changes in the low-level kinematic and thermodynamic structure of Hurricane Alicia at landfall. Mon. Weather Rev. 1987, 115, 75–99. [Google Scholar] [CrossRef]
- Pu, Z.; Zhang, L. Validation of AIRS temperature and moisture profiles over tropical oceans and their impact on numerical simulations of tropical cyclones. J. Geophys. Res. 2010, 115, D24114. [Google Scholar] [CrossRef]
- Lin, Y.; Mitchell, K.E. 1.2 the NCEP stage II/IV hourly precipitation analyses: Development and applications. In Proceedings of the 19th Conference on Hydrology, American Meteorological Society, San Diego, CA, USA, 9–13 January 2005. [Google Scholar]
- Hou, D.; Charles, M.; Luo, Y.; Toth, Z.; Zhu, Y.; Krzysztofowicz, R.; Lin, Y.; Xie, P.; Seo, D.-J.; Pena, M.; et al. Climatology-calibrated precipitation analysis at fine scales: Statistical adjustment of stage IV toward CPC gauge-based analysis. J. Hydrometeor. 2014, 15, 2542–2557. [Google Scholar] [CrossRef]
- Davis, C.; Wang, W.; Chen, S.S.; Chen, Y.; Corbosiero, K.; DeMaria, M.; Dudhia, J.; Holland, G.; Klemp, J.; Michalakes, J.; et al. Prediction of landfalling hurricanes with the Advanced Hurricane WRF Model. Mon. Weather Rev. 2008, 136, 1990–2005. [Google Scholar] [CrossRef]
- Fovell, R.G.; Corbosiero, K.L.; Kuo, H.-C. Cloud microphysics impact on hurricane track as revealed in idealized experiments. J. Atmos. Sci. 2009, 66, 1764–1778. [Google Scholar] [CrossRef]












| Time | Latitude (°) | Longitude (°) | Maximum Wind Speed (WS) (ms−1) | Minimum Sea-Level Pressure (SLP) (hPa) |
|---|---|---|---|---|
| 12:00 UTC on 13 August | 24.4 | −82.9 | 48.83 | 969 |
| 18:00 UTC on 13 August | 26.1 | −82.4 | 64.25 | 947 |
| 00:00 UTC on 14 August | 28.1 | −81.6 | 38.55 | 970 |
| 06:00 UTC on 14 August | 30.1 | −80.8 | 38.55 | 993 |
| Physical Processes | Parameterization Schemes |
|---|---|
| Microphysics | WRF Single-Moment 6-class |
| Surface layer | Unified Noah Land Surface Model |
| Land surface | Revised MM5 Monin-Obukhov |
| Planetary boundary layer | Yonsei University |
| Longwave radiation | Rapid Radiative Transfer Model |
| Shortwave radiation | Dudhia |
| Cumulus | Tiedtke |
| Experiments | Description |
|---|---|
| CTRL | Control simulation without radar data assimilation |
| RV | Assimilation of radar radial velocity |
| RF | Assimilation of radar reflectivity |
| RV + RF | Assimilation of radar radial velocity and reflectivity |
| Precipitation (mm) | CTRL | RV | RF | RV + RF |
|---|---|---|---|---|
| 0~0.01 | 7.77 | 6.83 | 7.21 | 7.31 |
| 0.01~0.1 | 12.41 | 9.09 | 10.78 | 9.46 |
| 0.1~1 | 7.56 | 4.13 | 7.90 | 5.04 |
| 1~10 | 14.58 | 3.83 | 12.52 | 7.19 |
| 10~100 | 13.82 | 16.43 | 13.63 | 14.80 |
| 100~1000 | 0.66 | 0.20 | 0.25 | 0.18 |
| Averaged | 9.47 | 6.75 | 8.72 | 7.33 |
Disclaimer/Publisher’s Note: The statements, opinions and data contained in all publications are solely those of the individual author(s) and contributor(s) and not of MDPI and/or the editor(s). MDPI and/or the editor(s) disclaim responsibility for any injury to people or property resulting from any ideas, methods, instructions or products referred to in the content. |
© 2024 by the authors. Licensee MDPI, Basel, Switzerland. This article is an open access article distributed under the terms and conditions of the Creative Commons Attribution (CC BY) license (https://creativecommons.org/licenses/by/4.0/).
Share and Cite
Liu, J.; Pu, Z.; Lee, W.-C.; Gao, Z. Influence of Assimilation of NEXRAD-Derived 2D Inner-Core Structure Data from Single Radar on Numerical Simulations of Hurricane Charley (2004) near Its Landfall. Remote Sens. 2024, 16, 1351. https://doi.org/10.3390/rs16081351
Liu J, Pu Z, Lee W-C, Gao Z. Influence of Assimilation of NEXRAD-Derived 2D Inner-Core Structure Data from Single Radar on Numerical Simulations of Hurricane Charley (2004) near Its Landfall. Remote Sensing. 2024; 16(8):1351. https://doi.org/10.3390/rs16081351
Chicago/Turabian StyleLiu, Junkai, Zhaoxia Pu, Wen-Chau Lee, and Zhiqiu Gao. 2024. "Influence of Assimilation of NEXRAD-Derived 2D Inner-Core Structure Data from Single Radar on Numerical Simulations of Hurricane Charley (2004) near Its Landfall" Remote Sensing 16, no. 8: 1351. https://doi.org/10.3390/rs16081351
APA StyleLiu, J., Pu, Z., Lee, W.-C., & Gao, Z. (2024). Influence of Assimilation of NEXRAD-Derived 2D Inner-Core Structure Data from Single Radar on Numerical Simulations of Hurricane Charley (2004) near Its Landfall. Remote Sensing, 16(8), 1351. https://doi.org/10.3390/rs16081351

