Precipitation Estimation Using FY-4B/AGRI Satellite Data Based on Random Forest
Abstract
1. Introduction
2. Materials and Methods
2.1. Materials
2.1.1. FY-4B/AGRI Level1 Data
2.1.2. GPM IMERG Product
2.1.3. FY-4B/AGRI Operational Precipitation Product
2.1.4. Topographic Data
2.1.5. Land Cover Type Data
2.2. Data Pre-Processing
2.3. Methods
2.3.1. Overall Technical Route
2.3.2. Random Forest
2.3.3. Selection of Feature Variables
2.3.4. Model Tuning and Testing
3. Results
3.1. Precipitation Identification Model
3.2. Precipitation Estimation Model
3.3. Comparision with Ground Rain Gauge Data
4. Discussion
5. Conclusions
- (1)
- Compared with the FY-4B/AGRI operational precipitation product, the retrieval model is better able to identify precipitation and better able to capture precipitation areas of light rain, moderate rain, heavy rain and torrential rain. During the day, the POD score increased from 0.328 to 0.680, the CSI score increased from 0.284 to 0.477 and the ETS score increased from 0.252 to 0.432. At night, the POD score increased from 0.337 to 0.639, the CSI score increased from 0.277 to 0.421 and the ETS score increased from 0.239 to 0.369.
- (2)
- The precipitation estimation accuracy of the retrieval model is higher than that of the FY-4B/AGRI operational precipitation product, in which the accuracy of the day model increased by 38.98% and that of the night model by 40.85%. Moreover, the retrieval error of the model increases with the increase in precipitation level. For light rain, both the model and operational product overestimate the amount of precipitation. For moderate rain, the day model underestimates the amount of precipitation, while the day product, the night model and the night product overestimate the amount of precipitation. And it is worth mentioning that the BIAS score of moderate rain is quite small. For heavy rain and torrential rain, both the model and product underestimate the amount of precipitation on the whole, and the degree of underestimation increases with the increase in precipitation level.
- (3)
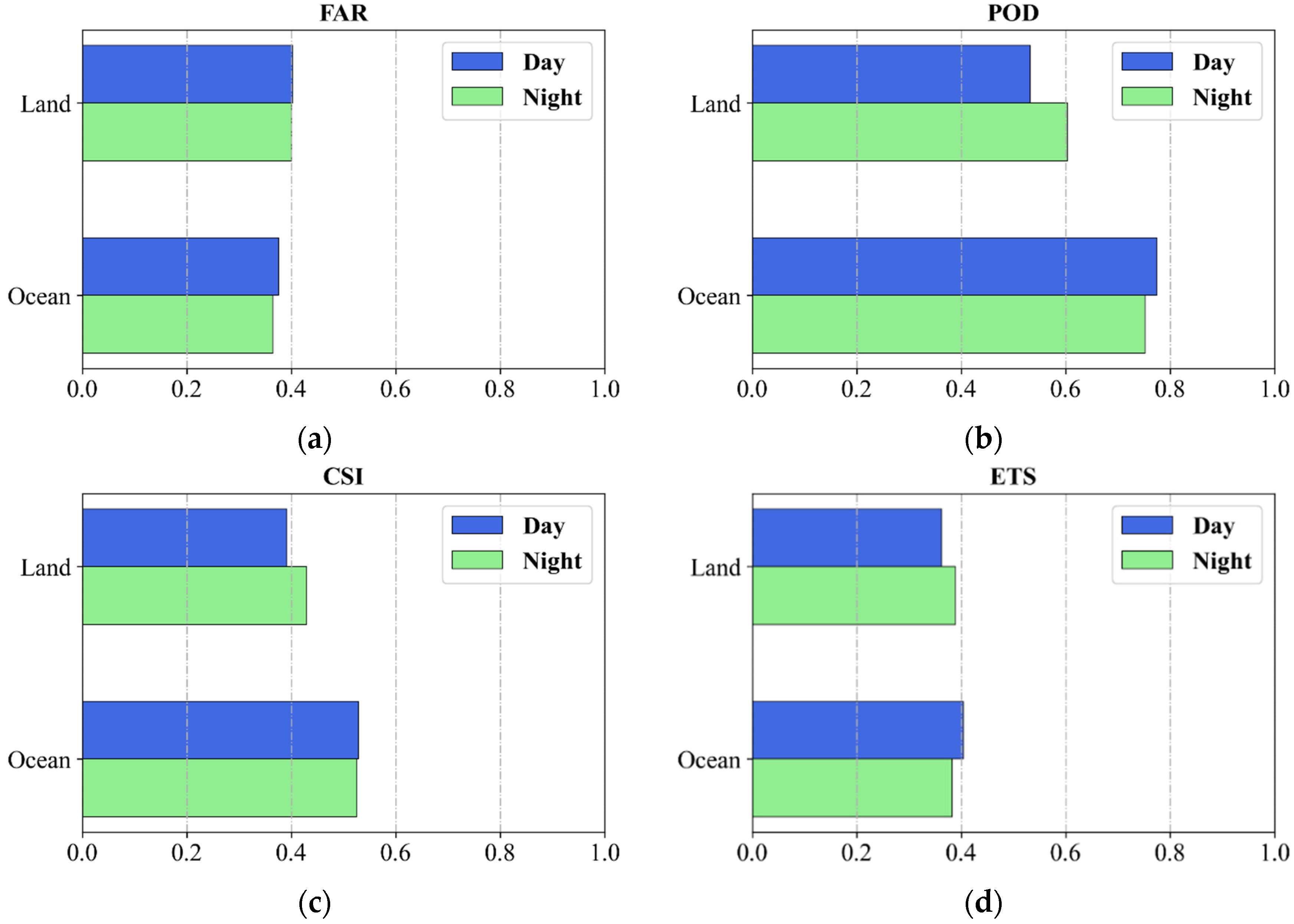
- In our comparative analysis of different underlying surfaces, due to the surface uniformity of the ocean, the model can identify precipitation better on the ocean than on the land. For different underlying surfaces of the land, there is no significant difference in each evaluation index of the model, indicating the universal applicability of the model. Particularly for more vegetated areas and areas covered by water, the model is able to accurately estimate precipitation.
Author Contributions
Funding
Data Availability Statement
Acknowledgments
Conflicts of Interest
References
- Zhang, H.; Xu, Y.; Dou, S. TRMM Downscaling Data of Yangtze Based on GWR Model. Res. Soil Water Conserv. 2021, 28, 149–162. [Google Scholar] [CrossRef]
- Zhang, G.; Li, Z.; Song, Y.; Wu, Y.; Wang, X. Spatial Patterns of Chang Trend in Rainfall of China and Role of East Asia Summer Monsoon. Arid Land Geogr. 2011, 1, 34–42. [Google Scholar] [CrossRef]
- Wu, J.; Dong, W.; Zhang, Y.; Chen, Y.; Xu, H.; Chen, X. Application of Multi-source Rainfall Data in the Flash Flood Forecast of Guanshan River Basin. Eng. J. Wuhan Univ. 2021, 54, 72–81. [Google Scholar] [CrossRef]
- Richard, F. Quantitative Precipitation Estimation in the National Weather Service, Hydrology Laboratory, Office of Hydrologic Development, National Weather Service, 3 April 2023; National Weather Service: Silver Spring, Maryland, USA, 2023. Available online: https://hdsc.nws.noaa.gov/pub/hdsc/data/papers/articles/hrl/papers/wsr88d/MPE_workshop_NWSTC_lecture1_121305.pdf (accessed on 20 July 2023).
- Sokol, Z.; Szturc, J.; Orellana-Alvear, J.; Popová, J.; Jurczyk, A.; Célleri, R. The Role of Weather Radar in Rainfall Estim-ation and Its Application in Meteorological and Hydrological Modelling-A Review. Remote Sens. 2021, 13, 351. [Google Scholar] [CrossRef]
- De Coning, E.; Poolman, E. South African Weather Service operational satellite based precipitation estimation technique: Applications and improvements. Hydrol. Earth Syst. Sci. 2011, 15, 1131–1145. [Google Scholar] [CrossRef]
- Adler, R.F.; Negri, A.J. A Satellite Technique to Estimate Tropical Convective and Stratiform Rainfall. J. Appl. Meteorol. 1988, 27, 30–51. [Google Scholar] [CrossRef]
- Levizzani, V. Satellite Rainfall Estimations: New Perspectives for Meteorology and Climate from the EURAINSA T Project. Ann. Geophys. 2003, 46, 363–372. [Google Scholar] [CrossRef]
- Ebert, E.E.; Janowiak, J.E.; Kidd, C. Comparison of Near-real-time Precipitation Estimates from Satellite Observations and Numerical Models. Bull. Am. Meteorol. Soc. 2007, 88, 47–64. [Google Scholar] [CrossRef]
- Arkin, P.A.; Meisner, B.N. The Relationship between Large-scale Convective Rainfall and Cold Cloud over the Western Hemisphere during 1982–1984. Mon. Weather Rev. 1987, 115, 51–74. [Google Scholar] [CrossRef]
- Kidd, C.; Kniveton, D.R.; Todd, M.C.; Bellerby, T.J. Satellite Rainfall Estimation Using Combined Passive Micro-wave and Infrared Algorithms. J. Hydrometeorol. 2003, 4, 1088–1104. [Google Scholar] [CrossRef]
- Nauss, T.; Kokhanovsky, A.A. Discriminating Raining from Non-raining Clouds at Mid-latitudes Using Multispectral Satellite Data. Atmos. Chem. Phys. 2006, 6, 5031–5036. [Google Scholar] [CrossRef]
- Roebeling, R.A.; Holleman, I. SEVIRI Rainfall Retrieval and Validation Using Weather Radar Observations. J. Geophys. Res. 2009, 114, D21202. [Google Scholar] [CrossRef]
- Kühnlein, M.; Thies, B.; Nauss, T.; Bendix, J. Rainfallrate Assignment Using MSG SEVIRI Data—A Promising Approach to Spaceborne Rainfall Rate Retrieval for Midlatitudes. J. Appl. Meteorol. Clim. 2010, 49, 1477–1495. [Google Scholar] [CrossRef]
- Feidas, H.; Giannakos, A. Identifying Precipitating Clouds in Greece Using Multispectral Infrared Meteosat Second Generation Satellite Data. Theor. Appl. Clim. 2011, 104, 25–42. [Google Scholar] [CrossRef]
- Rivolta, G.; Marzano, F.S.; Coppola, E.; Verdecchia, M. Artificial Neural-network Technique for Precipitation Now-casting from Satellite Imagery. Adv. Geosci. 2006, 7, 97–103. [Google Scholar] [CrossRef]
- Kühnlein, M.; Appelhans, T.; Thies, B. Improving the Accuracy of Rainfall Rates from Optical Satellite Sensors with Machine Learning-A Random Forest-Based Approach Applied to MSG SEVIRI. Remote Sens. Environ. 2014, 141, 129–143. [Google Scholar] [CrossRef]
- Lazri, M.; Ameur, S. Combination of Support Vector Machine, Artificial Neural Network and Random Forest for Improving the Classification of Convective and Stratiform Rain Using Spectral Features of SEVIRI Data. Atmos. Res. 2017, 203, 118–129. [Google Scholar] [CrossRef]
- Ma, L.; Zhang, G.P.; Lu, E. Using the Gradient Boosting Decision Tree to Improve the Delineation of Hourly Rain Areas during the Summer from Advanced Himawari Imager Data. J. Hydrometeorol. 2018, 19, 761–776. [Google Scholar] [CrossRef]
- Min, M.; Bai, C.; Guo, J. Estimating Summertime Precipitation from Himawari-8 and Global Forecast System Based on Machine learning. IEEE Trans. Geosci. Remote Sens. 2018, 57, 2557–2570. [Google Scholar] [CrossRef]
- Hirose, H.; Shige, S.; Yamamoto, M.K.; Higuchi, A. High Temporal Rainfall Estimations from Himawari-8 Multiband Observations Using the Random-forest Machine-learning Method. J. Meteorol. Soc. Jpn. 2019, 97, 689–710. [Google Scholar] [CrossRef]
- Kong, X.; Li, C.; Chen, X. Precipitation Retrieval Based on Multi-channel Data of Himawari-8 Satellite in Hedong Area of Gansu Province. J. Meteorol. Res. Appl. 2020, 41, 54–60. [Google Scholar] [CrossRef]
- Wang, G.; Wang, D.; Wu, R. Application Study of Himawari-8/AHI Infrared Spectral Data on Precipitation Signal Recognition and Retrieval. J. Infrared Millim. Waves 2020, 39, 251–262. [Google Scholar] [CrossRef]
- Zhang, Y.; Wu, K.; Zhang, J. Estimating Rainfall with Multi-Resource Data over East Asia Based on Machine Learning. Remote Sens. 2021, 13, 3332. [Google Scholar] [CrossRef]
- Guan, L.; Zhong, Y. Retrieval of Surface Rainfall Using Random Forest Algorithm Based on FY-4A AGRI Observations. Prog. Geophys. 2023, 38, 1931–1938. (In Chinese) [Google Scholar] [CrossRef]
- Ren, Y.; Yong, B.; Lu, D.; Chen, H. Evaluation of the Integrated Multi-satellite Retrievals (IMERG) for Global Precipitation Measurement (GPM) Mission over the Mainland China at Multiple Scales. J. Lake Sci. 2019, 31, 560–572. [Google Scholar] [CrossRef]
- Xiao, L.; Zhang, A.; Min, C. Evaluation of GPM Satellite-based Precipitation Estimates during Three Tropical-related Extreme Rainfall Events. Plateau Meteorol. 2019, 38, 993–1003. [Google Scholar] [CrossRef]
- Shi, L.; Feng, W.; Lei, Y.; Wang, Z.; Zheng, Q. Accuracy evaluation of daily GPM precipitation product over Mainland China. Meteorol. Mon. 2022, 48, 1428–1438. [Google Scholar] [CrossRef]
- You, R. Satellite Quantitative Precipitation Estimation Method. In Proceedings of the 35th Annual Meeting of the Chinese Meteorological Society S21 Satellite Meteorology and Ecological Remote Sensing, Hefei, China, 24 October 2018. [Google Scholar]
- Liu, L.; Zhang, X.; Gao, Y.; Chen, X.; Shuai, X.; Mi, J. Finer-Resolution Mapping of Global Land Cover: Recent Developments, Consistency Analysis, and Prospects. J. Remote Sens. 2021, 2021, 5289697. [Google Scholar] [CrossRef]
- Shuai, C.; Sha, J.; Lin, J. Spatial Difference of the Relationship between Remote Sensing Index and Land Surface Temperature under Different Underlying Surfaces. J. Geo-Inf. Sci. 2018, 20, 1657–1666. [Google Scholar] [CrossRef]
- Wang, S.; Cui, P.; Zhang, P. FY-3C/VIRR SST Algorithm and Cal/Val Activities at NSMC/CMA. In Ocean Remote Sensing and Monitoring from Space; SPIE: Bellingham, WA, USA, 2014; pp. 94–101. [Google Scholar] [CrossRef]
- Deng, N.; Cui, Y.; Guo, Y. Frequency Ratio-random Forest-model-based Landslide Susceptibility Assessment. Sci. Technol. Eng. 2020, 20, 13990–13996. [Google Scholar] [CrossRef]
- Wang, W.; Yao, Z.; Jia, S. Application Research on Random Forest Algorithm in the Statistical Test of Rainfall Enhancement Effect. Meteorol. Environ. Sci. 2018, 41, 111–117. [Google Scholar] [CrossRef]
- Lazri, M.; Ameur, S.; Mohia, Y. Instantaneous Rainfall Estimation Using Neural Network from Multispectral Observations of SEVIRI Radiometer and its Application in Estimation of Daily and Monthly Rainfall. Adv. Space Res. 2014, 53, 138–155. [Google Scholar] [CrossRef]
- Thies, B.; Nauss, T.; Bendix, J. Precipitation Process and Rainfall Intensity Differentiation Using Meteosat Second Generation Spinning Enhanced Visible and Infrared Imager Data. J. Geophys. Res. 2008, 113, D23206. [Google Scholar] [CrossRef]
- Ackerman, S.A.; Strabala, K.I.; Menzel, W.P.; Frey, R.A.; Moeller, C.C.; Gumley, L.E. Discriminating Clear Sky from Clouds with MODIS. J. Geophys. Res. 1998, 103, 32141–32157. [Google Scholar] [CrossRef]
- Sun, S.; LI, W.; Huang, Y. Retrieval of Precipitation by Using Himawari-8 Infrared Images. Acta Sci. Nat. Univ. Pekinenis 2019, 55, 215–226. [Google Scholar] [CrossRef]
- Behrangi, A.; Hsu, K.L.; Imam, B. Evaluating the Utility of Multispectral Information in Delineating the Areal Extent of Precipitation. J. Hydrometeorol. 2009, 10, 684–700. [Google Scholar] [CrossRef]
- Fritz, S.; Laszlo, I. Detection of Water Vapor in the Stratosphere over Very High Clouds in the Tropics. J. Geophys. Res. Atmos. 2012, 98, 22959–22967. [Google Scholar] [CrossRef]
- Baum, B.A.; Platnick, S. Introduction to MODIS Cloud Products. In Earth Science Satellite Remote Sensing; Springer: Berlin/Heidelberg, Germany, 2006; pp. 74–91. [Google Scholar] [CrossRef]
- Mecikalski, J.R.; Bedka, K.M. Forecasting Convective Initiation by Monitoring the Evolution of Moving Cumulus in Daytime GOES Imagery. Mon. Weather Rev. 2006, 134, 49–78. [Google Scholar] [CrossRef]
- Zeng, L.; Gao, Y.; Jiang, Y. Scale Effects of Terrain Factors on Precipitation in East China. Adv. Earth Sci. 2022, 37, 535–548. [Google Scholar] [CrossRef]
- Lei, X.; Zhang, G.; Yao, Q. Research on Automatic Recognition of Agricultural Machine Image Based on Convolutional Neural Network. J. Chin. Agric. Mech. 2022, 43, 140–147. [Google Scholar] [CrossRef]
- WWRP/WGNE Joint Working Group on Forecast Verification Research Forecast Verification: Issues, Methods and FAQ. Available online: http://www.cawcr.gov.au/projects/verification/ (accessed on 7 January 2015).
- Ma, S.; Chen, C.; He, H. Experiment and Verification of the Convective-scale Ensemble Forecast Based on BGM. Plateau Meteorol. 2018, 37, 495–504. [Google Scholar] [CrossRef]
- GB/T 28592–2012; Grade of Precipitation. National Meteorological Center: Beijing, China, 2012.
- Toté, C.; Patricio, D.; Boogaard, H.; Vander Wijngaart, R.; Tarnavsky, E.; Funk, C. Evaluation of Satellite Rainfall Estimates for Drought and Flood Monitoring in Mozambique. Remote Sens. 2015, 7, 1758–1776. [Google Scholar] [CrossRef]
- Zhong, Y. Testing and evaluation of quantitative precipitation estimation product from Fengyun 4 satellite. J. Agric. Catastrophol. 2021, 11, 96–98. [Google Scholar] [CrossRef]





















| Band | Central Wavelength (μm) | Spectral Bandwidth (μm) | Spatial Resolution (km) | Main Applications |
|---|---|---|---|---|
| 1 | 0.47 | 0.45~0.49 | 1 | Visibility, Aerosol |
| 2 | 0.65 | 0.55~0.75 | 0.5 | Visibility, Vegetation |
| 3 | 0.825 | 0.75~0.90 | 1 | Vegetation, Aerosol |
| 4 | 1.379 | 1.371~1.386 | 2 | Cirrus cloud |
| 5 | 1.61 | 1.58~1.64 | 2 | Cloud/Snow, Water cloud/Ice cloud |
| 6 | 2.225 | 2.10~2.35 | 2 | Cirrus cloud, Aerosol |
| 7 | 3.75 | 3.50~4.00 (high) | 2 | Cloud, Fire point |
| 8 | 3.75 | 3.50~4.00 (low) | 4 | Earth’s surface |
| 9 | 6.25 | 5.80~6.70 | 4 | Upper-level water vapour |
| 10 | 6.95 | 6.75~7.15 | 4 | Mid-level water vapour |
| 11 | 7.42 | 7.24~7.60 | 4 | Lower-level water vapour |
| 12 | 8.55 | 8.3~8.8 | 4 | Cloud |
| 13 | 10.80 | 10.30~11.30 | 4 | Cloud, Surface temperature |
| 14 | 12.00 | 11.50~12.50 | 4 | Cloud, Total water vapor |
| 15 | 13.3 | 13.00~13.60 | 4 | Cloud |
| Land Cover Types | Labels |
|---|---|
| Farmland | 10, 20 |
| Woodland | 12, 51, 52, 61, 62, 71, 72, 81, 82, 91, 92, 120, 121, 122 |
| Grassland | 11, 130, 140, 150, 152, 153 |
| Bare land | 200, 201, 202 |
| Artificial surfaces | 190 |
| Water bodies | 210 |
| Feature Variables | Day | Night |
|---|---|---|
| CTH | ||
| CTT | ||
| CWP | ||
| CP | ||
| WV | ||
| Topography | DEM OV | DEM OV |
| Satellite zenith angle | SAZ | SAZ |
| GPM IMERG: Precipitation | GPM IMERG: Non-Precipitation | |
|---|---|---|
| RF Prediction: Precipitation | NA | NB |
| RF Prediction: Non-precipitation | NC | ND |
| Non-Precipitation: Precipitation | FAR | POD | CSI | ETS |
|---|---|---|---|---|
| 4:1 | 0.226 | 0.610 | 0.518 | 0.439 |
| 3:1 | 0.300 | 0.658 | 0.535 | 0.452 |
| 2:1 | 0.326 | 0.744 | 0.547 | 0.454 |
| 1:1 | 0.436 | 0.856 | 0.515 | 0.400 |
| Non-Precipitation: Precipitation | FAR | POD | CSI | ETS |
|---|---|---|---|---|
| 4:1 | 0.248 | 0.593 | 0.496 | 0.413 |
| 3:1 | 0.277 | 0.639 | 0.513 | 0.425 |
| 2:1 | 0.346 | 0.740 | 0.530 | 0.430 |
| 1:1 | 0.453 | 0.859 | 0.502 | 0.379 |
| FAR | POD | CSI | ETS | |
|---|---|---|---|---|
| Day | 0.326 | 0.744 | 0.547 | 0.454 |
| Night | 0.346 | 0.740 | 0.530 | 0.430 |
| Evaluation Indicators | Retrieval Model | Operational Product | ||
|---|---|---|---|---|
| Day | Night | Day | Night | |
| FAR | 0.385 | 0.448 | 0.319 | 0.393 |
| POD | 0.680 | 0.639 | 0.328 | 0.337 |
| CSI | 0.477 | 0.421 | 0.284 | 0.277 |
| ETS | 0.432 | 0.369 | 0.252 | 0.239 |
| Sample Ratio | Light Rain | Moderate Rain | Heavy Rain | Torrential Rain | ||||
|---|---|---|---|---|---|---|---|---|
| BIAS | RMSE | BIAS | RMSE | BIAS | RMSE | BIAS | RMSE | |
| 75:20:3:1 | 0.698 | 1.122 | −0.488 | 2.101 | −4.639 | 5.909 | −14.852 | 17.987 |
| 1:1:1:1 | 0.878 | 1.292 | −0.234 | 2.025 | −4.457 | 5.713 | −14.306 | 17.367 |
| Sample Ratio | Light Rain | Moderate Rain | Heavy Rain | Torrential Rain | ||||
|---|---|---|---|---|---|---|---|---|
| BIAS | RMSE | BIAS | RMSE | BIAS | RMSE | BIAS | RMSE | |
| 75:20:3:1 | 0.722 | 1.179 | −0.541 | 2.175 | −4.985 | 6.212 | −15.003 | 17.871 |
| 1:1:1:1 | 0.910 | 1.374 | −0.237 | 2.131 | −4.767 | 5.986 | −14.481 | 17.334 |
| R | BIAS | RMSE | |
|---|---|---|---|
| Day | 0.631 | 0.308 | 2.495 |
| Night | 0.604 | 0.332 | 2.558 |
| Evaluation Indicators | Retrieval Model | Operational Product | ||
|---|---|---|---|---|
| Day | Night | Day | Night | |
| R | 0.441 | 0.421 | 0.254 | 0.311 |
| BIAS | 0.744 | 1.029 | 0.598 | 1.517 |
| RMSE | 2.832 | 3.127 | 4.641 | 5.291 |
Disclaimer/Publisher’s Note: The statements, opinions and data contained in all publications are solely those of the individual author(s) and contributor(s) and not of MDPI and/or the editor(s). MDPI and/or the editor(s) disclaim responsibility for any injury to people or property resulting from any ideas, methods, instructions or products referred to in the content. |
© 2024 by the authors. Licensee MDPI, Basel, Switzerland. This article is an open access article distributed under the terms and conditions of the Creative Commons Attribution (CC BY) license (https://creativecommons.org/licenses/by/4.0/).
Share and Cite
Huang, Y.; Bao, Y.; Petropoulos, G.P.; Lu, Q.; Huo, Y.; Wang, F. Precipitation Estimation Using FY-4B/AGRI Satellite Data Based on Random Forest. Remote Sens. 2024, 16, 1267. https://doi.org/10.3390/rs16071267
Huang Y, Bao Y, Petropoulos GP, Lu Q, Huo Y, Wang F. Precipitation Estimation Using FY-4B/AGRI Satellite Data Based on Random Forest. Remote Sensing. 2024; 16(7):1267. https://doi.org/10.3390/rs16071267
Chicago/Turabian StyleHuang, Yang, Yansong Bao, George P. Petropoulos, Qifeng Lu, Yanfeng Huo, and Fu Wang. 2024. "Precipitation Estimation Using FY-4B/AGRI Satellite Data Based on Random Forest" Remote Sensing 16, no. 7: 1267. https://doi.org/10.3390/rs16071267
APA StyleHuang, Y., Bao, Y., Petropoulos, G. P., Lu, Q., Huo, Y., & Wang, F. (2024). Precipitation Estimation Using FY-4B/AGRI Satellite Data Based on Random Forest. Remote Sensing, 16(7), 1267. https://doi.org/10.3390/rs16071267

