Water Stress Index and Stomatal Conductance under Different Irrigation Regimes with Thermal Sensors in Rice Fields on the Northern Coast of Peru
Abstract
1. Introduction
2. Materials and Methods
2.1. Study Area
2.2. Irrigation Management
2.3. Field Measurements
2.3.1. Thermal Imaging and Processing
2.3.2. Stomatal Conductance
2.3.3. Meteorological Conditions
2.3.4. Determination of the Crop Water Stress Index (CWSI)
3. Results
3.1. The Weather Conditions in the Field
3.2. Baseline Condition with the Presence of Water Stress (UL) and without the Presence of Water Stress (LL)
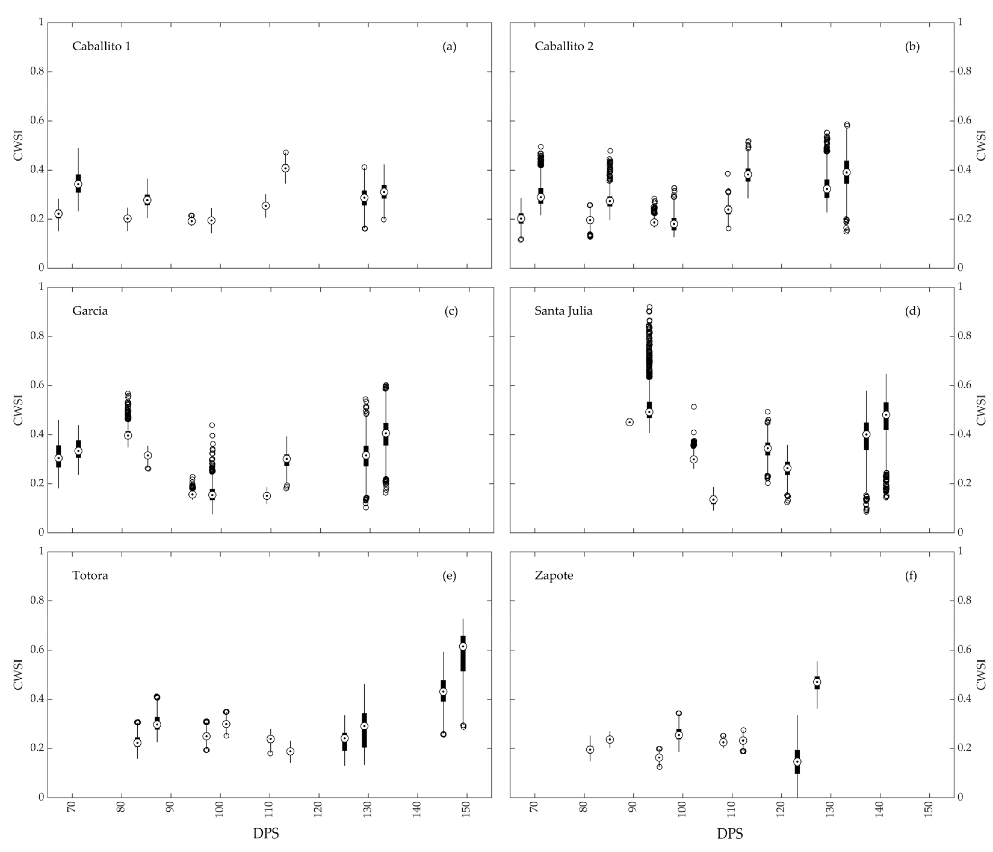
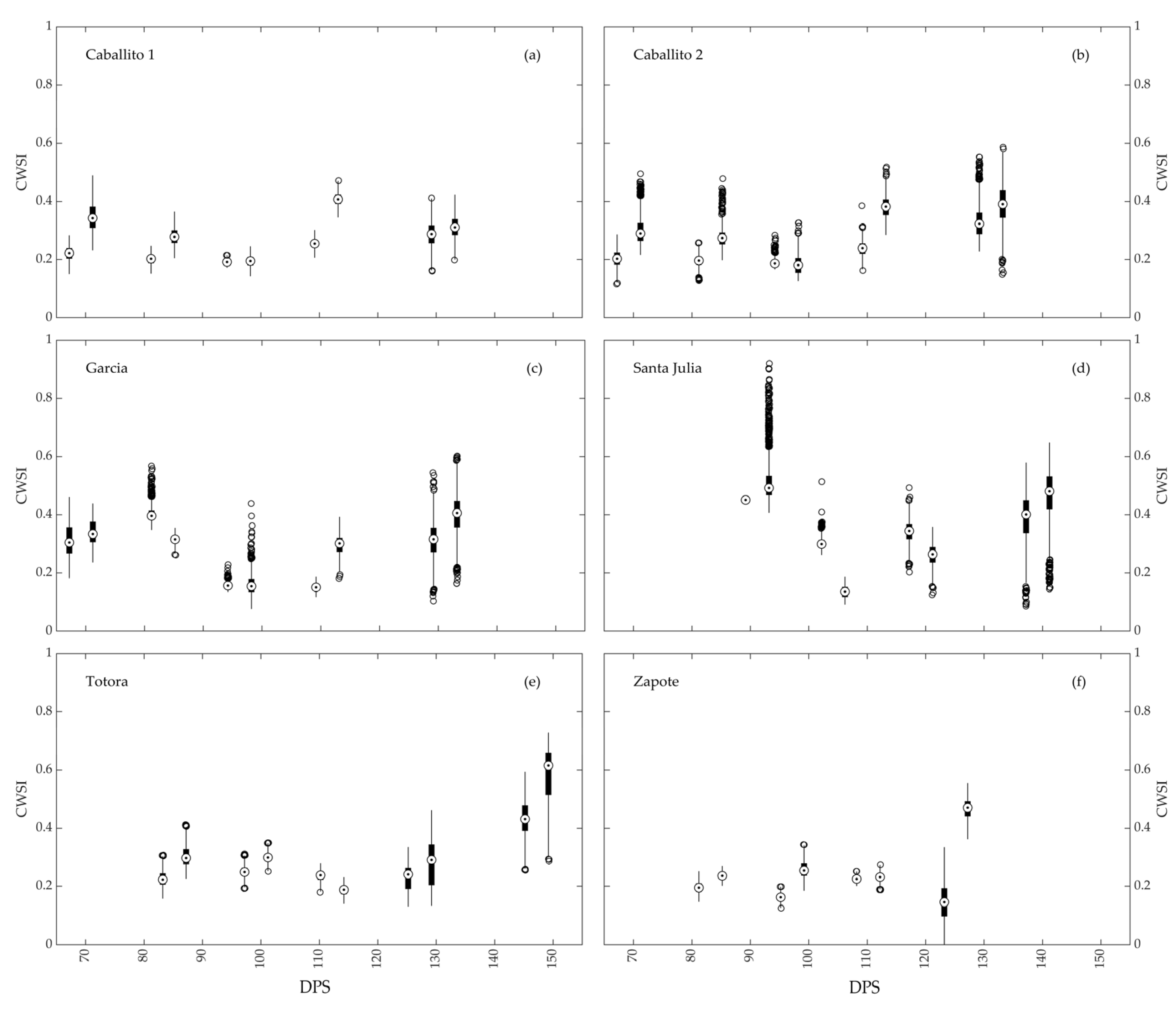
3.3. CWSI
3.4. The Relationship between Stomatal Conductance and the Crop Water Stress Index (CWSI)
3.5. The Yields of Crops in Both the Experimental and Commercial Areas
4. Discussions
5. Conclusions
Supplementary Materials
Author Contributions
Funding
Data Availability Statement
Acknowledgments
Conflicts of Interest
References
- Mallareddy, M.; Thirumalaikumar, R.; Balasubramanian, P.; Naseeruddin, R.; Nithya, N.; Mariadoss, A.; Eazhilkrishna, N.; Choudhary, A.K.; Deiveegan, M.; Subramanian, E.; et al. Maximizing Water Use Efficiency in Rice Farming: A Comprehensive Review of Innovative Irrigation Management Technologies. Water 2023, 15, 1802. [Google Scholar] [CrossRef]
- Shafi, S.; Shafi, I.; Zaffar, A.; Zargar, S.M.; Shikari, A.B.; Ranjan, A.; Prasad, P.V.V.; Sofi, P.A. The Resilience of Rice under Water Stress Will Be Driven by Better Roots: Evidence from Root Phenotyping, Physiological, and Yield Experiments. Plant Stress 2023, 10, 100211. [Google Scholar] [CrossRef]
- Surendran, U.; Raja, P.; Jayakumar, M.; Subramoniam, S.R. Use of Ef-ficient Water Saving Techniques for Production of Rice in India un-der Climate Change Scenario: A Critical Review. J. Clean. Prod. 2021, 309, 127272. [Google Scholar] [CrossRef]
- Food and Agriculture Organization of the United Nations. Food Outlook—Biannual Report on Global Food Markets—June 2023; Food and Agriculture Organization of the United Nations: Rome, Italy, 2023; ISBN 978-92-5-137230-2. [Google Scholar]
- Champness, M.; Ballester-Lurbe, C.; Filev-Maia, R.; Hornbuckle, J. Charter Six—Smart Sensing and Automated Irrigation for Sustainable Rice Systems: A State of the Art Review. In Advances in Agronomy; Academic Press: Cambridge, MA, USA, 2023; Volume 177, pp. 259–285. ISBN 9780443192586. [Google Scholar]
- Price, A.H.; Norton, G.J.; Salt, D.E.; Ebenhoeh, O.; Meharg, A.A.; Meharg, C.; Islam, M.R.; Sarma, R.N.; Dasgupta, T.; Ismail, A.M.; et al. Alternate Wetting and Drying Irrigation for Rice in Bangladesh: Is It Sustainable and Has Plant Breeding Something to Offer? Food Energy Secur. 2013, 2, 120–129. [Google Scholar] [CrossRef]
- Arouna, A.; Dzomeku, I.K.; Shaibu, A.G.; Nurudeen, A.R. Water Management for Sustainable Irrigation in Rice (Oryza sativa L.) Production: A Review. Agronomy 2023, 13, 1522. [Google Scholar] [CrossRef]
- Huang, H.; Yang, A.; Tang, Y.; Zhuang, J.; Hou, C.; Tan, Z.; Dananjayan, S.; He, Y.; Guo, Q.; Luo, S. Deep Color Calibration for UAV Imagery in Crop Monitoring Using Semantic Style Transfer with Local to Global Attention. Int. J. Appl. Earth Obs. Geoinf. 2021, 104, 102590. [Google Scholar] [CrossRef]
- Pino, V.E. Drones A Tool for Efficient Agriculture: A High-Tech Future. Idesia 2019, 37, 75–84. [Google Scholar] [CrossRef]
- Wen, T.; Li, J.H.; Wang, Q.; Gao, Y.Y.; Hao, G.F.; Song, B.A. Thermal Imaging: The Digital Eye Facilitates High-Throughput Phenotyping Traits of Plant Growth and Stress Responses. Sci. Total Environ. 2023, 899, 165626. [Google Scholar] [CrossRef] [PubMed]
- Gonzalez-Dugo, V.; Zarco-Tejada, P.J. Assessing the Impact of Measurement Errors in the Calculation of CWSI for Charac-terizing the Water Status of Several Crop Species. Irrig. Sci. 2022, 1–13. [Google Scholar] [CrossRef]
- Mwinuka, P.R.; Mbilinyi, B.P.; Mbungu, W.B.; Mourice, S.K.; Mahoo, H.F.; Schmitter, P. The Feasibility of Hand-Held Thermal and UAV-Based Multispectral Imaging for Canopy Water Status Assessment and Yield Prediction of Irrigated African Eggplant (Solanum aethopicum L). Agric. Water Manag. 2021, 245, 106584. [Google Scholar] [CrossRef]
- Wu, Y.; Jiang, J.; Zhang, X.; Zhang, J.; Cao, Q.; Tian, Y.; Zhu, Y.; Cao, W.; Liu, X. Combining Machine Learning Algorithm and Multi-Temporal Temperature Indices to Estimate the Water Status of Rice. Agric. Water Manag. 2023, 289, 108521. [Google Scholar] [CrossRef]
- Luan, Y.; Xu, J.; Lv, Y.; Liu, X.; Wang, H.; Liu, S. Improving the Performance in Crop Water Deficit Diagnosis with Canopy Temperature Spatial Distribution Information Measured by Thermal Imaging. Agric. Water Manag. 2021, 246, 106699. [Google Scholar] [CrossRef]
- Visitacion, G.J.; Saludes, R.B.; Luyun, R.A.; Mochica Pinca, Y.M.; Ferdie Eusebio, M.V. Statistical Analysis of Crop Water Stress in Rainfed Rice (Oryza sativa L.) Using Spectral and Non-Spectral Indices. Philipp. J. Sci. 2022, 151, 587–603. [Google Scholar] [CrossRef]
- Katimbo, A.; Rudnick, D.R.; DeJonge, K.C.; Lo, T.H.; Qiao, X.; Franz, T.E.; Nakabuye, H.N.; Duan, J. Crop Water Stress Index Computation Approaches and Their Sensitivity to Soil Water Dynamics. Agric. Water Manag. 2022, 266, 107575. [Google Scholar] [CrossRef]
- Qi, Y.; Zhang, Q.; Hu, S.; Wang, R.; Wang, H.; Zhang, K.; Zhao, H.; Zhao, F.; Chen, F.; Yang, Y.; et al. Applicability of Stomatal Conductance Models Comparison for Persistent Water Stress Processes of Spring Maize in Water Resources Limited Environmental Zone. Agric. Water Manag. 2023, 277, 108090. [Google Scholar] [CrossRef]
- Olalekan Suleiman, S.; Gajere Habila, D.; Mamadou, F.; Mutiu Abolanle, B.; Nurudeen Olatunbosun, A. Grain Yield and Leaf Gas Exchange in Upland NERICA Rice under Repeated Cycles of Water Deficit at Reproductive Growth Stage. Agric. Water Manag. 2022, 264, 107507. [Google Scholar] [CrossRef]
- Álvarez, S.; Navarro, A.; Bañón, S.; Sánchez-Blanco, M.J. Regulated Deficit Irrigation in Potted Dianthus Plants: Effects of Severe and Moderate Water Stress on Growth and Physiological Responses. Sci. Hortic. 2009, 122, 579–585. [Google Scholar] [CrossRef]
- Ministerio de Desarrollo Agrario y Riego. Productive and Competitive Profile of the Main Crops in the Sector. Available online: https://siea.midagri.gob.pe/portal/siea_bi/index.html (accessed on 3 December 2023).
- Caldas, J.; Lizárraga, A. Technical Guide: Management of Rice Crop Under the Intermittent Dry Irrigation System in the Regions of Tumbes, Piura, Lambayeque and La Libertad; National Institute of Agrarian Innovation: La Molina, Perú, 2020; ISBN 9789972440496. [Google Scholar]
- Heros Aguilar, E.C.; Lozano Isla, F.; Casas Díaz, A.V. Technologies for Rice Production: Recommendations for Peru Based on Scientific Research. South Sustain. 2023, 4, 1–5. [Google Scholar] [CrossRef]
- Villar Barraza, H.D.; Ramos Fernández, L.; Alminagorta Cabezas, O. Evaluation of Water Stress of Rice Crop (IR 71706) through the Use of Calibrated Canopy Area Thermography in Lima, Peru. Idesia 2021, 39, 59–70. [Google Scholar] [CrossRef]
- Yang, J.; Zhou, Q.; Zhang, J. Moderate Wetting and Drying Increases Rice Yield and Reduces Water Use, Grain Arsenic Level, and Methane Emission. Crop J. 2016, 5, 151–158. [Google Scholar] [CrossRef]
- Heros Aguilar, E.; Gómez Pando, L.; Sosa, G. Use of Selection Indices in the Identification of Drought Tolerant Rice Genotypes (Oryza sativa L.). Agric. Prod. Sustain. Dev. 2014, 2, 11–31. [Google Scholar] [CrossRef]
- Porras Jorge, R.; Ramos Fernández, L.; Ojeda Bustamante, W.; Ontiveros Capurata, R.E. Performance Assessment of the AquaCrop Model to Estimate Rice Yields under Alternate Wetting and Drying Irrigation in the Coast of Peru. Sci. Agropecu. 2020, 11, 309–321. [Google Scholar] [CrossRef]
- Machaca-Pillaca, R.; Pino-Vargas, E.; Ramos-Fernández, L.; Quille-Mamani, J.; Torres-Rua, A. Estimation of Evapotranspiration for Irrigation Purposes in Real Time of an Olive Grove from Drone Images in Arid Areas, Case of La Yarada, Tacna, Peru. Idesia 2022, 40, 55–65. [Google Scholar] [CrossRef]
- Torres-Rua, A. Vicarious Calibration of SUAS Microbolometer Temperature Imagery for Estimation of Radiometric Land Surface Temperature. Sensors 2017, 17, 1499. [Google Scholar] [CrossRef]
- Dong, J.; Wu, L.; Zeng, W.; Xiao, X.; He, J. Analysis of Spatial-Temporal Trends and Causes of Vapor Pressure Deficit in China from 1961 to 2020. Atmos. Res. 2024, 299, 107199. [Google Scholar] [CrossRef]
- Vega Ponce, E.C.; Mejía Marcacuzco, J.A. Performance of Phaseolus Vulgaris under Partial Root-Zone Drying Cultivated in a Hydrogravitropic System Response. Sci. Agropecu. 2017, 8, 137–147. [Google Scholar] [CrossRef]
- Allen, R.G.; Pereira, L.S.; Raes, D.; Smith, M. Crop Evapotranspiration-Guidelines for Computing Crop Water Requirements; FAO Irrigation and Drainage Paper 56; FAO: Rome, Italy, 1998; pp. 35–37, D05109. [Google Scholar]
- Idso, S.B. Non-Water-Stressed Baselines: A Key to Measuring and Interpreting Plant Water Stress. Agric. Meteorol. 1982, 27, 59–70. [Google Scholar] [CrossRef]
- López López, R.; Arteaga Ramírez, R.; Alberto Vázquez Peña, M.; López Cruz, I.; Sánchez Cohen, I. Water Stress Index as an Indicator of Irrigation Timing in Agricultural Crops. Agric. Técnica en México 2009, 35, 92–106. [Google Scholar]
- Idso, S.B.; Jackson, R.D.; Pinter, P.J.; Reginato, R.J.; Hatfield, J.L. Normalizing the Stress-Degree-Day Parameter for Environmental Variability. Agric. Meteorol. 1981, 24, 45–55. [Google Scholar] [CrossRef]
- Jackson, R.D.; Kustas, W.P.; Choudhury, B.J. A reexamination of the crop water stress index. Irrig. Sci. 1988, 9, 309–317. [Google Scholar] [CrossRef]
- Gao, M.C.; Zhang, W.Z.; Han, Y.D.; Yao, C.; Wang, Y.T.; Ding, G.H. A Theoretical Model Research of Rice Water Stress Index Based on Automated Infrared Thermal Imaging. Adv. Mat. Res. 2013, 712–715, 433–438. [Google Scholar] [CrossRef]
- Durán Gómez, R.M.; Ramos Fernández, L.; Altamirano Gutiérrez, L.; Arapa Quispe, J. Thermal Imaging and Thermocouple Sensors to Estimate Water Stress Index of Rice Crop Under Drip Irrigation. Idesia 2021, 49, 109–118. [Google Scholar] [CrossRef]
- Konate, A.; Zongo, A.; Sangaré, J.; Dardou, A.; Audebert, A. High-Throughput Phenotyping for Drought Tolerance in Rice. World J. Adv. Res. Rev. 2021, 12, 379–391. [Google Scholar] [CrossRef]
- Xu, J.; Lv, Y.; Liu, X.; Dalson, T.; Yang, S.; Wu, J. Diagnosing Crop Water Stress of Rice Using Infra-Red Thermal Imager under Water Deficit Condition. Int. J. Agric. Biol. 2016, 18, 565–572. [Google Scholar] [CrossRef]
- Godson Amamoo, S.; Kato, T.; Katsura, K. Empirical Setting of the Water Stressed Baseline Increases the Uncertainty of the Crop Water Stress Index in a Humid Temperate Climate in Different Water Regimes. Water 2022, 14, 1833. [Google Scholar] [CrossRef]
- Elsherbiny, O.; Zhou, L.; Feng, L.; Qiu, Z. Integration of Visible and Thermal Imagery with an Artificial Neural Network Approach for Robust Forecasting of Canopy Water Content in Rice. Remote Sens. 2021, 13, 1785. [Google Scholar] [CrossRef]
- Krishna, G.; Sahoo, R.N.; Singh, P.; Bajpai, V.; Patra, H.; Kumar, S.; Dandapani, R.; Gupta, V.K.; Viswanathan, C.; Ahmad, T.; et al. Comparison of Various Modelling Approaches for Water Deficit Stress Monitoring in Rice Crop through Hyperspectral Remote Sensing. Agric. Water Manag. 2019, 213, 231–244. [Google Scholar] [CrossRef]
- Fitriyah, A.; Fatikhunnada, A.; Okura, F.; Nugroho, B.D.A.; Kato, T. Analysis of the Drought Mitigated Mecha-nism in Terraced Paddy Fields Using CWSI and TVDI Indices and Hydrological Monitoring. Sustainability 2019, 11, 6897. [Google Scholar] [CrossRef]
- Sakaguchi, A.; Schelfhout, C.; Fujimaki, H.; Siddique, K.H.M. A Method for Detecting Irrigation Needs Using a UAV. [CrossRef]
- National Service of Meteorology and Hydrology of Peru—SENAMHI Effect of Cyclone Yaku and its Path. 2023. Available online: https://sinia.minam.gob.pe/documentos/efecto-ciclon-yaku-recorrido (accessed on 2 December 2023).
- Wan, Q.; Brede, B.; Smigaj, M.; Kooistra, L. Factors Influencing Temperature Measurements from Miniaturized Thermal Infrared (Tir) Cameras: A Laboratory-Based Approach. Sensors 2021, 21, 8466. [Google Scholar] [CrossRef]
- Ribeiro Gomes, K.; Hernández López, D.; Ortega, J.F.; Ballesteros, R.; Poblete, T.; Moreno, M.A. Uncooled Thermal Camera Calibration and Optimization of the Photogrammetry Process for UAV Applications in Agriculture. Sensors 2017, 17, 2173. [Google Scholar] [CrossRef] [PubMed]
- National Meteorological and Hydrological Service of Peru—SENAMHI National Climate Bulletin: Climate Monitoring and Forecasting. 2023. Available online: https://hdl.handle.net/20.500.12542/2776 (accessed on 25 November 2023).
- Barnaby, J.Y.; Rohila, J.S.; Henry, C.G.; Sicher, R.C.; Reddy, V.R.; McClung, A.M. Physiological and Metabolic Responses of Rice to Reduced Soil Moisture: Relationship of Water Stress Tolerance and Grain Production. Int. J. Mol. Sci. 2019, 20, 1846. [Google Scholar] [CrossRef] [PubMed]















| Area | Longitude | Latitude | Altitude (m.a.s.l) | Area (ha) | N° Plots | Variety |
|---|---|---|---|---|---|---|
| INIA-Vista Florida | 06°43′56.55″S | 79°47′27.55″W | 35 | 0.11 | 4 | INIA 515—Capoteña |
| Caballito 1 | 06°35′25.18″S | 79°47′8.53″W | 46 | 2.74 | 3 | INIA 508—Tinajones |
| Caballito 2 | 06°35′38.82″S | 79°47′5.32″W | 47 | 11.45 | 12 | INIA 508—Tinajones (9) INIA 515—Capoteña (3) |
| García | 06°35′2.51″S | 79°47′3.50″W | 47 | 5.23 | 3 | INIA 508—Tinajones |
| Santa Julia | 06°36′32.02″S | 79°47′30.64″W | 41 | 6.46 | 5 | INIA 510—Mallares |
| Totora | 06°35′35.16″S | 79°47′32.74″W | 44 | 5.38 | 6 | INIA 513—Puntilla |
| Zapote | 06°35′44.20″S | 79°47′8.04″W | 46 | 6.01 | 6 | Pakamuros |
| Area | Soil Texture | Soil Texture | Bulk Density ) | Real Density ) | Field Capacity (%) | Permanent Wilting Point (%) | ||
|---|---|---|---|---|---|---|---|---|
| % Sand | % Clay | % Silt | ||||||
| INIA-Vista Florida | 26 | 39 | 35 | Sandy loam | 1.41 | 2.67 | 29.76 ± 1.38 | 16.27 ± 1.25 |
| Caballito 1 | 56 | 16.7 | 27.3 | Sandy loam | 1.45 | 2.33 | 24.24 ± 0.96 | 22.54 ± 1.33 |
| Caballito 2 | 49 | 25.1 | 25.9 | Silty clay loam | 1.37 | 2.63 | 22.54 ± 1.33 | 13.18 ± 0.47 |
| García | 58 | 17.8 | 24.2 | Sandy loam | 1.47 | 2.47 | 23.31 ± 0.73 | 12.33 ± 0.27 |
| Santa Julia | 37.4 | 33.3 | 29.3 | Clay loam | 1.46 | 2.56 | 20.38 ± 0.53 | 11.79 ± 0.37 |
| Totora | 31.2 | 35.6 | 33.2 | Clay loam | 1.53 | 2.60 | 17.79 ± 1.01 | 10.24 ± 0.50 |
| Zapote | 33.6 | 33.7 | 32.7 | Clay loam | 1.40 | 2.53 | 29.50 ± 1.96 | 16.58 ± 0.53 |
| Flight | DPS | Phenology | |||
|---|---|---|---|---|---|
| CF | |||||
| 1 | 38 | Seedling | Seedling | Seedling | Seedling |
| 2 | 42 | Start of tillering | Start of tillering | Start of tillering | Start of tillering |
| 3 | 61 | Tillering | Tillering | Tillering | Tillering |
| 4 | 65 | Tillering | Tillering | Tillering | Tillering |
| 5 | 75 | Tillering | Tillering | Tillering | Tillering |
| 6 | 79 | Tillering | Tillering | Tillering | Tillering |
| 7 | 88 | Tillering | Tillering | Tillering | Tillering |
| 8 | 92 | Maximum tillering | Tillering | Tillering | Tillering |
| 9 | 103 | Panicle initiation | Maximum tillering | Maximum tillering | Maximum tillering |
| 10 | 107 | Panicle initiation | Panicle initiation | Panicle initiation | Panicle initiation |
| 11 | 123 | Heading stage | Heading stage | Heading stage | Heading stage |
| 12 | 127 | Flowering stage | Flowering stage | Flowering stage | Flowering stage |
| 13 | 147 | Dough stage | Dough stage | Dough stage | Dough stage |
| 14 | 149 | Dough stage | Dough stage | Dough stage | Dough stage |
| Flight | Caballito 1 | Caballito 2 | García | Santa Julia | Totora | Zapote | ||||||
|---|---|---|---|---|---|---|---|---|---|---|---|---|
| DPS | Phenology | DPS | Phenology | DPS | Phenology | DPS | Phenology | DPS | Phenology | DPS | Phenology | |
| 1 | 67 | Tillering | 67 | Tillering | 67 | Tillering | * | * | 83 | Heading stage | 81 | Heading stage |
| 2 | 71 | Panicle initiation | 71 | Panicle initiation | 71 | Panicle initiation | * | * | 87 | Heading stage | 85 | Heading stage |
| 3 | 81 | Heading stage | 81 | Heading stage | 81 | Heading stage | 89 | Heading stage | 97 | Flowering stage | 95 | Flowering stage |
| 4 | 85 | Heading stage | 85 | Heading stage | 85 | Heading stage | 93 | Flowering stage | 101 | Flowering stage | 99 | Flowering stage |
| 5 | 94 | Flowering stage | 94 | Flowering stage | 94 | Flowering stage | 102 | Flowering stage | 110 | Milk stage | 108 | Milk stage |
| 6 | 98 | Flowering stage | 98 | Flowering stage | 98 | Flowering stage | 106 | Milk stage | 114 | Milk stage | 112 | Milk stage |
| 7 | 109 | Milk stage | 109 | Milk stage | 109 | Milk stage | 117 | Milk stage | 125 | Dough stage | 123 | Dough stage |
| 8 | 113 | Milk stage | 113 | Milk stage | 113 | Milk stage | 121 | Milk stage | 129 | Dough stage | 127 | Dough stage |
| 9 | 129 | Dough stage | 129 | Dough stage | 129 | Dough stage | 137 | Dough stage | 145 | Maturity | * | * |
| 10 | 133 | Dough stage | 133 | Dough stage | 133 | Dough stage | 141 | Maturity | 149 | Harvest | * | * |
| Climate Classification Köppen–Geiger | Irrigation System | Soil | Thermal Sensor | Threshold Temperature | CWSI | Study Area | Reference |
|---|---|---|---|---|---|---|---|
| Wet continental | Controlled non-flooded irrigation (CI) | Sandy clay | Infrared camera (FLIR E8, EE. UU.) | Twet: rice leaves were sprayed with water 1 min before measuring Tdry: T + 5 °C | 0.1–0.98 | Heilongjiang, China | [14] |
| Warm summer | Flooded, AWD | – | Infrared camera (Ti-125 FLUKE, EE. UU.) | Twet, Tdry estimated according to estimated according to [35] | 0.2–0.8 | Shenyang, China | [36] |
| Coastal desert | Drip | Sandy loam | Infrared camera (FLIR E60, FLIR Systems Inc., Suecia) “T” type thermocouple (OMEGA, model TT-T-36-SLE-500) | : 15.3 °C : 33.7 °C | 0.1–0.7 | La Molina, Peru | [37] |
| Coastal desert | Drip, AWD | Sandy loam | Infrared camera (FLIR E60, FLIR Systems Inc., Suecia) “T” type thermocouple (OMEGA, model TT-T-36-SLE-500) | : measured from 07:40 a.m. to 08:15 a.m. °C | 0.2–0.7 | La Molina, Peru | [23] |
| Semiarid | Flooded, AWD | – | Infrared thermal camera R300 (Nippon Avionics Co., Ltd., Japan) | 0.17–0.768 | Montpellier, France, and Banfora and Farako-Ba, Burkina Faso | [38] | |
| Humid subtropical | Flooded, AWD | Clayey | Infrared camera (Therma CAM SC20008, EE.UU.) | °C | 0.3–0.58 | Kunshan, Jiangsu, China | [39] |
| Humid subtropical | Flooded, AWD | Clay loam | Infrared camera (FLIR C2, FLIR Systems, Wilsonville, OR EE. UU.) | −0.015–0.349 | Tokio, Japan | [40] | |
| Humid subtropical | Flooded, AWD | – | Infrared camera (Tau2-640, FLIR Systems Inc., EE.UU.) | ) ) | 0.0–1.0 | Zhejiang, China | [41] |
| Humid subtropical | Flooded, AWD | – | Infrared camera (Jenoptik VarioCam, Alemania) | 0.0–1.0 | Nueva Delhi, India | [42] | |
| Tropical monsoon | Flooded, AWD | Sandy clay loam | Handheld infrared camera (FLIR i7, FLIR Systems Inc.) | −0.25–1 | Laguna, Philippines | [15] | |
| Tropical monsoon | Flooded, AWD | – | MODIS (Land Surface Temperature) sensor | 0.2–0.8 | Gemawang, Indonesia | [43] | |
| Tropical savanna | Drip, AWD | Clayey | Infrared radiometer SI-111-SS (Apogee Instruments In., Logan, EE.UU.) in UAVs | estimated according to [34] | 0.22–0.71 | Kununurra, Australia | [44] |
Disclaimer/Publisher’s Note: The statements, opinions and data contained in all publications are solely those of the individual author(s) and contributor(s) and not of MDPI and/or the editor(s). MDPI and/or the editor(s) disclaim responsibility for any injury to people or property resulting from any ideas, methods, instructions or products referred to in the content. |
© 2024 by the authors. Licensee MDPI, Basel, Switzerland. This article is an open access article distributed under the terms and conditions of the Creative Commons Attribution (CC BY) license (https://creativecommons.org/licenses/by/4.0/).
Share and Cite
Ramos-Fernández, L.; Gonzales-Quiquia, M.; Huanuqueño-Murillo, J.; Tito-Quispe, D.; Heros-Aguilar, E.; Flores del Pino, L.; Torres-Rua, A. Water Stress Index and Stomatal Conductance under Different Irrigation Regimes with Thermal Sensors in Rice Fields on the Northern Coast of Peru. Remote Sens. 2024, 16, 796. https://doi.org/10.3390/rs16050796
Ramos-Fernández L, Gonzales-Quiquia M, Huanuqueño-Murillo J, Tito-Quispe D, Heros-Aguilar E, Flores del Pino L, Torres-Rua A. Water Stress Index and Stomatal Conductance under Different Irrigation Regimes with Thermal Sensors in Rice Fields on the Northern Coast of Peru. Remote Sensing. 2024; 16(5):796. https://doi.org/10.3390/rs16050796
Chicago/Turabian StyleRamos-Fernández, Lia, Maria Gonzales-Quiquia, José Huanuqueño-Murillo, David Tito-Quispe, Elizabeth Heros-Aguilar, Lisveth Flores del Pino, and Alfonso Torres-Rua. 2024. "Water Stress Index and Stomatal Conductance under Different Irrigation Regimes with Thermal Sensors in Rice Fields on the Northern Coast of Peru" Remote Sensing 16, no. 5: 796. https://doi.org/10.3390/rs16050796
APA StyleRamos-Fernández, L., Gonzales-Quiquia, M., Huanuqueño-Murillo, J., Tito-Quispe, D., Heros-Aguilar, E., Flores del Pino, L., & Torres-Rua, A. (2024). Water Stress Index and Stomatal Conductance under Different Irrigation Regimes with Thermal Sensors in Rice Fields on the Northern Coast of Peru. Remote Sensing, 16(5), 796. https://doi.org/10.3390/rs16050796

