Improved Phase Gradient Autofocus Method for Multi-Baseline Circular Synthetic Aperture Radar Three-Dimensional Imaging
Abstract
1. Introduction
2. MB CSAR Model
2.1. Three-Dimensional Imaging Model
2.2. Phase Calibration Model
3. Proposed Autofocus Method
3.1. Weighted Phase Gradient Estimation
3.2. Autofocus Algorithm Realization
3.2.1. Prominent Unit Selection
3.2.2. Linear Phase Term Elimination
3.2.3. Convergence Condition
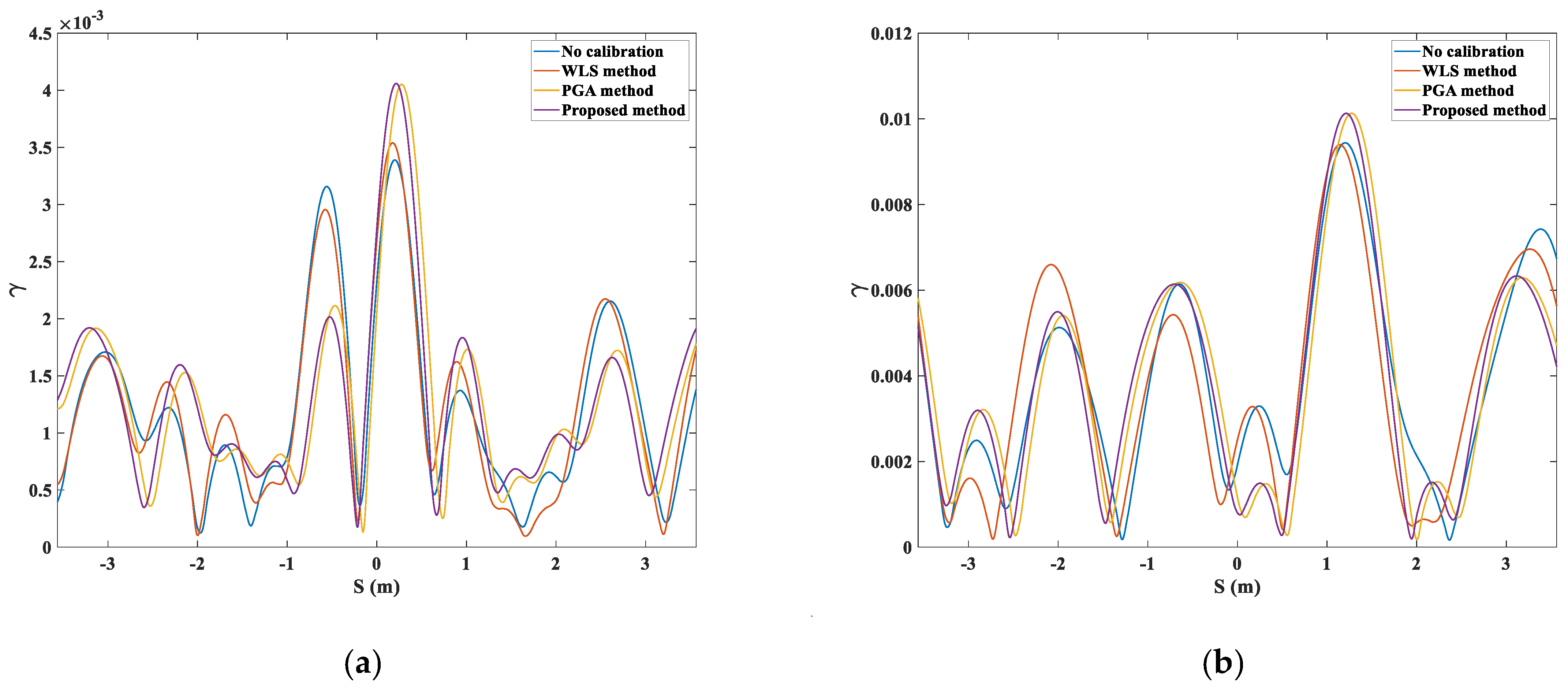
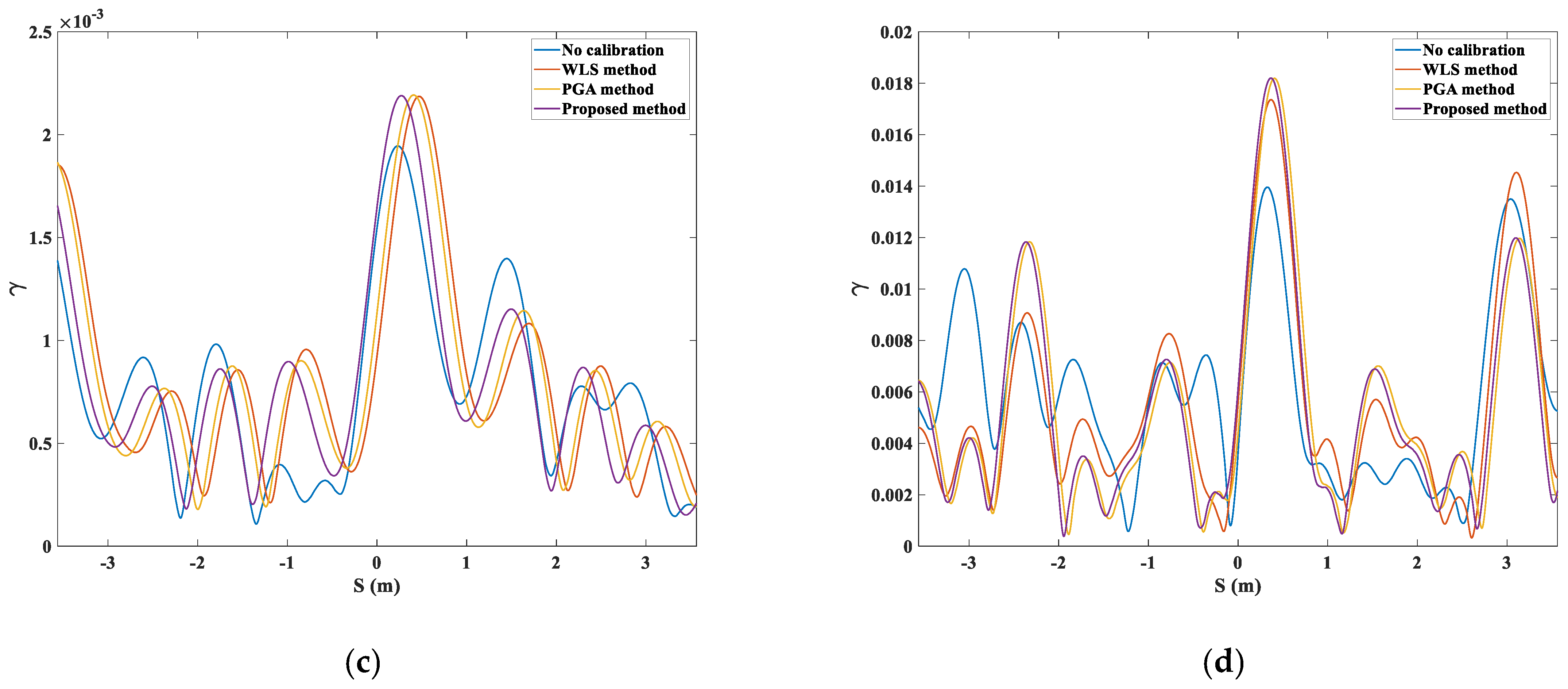
4. Experimental Results and Discussion
4.1. Dataset Overview
4.2. Autofocus Results
5. Conclusions
Author Contributions
Funding
Data Availability Statement
Acknowledgments
Conflicts of Interest
References
- Zhu, J.; Song, Y.; Jiang, N.; Xie, Z.; Fan, C.; Huang, X. Enhanced Doppler Resolution and Sidelobe Suppression Performance for Golay Complementary Waveforms. Remote Sens. 2023, 15, 2452. [Google Scholar] [CrossRef]
- Xie, Z.; Wu, L.; Zhu, J.; Lops, M.; Huang, X.; Shankar, M.R.B. RIS-Aided Radar for Target Detection Clutter Region Analysis and Joint Active-Passive Design. IEEE Trans. Signal Process. 2024, 72, 1706–1723. [Google Scholar] [CrossRef]
- Xie, Z.; Xu, Z.; Han, S.; Zhu, J.; Huang, X. Modulus Constrained Minimax Radar Code Design Against Target Interpulse Fluctuation. IEEE Trans. Veh. Technol. 2023, 72, 13671–13676. [Google Scholar] [CrossRef]
- Liu, H.; Xie, H.; Gao, T.; Yi, S.; Zhang, Y. High-Precision Imaging and Dense Vehicle Target Detection Method for Airborne Single-Pass Circular Synthetic Aperture Radar. IEEE J. Sel. Topics Appl. Earth Observ. Remote Sens. 2024, 17, 15330–15343. [Google Scholar] [CrossRef]
- Zhu, J.; Yin, T.; Guo, W.; Zhang, B.; Zhou, Z. An Underwater Target Azimuth Trajectory Enhancement Approach in BTR. Appl. Acoust. 2024. accepted for publication. [Google Scholar]
- Wu, Z.; Xie, H.; Gao, T.; Zhang, Y.; Liu, H. Moving Target Shadow Detection Method Based on Improved ViBe in VideoSAR Images. IEEE J. Sel. Topics Appl. Earth Observ. Remote Sens. 2024, 17, 14575–14587. [Google Scholar] [CrossRef]
- Zhu, J.; Xie, Z.; Jiang, N.; Song, Y.; Han, S.; Liu, W.; Huang, X. Delay-Doppler Map Shaping through Oversampled Complementary Sets for High Speed Target Detection. Remote Sens. 2024, 16, 2898. [Google Scholar] [CrossRef]
- Moreira, A.; Prats-Iraola, P.; Younis, M.; Krieger, G.; Hajnsek, I.; Papathanassiou, K.P. A tutorial on synthetic aperture radar. IEEE Geosci. Remote Sens. Mag. 2013, 1, 6–43. [Google Scholar] [CrossRef]
- Soumekh, M. Reconnaissance with slant plane circular SAR imaging. IEEE Trans. Image Process. 1996, 5, 1252–1265. [Google Scholar] [CrossRef]
- Austin, C.D.; Ertin, E.; Moses, R.L. Sparse Signal Methods for 3-D Radar Imaging. IEEE J. Sel. Topics Signal Process. 2011, 5, 408–423. [Google Scholar] [CrossRef]
- Han, D.; Zhou, L.; Jiao, Z.; Song, C.; Wu, Y. A Fast 3-D Imaging Method for Circular SAR Based on 3-D Back-Projection Algorithm. In Proceedings of the IEEE International Geoscience and Remote Sensing Symposium, Waikoloa, HI, USA, 26 September–2 October 2020; pp. 2368–2371. [Google Scholar]
- Reigber, A.; Moreira, A. First demonstration of airborne SAR tomography using multibaseline L-band data. IEEE Trans. Geosci. Remote Sens. 2000, 38, 2142–2152. [Google Scholar] [CrossRef]
- Ponce, O.; Prats-Iraola, P.; Scheiber, R.; Reigber, A.; Moreira, A. First Airborne Demonstration of Holographic SAR Tomography With Fully Polarimetric Multicircular Acquisitions at L-Band. IEEE Trans. Geosci. Remote Sens. 2016, 54, 6170–6196. [Google Scholar] [CrossRef]
- Lombardini, F.; Reigber, A. Adaptive spectral estimation for multibaseline SAR tomography with airborne L-band data. In Proceedings of the IEEE International Geoscience and Remote Sensing Symposium, Toulouse, France, 21–25 July 2003; pp. 2014–2016. [Google Scholar]
- Nannini, M.; Scheiber, R.; Moreira, A. Estimation of the Minimum Number of Tracks for SAR Tomography. IEEE Trans. Geosci. Remote Sens. 2009, 47, 531–543. [Google Scholar] [CrossRef]
- Bao, Q.; Lin, Y.; Hong, W.; Shen, W.; Zhao, Y.; Peng, X. Holographic SAR Tomography Image Reconstruction by Combination of Adaptive Imaging and Sparse Bayesian Inference. IEEE Geosci. Remote Sens. Lett. 2017, 14, 1248–1252. [Google Scholar] [CrossRef]
- Aghababaee, H.; Fornaro, G.; Schirinzi, G. Phase Calibration Based on Phase Derivative Constrained Optimization in Multibaseline SAR Tomography. IEEE Trans. Geosci. Remote Sens. 2018, 56, 6779–6791. [Google Scholar] [CrossRef]
- Reigber, A.; Prats, P.; Mallorqui, J.J. Refined estimation of time-varying baseline errors in airborne SAR interferometry. IEEE Geosci. Remote Sens. Lett. 2006, 3, 145–149. [Google Scholar] [CrossRef]
- Gatti, G.; Tebaldini, S.; Mariotti d’Alessandro, M.; Rocca, F. ALGAE: A Fast Algebraic Estimation of Interferogram Phase Offsets in Space-Varying Geometries. IEEE Trans. Geosci. Remote Sens. 2011, 49, 2343–2353. [Google Scholar] [CrossRef]
- Tebaldini, S.; Rocca, F.; Mariotti d’Alessandro, M.; Ferro-Famil, L. Phase Calibration of Airborne Tomographic SAR Data via Phase Center Double Localization. IEEE Trans. Geosci. Remote Sens. 2016, 54, 1775–1792. [Google Scholar] [CrossRef]
- Pardini, M.; Papathanassiou, K.; Bianco, V.; Iodice, A. Phase calibration of multibaseline SAR data based on a minimum entropy criterion. In Proceedings of the IEEE International Geoscience and Remote Sensing Symposium, Munich, Germany, 22–27 July 2012; pp. 5198–5201. [Google Scholar]
- Fletcher, I.; Watts, C.; Miller, E.; Rabinkin, D. Minimum entropy autofocus for 3D SAR images from a UAV platform. In Proceedings of the IEEE Radar Conference, Philadelphia, PA, USA, 2–6 May 2016; pp. 1–5. [Google Scholar]
- Ash, J.N. An Autofocus Method for Backprojection Imagery in Synthetic Aperture Radar. IEEE Geosci. Remote Sens. Lett. 2012, 9, 104–108. [Google Scholar] [CrossRef]
- Feng, D. Research on Technologies of Multibaseline SAR ThreeDimensional Imaging. Ph.D. Thesis, National University of Defense Technology, Changsha, China, 2020. [Google Scholar]
- Wahl, D.E.; Eichel, P.H.; Ghiglia, D.C.; Jakowatz, C.V. Phase Gradient Autofocus: A Robust Tool for High Resolution SAR Phase Correction. IEEE Trans. Aerosp. Electron. Syst. 1994, 30, 827–835. [Google Scholar] [CrossRef]
- Wahl, D.E.; Jakowatz, C.V.; Thompson, P.A.; Ghiglia, D.C. New approach to strip-map SAR autofocus. In Proceedings of the IEEE 6th Digital Signal Processing Workshop, Yosemite National Park, CA, USA, 2–5 October 1994; pp. 53–56. [Google Scholar]
- Chan, H.L.; Yeo, T.S. Noniterative quality phase-gradient autofocus (QPGA) algorithm for spotlight SAR imagery. IEEE Trans. Geosci. Remote Sens. 1998, 36, 1531–1539. [Google Scholar] [CrossRef]
- Macedo, K.A.C.d.; Scheiber, R.; Moreira, A. An autofocus approach for residual motion errors with application to airborne repeat-pass SAR interferometry. In Proceedings of the IEEE International Geoscience and Remote Sensing Symposium, Barcelona, Spain, 23–28 July 2007; pp. 4886–4889. [Google Scholar]
- Sun, X. Research on SAR Tomography and Differential SAR Tomography Imaging Technology. Ph.D. Thesis, National University of Defense Technology, Changsha, China, 2012. [Google Scholar]
- Feng, D.; An, D.; Huang, X.; Li, Y. A Phase Calibration Method Based on Phase Gradient Autofocus for Airborne Holographic SAR Imaging. IEEE Geosci. Remote Sens. Lett. 2019, 16, 1864–1868. [Google Scholar] [CrossRef]
- Lu, H.; Zhang, H.; Fan, H.; Liu, D.; Wang, J.; Wan, X.; Zhao, L.; Deng, Y.; Zhao, F.; Wang, R. Forest height retrieval using P-band airborne multi-baseline SAR data: A novel phase compensation method. ISPRS J. Photogramm. Remote Sens. 2021, 175, 99–118. [Google Scholar] [CrossRef]
- Huang, F.; Feng, D.; Hua, Y.; Ge, S.; He, J.; Huang, X. Phase Calibration in Holographic Synthetic Aperture Radar: An Innovative Method for Vertical Shift Correction. Remote Sens. 2024, 16, 2728. [Google Scholar] [CrossRef]
- Chen, L.; An, D.; Huang, X. A Backprojection-Based Imaging for Circular Synthetic Aperture Radar. IEEE J. Sel. Top. Appl. Earth Obs. Remote Sens. 2017, 10, 3547–3555. [Google Scholar] [CrossRef]
- Zhang, L.; Qiao, Z.; Xing, M.; Yang, L.; Bao, Z. A Robust Motion Compensation Approach for UAV SAR Imagery. IEEE Trans. Geosci. Remote Sens. 2012, 50, 3202–3218. [Google Scholar] [CrossRef]
- Ye, W.; Yeo, T.S.; Bao, Z. Weighted least-squares estimation of phase errors for SAR/ISAR autofocus. IEEE Trans. Geosci. Remote Sens. 1999, 37, 2487–2494. [Google Scholar] [CrossRef]
- Cacciamano, A.; Giusti, E.; Capria, A.; Martorella, M.; Berizzi, F. Contrast-Optimization-Based Range-Profile Autofocus for Polarimetric Stepped-Frequency Radar. IEEE Trans. Geosci. Remote Sens. 2010, 48, 2049–2056. [Google Scholar] [CrossRef]
- Casteel, C.H.; Gorham, L.A.; Minardi, M.J.; Scarborough, S.M.; Naidu, K.D.; Majumder, U.K. A Challenge Problem for 2D/3D Imaging of Targets from a Volumetric Data Set in an Urban Environment. In Proceedings of the SPIE, 14th Algorithms and Synthetic Aperture Radar Imaging, International Society for Optics and Photonics, Orlando, FL, USA, 9–13 April 2007; pp. 97–103. [Google Scholar]
- Ma, P.; Lin, H. Robust Detection of Single and Double Persistent Scatterers in Urban Built Environments. IEEE Trans. Geosci. Remote Sens. 2016, 54, 2124–2139. [Google Scholar] [CrossRef]
















| Methods | Point A | Point B | Point C | Point D | ||||
|---|---|---|---|---|---|---|---|---|
| Contrast | Entropy | Contrast | Entropy | Contrast | Entropy | Contrast | Entropy | |
| No calibration | 2.7144 | 3.1704 | 2.1876 | 3.4985 | 1.6845 | 3.8251 | 2.0516 | 3.6227 |
| WLS method | 3.3208 | 2.8297 | 2.6516 | 3.2217 | 2.9569 | 2.9044 | 2.1448 | 3.5428 |
| PGA method | 3.5203 | 2.7080 | 3.0063 | 2.9720 | 2.8729 | 2.9871 | 2.2360 | 3.4989 |
| Proposed method | 3.4971 | 2.7239 | 3.1571 | 2.8787 | 2.8692 | 2.9936 | 2.2701 | 3.4722 |
| Methods | Point E | Point F | Point G | Point H | ||||
|---|---|---|---|---|---|---|---|---|
| Contrast | Entropy | Contrast | Entropy | Contrast | Entropy | Contrast | Entropy | |
| No calibration | 2.2758 | 3.3514 | 1.8996 | 3.6316 | 2.1949 | 3.4857 | 1.9020 | 3.6294 |
| WLS method | 2.3622 | 3.3563 | 1.7986 | 3.7130 | 2.3105 | 3.3290 | 2.5698 | 3.1309 |
| PGA method | 3.1402 | 2.9668 | 2.1437 | 3.5241 | 2.3701 | 3.2963 | 2.7867 | 3.0583 |
| Proposed method | 3.1327 | 2.9771 | 2.1514 | 3.5187 | 2.5369 | 3.2250 | 2.7904 | 3.0532 |
Disclaimer/Publisher’s Note: The statements, opinions and data contained in all publications are solely those of the individual author(s) and contributor(s) and not of MDPI and/or the editor(s). MDPI and/or the editor(s) disclaim responsibility for any injury to people or property resulting from any ideas, methods, instructions or products referred to in the content. |
© 2024 by the authors. Licensee MDPI, Basel, Switzerland. This article is an open access article distributed under the terms and conditions of the Creative Commons Attribution (CC BY) license (https://creativecommons.org/licenses/by/4.0/).
Share and Cite
Yi, S.; Xie, H.; Zhang, Y.; Wu, Z.; Ge, M.; Zhu, N.; Lu, Z.; Qin, P. Improved Phase Gradient Autofocus Method for Multi-Baseline Circular Synthetic Aperture Radar Three-Dimensional Imaging. Remote Sens. 2024, 16, 4242. https://doi.org/10.3390/rs16224242
Yi S, Xie H, Zhang Y, Wu Z, Ge M, Zhu N, Lu Z, Qin P. Improved Phase Gradient Autofocus Method for Multi-Baseline Circular Synthetic Aperture Radar Three-Dimensional Imaging. Remote Sensing. 2024; 16(22):4242. https://doi.org/10.3390/rs16224242
Chicago/Turabian StyleYi, Shiliang, Hongtu Xie, Yuanjie Zhang, Zhitao Wu, Mengfan Ge, Nannan Zhu, Zheng Lu, and Pengcheng Qin. 2024. "Improved Phase Gradient Autofocus Method for Multi-Baseline Circular Synthetic Aperture Radar Three-Dimensional Imaging" Remote Sensing 16, no. 22: 4242. https://doi.org/10.3390/rs16224242
APA StyleYi, S., Xie, H., Zhang, Y., Wu, Z., Ge, M., Zhu, N., Lu, Z., & Qin, P. (2024). Improved Phase Gradient Autofocus Method for Multi-Baseline Circular Synthetic Aperture Radar Three-Dimensional Imaging. Remote Sensing, 16(22), 4242. https://doi.org/10.3390/rs16224242

