Evaluation of Six Data Products of Surface Downward Shortwave Radiation in Tibetan Plateau Region
Abstract
1. Introduction
2. Materials and Methods
2.1. Materials
2.1.1. Ground Measurements
2.1.2. DSR Products
- (1)
- ISCCP-FH products
- (2)
- CERES-SYN products
- (3)
- GLASS DSR products
- (4)
- Himawari-8 products
- (5)
- MCD18A1 products
- (6)
- ERA5 reanalysis data
2.2. Methods
2.2.1. Temporal Matching of Different Products
2.2.2. Data Quality Control
2.2.3. Evaluation Indicators
3. Results
3.1. Overall Validation Results
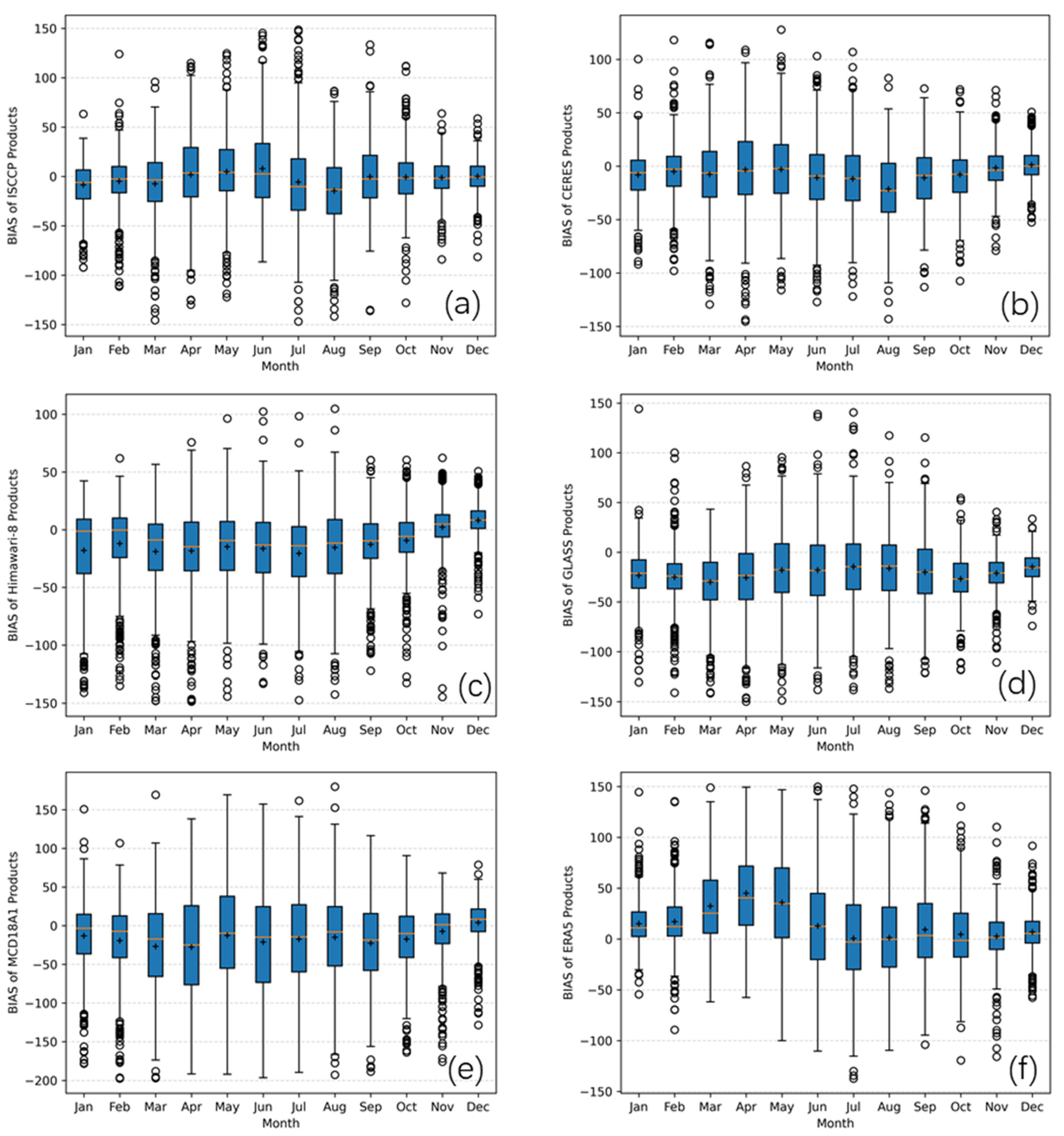
3.2. Monthly Variations of Validation Results
3.3. Spatial Distribution of Validation Results across Sites
4. Discussion
4.1. Effects of Spatial Resolution
4.2. Effects of Cloud Factor
4.2.1. Effects of Cloud Area Fraction
4.2.2. Effects of Cloud Optical Thickness
4.3. Effects of Aerosol Optical Depth
5. Conclusions
- (1)
- The CERES products demonstrate the highest accuracy among the six data products. The MCD18A1 products have the worst accuracy performance among the six data products. With the exception of the ERA5 products, the other products underestimate the value of DSR in the Tibetan Plateau region.
- (2)
- Analyzing the spatial distribution of these product validation results reveals a more favorable performance in the eastern regions of the Tibetan Plateau, while comparatively poorer validation results were observed in the southern part of Tibetan Plateau. As for the western regions of the Tibetan Plateau, due to the limited availability of validation sites, this study refrained from drawing definitive conclusions.
- (3)
- Regarding current products and analysis methods, there is no notable correlation between the validation accuracy of a product and the spatial resolution employed.
- (4)
- The validation results of the GLASS and ISCCP products exhibit robustness with respect to cloud area fraction; the validation results of the CERES and ISCCP products exhibit robustness with respect to cloud optical thickness; and the validation accuracies of the ERA5, Himawari-8, and MCD18A1 products are significantly influenced by these two cloud factors.
- (5)
- The validation results of the ERA5, GLASS, and MCD18A1 products exhibit robustness with respect to aerosol optical depth, whereas the validation accuracy of the CERES products is significantly influenced by aerosol optical depth.
Author Contributions
Funding
Data Availability Statement
Acknowledgments
Conflicts of Interest
References
- Xin, X. Remote Sensing of Land Surface Radiation Budget. In Remote Sensing of Energy Fluxes and Soil. Moisture Content; Science Press: Abingdon, UK, 2018. [Google Scholar]
- Guruprasad, K.; Bhattacharjee, S.; Kataria, S.; Yadav, S.; Tiwari, A.; Baroniya, S.; Rajiv, A.; Mohanty, P. Growth Enhancement of Soybean (Glycine Max) upon Exclusion of UV-B and UV-B/A Components of Solar Radiation: Characterization of Photosynthetic Parameters in Leaves. Photosynth. Res. 2008, 96, 115. [Google Scholar] [CrossRef][Green Version]
- Wild, M.; Folini, D.; Schär, C.; Loeb, N.; Dutton, E.G.; König-Langlo, G. The Global Energy Balance from a Surface Perspective. Clim. Dyn. 2013, 40, 3107–3134. [Google Scholar] [CrossRef]
- Tang, W.; Qin, J.; Yang, K.; Liu, S.; Lu, N.; Niu, X. Retrieving high-resolution surface solar radiation with cloud parameters derived by combining MODIS and MTSAT data. Atmos. Chem. Phys. 2016, 16, 2543–2557. [Google Scholar] [CrossRef]
- Cong, Z.; Kang, S.; Liu, X.; Wang, G. Elemental Composition of Aerosol in the Nam Co Region, Tibetan Plateau, during Summer Monsoon Season. Atmos. Environ. 2007, 41, 1180–1187. [Google Scholar] [CrossRef]
- Zhong, L.; Ma, Y.; Salama, M.S.; Su, Z. Assessment of Vegetation Dynamics and Their Response to Variations in Precipitation and Temperature in the Tibetan Plateau. Clim. Change 2010, 103, 519–535. [Google Scholar] [CrossRef]
- Alley, R.B.; Meese, D.A.; Shuman, C.A.; Gow, A.J.; Taylor, K.C.; Grootes, P.M.; White, J.W.C.; Ram, M.; Waddington, E.D.; Mayewski, P.A.; et al. Abrupt increase in Greenland snow accumulation at the end of the Younger Dryas event. Nature 1993, 362, 527–529. [Google Scholar] [CrossRef]
- Ma, Y.; Zhong, L.; Su, Z.; Ishikawa, H.; Menenti, M.; Koike, T. Determination of Regional Distributions and Seasonal Variations of Land Surface Heat Fluxes from Landsat-7 Enhanced Thematic Mapper Data over the Central Tibetan Plateau Area: Regional Land Surface Heat Fluxes. J. Geophys. Res. 2006, 111, D10305. [Google Scholar] [CrossRef]
- Yanai, M.; Wu, G.-X. Effects of the Tibetan Plateau. In The Asian Monsoon; Springer Praxis Books; Springer: Berlin/Heidelberg, Germany, 2006; pp. 513–549. ISBN 978-3-540-40610-5. [Google Scholar]
- Gupta, S.K.; Ritchey, N.A.; Wilber, A.C.; Whitlock, C.H.; Gibson, G.G.; Stackhouse, P.W. A Climatology of Surface Radiation Budget Derived from Satellite Data. J. Clim. 1999, 12, 2691–2710. [Google Scholar] [CrossRef]
- Zhang, Y.; Rossow, W.B. Global Radiative Flux Profile Data Set: Revised and Extended. JGR Atmos. 2023, 128, e2022JD037340. [Google Scholar] [CrossRef]
- Zhang, Y.; Rossow, W.B.; Lacis, A.A.; Oinas, V. Calculation, Evaluation and Application of Long-Term, Global Radiative Flux Datasets at ISCCP: Past and Present. In Studies of Cloud, Convection and Precipitation Processes Using Satellite Observations; Lectures in Climate Change; World Scientific: Singapore, 2022; Volume 3, pp. 151–177. ISBN 978-981-12-5690-5. [Google Scholar]
- Frouin, R.; Murakami, H. Estimating Photosynthetically Available Radiation at the Ocean Surface from ADEOS-II Global Imager Data. J. Oceanogr. 2007, 63, 493–503. [Google Scholar] [CrossRef]
- Zhang, X.; Liang, S.; Zhou, G.; Wu, H.; Zhao, X. Generating Global LAnd Surface Satellite Incident Shortwave Radiation and Photosynthetically Active Radiation Products from Multiple Satellite Data. Remote Sens. Environ. 2014, 152, 318–332. [Google Scholar] [CrossRef]
- Yang, K.; Koike, T.; Stackhouse, P.; Mikovitz, C.; Cox, S.J. An Assessment of Satellite Surface Radiation Products for Highlands with Tibet Instrumental Data. Geophys. Res. Lett. 2006, 33, L22403. [Google Scholar] [CrossRef]
- Gui, S.; Liang, S.; Wang, K.; Li, L.; Zhang, A.X. Assessment of Three Satellite-Estimated Land Surface Downwelling Shortwave Irradiance Data Sets. IEEE Geosci. Remote Sens. Lett. 2010, 7, 776–780. [Google Scholar] [CrossRef]
- Zhang, J.; Shen, R.; Shi, C.; Bai, L.; Liu, J.; Sun, S. Evaluation and Comparison of Downward Solar Radiation from New Generation Atmospheric Reanalysis ERA5 across Mainland China. J. Geo-Inf. Sci. 2021, 23, 2261–2274. [Google Scholar]
- Zhang, X.; Liang, S.; Wild, M.; Jiang, B. Analysis of Surface Incident Shortwave Radiation from Four Satellite Products. Remote Sens. Environ. 2015, 165, 186–202. [Google Scholar] [CrossRef]
- Gilgen, H.; Ohmura, A. The Global Energy Balance Archive. Bull. Amer. Meteor. Soc. 1999, 80, 831–850. [Google Scholar] [CrossRef]
- Yu, Y.; Shi, J.; Wang, T.; Letu, H.; Yuan, P.; Zhou, W.; Hu, L. Evaluation of the Himawari-8 Shortwave Downward Radiation (SWDR) Product and Its Comparison With the CERES-SYN, MERRA-2, and ERA-Interim Datasets. IEEE J. Sel. Top. Appl. Earth Obs. Remote Sens. 2019, 12, 519–532. [Google Scholar] [CrossRef]
- Ma, Y.; Hu, Z.; Xie, Z.; Ma, W.; Wang, B.; Chen, X.; Li, M.; Zhong, L.; Sun, F.; Gu, L.; et al. A Long-Term (2005–2016) Dataset of Hourly Integrated Land–Atmosphere Interaction Observations on the Tibetan Plateau. Earth Syst. Sci. Data 2020, 12, 2937–2957. [Google Scholar] [CrossRef]
- Doelling, D.R.; Loeb, N.G.; Keyes, D.F.; Nordeen, M.L.; Morstad, D.; Nguyen, C.; Wielicki, B.A.; Young, D.F.; Sun, M. Geostationary Enhanced Temporal Interpolation for CERES Flux Products. J. Atmos. Ocean. Technol. 2013, 30, 1072–1090. [Google Scholar] [CrossRef]
- Doelling, D.R.; Sun, M.; Nguyen, L.T.; Nordeen, M.L.; Haney, C.O.; Keyes, D.F.; Mlynczak, P.E. Advances in Geostationary-Derived Longwave Fluxes for the CERES Synoptic (SYN1deg) Product. J. Atmos. Ocean. Technol. 2016, 33, 503–521. [Google Scholar] [CrossRef]
- Zhang, X.; Zhao, X.; Li, W.; Liang, S.; Wang, D.; Liu, Q.; Yao, Y.; Jia, K.; He, T.; Jiang, B.; et al. An Operational Approach for Generating the Global Land Surface Downward Shortwave Radiation Product From MODIS Data. IEEE Trans. Geosci. Remote Sens. 2019, 57, 4636–4650. [Google Scholar] [CrossRef]
- Wang, D. MODIS/Terra+Aqua Surface Radiation Daily/3-Hour L3 Global 1 km SIN Grid V061 [Data Set]. NASA EOSDIS Land Processes Distributed Active Archive Center. 2021. Available online: https://ladsweb.modaps.eosdis.nasa.gov/missions-and-measurements/products/MCD18A1/ (accessed on 11 March 2021).
- Hersbach, H.; Bell, B.; Berrisford, P.; Biavati, G.; Horányi, A.; Muñoz Sabater, J.; Nicolas, J.; Peubey, C.; Radu, R.; Rozum, I.; et al. ERA5 Hourly Data on Single Levels from 1940 to Present; Copernicus Climate Change Service (C3S) Climate Data Store (CDS): Brussels, Belgium, 2023. [Google Scholar] [CrossRef]
- Shi, G.-Y.; Hayasaka, T.; Ohmura, A.; Chen, Z.-H.; Wang, B.; Zhao, J.-Q.; Che, H.-Z.; Xu, L. Data Quality Assessment and the Long-Term Trend of Ground Solar Radiation in China. J. Appl. Meteorol. Climatol. 2008, 47, 1006–1016. [Google Scholar] [CrossRef]
- Tang, W.; Yang, K.; He, J.; Qin, J. Quality Control and Estimation of Global Solar Radiation in China. Sol. Energy 2010, 84, 466–475. [Google Scholar] [CrossRef]
- Tang, W.-J.; Yang, K.; Qin, J.; Cheng, C.C.K.; He, J. Solar Radiation Trend across China in Recent Decades: A Revisit with Quality-Controlled Data. Atmos. Chem. Phys. 2011, 11, 393–406. [Google Scholar] [CrossRef]
- Hansen, J.; Russell, G.; Rind, D.; Stone, P.; Lacis, A.; Lebedeff, S.; Ruedy, R.; Travis, L. Efficient Three-Dimensional Global Models for Climate Studies: Models I and II. Mon. Weather. Rev. 1983, 111, 609–662. [Google Scholar] [CrossRef]
- Tang, W.; Yang, K.; Sun, Z.; Qin, J.; Niu, X. Global Performance of a Fast Parameterization Scheme for Estimating Surface Solar Radiation From MODIS Data. IEEE Trans. Geosci. Remote Sens. 2017, 55, 3558–3571. [Google Scholar] [CrossRef]
- Tang, W.; Yang, K.; Qin, J.; Min, M. Development of a 50-Year Daily Surface Solar Radiation Dataset over China. Sci. China Earth Sci. 2013, 56, 1555–1565. [Google Scholar] [CrossRef]
- Wang, D.; Liang, S.; He, T. Mapping High-Resolution Surface Shortwave Net Radiation from Landsat Data. IEEE Geosci. Remote Sens. Lett. 2014, 11, 459–463. [Google Scholar] [CrossRef]
- Roesch, A.; Wild, M.; Ohmura, A.; Dutton, E.G.; Long, C.N.; Zhang, T. Assessment of BSRN Radiation Records for the Computation of Monthly Means. Atmos. Meas. Tech. 2011, 4, 339–354. [Google Scholar] [CrossRef]
- Wang, T.; Shi, J.; Husi, L.; Zhao, T.; Ji, D.; Xiong, C.; Gao, B. Effect of Solar-Cloud-Satellite Geometry on Land Surface Shortwave Radiation Derived from Remotely Sensed Data. Remote Sens. 2017, 9, 690. [Google Scholar] [CrossRef]
- Chen, L.; Yan, G.; Wang, T.; Ren, H.; Calbó, J.; Zhao, J.; McKenzie, R. Estimation of Surface Shortwave Radiation Components under All Sky Conditions: Modeling and Sensitivity Analysis. Remote Sens. Environ. 2012, 123, 457–469. [Google Scholar] [CrossRef]
- Huang, G.; Li, Z.; Li, X.; Liang, S.; Yang, K.; Wang, D.; Zhang, Y. Estimating Surface Solar Irradiance from Satellites: Past, Present, and Future Perspectives. Remote Sens. Environ. 2019, 233, 111371. [Google Scholar] [CrossRef]
- Wang, G.; Wang, T.; Xue, H. Validation and Comparison of Surface Shortwave and Longwave Radiation Products over the Three Poles. Int. J. Appl. Earth Obs. Geoinf. 2021, 104, 102538. [Google Scholar] [CrossRef]
- Wang, D.; Liang, S.; Zhang, Y.; Gao, X.; Brown, M.G.L.; Jia, A. A New Set of MODIS Land Products (MCD18): Downward Shortwave Radiation and Photosynthetically Active Radiation. Remote Sens. 2020, 12, 168. [Google Scholar] [CrossRef]
- Polo, J.; Wilbert, S.; Ruiz-Arias, J.A.; Meyer, R.; Gueymard, C.; Súri, M.; Martín, L.; Mieslinger, T.; Blanc, P.; Grant, I.; et al. Preliminary Survey on Site-Adaptation Techniques for Satellite-Derived and Reanalysis Solar Radiation Datasets. Sol. Energy 2016, 132, 25–37. [Google Scholar] [CrossRef]
- Thomas, C.; Wey, E.; Blanc, P.; Wald, L. Validation of Three Satellite-Derived Databases of Surface Solar Radiation Using Measurements Performed at 42 Stations in Brazil. Adv. Sci. Res. 2016, 13, 81–86. [Google Scholar] [CrossRef]
- Twomey, S. The Influence of Pollution on the Shortwave Albedo of Clouds. J. Atmos. Sci. 1977, 34, 1149–1152. [Google Scholar] [CrossRef]
- Albrecht, B.A. Aerosols, Cloud Microphysics, and Fractional Cloudiness. Science 1989, 245, 1227–1230. [Google Scholar] [CrossRef] [PubMed]
- Shi, G. Atmospheric Radiation; Science Press: Beijing, China, 2007. [Google Scholar]
- Zhou, X.; Bei, N.; Liu, H.; Cao, J.; Xing, L.; Lei, W.; Molina, L.T.; Li, G. Aerosol Effects on the Development of Cumulus Clouds over the Tibetan Plateau. Atmos. Chem. Phys. 2017, 17, 7423–7434. [Google Scholar] [CrossRef]
- You, Q.; Sanchez-Lorenzo, A.; Wild, M.; Folini, D.; Fraedrich, K.; Ren, G.; Kang, S. Decadal Variation of Surface Solar Radiation in the Tibetan Plateau from Observations, Reanalysis and Model Simulations. Clim. Dyn. 2013, 40, 2073–2086. [Google Scholar] [CrossRef]
- Yang, S.; Wang, X.L.; Wild, M. Causes of Dimming and Brightening in China Inferred from Homogenized Daily Clear-Sky and All-Sky in Situ Surface Solar Radiation Records (1958–2016). J. Clim. 2019, 32, 5901–5913. [Google Scholar] [CrossRef]
- Jia, A.; Liang, S.; Wang, D.; Jiang, B.; Zhang, X. Air Pollution Slows down Surface Warming over the Tibetan Plateau. Atmos. Chem. Phys. 2020, 20, 881–899. [Google Scholar] [CrossRef]








| Products | Resolutions | Coverage | Main Methods |
|---|---|---|---|
| ISCCP-FH | Spatial: 1° × 1° | 1983.7–2017.7 | correlated K-distribution |
| Temporal: 3 h | |||
| CERES-SYN1deg Ed4A | Spatial: 1° × 1° | 2000.3–current | Fu-Liou radiative transfer code |
| Temporal: 1 h; 3 h; daily; monthly | |||
| GLASS DSR (V2.0) | Spatial: 5 km × 5 km | 2000–2020 | direct estimation method |
| Temporal: daily | |||
| Himawari-8 | Spatial: 5 km × 5 km | 2015–current | parameterization method |
| Temporal: 10 min; 1 h; daily; monthly | |||
| MCD18A1 (v061) | Spatial: 1 km × 1 km | 2001–current | look-up table (LUT) |
| Temporal: 3 h | |||
| ERA5 | Spatial: 0.25° × 0.25° | 1940–current | data assimilation |
| Temporal: 1 h |
| Site | ISCCP | CERES | ERA5 | GLASS | H8 | MCD18A1 | Average |
|---|---|---|---|---|---|---|---|
| Gangca | 30.81/−4.52 | 25.16/−6.19 | 36.72/12.05 | 31.12/−12.31 | 19.44/1.4 | 48.43/−10.97 | 31.95/−3.42 |
| Golmud | 33.47/0.07 | 19.48/0.44 | 31.71/11.27 | 23.79/−8.26 | 17.89/−2.63 | 35.08/10.53 | 26.9/1.9 |
| Gar | 20.48/−2.26 | 24.11/−7.4 | 27.84/5.94 | 29.54/−16.3 | 35.71/−12.81 | 39.12/−0.68 | 29.47/−5.58 |
| Nagqu | 36.73/13.86 | 29.66/3.44 | 55.03/32.99 | 39.54/−12.87 | 30.51/−7.91 | 57.53/−9.85 | 41.5/3.28 |
| Lhasa | 36.11/26.48 | 33.26/21.11 | 47.97/31.23 | 32.22/2.02 | 35.36/14.46 | 50.68/11.75 | 39.27/17.84 |
| Yushu | 34.23/1.47 | 29.12/2.75 | 51.84/32.82 | 38.76/−17.78 | 39.15/−13.95 | 54.7/−12.43 | 41.3/−1.19 |
| Golog | 34.78/−15.1 | 33.6/−15.52 | 40.24/14.21 | 46.55/−29.86 | 31.39/−14.99 | 65.41/−31.59 | 42.0/−15.48 |
| Chamdo | 35.14/10.0 | 33.69/4.09 | 53.02/31.86 | 32.97/−14.53 | 22.04/0.21 | 55.02/−11.44 | 38.65/3.37 |
| Garze | 33.04/−16.22 | 32.23/−11.95 | 39.92/8.75 | 41.55/−26.29 | 28.23/−10.08 | 57.81/−21.21 | 38.8/−12.83 |
| Hongyuan | 36.68/−23.03 | 32.0/−11.65 | 41.88/9.43 | 48.17/−27.68 | 43.74/−21.82 | 58.94/−24.43 | 43.57/−16.53 |
| BJ | 31.95/0.64 | 27.14/2.55 | 51.38/23.97 | 42.07/−25.89 | 34.74/−17.01 | 59.56/−12.84 | 41.14/−4.76 |
| QOMS | 29.69/−6.47 | 37.94/−27.99 | 33.88/−0.82 | 41.51/−28.42 | 40.73/−12.2 | 46.96/8.72 | 38.45/−11.2 |
| SETORS | 65.58/20.94 | 30.98/−3.65 | 48.33/2.46 | 47.36/−31.92 | 73.48/−57.87 | 89.78/−51.71 | 59.25/−20.29 |
| NADORS | 24.65/−6.05 | 27.39/−14.11 | 32.6/5.92 | 35.76/−27.53 | -/- | 35.33/1.02 | 31.15/−8.15 |
| MAWORS | 41.48/−16.36 | 47.03/−33.09 | 48.34/22.75 | 52.66/−37.98 | -/- | 73.18/−45.33 | 52.54/−18.34 |
| NAMORS | 38.83/−11.87 | 44.01/−28.87 | 45.62/−0.5 | 52.13/−33.83 | 62.36/−36.83 | 62.06/−21.95 | 50.84/−22.31 |
| Products | ISCCP | CERES | ERA5 | Himawari-8 | GLASS | MCD18A1 | |
|---|---|---|---|---|---|---|---|
| 1° | bias (W/m²) | −2.20 | −7.57 | 16.30 | −12.77 | −21.35 | −16.24 |
| rbias (%) | 1.00 | 3.46 | 7.41 | 5.80 | 9.70 | 7.38 | |
| RMSE (W/m²) | 36.57 | 32.77 | 45.11 | 41.22 | 41.75 | 63.42 | |
| rRMSE (%) | 16.72 | 14.99 | 20.63 | 18.85 | 19.09 | 29.00 | |
| 0.75 | 0.80 | 0.66 | 0.72 | 0.75 | 0.57 | ||
| 0.25° | bias (W/m²) | 15.62 | −12.83 | −20.55 | −16.97 | ||
| rbias (%) | 7.14 | 5.83 | 9.34 | 7.71 | |||
| RMSE (W/m²) | 44.09 | 40.10 | 41.26 | 62.57 | |||
| rRMSE (%) | 20.16 | 18.34 | 18.89 | 28.61 | |||
| 0.68 | 0.72 | 0.78 | 0.61 | ||||
| 5 km | bias (W/m²) | −13.27 | −21.69 | −17.42 | |||
| rbias (%) | 6.11 | 9.92 | 7.92 | ||||
| RMSE (W/m²) | 39.70 | 40.86 | 61.77 | ||||
| rRMSE (%) | 18.26 | 18.68 | 28.24 | ||||
| 0.75 | 0.78 | 0.59 | |||||
Disclaimer/Publisher’s Note: The statements, opinions and data contained in all publications are solely those of the individual author(s) and contributor(s) and not of MDPI and/or the editor(s). MDPI and/or the editor(s) disclaim responsibility for any injury to people or property resulting from any ideas, methods, instructions or products referred to in the content. |
© 2024 by the authors. Licensee MDPI, Basel, Switzerland. This article is an open access article distributed under the terms and conditions of the Creative Commons Attribution (CC BY) license (https://creativecommons.org/licenses/by/4.0/).
Share and Cite
Li, T.; Xin, X.; Zhang, H.; Yu, S.; Li, L.; Ye, Z.; Liu, Q.; Cai, H. Evaluation of Six Data Products of Surface Downward Shortwave Radiation in Tibetan Plateau Region. Remote Sens. 2024, 16, 791. https://doi.org/10.3390/rs16050791
Li T, Xin X, Zhang H, Yu S, Li L, Ye Z, Liu Q, Cai H. Evaluation of Six Data Products of Surface Downward Shortwave Radiation in Tibetan Plateau Region. Remote Sensing. 2024; 16(5):791. https://doi.org/10.3390/rs16050791
Chicago/Turabian StyleLi, Tianci, Xiaozhou Xin, Hailong Zhang, Shanshan Yu, Li Li, Zhiqiang Ye, Qinhuo Liu, and He Cai. 2024. "Evaluation of Six Data Products of Surface Downward Shortwave Radiation in Tibetan Plateau Region" Remote Sensing 16, no. 5: 791. https://doi.org/10.3390/rs16050791
APA StyleLi, T., Xin, X., Zhang, H., Yu, S., Li, L., Ye, Z., Liu, Q., & Cai, H. (2024). Evaluation of Six Data Products of Surface Downward Shortwave Radiation in Tibetan Plateau Region. Remote Sensing, 16(5), 791. https://doi.org/10.3390/rs16050791

