Abstract
Detecting and characterizing continuous changes on Earth’s surface has become critical for planning and development. Since 2016, Planet Labs has launched hundreds of nanosatellites, known as Doves. Despite the advantages of their high spatial and temporal resolution, these nanosatellites’ images still present inconsistencies in radiometric resolution, limiting their broader usability. To address this issue, a model for radiometric normalization of PlanetScope (PS) images was developed using Multispectral Instrument/Sentinel-2 (MSI/S2) sensor images as a reference. An extensive database was compiled, including images from all available versions of the PS sensor (e.g., PS2, PSB.SD, and PS2.SD) from 2017 to 2022, along with data from various weather stations. The sampling process was carried out for each band using two methods: Conditioned Latin Hypercube Sampling (cLHS) and statistical visualization. Five machine learning algorithms were then applied, incorporating both linear and nonlinear models based on rules and decision trees: Multiple Linear Regression (MLR), Model Averaged Neural Network (avNNet), Random Forest (RF), k-Nearest Neighbors (KKNN), and Support Vector Machine with Radial Basis Function (SVM-RBF). A rigorous covariate selection process was performed for model application, and the models’ performance was evaluated using the following statistical indices: Root Mean Squared Error (RMSE), Mean Absolute Error (MAE), Lin’s Concordance Correlation Coefficient (CCC), and Coefficient of Determination (R2). Additionally, Kruskal–Wallis and Dunn tests were applied during model selection to identify the best-performing model. The results indicated that the RF model provided the best fit across all PS sensor bands, with more accurate results in the longer wavelength bands (Band 3 and Band 4). The models achieved RMSE reflectance values of approximately 0.02 and 0.03 in these bands, with R2 and CCC ranging from 0.77 to 0.90 and 0.87 to 0.94, respectively. In summary, this study makes a significant contribution to optimizing the use of PS sensor images for various applications by offering a detailed and robust approach to radiometric normalization. These findings have important implications for the efficient monitoring of surface changes on Earth, potentially enhancing the practical and scientific use of these datasets.
1. Introduction
Growing concerns about water and environmental security have led to increased attention on monitoring and characterizing Earth’s surface over time and space [1,2]. As a result, satellite-based sensor systems have rapidly evolved in recent years [3,4]. However, many sensors still face limitations in terms of spectral, spatial, and temporal resolution [5]. Due to design constraints, satellites capable of high spatial resolution often have lower temporal resolution, requiring longer revisit times [6].
Planet Labs has developed a large constellation of nanosatellites, known as “Doves”, which have been in operation since 2015. These nanosatellites provide daily coverage of Earth’s surface with a spatial resolution of 3.7 m. Their compact and lightweight design (weighing just 5 kg) allows for quick production and avoids the need for dedicated launch vehicles, as they can be deployed as secondary payloads on other missions [7]. Thanks to these advantages, the PlanetScope (PS) sensor has been widely used for various ecological and environmental applications, especially where real-time changes or small areas need to be monitored [8,9,10,11,12,13].
While the PS sensor offers significant advantages in spatial resolution (3.7 m) and temporal resolution (1 day), its radiometric quality falls short when compared to larger, more conventional satellites such as Landsat, MODIS, or Sentinel-2 (S2). Researchers such as Houborg and McCabe [14] and Leach, Coops, and Obrknezev [15] have reported radiometric inconsistencies. These inconsistencies affect the usability of the sensor, since the same invariant target can produce different radiometric responses under identical conditions throughout the time series. The main causes of these inconsistencies are calibration differences between different versions of the Planet platform (e.g., PS2, PS2.SD, and PSB.SD) and environmental or atmospheric factors [16]. One solution to mitigate these limitations is the use of radiometric correction techniques [17].
According to Zhu [18], radiometric correction can be divided into two categories: absolute radiometric correction (ARC) and relative radiometric normalization (RRN). ARC uses parameters related to atmospheric correction and synchronous satellite observation data to achieve precise sensor calibration [19]. However, applying ARC remains challenging due to difficulties in obtaining atmospheric correction parameters for historical images, especially given the short lifespan of satellites [17]. In contrast, RRN relies on radiometric information derived from the images themselves, adjusting the pixel values of a target image to align with those of a reference image [20].
The RRN method involves identifying pairs of pseudo-invariant targets between images, from which a radiometric normalization model is created [21]. Pseudo-invariant targets are characterized by relatively stable reflectance across the acquisition dates of different images, making them essential for constructing the normalization model [22]. Houborg and McCabe [23] developed a radiometric normalization methodology for PS, MODIS, and Landsat images, which has been successfully used to monitor changes in agricultural spectral indices in Saudi Arabia. Similarly, Leach, Coops, and Obrknezev [15] applied a temporal normalization approach to PS image time series, using Landsat images as a reference for areas affected by wildfires.
While several methodologies have been proposed for normalizing PS images, advanced approaches that leverage machine learning algorithms and complete PS time series, alongside Multispectral Instrument S2 (MSI) sensor data, remain underexplored. To address the requirements of RRN, this study proposes using Sentinel-2 (S2) sensor images, provided by the European Space Agency (ESA), as a reference. S2 images are a strong candidate for this purpose due to their excellent radiometric calibration between sensors, as demonstrated in multiple studies [24,25,26,27]. Additionally, the S2 sensor offers 13 spectral bands, a temporal resolution of 5 days, and spatial resolutions ranging from 10 to 60 m [5,28,29]. This study aims to develop an effective radiometric normalization method for the PS nanosatellite constellation using S2 sensor images as a reference.
2. Materials and Methods
2.1. Study Area
The study was conducted over a 2000 km2 area, encompassing part of the Três Marias reservoir and its drainage basin, located in the upper São Francisco River basin (Figure 1) in the central region of Minas Gerais, Brazil [30]. The Três Marias reservoir covers a water surface area of 1054.6 km2, spans nine cities within Minas Gerais, and plays a crucial role in the region’s economy [31].
Figure 1.
Location of the study area.
The region around the Três Marias reservoir has an average elevation of 720 m and features predominantly hilly to mountainous terrain. The primary soil types include red latosols, red-yellow latosols, haplic cambisols, and humic cambisols [32]. The climate is classified as tropical (Aw), with two distinct seasons: a rainy summer from October to March and a dry winter from April to September [33].
This region was selected due to its diverse soil types, topography, vegetation cover, and presence of inland water bodies, all of which are important factors for developing and constructing a model for satellite image normalization [22,34].
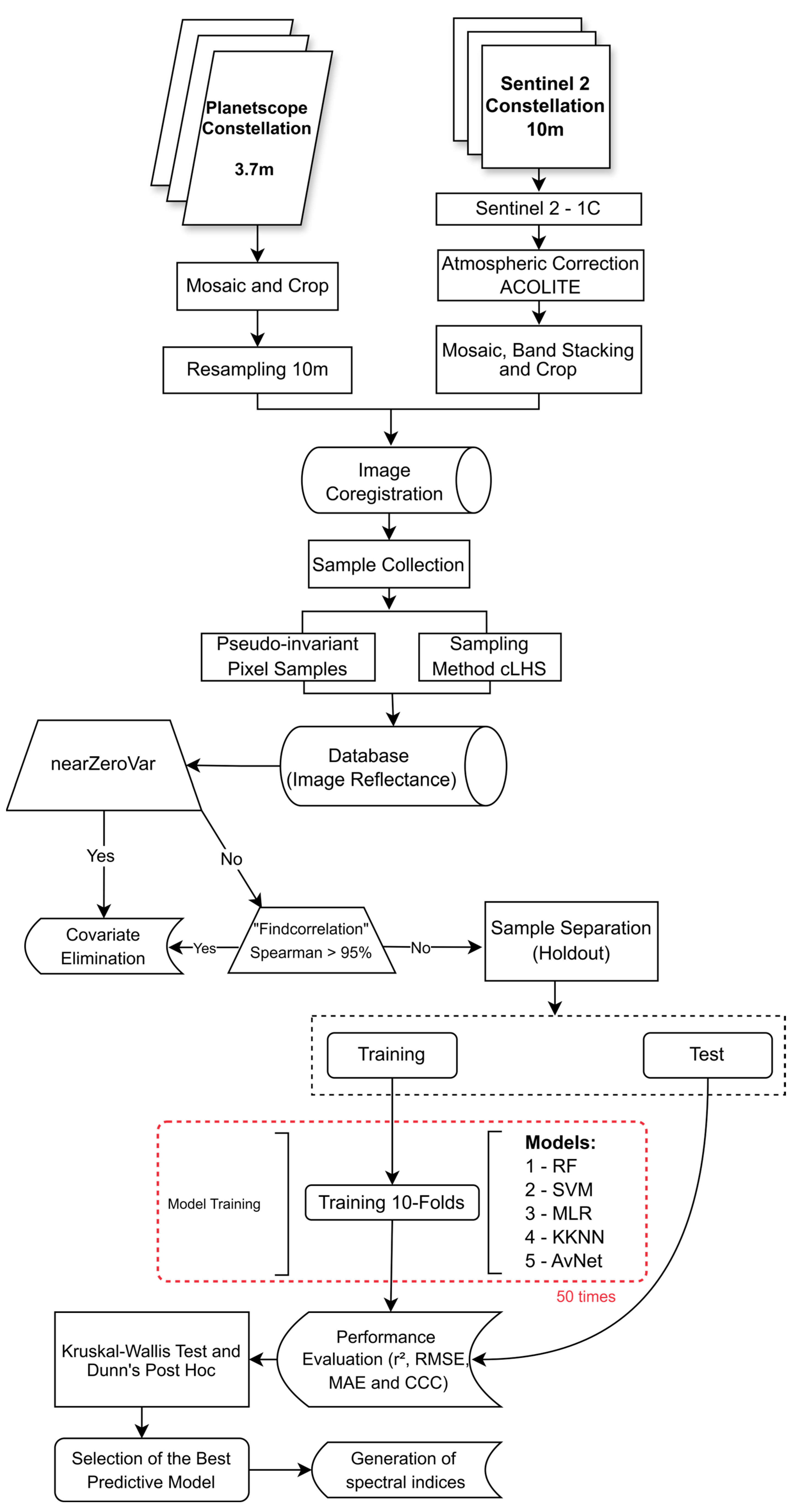
Figure 2 illustrates the steps used to develop the radiometric normalization method for the PS satellite constellation, using the MSI/Sentinel-2 (S2) sensor as a reference. First, images from both the S2 and PS sensors were acquired and preprocessed, covering the period from 2017 to 2022, which corresponds to the sensors’ operational timelines. The reflectance data were separated by bands and individually modeled using different machine learning algorithms: Multiple Linear Regression (MLR), Model Averaged Neural Network (avNNet), Random Forest (RF), k-Nearest Neighbors (KKNN), and Support Vector Machines with Radial Basis Function Kernel (SVM-RBF). The performance of the models was evaluated using statistical indices such as RMSE, Mean Absolute Error (MAE), Lin’s Concordance Correlation Coefficient (CCC), and Coefficient of Determination (R2). Finally, the normalized PS bands were used to calculate spectral indices, which were then compared to those generated from the S2 reference images. Details of each step are discussed in the following sections.
Figure 2.
Schematic flowchart of the steps for the radiometric normalization of the PS constellation.
2.2. Spectral Data
In this study, images from the Multispectral Instrument (MSI) sensor aboard the Sentinel-2A (S2A) and Sentinel-2B (S2B) satellites were used as references for radiometric normalization. PS sensor images from three generations of CubeSats (PS2, PS2.SD, and PSB.SD) were used as target images. The following sections describe the products and processing methods used in this study.
2.2.1. PlanetScope Images
Planet is a commercial company that operates a constellation of small CubeSat 3U nanosatellites, each measuring approximately 10 × 10 × 30 cm and weighing about 4 kg. Currently, Planet operates over 180 “Dove” nanosatellites, which provide high-resolution images of the Earth’s surface daily. These images capture scenes in four wavelength bands: red (610–700 nm), green (500–590 nm), blue (420–530 nm) (RGB), and near-infrared (780–860 nm) (NIR), with a spatial resolution of approximately 3.7 m. According to the Planet Team [35], PS images are orthorectified using the Universal Transverse Mercator (UTM) projection and geometrically corrected to a positional accuracy of 10 m.
2.2.2. Sentinel-2 Images
The Sentinel-2A (S2A) and Sentinel-2B (S2B) satellites, known as twin satellites, orbit 180° apart. They were launched by the European Space Agency (ESA) on 23 June 2015, and 7 March 2017, respectively, and are still operational [36]. Together, these satellites provide Sentinel-2 (S2) images with a temporal resolution of 5 days [28,29]. For this study, 10 spectral bands from the Multispectral Instrument (MSI) aboard Sentinel-2 were used. These include three visible (RGB) bands with wavelengths centered at 490 nm, 560 nm, and 665 nm, and a spatial resolution of 10 m; one near-infrared (NIR) band centered at 842 nm, also with a spatial resolution of 10 m; four additional NIR bands with wavelengths centered at 705 nm, 740 nm, 783 nm, and 865 nm, with a spatial resolution of 20 m; and two short-wave infrared (SWIR) bands centered at 1610 nm and 2190 nm, with a spatial resolution of 60 m.
2.3. Image Preprocessing
Sentinel-2 images were obtained from the ESA website https://scihub.copernicus.eu (accessed 3 March 2024). For this study, 15 scenes with low cloud cover were selected from level 1C (top-of-atmosphere reflectance) data, covering different seasons between 2017 and 2022.
Next, atmospheric correction was applied to the raw Sentinel-2 images using the ACOLITE method [37], which removes attenuation effects caused by atmospheric constituents such as molecular and aerosol scattering as well as absorption by water vapor, ozone, oxygen, and carbon dioxide [38]. This method is recommended for applications over inland waters [39,40,41], and it allowed the images to be converted from level 1C (top-of-atmosphere reflectance) to level 2A (surface reflectance), minimizing the influence of atmospheric conditions present at the time of image acquisition [42]. The MSI sensor bands were then stacked, excluding bands 1 (aerosol), 9 (water vapor), and 10 (cirrus). Finally, the region of interest was clipped using the “terra” package in R language [43,44].
The PlanetScope images were downloaded using the application programming interface (API) available at https://www.planet.com/explorer (accessed 3 December 2023). Scenes from all three sensor generations (PS2, PS2.SD, and PSB.SD) were selected. All chosen scenes had low cloud cover and were captured on the same dates and times as the Sentinel-2 images. Due to the striated nature of the PS images, mosaicking of different strips was required to create a single scene. Although PlanetScope images are not freely available, they can be accessed at no cost through university affiliations and registration in the Planet Education and Research program (go.planet.com/research).
Geospatial co-registration of the PS images was then performed, which is essential when working with remote sensing data. Inaccurate registration, either between or within sensors, can significantly affect image analysis, particularly in multi-sensor or multi-temporal data processing [45]. To reduce co-registration errors between different sensors, consecutive PS scenes were aligned using spatial autocorrelation optimization, as described by Houborg and McCabe [23]. This automated technique corrects pixel displacements in the x- and y-directions relative to a reference image, maximizing the accuracy of the alignment.
Table 1 shows the minimal time difference between the PS and S2 satellite imagery. This small-time gap is crucial, as it reduces variations in atmospheric and aquatic environmental conditions, minimizing uncertainties when comparing different sensors [46].
Table 1.
Description of acquisition data from the PlanetScope and Sentinel-2 platforms.
2.4. Image Sampling
The identification of pseudo-invariant targets was performed using two distinct yet complementary sampling methods. The first method involved identifying pseudo-invariant targets through band-by-band statistical visualization [47]. The second method employed automatic Conditioned Latin Hypercube Sampling (cLHS) [48,49]. The cLHS method was chosen for its space-filling capability, which delivers high-performance results with a smaller dataset. This reduces both storage costs and training time, making cLHS one of the most advanced sampling techniques available [50].
In the first method, 15 stacked Sentinel-2 (S2) images were used. Pixel values for each band were first converted to points. Next, the standard deviation for the same pixel across different years was calculated. The sum of deviations for all bands within the same block was then determined, followed by calculating the total standard deviation. Pixels with the lowest standard deviation values were individually analyzed based on the criteria for pseudo-invariant pixels. These criteria included ensuring small elevation changes (to maintain consistent atmospheric thickness), selecting areas with minimal vegetation (due to its high susceptibility to change over time), positioning in flat areas (to minimize the influence of sun angle changes between images), and ensuring a wide range of brightness values [22,34].
S2 images covering various periods between 2017 and 2022 were used to define samples using the cLHS method. The process involved 1,000,000 iterations, monitoring the convergence of the Metropolis-Hastings objective function to ensure stability and identify representative points in a Latin hypercube. The optimal dataset was obtained when the objective function reached a stationary state, which occurred after 500,000 iterations [48,49,51].
2.5. Modeling of Radiometric Normalization Algorithms
To develop robust radiometric normalization models, the data were divided into four sets, corresponding to the spectral bands: B1 (Blue), B2 (Green), B3 (Red), and B4 (NIR). A separate prediction model was constructed for each band.
Due to the large amount of data collected, a subsampling procedure was applied. Subsampling is a method that approximates the sampling distribution of the original data by reducing the total data used for training, which in turn reduces the computational time without compromising the performance of the final model. The selected samples were randomly divided, with 5% used for training and 95% used for testing. This procedure was repeated 50 times.
By using cLHS, the 5% of data selected for training can effectively represent the variability of the entire sample set. Moreover, using a larger training set would increase the computational cost of processing the datasets [52]. During training, the models’ internal parameters were optimized by repeated cross-validation (repeatedcv), using 10 folds and 10 replicates for each algorithm’s internal hyperparameter (tuneLength). The values for each algorithm’s internal parameters were set according to the standards defined by their developers and are described in detail in Section 2.6, “Described Models”, of the “Caret” package manual, available from https://topepo.github.io/caret/available-models.html, accessed on 31 August 2024.
2.6. Selection of Covariables
Covariate selection is commonly used to reduce data dimensionality, eliminate noisy or redundant variables, and remove those with low variance, thereby increasing model simplicity [53,54,55]. This procedure was applied to identify a subset of the original covariates that minimize redundancy and maximized relevance. As a result, only the most important covariates for predicting the dependent variable were retained in the model.
First, covariates with zero variance were eliminated, as they did not contribute significantly to model performance [56]. The “nearZeroVar” function from the Caret package was used for this purpose [57].
Next, the Spearman correlation coefficient was applied [58]. Covariates with a correlation coefficient of 95% or greater were evaluated in pairs, and the covariate with the highest absolute correlation with all other covariates in each pair was removed. These procedures were applied to samples collected from the 10 spectral bands of the MSI sensor (B2, B3, B4, B5, B6, B7, B8, B8A, B11, and B12).
2.7. Selection of Machine Learning Algorithms
To model the radiometric normalization of PlanetScope (PS) data, five different machine learning algorithms were selected: MLR [59], avNNet [60], RF [61], KKNN [62], and SVM-RBF [63]. The main difference between these algorithms lies in how they manage the data during training [64]. Additionally, they apply a variety of rules, classifying them as linear, nonlinear, rule-based, decision tree, kernel, or neural network algorithms. Some are capable of estimating values outside the range of the training data [55]. Testing algorithms with different rules helps identify the one that best fits the proposed dataset [65].
2.8. Model Evaluation
To evaluate the performance of the fitted models for each spectral band, the normalized values in the sensor images obtained through modeling were compared to the observed values in the reference S2 images. The following statistical metrics were used for evaluation: RMSE (Equation (1)), MAE (Equation (2)), CCC (Equation (3)), and R2 (Equation (4)) [66,67,68].
where: represents the values predicted by the model; represents the observed values; represents the mean of the observed values; represents the mean of the predicted values; and are the variations of the predicted and estimated values, respectively; and represents the number of observation pairs.
This set of metrics was employed to capture different aspects of model performance. RMSE squares the difference between predicted and observed values, making it a good indicator of outliers in the predicted data [69]. In contrast, MAE is less sensitive to outliers [70]. CCC and R2 were used to assess the correlation between the normalized values obtained from the models and the observed values in the reference S2 images. The key difference between CCC and R2 is that CCC evaluates both the location and scale of the data, measuring how closely the best-fit line aligns with a 45-degree (1:1) line from the origin [68,71]. According to Altman [72], CCC and R2 can be interpreted similarly: values above 0.5 are considered moderate, values above 0.7 are considered strong, and values above 0.9 are considered very strong.
For comparison, RMSE and MAE (Equations (5) and (6)) were also calculated for the null model. The null model (NULL) uses the mean of the collected samples as a baseline and provides a single mean value based on the training set. Models that perform similarly to or worse than the null model are typically discarded. The best models should have RMSE and MAE values lower than NULL_RMSE and NULL_MAE, indicating that the machine learning models outperform the simple use of means, thus demonstrating their benefit [73].
where: represents the mean of the training samples; represents the values of the test samples, and represents the number of samples (iterations/loops).
Finally, the models were compared using nonparametric statistical tests. Since each model generated 50 values for each statistical metric (RMSE, MAE, CCC, and R2), the goal at this stage was to assess whether there were statistically significant differences between the models and to determine which models showed significant differences. To achieve this, the Kruskal–Wallis test [74]—a nonparametric test for comparing three or more groups of continuous variables—was applied. Additionally, the Dunn test [75], a pairwise post hoc test for the Kruskal–Wallis test, was used with a 95% confidence interval [76].
2.9. Spectral Indices
Based on the models generated for each band, and with the goal of conducting a comprehensive and practical evaluation, five spectral indices were selected: the Normalized Difference Vegetation Index (NDVI) (Equation (7)), Soil-Adjusted Vegetation Index (SAVI) (Equation (8)), Normalized Difference Water Index (NDWI) (Equation (9)), Normalized Difference Turbidity Index (NDTI) (Equation (10)), and Iron Index (Equation (11)). The model that performed best in the predicted vs. observed comparison was used to generate these indices. This model was run through 50 iterations, producing 50 values for each pixel. The final value assigned to each pixel was calculated by averaging the resulting values [77,78,79,80,81].
where: represents the blue band; represents the green bands; represents the red band; represents the near-infrared bands.
3. Results and Discussion
Figure 3 illustrates the sampling points obtained after applying the sampling methods to a selected scene. A total of 750,050 sampling points were collected from the 15 scenes chosen for the study. Of these, 750,000 points (shown in orange) were acquired using the cLHS method, while 50 points (shown in green) were obtained through statistical evaluation of band-to-band pseudo-invariant pixels.
Figure 3.
Spatial distribution of samples in the study quadrant, where orange points represent locations identified by the cLHS method, and green points represent those obtained through statistical evaluation of band-to-band pseudo-invariant pixels.
Although the number of samples obtained by identifying pseudo-invariant targets is small compared to the total number of samples, this approach plays a crucial role in the analysis process. Using this method, it was possible to collect samples with reflectance values close to the minimum (0) and maximum (1), which are highly valuable for model training. These samples provide a broader range of data, which is particularly important for decision tree-based algorithms that struggle to extrapolate beyond the range for which they were trained [55,82].
Moreover, the collected samples represent 3.75% of the total pixels in the study area (20 million), emphasizing a key advantage of the cLHS method: its ability to optimize the distribution of samples across the data space. This results in effective performance with a relatively small dataset compared to other sampling methods. Such efficiency is critical for practical applications involving large datasets [48].
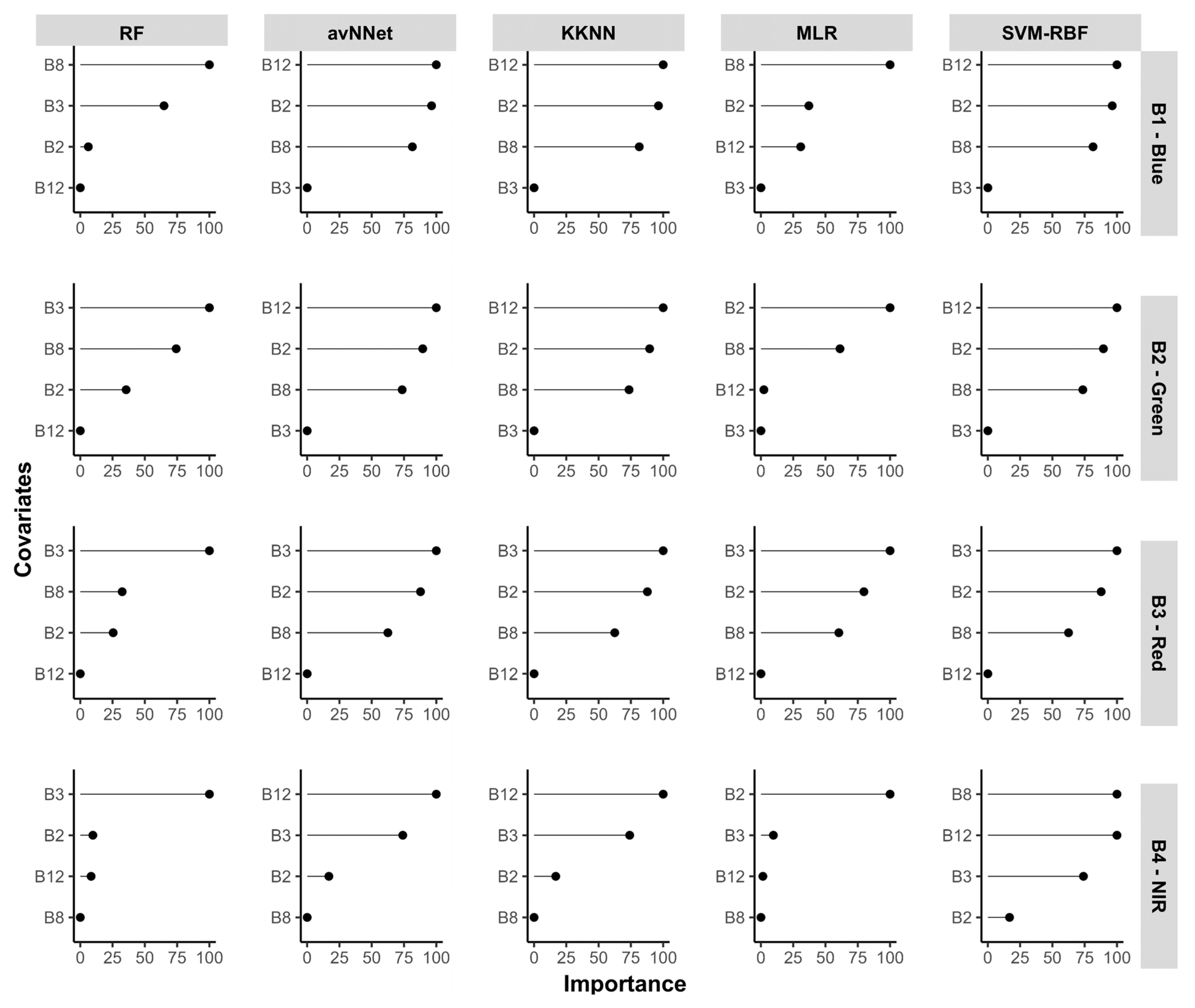
Figure 4 displays the most important covariates for each model across the four bands of the PS sensor (B1 for Blue, B2 for Green, B3 for Red, and B4 for NIR). After eliminating covariates with near-zero or zero variance and applying the Spearman correlation coefficient, the number of covariates was significantly reduced. The initial set of ten covariates was optimized down to four key covariates (Band 2 [Blue], Band 3 [Green], Band 8 [NIR], and Band 12 [SWIR 2]) that were applicable to all models and bands of the PS sensor.
Figure 4.
Importance of covariates in normalizing the PlanetScope sensor using the MSI sensor, based on Multiple Linear Regression (MLR), Model Averaged Neural Network (avNNet), Random Forest (RF), k-Nearest Neighbors (KKNN), and Support Vector Machines with Radial Basis Function Kernel (SVM-RBF), applied to bands B1, B2, B3, and B4.
This optimization approach, using Spearman correlation filtering, was also employed by Muñoz-Romero et al. [53], who improved the identification of relevant covariates for their proposed methodology. Similarly, Da Silveira [56] used variance selection and Spearman filtering to effectively reduce covariate dimensionality, processing time, and computational costs without compromising model performance.
An individual analysis of the bands selected for normalization in the PS sensor revealed that Band 12 of the S2 sensor was the primary variable in eight cases, followed by Band 3 in seven models, Band 8 in three models, and Band 2 in only two models (Figure 4). These results align with findings from Morse-McNabb, Hasan, and Karunaratne [71], who highlighted the importance of Band 12 (SWIR) in enhancing the accuracy of machine learning model estimates.
Focusing on the prediction algorithms, we see that for SVM-RBF, the covariates B12 and B3 were the most important. This pattern was also observed for the KKNN and avNNet algorithms. In contrast, for the RF and MLR algorithms, the most important covariates were B8 and B3. This behavior is linked to how these models generalize and separate the datasets [83]. This underscores the importance of studying the behavior of the most relevant variables to gain deeper insights into the radiometric normalization process, offering valuable information for future optimizations and model improvements.
Figure 5 shows the scatter plot of observed and estimated reflectance values from the radiometric normalization of PS images, demonstrating a strong 1:1 linear relationship. Bands with longer wavelengths showed a better fit to the 1:1 line across all models, highlighting the effectiveness of the implemented algorithms. Notably, the value range for each band was preserved, demonstrating the consistency of radiometric normalization in maintaining the unique characteristics of each spectral band.
Figure 5.
Comparison of predicted and observed reflectance values for Bands 1, 2, 3, and 4 using RF, avNNet, KKNN, MLR, and SVM-RBF machine learning models. In black the 1:1 line and in gold the trend line.
Table 2 presents the results of the metrics used to evaluate the performance of the machine learning models applied to the radiometric normalization of PS images. The fitting metrics during training for the RF, avNNet, KKNN, MLR, and SVM-RBF models, obtained using k-fold cross-validation (CV), were remarkably similar. This indicates the robustness of the models, especially since cross-validation was used for hyperparameter tuning [67,83]. Furthermore, all models showed MAE and RMSE values lower than the NULL_Model, which serves as a minimum performance threshold that models must surpass [65,73]. Thus, the models proved to be more effective than simply using the mean.
Table 2.
Statistical metrics of the RF, avNNet, KKNN, MLR, and SVM-RBF models.
The results show high agreement between the performance parameters of the models during both training and testing, despite significant variations in the input data for each algorithm. This suggests a significant reduction in the risk of overfitting when these models are applied to unknown datasets. This conclusion is further supported by the holdout testing strategy, where RMSE and MAE estimates were similar between the training and testing sets. These results confirm that the technique employed is suitable for the proposed study and provides a reliable assessment of model performance [55,65,67].
The R2 and CCC coefficients also demonstrated agreement between training and testing values across all evaluated bands, with testing values being slightly higher than training values. This is particularly notable given that the dataset was split into 5% (37,537 samples) for training and 95% (713,213 samples) for testing [68,71].
According to Wang et al. (2020), the use of undersampling in large dataset analyses often results in superior predictive performance compared to traditional sampling approaches. Undersampling reduces data redundancy, simplifying the modeling task and improving prediction accuracy. Additionally, undersampling during training can significantly reduce computational costs associated with processing large datasets.
By analyzing the statistical indices, the best-performing models across all bands were RF and SVM-RBF. This suggests that the data sampling methods, including statistical visualization and the automated cLHS method, were appropriate.
The avNNet and KKNN models, while not outperforming RF and SVM-RBF, still demonstrated strong metrics, indicating robust modeling for the dataset. Although the MLR model had less favorable results, it still showed potential, as it applies a linear equation, which works well if the values remain within the studied range. This highlights the importance of selecting the most appropriate model, considering not only performance but also the specific characteristics of the dataset and the computational resources required.
When evaluating the results for each band individually (Table 2 and Figure 5), Bands 3 (Red) and 4 (NIR), which have longer wavelengths, showed superior performance. This is reflected in their lower RMSE and MAE values and higher CCC and R2 values.
However, when analyzing the spectral characteristics of Bands 1 (Blue) and 2 (Green), it becomes clear that these bands are more affected by the Rayleigh scattering phenomenon due to their shorter wavelengths [84]. This susceptibility to scattering arises from factors inherent to the electromagnetic spectrum and its interaction with the atmosphere. Additionally, these bands are more prone to light scattering by atmospheric molecules, a fundamental characteristic of Rayleigh scattering [39,41]. As a result, the prediction models developed for Band 1 (Blue) and Band 2 (Green) performed less effectively than those for the longer wavelength bands (Band 3 and Band 4).
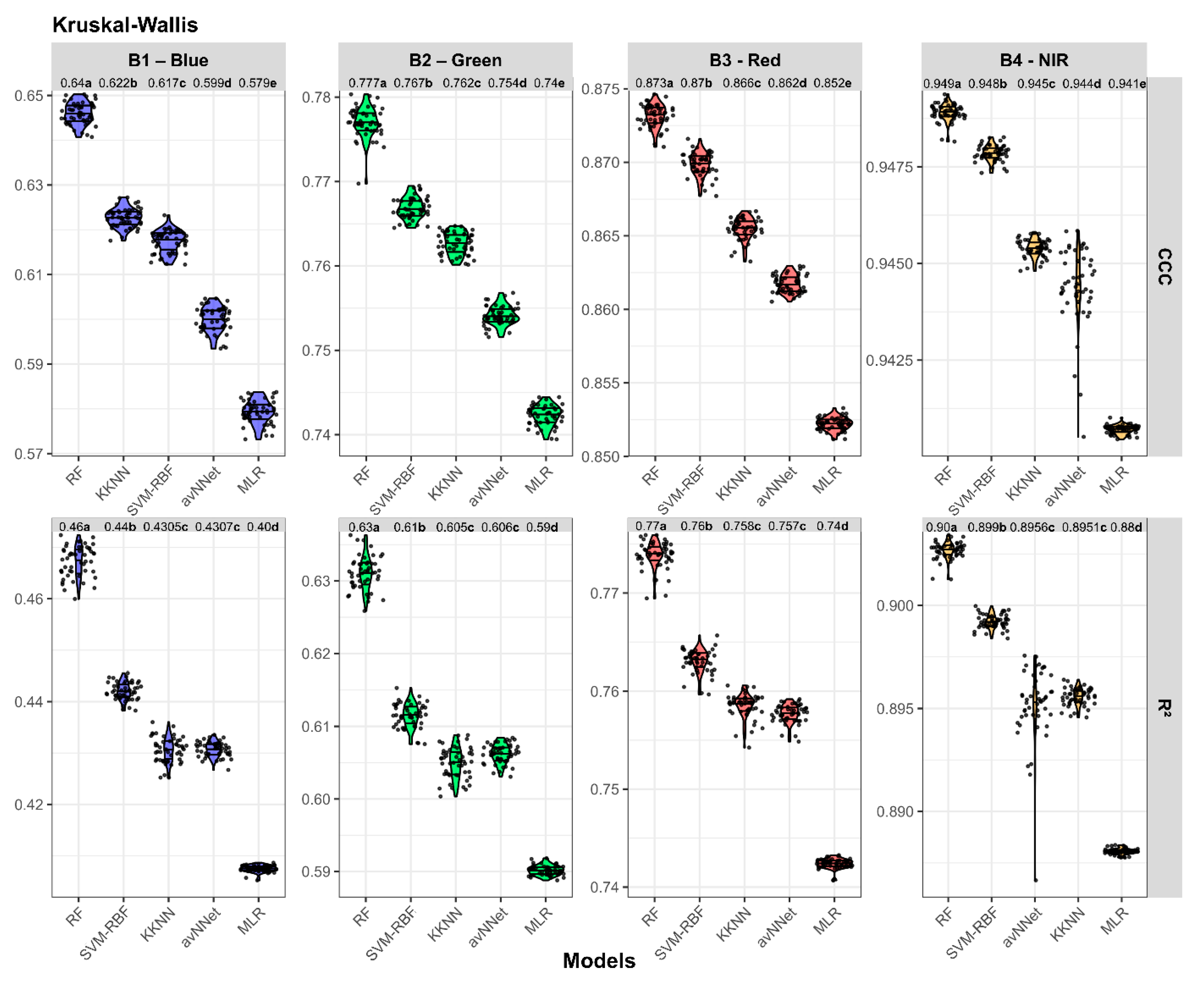
Figure 6 presents the results of the Kruskal-Wallis test applied to the evaluation metrics, revealing statistically significant differences among the algorithms tested for normalizing data from the PS sensor. Dunn’s test was subsequently performed, which identified the RF model as having the best performance among the evaluated algorithms.
Figure 6.
Violin plot showing the results of the Kruskal–Wallis and Dunn’s tests applied to the statistical indices CCC and R2 for the machine learning models studied.
This robust statistical approach enhances confidence in the results, not only by indicating significant differences between the models but also by highlighting the RF model as the most efficient choice for radiometric normalization of PS sensor data. These findings validate the methodology used and offer valuable insights for future improvements.
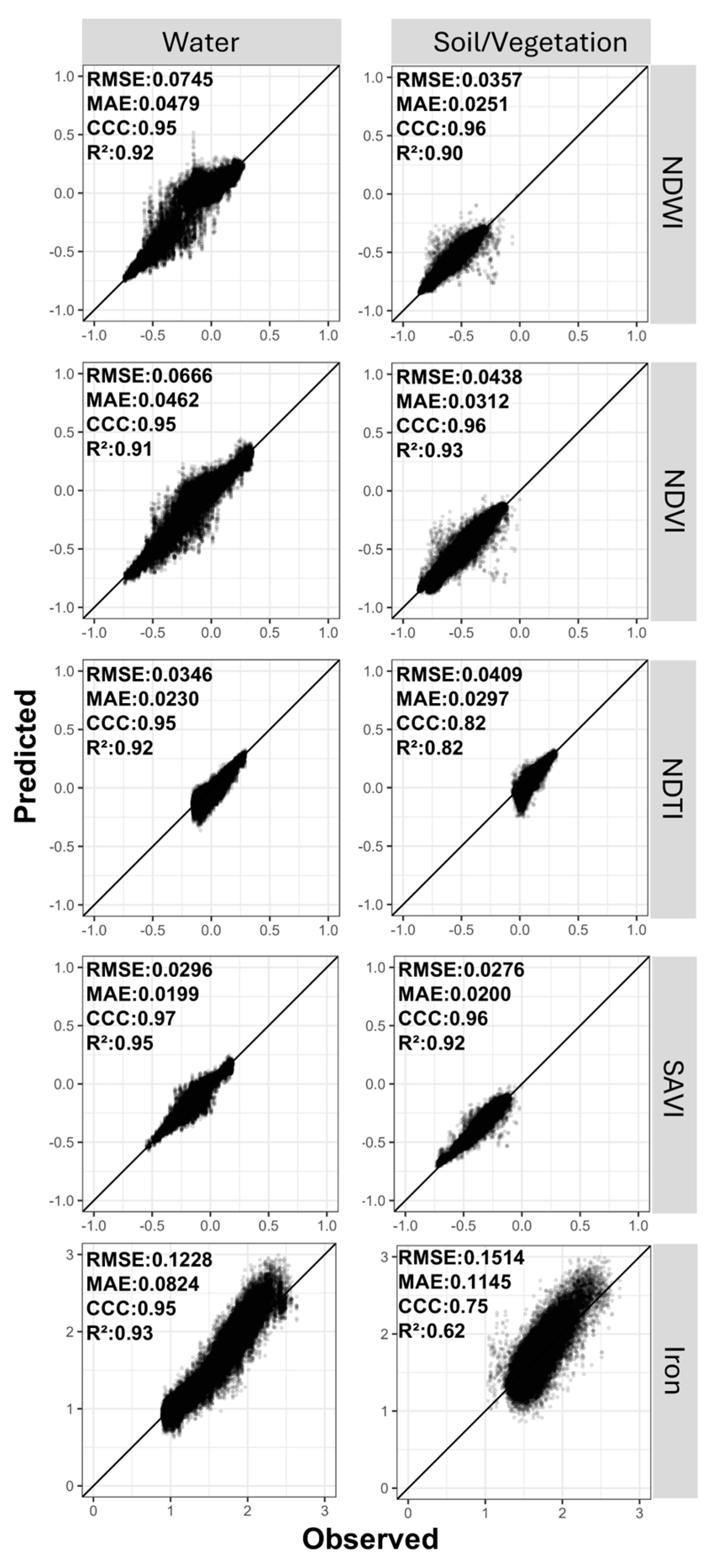
Figure 7 shows the predicted and observed data for the NDWI, NDVI, NDTI, SAVI, and Iron spectral indices applied to data from the aquatic and soil/vegetation regions. The graphs and statistical metrics provide a comparison between the spectral indices derived from the normalized bands and the observed values of the indices generated from the reference bands.
Figure 7.
Dispersion plot showing predicted versus observed data, along with the statistical indices used to evaluate the normalized bands of the PS sensor for various spectral indices.
Figure 7 shows that the spectral indices calculated from the normalized bands show a strong correlation with the indices generated by the S2 reference bands, for both aquatic and terrestrial/vegetative regions. For the aquatic regions, the statistical indices showed good agreement with the observed data, with high R2 values ranging from 0.92 to 0.95 and CCC values ranging from 0.95 to 0.97. In addition, the low RMSE and MAE values further emphasize the accuracy of the models in predicting the spectral indices.
In the soil/vegetation regions, the prediction of spectral indices using normalized bands also showed strong agreement. The NDWI, NDVI, and SAVI spectral indices gave the best results, with low RMSE and MAE values, R2 values ranging from 0.90 to 0.92, and a CCC around 0.96. However, the Iron and NDTI indices showed weaker performance, with R2 values ranging from 0.62 to 0.82 and CCC values between 0.75 and 0.82, respectively.
Consequently, the spectral indices derived from the relationships between the bands that performed better in the radiometric normalization process, specifically B3 (red) and B4 (NIR), gave the most favorable results. On the other hand, the iron index based on band B1 (blue) and the NDTI index based on band B2 (green) showed the least satisfactory results. This is due to the presence of aerosols, water vapor and other atmospheric components that cause light absorption and scattering. Band B1 is particularly susceptible to Rayleigh scattering, which directly affects the reflectance measured at shorter wavelengths [39,41,85].
Analyzing the predicted and observed data for the spectral indices, it is evident that despite the different surface conditions of the sample area (water, soil, and vegetation), the model performance is consistently in line with the observed data trends. This consistency highlights the robustness of the results obtained. The versatility of the developed models is also evident, with potential applications in agricultural studies, geological assessments, environmental parameter analysis, and water quality assessments. This is particularly important in scenarios where high temporal and spatial resolution images are required to capture transient phenomena and processes.
4. Conclusions
The methodology developed for radiometric normalization of PS sensor images, using MSI/S2 sensor images as a reference, enabled accurate and precise prediction of reflectance data. This underscores its potential for applications that require high temporal and spatial resolution imagery, particularly for capturing transient phenomena and processes.
The RF machine learning model yielded the most promising results for image normalization, demonstrating its robustness in handling complex datasets. This highlights the RF model’s reliability and effectiveness for radiometric normalization of the PS sensor.
The methodological approach adopted in this study allowed for the evaluation of machine learning models and the identification of the most relevant covariates for PS sensor image normalization. Moreover, it facilitated understanding the contribution of each variable to the algorithm’s prediction, showing its applicability to other regions of the world, provided that the covariate sets and data ranges are respected.
Future research should explore the use of other sensors (e.g., Landsat, MODIS) in the normalization process, as this would provide a broader understanding of the methodology’s applicability and contribute to the validation process under different contexts and conditions. Additionally, comparisons between the developed method and other methodologies in the literature should be made to assess its relative performance in various scenarios.
Author Contributions
R.L.S.D.: conceptualization, methodology, formal analysis, visualization, writing—original draft; R.S.S.A.: methodology, supervision, conceptualization, writing—revision and editing; D.D.d.S.: supervision, conceptualization, writing—revision and editing; E.I.F.-F.: methodology, formal analysis, conceptualization, visualization; G.V.V.: methodology, conceptualization, data curation; R.H.F.M.: research, data curation. All authors have read and agreed to the published version of the manuscript.
Funding
This study was partially funded by the Coordenação de Aperfeiçoamento de Pessoal de Nível Superior (CAPES)—Brazil (Finance Code 001), the Conselho Nacional de Desenvolvimento Científico e Tecnológico (CNPq), and the Fundação de Amparo à Pesquisa do Estado de Minas Gerais (FAPEMIG), grant number APQ-01957-22.
Data Availability Statement
The field survey data that support the findings of this study are available from the corresponding author, RLSD, upon reasonable request.
Acknowledgments
We would like to thank the anonymous reviewers for their careful reading and valuable comments, which helped to improve the quality of this manuscript, as well as the Department of Agricultural Engineering (DEA) and the Water Resources Reference Center (CRRH) of the Universidade Federal de Viçosa for supporting this research. We also extend our gratitude to the Instituto Mineiro de Gestão das Águas (IGAM) for making the data available.
Conflicts of Interest
The authors declare no conflict of interest.
References
- Young, S.L.; Frongillo, E.A.; Jamaluddine, Z.; Melgar-Quiñonez, H.; Pérez-Escamilla, R.; Ringler, C.; Rosinger, A.Y. Perspective: The Importance of Water Security for Ensuring Food Security, Good Nutrition, and Well-Being. Adv. Nutr. 2021, 12, 1058–1073. [Google Scholar] [CrossRef] [PubMed]
- Beven, K.J.; Cloke, H.L. Comment on “Hyperresolution Global Land Surface Modeling: Meeting a Grand Challenge for Monitoring Earth’s Terrestrial Water” by Eric F. Wood et al. Water Resour. Res. 2012, 48, 1–10. [Google Scholar] [CrossRef]
- Roy, D.P.; Wulder, M.A.; Loveland, T.R.; Woodcock, C.E.; Allen, R.G.; Anderson, M.C.; Helder, D.; Irons, J.R.; Johnson, D.M.; Kennedy, R. Landsat-8: Science and Product Vision for Terrestrial Global Change Research. Remote Sens. Environ. 2014, 145, 154–172. [Google Scholar] [CrossRef]
- Houborg, R.; McCabe, M.F. High-Resolution NDVI from Planet’s Constellation of Earth Observing Nano-Satellites: A New Data Source for Precision Agriculture. Remote Sens. 2016, 8, 768. [Google Scholar] [CrossRef]
- Latte, N.; Lejeune, P. PlanetScope Radiometric Normalization and Sentinel-2 Super-Resolution (2.5 m): A Straightforward Spectral-Spatial Fusion of Multi-Satellite Multi-Sensor Images Using Residual Convolutional Neural Networks. Remote Sens. 2020, 12, 2366. [Google Scholar] [CrossRef]
- Wegmueller, S.A.; Leach, N.R.; Townsend, P.A. LOESS Radiometric Correction for Contiguous Scenes (LORACCS): Improving the Consistency of Radiometry in High-Resolution Satellite Image Mosaics. Int. J. Appl. Earth Obs. Geoinf. 2021, 97, 102290. [Google Scholar] [CrossRef]
- Planet Team Planet Surface Reflectance Product v2. Planet Labs, Inc. 2020. pp. 1–18. Available online: https://developers.planet.com/static/Planet_Combined_Imagery_Product_Spec_June_2020.pdf (accessed on 30 November 2020).
- Shin, J.; Jo, Y.H.; Ryu, J.H.; Khim, B.K.; Kim, S.M. High Spatial-Resolution Red Tide Detection in the Southern Coast of Korea Using u-Net from Planetscope Imagery. Sensors 2021, 21, 4447. [Google Scholar] [CrossRef]
- Csillik, O.; Kumar, P.; Mascaro, J.; O’Shea, T.; Asner, G.P. Monitoring Tropical Forest Carbon Stocks and Emissions Using Planet Satellite Data. Sci. Rep. 2019, 9, 17831. [Google Scholar] [CrossRef]
- Wu, S.; Wang, J.; Yan, Z.; Song, G.; Chen, Y.; Ma, Q.; Deng, M.; Wu, Y.; Zhao, Y.; Guo, Z.; et al. Monitoring Tree-Crown Scale Autumn Leaf Phenology in a Temperate Forest with an Integration of PlanetScope and Drone Remote Sensing Observations. ISPRS J. Photogramm. Remote Sens. 2021, 171, 36–48. [Google Scholar] [CrossRef]
- Francini, S.; McRoberts, R.E.; Giannetti, F.; Mencucci, M.; Marchetti, M.; Scarascia Mugnozza, G.; Chirici, G. Near-Real Time Forest Change Detection Using PlanetScope Imagery. Eur. J. Remote Sens. 2020, 53, 233–244. [Google Scholar] [CrossRef]
- Wang, J.; Yang, D.; Chen, S.; Zhu, X.; Wu, S.; Bogonovich, M.; Guo, Z.; Zhu, Z.; Wu, J. Automatic Cloud and Cloud Shadow Detection in Tropical Areas for PlanetScope Satellite Images. Remote Sens. Environ. 2021, 264, 112604. [Google Scholar] [CrossRef]
- Helman, D.; Bahat, I.; Netzer, Y.; Ben-Gal, A.; Alchanatis, V.; Peeters, A.; Cohen, Y. Using Time Series of High-Resolution Planet Satellite Images to Monitor Grapevine Stem Water Potential in Commercial Vineyards. Remote Sens. 2018, 10, 1615. [Google Scholar] [CrossRef]
- Houborg, R.; McCabe, M.F. Daily Retrieval of NDVI and LAI at 3 m Resolution via the Fusion of CubeSat, Landsat, and MODIS Data. Remote Sens. 2018, 10, 890. [Google Scholar] [CrossRef]
- Leach, N.; Coops, N.C.; Obrknezev, N. Normalization Method for Multi-Sensor High Spatial and Temporal Resolution Satellite Imagery with Radiometric Inconsistencies. Comput. Electron. Agric. 2019, 164, 104893. [Google Scholar] [CrossRef]
- Frazier, A.E.; Hemingway, B.L. A Technical Review of Planet Smallsat Data: Practical Considerations for Processing and Using PlanetScope Imagery. Remote Sens. 2021, 13, 3930. [Google Scholar] [CrossRef]
- Xu, H.; Wei, Y.; Li, X.; Zhao, Y.; Cheng, Q. A Novel Automatic Method on Pseudo-Invariant Features Extraction for Enhancing the Relative Radiometric Normalization of High-Resolution Images. Int. J. Remote Sens. 2021, 42, 6155–6186. [Google Scholar] [CrossRef]
- Zhu, Z. Change Detection Using Landsat Time Series: A Review of Frequencies, Preprocessing, Algorithms, and Applications. ISPRS J. Photogramm. Remote Sens. 2017, 130, 370–384. [Google Scholar] [CrossRef]
- Yang, X.; Lo, C.P. Relative Radiometric Normalization Performance for Change Detection from Multi-Date Satellite Images. Photogramm. Eng. Remote Sens. 2000, 66, 967–980. [Google Scholar]
- Zhang, L.; Wu, C.; Du, B. Automatic Radiometric Normalization for Multitemporal Remote Sensing Imagery With Iterative Slow Feature Analysis. IEEE Trans. Geosci. Remote Sens. 2014, 52, 6141–6155. [Google Scholar] [CrossRef]
- Syariz, M.A.; Lin, B.Y.; Denaro, L.G.; Jaelani, L.M.; Van Nguyen, M.; Lin, C.H. Spectral-Consistent Relative Radiometric Normalization for Multitemporal Landsat 8 Imagery. ISPRS J. Photogramm. Remote Sens. 2019, 147, 56–64. [Google Scholar] [CrossRef]
- Schott, J.R.; Salvaggio, C.; Volchok, W.J. Radiometric Scene Normalization Using Pseudoinvariant Features. Remote Sens. Environ. 1988, 16, 1–16. [Google Scholar] [CrossRef]
- Houborg, R.; McCabe, M.F. A Cubesat Enabled Spatio-Temporal Enhancement Method (CESTEM) Utilizing Planet, Landsat and MODIS Data. Remote Sens. Environ. 2018, 209, 211–226. [Google Scholar] [CrossRef]
- Gascon, F.; Bouzinac, C.; Thépaut, O.; Jung, M.; Francesconi, B.; Louis, J.; Lonjou, V.; Lafrance, B.; Massera, S.; Gaudel-Vacaresse, A.; et al. Copernicus Sentinel-2A Calibration and Products Validation Status. Remote Sens. 2017, 9, 584. [Google Scholar] [CrossRef]
- Lamquin, N.; Woolliams, E.; Bruniquel, V.; Gascon, F.; Gorroño, J.; Govaerts, Y.; Leroy, V.; Lonjou, V.; Alhammoud, B.; Barsi, J.A.; et al. An Inter-Comparison Exercise of Sentinel-2 Radiometric Validations Assessed by Independent Expert Groups. Remote Sens. Environ. 2019, 233, 111369. [Google Scholar] [CrossRef]
- Louis, J.; Debaecker, V.; Pflug, B.; Main-Knorn, M.; Bieniarz, J.; Mueller-Wilm, U.; Cadau, E.; Gascon, F. Sentinel-2 SEN2COR: L2A Processor for Users. Eur. Sp. Agency 2016, SP-740, 9–13. [Google Scholar]
- Li, W.; Jiang, J.; Guo, T.; Zhou, M.; Tang, Y.; Wang, Y.; Zhang, Y.; Cheng, T.; Zhu, Y.; Cao, W.; et al. Generating Red-Edge Images at 3M Spatial Resolution by Fusing Sentinel-2 and Planet Satellite Products. Remote Sens. 2019, 11, 1422. [Google Scholar] [CrossRef]
- Aguirre-Gutiérrez, J.; Rifai, S.; Shenkin, A.; Oliveras, I.; Bentley, L.P.; Svátek, M.; Girardin, C.A.J.; Both, S.; Riutta, T.; Berenguer, E.; et al. Pantropical Modelling of Canopy Functional Traits Using Sentinel-2 Remote Sensing Data. Remote Sens. Environ. 2021, 252, 112122. [Google Scholar] [CrossRef]
- Du, Y.; Zhang, Y.; Ling, F.; Wang, Q.; Li, W.; Li, X. Water Bodies’ Mapping from Sentinel-2 Imagery with Modified Normalized Difference Water Index at 10-m Spatial Resolution Produced by Sharpening the Swir Band. Remote Sens. 2016, 8, 354. [Google Scholar] [CrossRef]
- ANA Agência Nacional de Águas. Conjuntura Dos Recursos Hídricos No Brasil 2017: Relatório Pleno; Agência Nacional de Águas: Brasília, Brazil, 2017; p. 177.
- CEMIG CEMIG Website 2021. Available online: https://www.cemig.com.br/usina/tres-marias. (accessed on 5 May 2024).
- EMBRAPA Sistema Brasileiro de Classificação de Solos 2006. Available online: https://www.embrapa.br/busca-de-publicacoes/-/publicacao/338818/sistema-brasileiro-de-classificacao-de-solos (accessed on 1 May 2024).
- Alvares, C.A.; Stape, L.; Sentelhas, P.C.; Gonc, L.D.M.; Sparovek, G. Koppen’s Climate Classification Map for Brazil. Meteorol. Z. 2014, 22, 711–728. [Google Scholar] [CrossRef]
- De Carvalho Júnior, O.A.; Guimarães, R.F.; Silva, N.C.; Gillespie, A.R.; Gomes, R.A.T.; Silva, C.R.; De Carvalho, A.P.F. Radiometric Normalization of Temporal Images Combining Automatic Detection of Pseudo-Invariant Features from the Distance and Similarity Spectral Measures, Density Scatterplot Analysis, and Robust Regression. Remote Sens. 2013, 5, 2763–2794. [Google Scholar] [CrossRef]
- Planet Team. Planet Team. Planet Application Program Interface. In Space for Life on Earth; Planet Labs Inc.: San Francisco, CA, USA, 2021; pp. 1–96. [Google Scholar]
- Müller-Wilm, U. Sentinel-2 MSI—Level-2A Prototype Processor Installation and User Manual. Eur. Sp. Agency Spec. Publ. ESA SP 2016, 49, 1–51. [Google Scholar]
- Vanhellemont, Q.; Ruddick, K. Acolite for Sentinel-2: Aquatic Applications of MSI Imagery. In Proceedings of the 2016 ESA Living Planet Symposium, Prague, Czech Republic, 9–13 May 2016; pp. 9–13. [Google Scholar]
- Gao, B.-C.; Montes, M.J.; Davis, C.O.; Goetz, A.F.H. Atmospheric Correction Algorithms for Hyperspectral Remote Sensing Data of Land and Ocean. Remote Sens. Environ. 2009, 113, S17–S24. [Google Scholar] [CrossRef]
- Schroeder, T.A.; Cohen, W.B.; Song, C.; Canty, M.J.; Yang, Z. Radiometric Correction of Multi-Temporal Landsat Data for Characterization of Early Successional Forest Patterns in Western Oregon. Remote Sens. Environ. 2006, 103, 16–26. [Google Scholar] [CrossRef]
- Song, K.; Liu, G.; Wang, Q.; Wen, Z.; Lyu, L.; Du, Y.; Sha, L.; Fang, C. Quantification of Lake Clarity in China Using Landsat OLI Imagery Data. Remote Sens. Environ. 2020, 243, 111800. [Google Scholar] [CrossRef]
- Lai, W.; Lee, Z.; Wang, J.; Wang, Y.; Garcia, R.; Zhang, H. A Portable Algorithm to Retrieve Bottom Depth of Optically Shallow Waters from Top-of-Atmosphere Measurements. J. Remote Sens. 2022. [Google Scholar] [CrossRef]
- Martins, V.S.; Barbosa, C.C.F.; de Carvalho, L.A.S.; Jorge, D.S.F.; Lobo, F.d.L.; de Moraes Novo, E.M.L. Assessment of Atmospheric Correction Methods for Sentinel-2 MSI Images Applied to Amazon Floodplain Lakes. Remote Sens. 2017, 9, 322. [Google Scholar] [CrossRef]
- R Core Team. R: A Language and Environment for Statistical Computing; Version 3.3.1; R Foundation for Statistical Computing: Vienna, Austria, 2020. [Google Scholar]
- Hijmans, R.J.; Bivand, R.; Forner, K.; Ooms, J.; Pebesma, E.; Sumner, M.D. Package ‘Terra’; Maintainer: Vienna, Austria, 2022. [Google Scholar]
- Scheffler, D.; Hollstein, A.; Diedrich, H.; Segl, K.; Hostert, P. AROSICS: An Automated and Robust Open-Source Image Co-Registration Software for Multi-Sensor Satellite Data. Remote Sens. 2017, 9, 676. [Google Scholar] [CrossRef]
- Pahlevan, N.; Chittimalli, S.K.; Balasubramanian, S.V.; Vellucci, V. Sentinel-2/Landsat-8 Product Consistency and Implications for Monitoring Aquatic Systems. Remote Sens. Environ. 2019, 220, 19–29. [Google Scholar] [CrossRef]
- Du, Y.; Teillet, P.M.; Cihlar, J. Radiometric Normalization of Multitemporal High-Resolution Satellite Images with Quality Control for Land Cover Change Detection. Remote Sens. Environ. 2002, 82, 123–134. [Google Scholar] [CrossRef]
- Minasny, B.; McBratney, A.B. A Conditioned Latin Hypercube Method for Sampling in the Presence of Ancillary Information. Comput. Geosci. 2006, 32, 1378–1388. [Google Scholar] [CrossRef]
- McKay, M.D.; Beckman, R.J.; Conover, W.J. A Comparison of Three Methods for Selecting Values of Input Variables in the Analysis of Output from a Computer Code. Technometrics 1979, 42, 55–61. [Google Scholar] [CrossRef]
- Iordanis, I.; Koukouvinos, C.; Silou, I. On the Efficacy of Conditioned and Progressive Latin Hypercube Sampling in Supervised Machine Learning. Appl. Numer. Math. 2024; in press. [Google Scholar] [CrossRef]
- Sena, N.C.; Veloso, G.V.; Lopes, A.O.; Francelino, M.R.; Fernandes-Filho, E.I.; Senra, E.O.; da Silva Filho, L.A.; Condé, V.F.; de Arruda Silva, D.L.; de Araujo, R.W. Soil Sampling Strategy in Areas of Difficult Acess Using the CLHS Method. Geoderma Reg. 2021, 24, e00354. [Google Scholar] [CrossRef]
- Wang, H.; Yao, Y.; Salhi, S.; Smith, A.; Glasgow, G. Technological Forecasting & Social Change Tension in Big Data Using Machine Learning: Analysis and Applications. Technol. Forecast. Soc. Chang. 2020, 158, 120175. [Google Scholar] [CrossRef]
- Muñoz-Romero, S.; Gorostiaga, A.; Soguero-Ruiz, C.; Mora-Jiménez, I.; Rojo-Álvarez, J.L. Informative Variable Identifier: Expanding Interpretability in Feature Selection. Pattern Recognit. 2020, 98, 107077. [Google Scholar] [CrossRef]
- Reunanen, J. Overfitting in Making Comparisons between Variable Selection Methods. J. Mach. Learn. Res. 2003, 3, 1371–1382. [Google Scholar]
- Dias, R.L.S.; da Silva, D.D.; Fernandes-Filho, E.I.; do Amaral, C.H.; dos Santos, E.P.; Marques, J.F.; Veloso, G.V. Machine Learning Models Applied to TSS Estimation in a Reservoir Using Multispectral Sensor Onboard to RPA. Ecol. Inform. 2021, 65, 101414. [Google Scholar] [CrossRef]
- da Silveira, V.A.; Veloso, G.V.; de Paula, H.B.; dos Santos, A.R.; Schaefer, C.E.G.R.; Fernandes-Filho, E.I.; Francelino, M.R. Modeling and Mapping of Inselberg Habitats for Environmental Conservation in the Atlantic Forest and Caatinga Domains, Brazil. Environ. Adv. 2022, 8, 100209. [Google Scholar] [CrossRef]
- Kuhn, M. Caret: Classification and Regression Training. Astrophys. Source Code Libr. 2015, ascl-1505. [Google Scholar]
- Lee Rodgers, J.; Nicewander, W.A. Thirteen Ways to Look at the Correlation Coefficient. Am. Stat. 1988, 42, 59–66. [Google Scholar] [CrossRef]
- Beyca, O.F.; Ervural, B.C.; Tatoglu, E.; Ozuyar, P.G.; Zaim, S. Using Machine Learning Tools for Forecasting Natural Gas Consumption in the Province of Istanbul. Energy Econ. 2019, 80, 937–949. [Google Scholar] [CrossRef]
- Ripley, B.D. Pattern Recognition and Neural Networks; Cambridge University Press: Cambridge, UK, 1996; ISBN 0521717701. [Google Scholar]
- Breiman, L. Random Forests. Mach. Learn. 2001, 45, 27. [Google Scholar]
- Zhang, M.L.; Zhou, Z.H. ML-KNN: A Lazy Learning Approach to Multi-Label Learning. Pattern Recognit. 2007, 40, 2038–2048. [Google Scholar] [CrossRef]
- Cortes, C.; Vapnik, V. Support-Vector Networks. Mach. Learn. 1995, 20, 25. [Google Scholar] [CrossRef]
- Murphy, K.P. Machine Learning: A Probabilistic Perspective; MIT Press: Cambridge, MA, USA, 2013. [Google Scholar]
- Kuhn, M.; Johnson, K. Applied Predictive Modeling; Springer: Berlin/Heidelberg, Germany, 2013; ISBN 9781461468486. [Google Scholar]
- Kennedy, J.B.; Neville, A.M. Basic Statistical Methods for Engineers and Scientists; Harper and Row: New York, NY, USA, 1986. [Google Scholar]
- Arlot, S.; Celisse, A. A Survey of Cross-Validation Procedures for Model Selection. Stat. Surv. 2010, 4, 40–79. [Google Scholar] [CrossRef]
- Lin, L.I.-K. A Concordance Correlation Coefficient to Evaluate Reproducibility. Biometrics 1989, 45, 255. [Google Scholar] [CrossRef]
- Chai, T.; Draxler, R.R. Root Mean Square Error (RMSE) or Mean Absolute Error (MAE)?—Arguments against Avoiding RMSE in the Literature. Geosci. Model Dev. 2014, 7, 1247–1250. [Google Scholar] [CrossRef]
- Willmott, C.J.; Matsuura, K. Advantages of the Mean Absolute Error (MAE) over the Root Mean Square Error (RMSE) in Assessing Average Model Performance. Clim. Res. 2005, 30, 79–82. [Google Scholar] [CrossRef]
- Morse-McNabb, E.M.; Hasan, M.F.; Karunaratne, S. A Multi-Variable Sentinel-2 Random Forest Machine Learning Model Approach to Predicting Perennial Ryegrass Biomass in Commercial Dairy Farms in Southeast Australia. Remote Sens. 2023, 15, 2915. [Google Scholar] [CrossRef]
- Altman, D.G. Practical Statistics for Medical Research; Chapman and Hall; CRC: Boca Raton, FL, USA, 1990; ISBN 0429258585. [Google Scholar]
- Mello, D.C.D.; Veloso, G.V.; Lana, M.G.D.; Mello, F.A.D.O.; Poppiel, R.R.; Cabrero, D.R.O.; Di Raimo, L.A.D.L.; Schaefer, C.E.G.R.; Filho, E.I.F.; Leite, E.P.; et al. A New Methodological Framework for Geophysical Sensor Combinations Associated with Machine Learning Algorithms to Understand Soil Attributes. Geosci. Model Dev. 2022, 15, 1219–1246. [Google Scholar] [CrossRef]
- Kruskal, W.H.; Wallis, W.A. Use of Ranks in One-Criterion Variance Analysis. J. Am. Stat. Assoc. 1952, 47, 583–621. [Google Scholar] [CrossRef]
- Dunn, O.J. Multiple Comparisons Using Rank Sums. Technometrics 1964, 6, 241–252. [Google Scholar] [CrossRef]
- McKight, P.E.; Najab, J. Kruskal-wallis Test. Corsini Encycl. Psychol. 2010, 4. [Google Scholar] [CrossRef]
- Huete, A.R. A Soil-Adjusted Vegetation Index (SAVI). Remote Sens. Environ. 1988, 25, 295–309. [Google Scholar] [CrossRef]
- Rouse, J.W.; Haas, R.H.; Schell, J.A.; Deering, D.W. Monitoring Vegetation Systems in the Great Plains with ERTS. NASA Spec. Publ. 1974, 351, 309. [Google Scholar]
- McFeeters, S.K. The Use of the Normalized Difference Water Index (NDWI) in the Delineation of Open Water Features. Int. J. Remote Sens. 1996, 17, 1425–1432. [Google Scholar] [CrossRef]
- Lacaux, J.P.; Tourre, Y.M.; Vignolles, C.; Ndione, J.A.; Lafaye, M. Classification of Ponds from High-Spatial Resolution Remote Sensing: Application to Rift Valley Fever Epidemics in Senegal. Remote Sens. Environ. 2007, 106, 66–74. [Google Scholar] [CrossRef]
- Hewson, R.D.; Cudahy, T.J.; Huntington, J.F. Geologic and Alteration Mapping at Mt Fitton, South Australia, Using ASTER Satellite-Borne Data. In Proceedings of the IGARSS 2001. Scanning the Present and Resolving the Future. Proceedings. IEEE 2001 International Geoscience and Remote Sensing Symposium (Cat. No.01CH37217), Sydney, Australia, 9–13 July 2001; Volume 2, pp. 724–726. [Google Scholar]
- Zhang, Y.; Li, A.; Deng, B. Data-Driven Predictive Models for Chemical Durability of Oxide Glass under Different Chemical Conditions. npj Mater. Degrad. 2020, 4, 14. [Google Scholar] [CrossRef]
- dos Santos, E.P.; da Silva, D.D.; do Amaral, C.H.; Fernandes-Filho, E.I.; Dias, R.L.S. A Machine Learning Approach to Reconstruct Cloudy Affected Vegetation Indices Imagery via Data Fusion from Sentinel-1 and Landsat 8. Comput. Electron. Agric. 2022, 194, 106753. [Google Scholar] [CrossRef]
- Filgueiras, R.; Mantovani, E.C.; Althoff, D.; Fernandes Filho, E.I.; da Cunha, F.F. Crop NDVI Monitoring Based on Sentinel 1. Remote Sens. 2019, 11, 1441. [Google Scholar] [CrossRef]
- Barbosa, C.C.F.; Novo, E.M.L.M.; Martins, V.S. Introdução Ao Sensoriamento Remoto de Sistemas Aquáticos; 1°.; INPE: São José dos Campos, Brazil, 2019; ISBN 978-85-17-00095-9. [Google Scholar]
Disclaimer/Publisher’s Note: The statements, opinions and data contained in all publications are solely those of the individual author(s) and contributor(s) and not of MDPI and/or the editor(s). MDPI and/or the editor(s) disclaim responsibility for any injury to people or property resulting from any ideas, methods, instructions or products referred to in the content. |
© 2024 by the authors. Licensee MDPI, Basel, Switzerland. This article is an open access article distributed under the terms and conditions of the Creative Commons Attribution (CC BY) license (https://creativecommons.org/licenses/by/4.0/).






