Abstract
To address the issues of image blurring and color distortion in hazy conditions, an image restoration method based on a parametric analytical modulation transfer function model is proposed under turbid atmospheric conditions. A source database is established using a numerical radiative transfer method based on discrete ordinate. Through multivariate nonlinear fitting and linear interpolation, the quantitative relationships among critical spatial frequency, turbid atmospheric MTF, and key atmospheric optical parameters—such as optical thickness, single scattering albedo, and asymmetry factor—are examined. A fast and efficient parametric analytical MTF model for turbid atmospheres is developed and applied to restore images affected by fog. The results demonstrate that, within the applicable range of the model, the model’s maximum mean relative error and the root mean square error are 7.16% and 0.0454, respectively. The computational speed is nearly a thousand times faster than that of the numerical radiative transfer method, achieving high accuracy and ease of application. Images restored using this model exhibit enhanced clarity and quality, effectively compensating for the degradation in image quality caused by turbid atmospheres. This approach represents a novel solution to the challenges of image processing in complex atmospheric environments.
1. Introduction
In 1963, Dantley initiated a new chapter in the study of the Modulation Transfer Function (MTF) in a turbid medium [1]. The MTF is an important index for describing the impact of the imaging process on the signal transmission characteristics of different spatial frequencies. Obtaining an accurate MTF of turbid atmospheres in foggy weather with low visibility is crucial for high-quality real-time imaging and image restoration. Currently, the methods used to obtain the MTF of turbid atmospheres mainly include theoretical analysis [2], numerical simulation [3], controlled indoor experimental measurement [4], and actual measurements in open atmospheres [5].
The theoretical analysis obtains the MTF by calculating the energy attenuation due to the physical processes of light scattering and absorption in turbid atmospheres. This includes the use of the Small Angle Approximation (SAA) and the solution of the radiative transfer equation to calculate the MTF. The MTF model based on the SAA is widely used in academia and is effective under conditions of small optical thickness, strong forward scattering, and low spatial frequencies [6,7,8]. For ease of application, Kopeika has inappropriately relaxed the range of applicability of the model by extending the SAA model of Lutomirski [9], which is limited to specific spatial frequencies, to encompass all spatial frequencies [10]. The SAA model is a single-scattering model that is equivalent to the atmospheric molecular transmittance at high spatial frequencies. The imaging process in turbid atmospheres involves multiple scattering of light, and the MTF of all spatial frequencies can be calculated by solving the radiative transfer equation to overcome the limitations of the SAA model. This method is based on the numerical calculation of the radiative transfer equation, which is complicated to solve and does not intuitively express the relationship among parameters, thereby hindering practical engineering applications.
This paper addresses the limitations of the above methods by establishing a parametric analytical MTF model for multiple scattering in turbid atmospheres. Prior to applying this model, atmospheric optical thickness (or visibility) between the target and the observation point must be obtained in advance or synchronously as an input parameter to ensure the quality of image restoration. Visibility can be measured using widely available visibility sensors, which are commercially mature, portable, and easy to operate. Alternatively, optical thickness can be derived from path integration of extinction coefficient distributions obtained through lidar measurements.
The model is based on the equivalent principle of MTF in a turbid medium and employs multiple nonlinear regression and linear interpolation methods. It is applicable to optical thickness values ranging from 0.1 to 2.0, a single scattering albedo between 0.1 and 1.0, and an asymmetry factor between 0.05 and 0.95. The model is used to calculate the MTF of the RGB channels of the degraded image. Subsequently, inverse filtering is employed for image restoration, with the final restored image obtained through gamma correction.
Section 2 of this paper introduces the theoretical foundation for establishing the parametric analytical MTF model, the equivalent principle of MTF in a turbid medium as well as the influencing factors of the MTF for turbid medium, and the qualitative relationship between , , and the scattering phase function. Section 3 presents the methods for establishing the parametric analytical model, along with the root mean square error (RMSE) and mean relative error (MRE) of the model. Section 4 applies the established parametric analytical model to the field of image restoration, and the results show that the quality of the restored images is significantly improved.
2. Radiative Transfer Simulation of the MTF in Turbid Atmospheres
2.1. Equivalent Principle of the MTF in a Turbid Medium
Imaging in a turbid medium is characterized by multiple strong forward scattering of photons and represents a specific radiative transfer problem, which means that the MTF in a turbid medium can be evaluated using the radiative transfer equation.
For incoherent imaging, the equivalence principle of the MTF in a turbid medium is derived from the definition of the Point Spread Function (PSF) and the Optical Transfer Function (OTF). This implies that the MTF of a plane-parallel turbid medium is equivalent to the outgoing light intensity distribution from the medium under isotropic unit diffuse illumination [11,12].
The relationship between the incident light intensity at the object plane and the light intensity at the image plane is expressed as follows:
In Equation (1), is the point spread function, while and , respectively, represent the positions in the object plane and image plane in spatial polar coordinates.
Assuming that the light field distribution in the object plane is an isotropic unit intensity incident light ,which means , the above equation can be expressed as follows:
Since the inverse Fourier transform of is ,
From Equations (2) and (3), we obtain:
On the other hand, defined by the Dirac delta function, can be expressed as:
Comparing Equations (4) and (5), the values of and are equal,
When imaging at infinity, the spatial frequency and the spatial position represent the tangent of the dimensionless spatial angular frequency Ω and the polar angle θ, respectively. Therefore, Equation (6) can be expressed as:
At the small angle limit, ,
The MTF is defined as the magnitude of the OTF,
Equation (9) describes the equivalence principle of the MTF in a turbid medium, which transforms the problem of solving the MTF into calculating the radiative transfer equation for diffuse light of unit intensity. The equivalence principle enables the MTF for all spatial frequencies to be obtained by solving the radiative transfer equation numerically. This paper utilizes the discrete ordinate DISORT algorithm to solve the radiative transfer equation [13]. The MTF is influenced by key atmospheric optical parameters, including , and in the scattering phase function. To accurately establish the parametric analytical MTF model in a turbid medium, it is necessary to analyze these key atmospheric optical parameters.
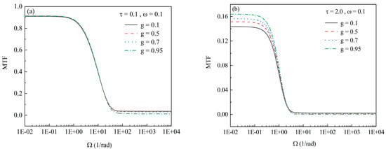
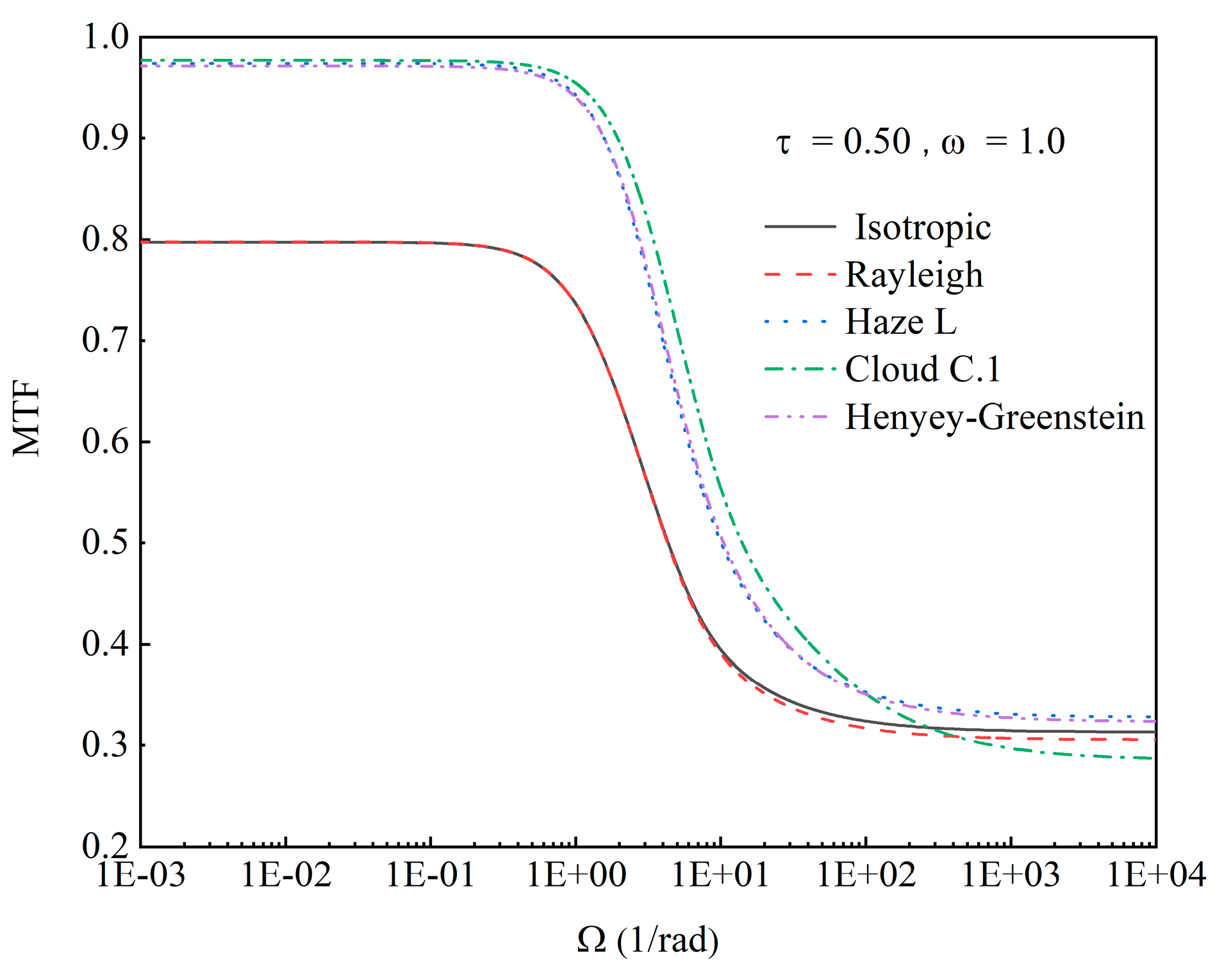
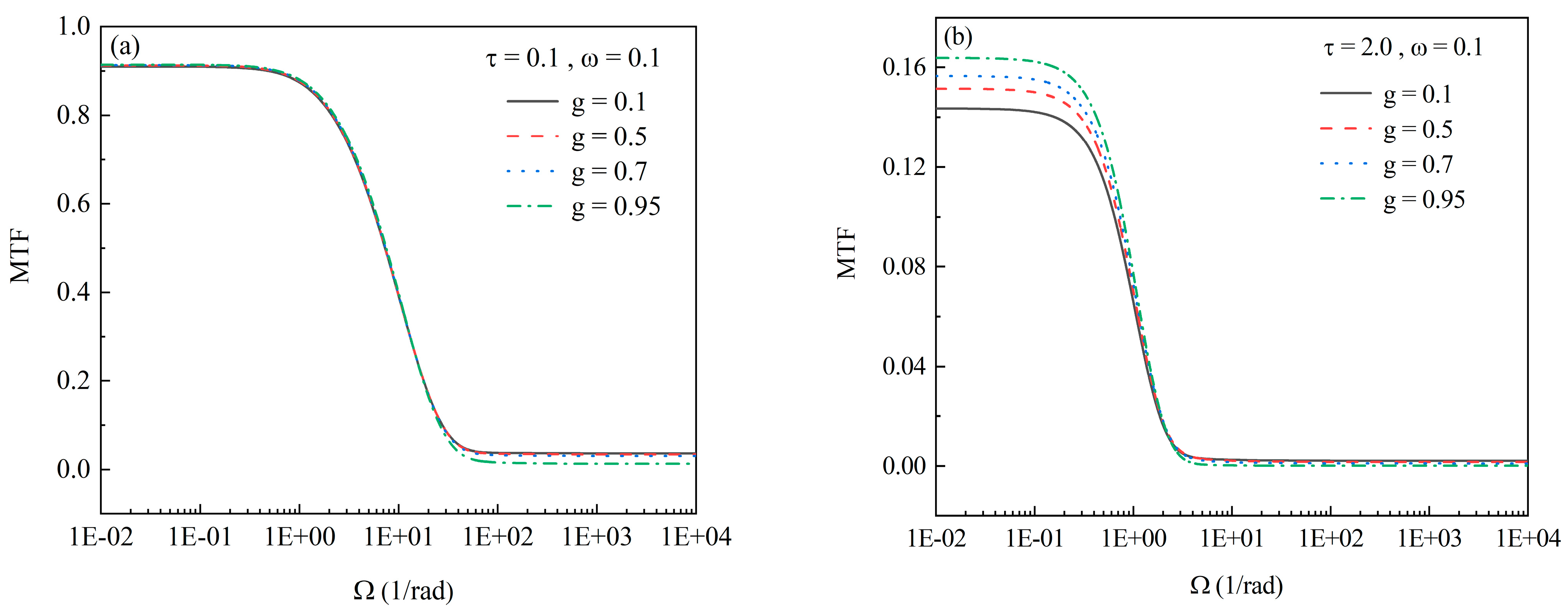
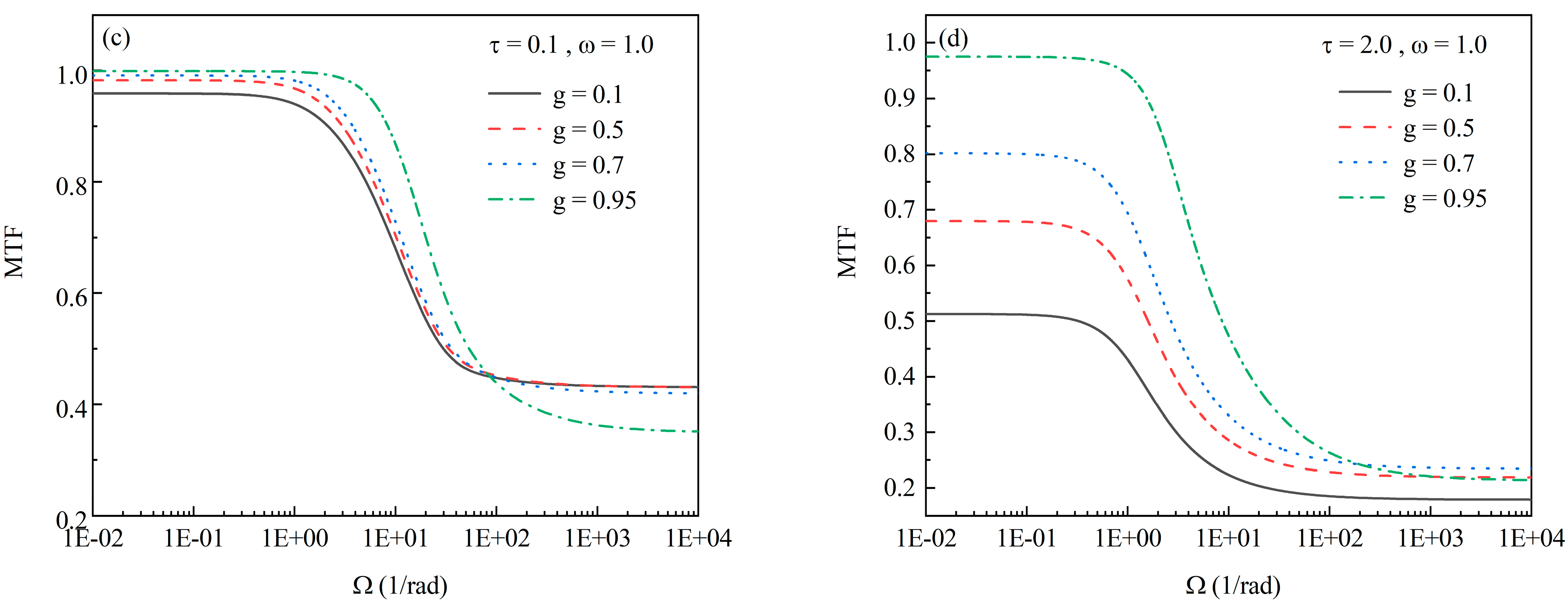
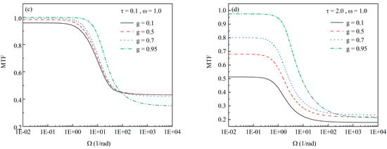
Figure 1 and Figure 2 illustrate the MTF curves for in the range of 0.1–2.0 and for in the range of 0.1–1.0, respectively. Figure 3 presents the MTF under various scattering phase functions. Figure 4 describes the MTF curve for in the range of 0.1–0.95, calculated using the Henyey–Greenstein (H-G) scattering phase function.
Figure 1.
MTF of a homogenous turbid medium with different : (a) , ; (b) , ; (c) , ; (d) , .

Figure 2.
MTF of a homogenous turbid medium with different : (a) , ; (b) , ; (c) , ; (d) , .
Figure 3.
MTF for different scattering phase functions.

Figure 4.
MTF of a homogenous turbid medium with different : (a) , ; (b) , ; (c) , ; (d) , .
2.2. Effect of the Optical Thickness
Figure 1 depicts the effect of different values on the MTF of the turbid medium when and are held constant. The MTF curves for different values are plotted in Figure 1a–d for conditions , , , , , and , , respectively.
Figure 1 illustrates the influence of different values on the MTF, providing insights into the role of a turbid medium in light attenuation. values of 0.1 and 1.0 are selected to represent weak and strong scattering conditions, while values of 0.1 and 0.95 are chosen to examine the effect of varying scattering directional distributions on the MTF.
As shown in Figure 1, (1) the MTF decreases with increasing . A higher results in greater light attenuation along the propagation path, reducing the light intensity. According to the MTF equivalence principle in a turbid medium, this leads to a corresponding decrease in the MTF. This reduction is particularly noticeable in Figure 1b, where, for values of 1.0 and 2.0, the MTF values at zero and infinite spatial frequencies are 0.6872, 0.5125, 0.2516, and 0.1791, respectively. (2) At low , as in Figure 1a,c, the MTF curve flattens with increasing . However, at higher , as shown in Figure 1b,d, the MTF curve does not exhibit a flattening trend with increasing . (3) When scattering is weak (e.g., = 0.1), light predominantly propagates in straight paths, and changes in the scattering direction distribution () have little effect on the MTF. However, as scattering intensifies (e.g., = 1), light undergoes more scattering events, and variations in significantly impact the light’s propagation path and intensity, thereby affecting the MTF.
2.3. Effect of the Single Scattering Albedo
Figure 2 depicts the effect of different values on the MTF of the turbid medium when and are held constant. The MTF curves for different values are plotted in Figure 2a–d for conditions , , , , , and , , respectively.
Figure 2 illustrates the influence of different values on the MTF, highlighting the impact of on light scattering characteristics. The values are set at 0.1 and 2.0 to investigate the effects of weak and strong attenuation on the MTF. The values are chosen as 0.1 and 0.95 to examine the influence of varying scattering direction distributions on the MTF.
From Figure 2, the following can be observed: (1) The MTF increases with an increase in . As increases, indicating reduced absorption, the energy of light reaching the image plane becomes larger, resulting in a higher MTF. (2) The MTF under different changes obviously. In Figure 2d, when is 0.1 and 1.0, the MTF values at zero and infinite spatial frequencies are 0.1638, 0.9749 and 0.0002, 0.2133, respectively. (3) With increasing spatial frequencies, becomes larger, such as when varies from 0.1 to 2.0, and the sensitivity of the MTF curve to increases. (4) Under weak attenuation conditions (e.g., when = 0.1), light experiences minimal attenuation, and scattering is relatively weak. As a result, changes in the scattering direction distribution (i.e., ) have a negligible effect on the MTF. Conversely, under strong attenuation conditions (e.g., when = 2.0), light intensity undergoes significant attenuation, and variations in notably affect the propagation path and intensity of light, leading to a more pronounced impact on the MTF.
2.4. Effect of the Scattering Phase Function
The atmospheric scattering phase function describes the spatial distribution intensity of light scattered by particles in the atmosphere. This includes the isotropic phase function, which characterizes the scattering probability independent of direction; the Rayleigh phase function, which describes the scattering of atmospheric molecules; the Hazel-L phase function, which represents the scattering distribution of light by aerosols; the Cloud C.1 phase function, which describes the light scattering from water cloud particles; and the H-G phase function, which models forward scattering characteristics by adjusting the parameter . Figure 3 shows the MTF curves calculated using different phase function models for and of 0.5 and 1.0, respectively. The for the H-G phase function model is set to 0.8.
The scattering of air molecules is typically described using the isotropic phase function constant and the Rayleigh phase function . On the other hand, the phase function for larger particles, such as haze and fog, shows a strong forward peak and can be approximated by the Haze L phase function to some extent. For even larger particles, like water cloud particles, forward scattering becomes more pronounced, and the Cloud C.1 phase function is generally applied.
For particles of various sizes, the H-G phase function provides a more generalized description: . The H-G function offers a simple analytical form, making it convenient for simulation analysis. In this function, the parameter controls the weight of forward scattering. When = 0, scattering is isotropic, while = 1 indicates that all light is scattered in the forward direction ( = 0). Values of g between 0 and 1 describe the scattering functions under most atmospheric conditions. For haze, the typical range of g is between 0.70 and 0.80, which characterizes a scattering phase pattern similar to that of the Haze L phase function [14].
Figure 4 depicts the effect of different values of on the MTF of the turbid medium when and are held constant. The MTF curves for different values are plotted in Figure 4a–d for conditions , , , , , and , , respectively.
Figure 4 illustrates the impact of different values on the MTF, as influences scattering directionality. When calculating the MTF of a turbid medium using the H-G scattering phase function, as shown in Figure 4, the MTF exhibits a significant monotonic relationship with variations in and . In contrast, the influence of on the MTF is relatively minor and demonstrates non-monotonic behavior. Specifically, as the frequency increases towards infinity, the MTF first monotonically increases with increasing and then monotonically decreases. As shown in Figure 4c, when takes values of 0.1, 0.5, 0.7, and 0.95, the MTF values at infinite spatial frequency are 0.4316, 0.4312, 0.4200, and 0.3494, respectively.
Above all, the MTF of a turbid medium is affected by multiple factors such as , , and in the scattering phase function, which is a multivariate nonlinear relationship, so it is essential to comprehensively consider these factors to accurately establish the model.
3. Method and Results of Establishing the Parametric Analytical MTF Model
This section describes the method for establishing a parametric analytical MTF model for turbid atmospheres. According to Equation (9), the MTF of a turbid medium can be obtained by calculating the intensity distribution of outgoing light under isotropic unit intensity diffuse illumination.
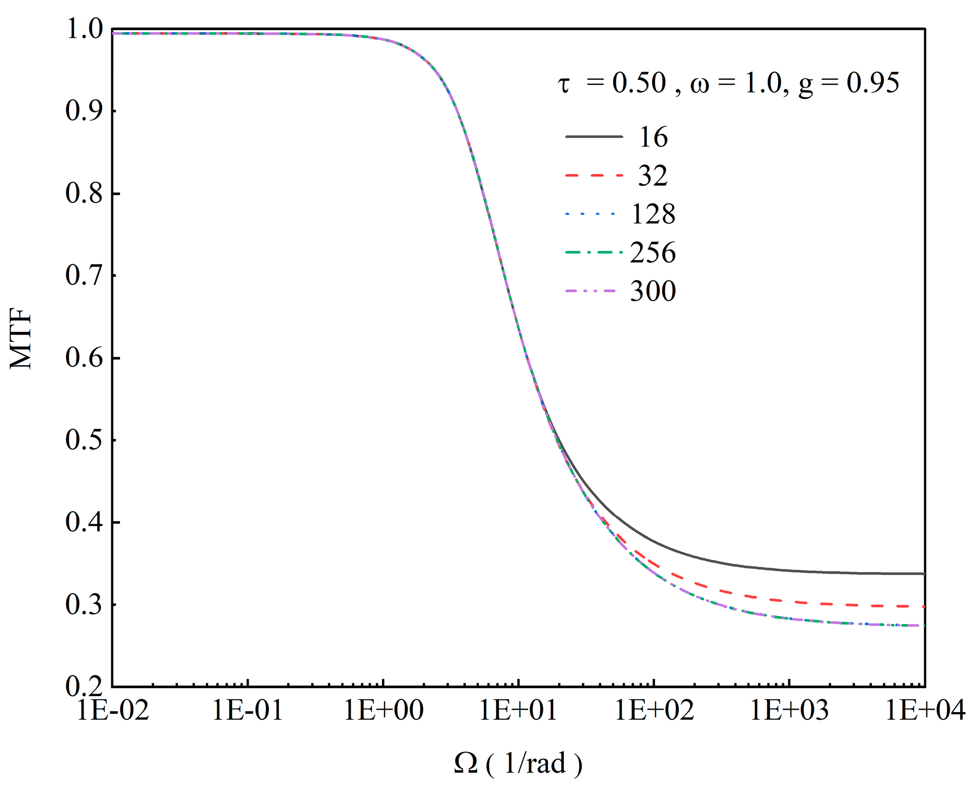
Firstly, a qualitative analysis of the relationship between the MTF and key atmospheric optical parameters is provided in Section 2.2, Section 2.3 and Section 2.4. Then, the widely used discrete ordinate algorithm, DISORT [13], is employed to solve the radiative transfer equation in this paper, and employs the H-G scattering phase function model to generate the data source library. The double Gaussian numerical integration method is applied when computing the MTF under varying conditions of key atmospheric optical parameters. As shown in Figure 5, under atmospheric conditions with , and , the MTF calculation stabilizes when the number of integration nodes in the DISORT model is set to 256. Therefore, 256 integration nodes are used in the DISORT simulations. Finally, a parametric analytical model of the turbid atmosphere is established by using multivariate nonlinear fitting and linear interpolation methods. The model shows the quantitative relationship between MTF, critical spatial frequency and , and .
Figure 5.
MTF with different integration nodes in DISORT simulations.
3.1. Establishing the Data Source Library
To comprehensively reconstruct the image degradation caused by foggy weather, an MTF model is developed that encompasses a broad range of atmospheric optical parameter combinations, with ranging from 0.1 to 2.0, from 0.1 to 1.0, and from 0.05 to 0.95. To accurately describe the effects of parameter variations on the MTF, the step sizes for , , and are set to 0.05, 0.03, and 0.02, respectively, resulting in a data source library containing 56,200 sample points.
3.2. Determining the Critical Spatial Frequency
According to Figure 1, Figure 2, Figure 3 and Figure 4, when the key atmospheric optical parameters are defined, the MTF of the turbid medium remains largely unchanged at both low and high spatial frequencies. In this paper, the spatial frequencies corresponding to significant changes in the MTF under certain key atmospheric optical parameters are defined as the low critical spatial frequency and the high critical spatial frequency . The difference method is used to obtain and , as shown in Equations (10) and (11).
In Equations (10) and (11), the professional mathematical symbols “arg min” and “arg max” are employed, representing the values of the independent variable that corresponds to the minimum and maximum values of a function, respectively. and represent the MTF at zero spatial frequency and infinite spatial frequency, respectively. and correspond to the MTF at low and high spatial frequencies, respectively, when the constraints of equations (10) and (11) are satisfied. denotes the difference between and , while represents the difference between and .
Due to the relationship between the MTF and multiple key atmospheric optical parameters, the key atmospheric optical parameters , , and are divided into 12 cases to ensure the accuracy and reliability of the model. The values of and are determined based on the principle of minimizing model error, with specific values provided in Table 1. Each case is represented by No.
Table 1.
The value of differences and .
3.3. Parametric Analytical MTF Modeling of Turbid Medium
According to Section 3.2, the complete spatial frequencies are divided into three parts by and , thus: low spatial frequency (0-), intermediate spatial frequency (-), and high spatial frequency [-∞), with corresponding MTF values represented as , , and , respectively. The specific modeling steps are as follows:
- (1)
- The MTF values before and after remain approximately unchanged and are solely dependent on the key atmospheric optical parameters (, , ). Thus, a multivariate nonlinear fitting method is employed to establish exponential functions between , , and the parameters (, , ), represented by Equations (12) and (13). Subsequently, polynomial functions are formulated to express the average MTF before the low critical spatial frequency () and after the high critical spatial frequency () in relation to the parameters (, , ), represented by Equations (14) and (15).
- (2)
- The MTF at intermediate spatial frequencies exhibits an approximately linear relationship with the logarithm of spatial frequency (). Therefore, linear interpolation is employed to establish the analytical function between the MTF at intermediate spatial frequencies and , as expressed in Equation (16).
The combination of Equations (12) to (16) constitutes the parametric analytical MTF model for turbid media across the complete range of spatial frequencies. The coefficients in Equations (12)–(15) correspond to Table A1, Table A2, Table A3 and Table A4 in Appendix A.
3.4. Model Error Statistics
In this paper, the RMSE and MRE are used to analyze the model error, which can quantitatively and objectively evaluate the reliability and accuracy of the parametric analytical MTF model for turbid medium. The equations are shown below:
In Equations (17) and (18), and represent the MTFs calculated using the ith equivalence principle-based model and the parametric analytical MTF model, respectively. N represents the total number of corresponding data points (, ).
To facilitate practical engineering applications, the samples corresponding to Cases 1–6 in Table 1 are merged into a single aggregate sample. An analytical model is then established based on this combination, reducing the number of equations. While this approach increases the model error, it remains within the manageable range indicated in Table 2. Conversely, Cases 7–12 remain unchanged and continue to utilize the previously established model expressions.
Table 2.
RMSE and MRE of our model.
Using our model, we calculated the MTF for all sample conditions in the data source library, and errors have been compared with the data source library. The results indicate that within the range of parameters in this paper, the maximum MRE and RMSE are 7.16% and 0.0454, respectively, as shown in Table 2. Table 3 presents the values of under different weather conditions. Additionally, the RMSE and MRE of our model under different weather conditions are as shown in Table 4 and Table 5. Compared to the discrete ordinate method of numerical resolution, our model has analytical equations, and is nearly a thousand times faster in computation speed, providing a new perspective on real-time image processing.
Table 3.
Values of under different weather conditions [14].
Table 4.
RMSE of our model under different weather conditions.
Table 5.
MRE of our model under different weather conditions.
4. Application of the Model and Experimental Comparison
When a target image is transmitted through a turbid atmosphere, it is influenced by atmospheric molecules and aerosol particles, leading to a deterioration in image quality. This degradation manifests primarily in three aspects: (1) absorption and scattering by molecules and aerosols reduce the inherent brightness of the target pixels; (2) multiple scattered light from neighboring pixels is combined with the target pixels, causing edge blurring; (3) environmental light (including direct sunlight, atmospheric diffuse light, and surface-reflected light) is scattered by molecules and aerosols, further reducing the overall contrast of the received image.
In order to comprehensively assess the impact of a turbid atmosphere on the transmission of target images in the presence of daylight backgrounds, the reduction in inherent brightness and edge blurriness in target pixels, as well as the influence of environmental light on the overall image quality, is integrated into a single expression known as the apparent MTF of the turbid medium, denoted as [15,16]. The equation is expressed as:
In Equation (19): denotes the wavelength, is the MTF of the turbid medium, represents the scattering environmental light from the turbid medium that overlaps with the target and neighboring pixels, resulting in reduced contrast, is the Fourier transform of the target brightness , and δ is the Dirac function, with and .
comprehensively considers the effects of turbid atmospheric attenuation, multiple scattering, and the scattering of environmental light by molecules and aerosol particles on the target image. It provides a complete description of the physical processes involved in the transmission of the target image through the atmosphere under daylight conditions.
4.1. Turbid Medium MTF
The first term in Equation (19) represents the MTF of a turbid medium, which reflects the impact of atmospheric attenuation and multiple scattering effects on image quality. According to the principle of equivalence, is numerically identical to the distribution of the outgoing light intensity. Therefore, can be calculated using the parametric analytical MTF model for turbid atmospheres developed in Section 3. Within the modeling range, the model’s maximum MRE is 7.16%, and the computation speed is a thousand times faster than the DISORT algorithm. The code exhibits strong portability and can be integrated into large codebases for applications in real-time image processing.
First, the extinction coefficient [17,18,19] for the RGB channels is calculated using the empirical relationship between visibility and wavelength
where the coefficients and are related as follows:
Then, assuming uniform atmospheric transmission, for the RGB channels is calculated based on the transmission distances and .
Due to the overall low absorption in the visible light spectrum, is approximated as 1.0. Therefore, for the image restoration process, is set to 1.0, and is taken according to the weather type in Table 4.
Finally, the key atmospheric parameters (, , ) are incorporated into the established parametric analytical MTF model for a turbid medium to derive the MTF for the RGB channels.
4.2. Effect of Background Light
The second term in Equation (19) represents the impact of environmental light, which has been scattered by turbid atmosphere, on the zero-frequency component of the image. This influence can significantly affect the contrast of the target image. Assuming the surface reflectance of the target is , and for uniform illumination from the front hemisphere of the target the radiance is , then the radiance reflected by the target is given by:
Simultaneously, the scattered light from the turbid atmosphere along a uniform line of sight is expressed as follows:
In Equation (24), represents the sky background light, while denotes the atmospheric transmittance.
If the target is illuminated solely by the sky background light in the atmosphere, without artificial lighting or direct sunlight, both and represent this sky background light. In general, under conditions such as backlighting or front lighting—where the target is oriented away from the direction of sunlight—the intensities of and are approximately equal, indicating . Therefore, the effect of scattering environmental light from the turbid medium on the zero-frequency component of the image can be expressed as [16]:
In Equation (25), represents the maximum surface reflectance, and is a parameter related to the zero-frequency component of the target, where
4.3. Experiments and Comparisons in Image Restoration
The MTF of the turbid medium, derived from the analytical model established in Section 4.1, is combined with the effect of environmental light scattering in the turbid atmosphere on the zero-frequency component of the image, as discussed in Section 4.2, resulting in . An inverse filtering method is employed to correct the image, which is fundamentally based on the principle of restoring the original image using a known degradation function. In this study, is utilized as the degradation function to perform inverse filtering on images affected by fog. Finally, a Gamma function is applied to enhance the overall brightness of the image, with a gamma value set to 0.6, resulting in a clearer restored image.
The images targeted for restoration in this experiment were obtained from the PhenoCam network [20], a scientific platform dedicated to monitoring and studying seasonal vegetation changes. This platform collects long-term data on ecosystems and vegetation dynamics through an automated camera system. The camera model is the NetCam SC H.264. Table 6 presents the parameters of the NetCam SC H.264 camera. Table 7 lists the specific values of the input parameters used in the model during the image restoration experiments, including , imaging distance L, , and . Due to the absence of a visibility sensor at the test site, the data of are obtained from locations approximately 1 km and 35 km from the test site.
Table 6.
The NetCam SC H.264 camera parameters.
Table 7.
Input parameters of model.
The parameters from Table 6 and Table 7 are input into the image restoration algorithm, which couples the parametric analytical MTF model for a turbid medium. The three sub-figures in Figure 6 present images of the Jurong observation station (JROS) under foggy conditions, sourced from the Phenocam website, reflecting the combined effects of atmospheric attenuation, multiple scattering, and environmental light scattering. To evaluate the performance of our model, image restoration is performed using Kaiming He’s method (hereafter referred to as He’s method) [21], the equivalent principle method, and the method proposed in this paper, addressing image blur caused by three types of actual atmospheric conditions.
Figure 6.
Comparison of experimental results. (a) Foggy image; (b) He’s method; (c) Equivalence principle method; (d) Method proposed in this paper.
As shown in Figure 6, all three methods effectively restore the images to a certain extent, improving their clarity. Compared to the other two methods, He’s method results in images with higher contrast but more severe color distortion, with a warmer tone. In contrast, the equivalent principle method and the method proposed in this paper restore images with more natural colors.
To objectively assess the quality of images restored by the three methods, the Peak Signal to Noise Ratio (PSNR) and Structural Similarity Index (SSIM) [22] are used as evaluation indicators. The PSNR is an important indicator for evaluating image quality, with higher values indicating better visual quality. The SSIM measures the structural similarity between two images, with values ranging from 0 to 1, where values closer to 1 indicate higher image quality. Table 8 and Table 9 list the PSNR and SSIM values for different restoration algorithms, respectively.
Table 8.
Comparison of PSNR for the three restoration methods.
Table 9.
Comparison of SSIM for the three restoration methods.
As shown in Table 8 and Table 9, the model, which integrates the parametric analytical MTF model in a turbid atmosphere, achieves high PSNR and SSIM values when applied to foggy conditions. Although He’s method shows a slight advantage in foggy conditions, it suffers from significant color distortion, which needs careful consideration in practical applications. From the perspective of PSNR and SSIM, the method proposed in this paper achieves slightly higher values than the equivalent principle method, thereby validating the reliability and effectiveness of the model.
5. Conclusions
In this paper, firstly, based on the equivalence principle of turbid media, starting from solving the radiative transfer equation, we use the DISORT algorithm to establish the MTF data source library, and analyze the qualitative relationship between the MTF and key atmospheric optical parameters. Then, the difference method is used to obtain the low and high critical spatial frequencies, dividing the whole spatial frequency into three parts: low spatial frequency, intermediate spatial frequency, and high spatial frequency. Finally, through the multivariate nonlinear fitting and linear interpolation methods, the parametric analytical MTF model of turbid media is obtained for low spatial frequency, intermediate spatial frequency and high spatial frequency, respectively, and the parametric analytical MTF model of turbid media under the whole spatial frequency is established, which can calculate the turbid atmospheric MTFs of in the range of 0.1–2.0, in the range of 0.1–1.0, and in the range of 0.05–0.95. The model has a wide range of applicability and fast computation speed, and it can deal with image degradation problems under a variety of weather conditions. Within the applicable range of the model, the model’s maximum MRE and the RMSE are 7.16% and 0.0454, respectively, which makes it a good prospect for engineering applications.
By coupling the parametric analytical MTF model for turbid atmospheres into the image restoration algorithm, the clarity and quality of fog-affected images under actual atmospheric conditions can be effectively improved, making the restored images clearer and more natural. The applicability of the model presented in this paper is limited to optical thickness values not exceeding 2.0. Future work will focus on further expansion based on practical application requirements.
6. Patents
Method and system for image restoration based on a parametric analytical MTF model of turbid atmosphere (the patent application is in progress).
Author Contributions
Conceptualization, R.R.; Data curation, Z.F. and H.L.; Formal analysis, M.G.; Funding acquisition, P.W.; Investigation, M.G., Z.F. and H.L.; Methodology, P.W. and R.R.; Project administration, P.W.; Software, M.G.; Supervision, P.W. and R.R.; Writing—original draft, M.G.; Writing—review and editing, P.W., Z.F., H.L. and R.R. All authors have read and agreed to the published version of the manuscript.
Funding
This research was funded by the National Key Research and Development Program of China, grant number 2022YFF1301900, and the Youth Innovation Promote Association Cas, grant number 2022450.
Data Availability Statement
The fog images in Figure 6a can be accessed at the PhenoCam network, https://phenocam.nau.edu/webcam/ (accessed on 11 May 2024, 11 January 2023, and 17 September 2023), in rows one through three, respectively.
Conflicts of Interest
The authors declare no conflicts of interest.
Appendix A
Table A1.
Coefficients for the equation.
Table A1.
Coefficients for the equation.
| No. | 1–6 | 7 | 8 | 9 | 10 | 11 | 12 |
|---|---|---|---|---|---|---|---|
| a0 | 0.484 | −0.727 | −19.260 | −354.161 | −0.988 | −1160.726 | −476.540 |
| b0 | −3.806 | −1.444 | −0.759 | −0.724 | −1.213 | −0.610 | −0.063 |
| c0 | 0.137 | 8.819 | 77.799 | 1117.099 | 12.813 | 7878.587 | 1500.793 |
| d0 | −0.368 | −0.051 | −0.436 | −1.837 | 0.031 | −0.306 | −1.196 |
| b1 | 4.362 | 1.455 | 0.565 | 0.562 | 1.111 | 0.551 | 0.279 |
| c1 | −0.730 | −68.381 | −105.487 | −1173.988 | −99.561 | −21,308.743 | −1575.552 |
| d1 | −0.395 | −0.109 | −1.015 | −2.653 | −0.179 | −0.972 | −2.985 |
| b2 | −1.700 | −0.687 | −0.098 | −0.101 | −0.443 | −0.128 | −0.034 |
| c2 | 0.830 | 244.002 | 47.515 | 411.086 | 355.021 | 28700.589 | 551.255 |
| d2 | 0.656 | 0.008 | 1.117 | 2.746 | 0.078 | 2.429 | 2.845 |
| b3 | 0.000 | 0.180 | 0.000 | 0.000 | 0.097 | 0.010 | 0.000 |
| c3 | 0.000 | −402.262 | 0.000 | 0.000 | −585.371 | −19,251.823 | 0.000 |
| d3 | 0.000 | 0.225 | 0.000 | 0.000 | 0.021 | −3.222 | 0.000 |
| b4 | 0.000 | −0.019 | 0.000 | 0.000 | −0.009 | 0.001 | 0.000 |
| c4 | 0.000 | 248.717 | 0.000 | 0.000 | 361.870 | 5145.635 | 0.000 |
| d4 | 0.000 | −0.063 | 0.000 | 0.000 | 0.081 | 1.926 | 0.000 |
| e | −0.136 | −0.095 | −0.171 | −0.190 | −0.082 | −0.249 | −0.467 |
| f | 1.005 | 0.538 | 1.272 | 3.103 | 0.559 | 1.090 | 2.632 |
| h | 0.005 | −0.006 | −0.015 | −0.308 | −0.014 | −0.104 | −0.512 |
| j | −0.523 | −0.479 | −0.469 | −0.146 | −0.495 | −0.363 | 0.093 |
Table A2.
Coefficients for the equation.
Table A2.
Coefficients for the equation.
| No. | 1–6 | 7 | 8 | 9 | 10 | 11 | 12 |
|---|---|---|---|---|---|---|---|
| a01 | 3.926 | 2.457 | 50.189 | 902.184 | 3.012 | 2469.215 | 1115.283 |
| b01 | −5.296 | −2.618 | −2.088 | −2.957 | −1.700 | −4.385 | −3.065 |
| c01 | 0.689 | 10.275 | −191.695 | −2820.323 | −3.452 | −16,786.828 | −3486.846 |
| d01 | −0.396 | 0.172 | −0.827 | −0.763 | −0.408 | −1.642 | −1.640 |
| b11 | 3.672 | 1.335 | 0.334 | 0.252 | 0.436 | 3.212 | 0.153 |
| c11 | −3.074 | −55.811 | 257.747 | 2946.933 | 15.498 | 45,543.369 | 3640.742 |
| d11 | −0.743 | −1.464 | 0.087 | −3.311 | 0.977 | 2.868 | −3.040 |
| b21 | −1.199 | −0.454 | −0.054 | −0.045 | −0.056 | −1.748 | −0.021 |
| c21 | 2.566 | 130.634 | −113.889 | −1025.477 | −14.010 | −61,542.019 | −1266.203 |
| d21 | 1.111 | 2.973 | 0.404 | 3.798 | −0.849 | −7.215 | 3.557 |
| b31 | 0.000 | 0.067 | 0.000 | 0.000 | 0.000 | 0.494 | 0.000 |
| c31 | 0.000 | −100.530 | 0.000 | 0.000 | 0.000 | 41,420.627 | 0.000 |
| d31 | 0.000 | −1.973 | 0.000 | 0.000 | 0.000 | 9.157 | 0.000 |
| b41 | 0.000 | 0.000 | 0.000 | 0.000 | 0.000 | −0.057 | 0.000 |
| c41 | 0.000 | 0.000 | 0.000 | 0.000 | 0.000 | −11,107.666 | 0.000 |
| d41 | 0.000 | 0.000 | 0.000 | 0.000 | 0.000 | −4.073 | 0.000 |
| e1 | 1.041 | −0.182 | 0.872 | 2.051 | −0.318 | 0.649 | 2.310 |
| f1 | 1.716 | 1.613 | 2.006 | 2.405 | 1.295 | 2.456 | 3.259 |
| h1 | −0.209 | 0.034 | −0.562 | −0.444 | 0.038 | −0.244 | 0.053 |
| j1 | 0.370 | −0.146 | 0.852 | 0.738 | 0.063 | 0.516 | 0.203 |
Table A3.
Coefficients for the equation.
Table A3.
Coefficients for the equation.
| No. | 1–6 | 7 | 8 | 9 | 10 | 11 | 12 |
|---|---|---|---|---|---|---|---|
| A0 | 0.940 | 0.883 | 1.182 | 8.568 | 0.833 | 1.135 | 11.066 |
| B0 | −0.779 | −0.694 | −0.547 | −0.887 | −0.623 | −0.420 | −0.734 |
| C0 | −0.032 | 0.087 | −1.139 | −22.768 | 0.088 | −1.229 | −29.802 |
| D0 | 0.012 | −0.038 | −0.007 | −0.054 | −0.061 | −0.003 | 0.044 |
| B1 | 0.125 | 0.213 | 0.078 | 0.034 | 0.181 | 0.081 | 0.036 |
| C1 | −0.007 | 0.176 | 1.281 | 22.423 | 0.201 | 1.302 | 28.588 |
| D1 | −0.008 | 0.075 | 0.205 | 0.287 | 0.072 | 0.208 | 0.315 |
| B2 | 0.000 | −0.027 | −0.005 | −0.002 | −0.019 | −0.006 | −0.002 |
| C2 | 0.088 | 0.050 | −0.278 | −7.280 | 0.068 | −0.131 | −8.928 |
| D2 | 0.000 | −0.029 | −0.077 | −0.119 | −0.010 | −0.020 | −0.054 |
| E | 0.239 | −0.067 | 0.075 | 0.566 | −0.086 | −0.056 | 0.436 |
| F | 0.028 | 0.240 | 0.036 | 0.034 | 0.400 | 0.095 | −0.054 |
| H | −0.023 | −0.025 | −0.170 | −0.118 | −0.019 | −0.208 | −0.243 |
| J | 0.369 | 0.125 | 0.380 | 0.326 | 0.018 | 0.341 | 0.388 |
Table A4.
Coefficients for the equation.
Table A4.
Coefficients for the equation.
| No. | 1–6 | 7 | 8 | 9 | 10 | 11 | 12 |
|---|---|---|---|---|---|---|---|
| A01 | 0.070 | 0.032 | −0.721 | −15.808 | 0.031 | −1.126 | −24.636 |
| B01 | −0.280 | −0.082 | −0.154 | −0.302 | −0.058 | −0.098 | −0.227 |
| C01 | 0.310 | 0.300 | 3.761 | 51.707 | 0.258 | 5.358 | 80.007 |
| D01 | −0.030 | 0.018 | −0.116 | −0.415 | 0.012 | −0.103 | −0.449 |
| B11 | 0.382 | 0.053 | 0.084 | 0.072 | 0.028 | 0.048 | 0.043 |
| C11 | −0.010 | −0.170 | −5.137 | −55.443 | −0.243 | −7.375 | −85.790 |
| D11 | 0.200 | 0.034 | 0.226 | 0.322 | 0.025 | 0.206 | 0.330 |
| B21 | −0.160 | −0.009 | −0.014 | −0.012 | −0.003 | −0.006 | −0.005 |
| C21 | 0.185 | 0.322 | 2.602 | 19.978 | 0.372 | 3.633 | 30.835 |
| D21 | −0.212 | −0.058 | −0.258 | −0.336 | −0.042 | −0.222 | −0.321 |
| E1 | −0.190 | −0.129 | −0.109 | 0.080 | −0.081 | −0.103 | 0.054 |
| F1 | −0.060 | −0.142 | 0.045 | 0.355 | −0.106 | 0.041 | 0.394 |
| H1 | 0.013 | 0.001 | 0.026 | −0.019 | 0.000 | 0.009 | −0.009 |
| J1 | 0.060 | 0.066 | 0.023 | 0.073 | 0.042 | 0.025 | 0.046 |
References
- Duntley, S.Q. Light in the Sea. J. Opt. Soc. Am. 1963, 53, 214–233. [Google Scholar] [CrossRef]
- Wells, W.H. Loss of Resolution in Water as a Result of Multiple Small-Angle Scattering. J. Opt. Soc. Am. 1969, 59, 686–691. [Google Scholar] [CrossRef]
- Sutherland, R.A.; Montoya, J.R.; Usevitch, B.R. Factors affecting signature propagation through intense forward-scattering atmospheres. In Proceedings of the Targets and Backgrounds IX: Characterization and Representation, Orlando, FL, USA, 21–25 April 2003; Volume 5075, pp. 332–341. [Google Scholar]
- Swanson, N.L.; Billard, B.D.; Gehman, V.M.; Gennaro, T.L. Application of the small-angle approximation to ocean water types. Appl. Opt. 2001, 40, 3608–3613. [Google Scholar] [CrossRef] [PubMed][Green Version]
- Bissonnette, L.R. Imaging through fog and rain. Opt. Eng. 1992, 31, 1045–1052. [Google Scholar] [CrossRef]
- Dror, I.; Sandrov, A.; Kopeika, N.S. Experimental investigation of the influence of the relative position of the scattering layer on image quality: The shower curtain effect. Appl. Opt. 1998, 37, 6495–6499. [Google Scholar] [CrossRef] [PubMed]
- Swanson, N.L.; Gehman, V.M.; Billard, B.D.; Gennaro, T.L. Limits of the small-angle approximation to the radiative transport equation. J. Opt. Soc. Am. A Opt. Image Sci. Vis. 2001, 18, 385–391. [Google Scholar] [CrossRef] [PubMed]
- Zardecki, A.; Gerstl, S.; Embury, J.F. Multiple scattering effects in spatial frequency filtering. Appl. Opt. 1984, 23, 4124–4131. [Google Scholar] [CrossRef] [PubMed]
- Lutomirski, R.F. Atmospheric degradation of electrooptical system performance. Appl. Opt. 1978, 17, 3915–3921. [Google Scholar] [CrossRef] [PubMed]
- Kopeika, N.S. Spatial-frequency dependence of scattered background light: The atmospheric modulation transfer function resulting from aerosols. J. Opt. Soc. Am. 1982, 72, 548–551. [Google Scholar] [CrossRef]
- Rao, R. General Characteristics of Modulation Transfer Function of Turbid Atmosphere. Acta Opt. Sin. 2011, 31, 0900125. [Google Scholar]
- Rao, R. Equivalence of MTF of a turbid medium and radiative transfer field. Chin. Opt. Lett. 2012, 10, 020101. [Google Scholar]
- Stamnes, K.; Tsay, S.C.; Wiscombe, W.; Jayaweera, K. Numerically stable algorithm for discrete-ordinate-method radiative transfer in multiple scattering and emitting layered media. Appl. Opt. 1988, 27, 2502–2509. [Google Scholar] [CrossRef] [PubMed]
- Narasimhan, S.G.; Nayar, S.K. Shedding light on the weather. In Proceedings of the 2003 IEEE Computer Society Conference on Computer Vision and Pattern Recognition, Madison, WI, USA, 18–20 June 2003; Volume 1, p. I. [Google Scholar]
- Zheng, X.; Wu, P.; Rao, R. Image quality analysis method under background radiation in turbid atmosphere. Acta Phys. Sin. 2018, 67, 088701-1–088701-10. [Google Scholar] [CrossRef]
- Zheng, X.; Wu, P.; Rao, R. Spectral characteristics of MTF in turbid atmosphere and its application for imaging band selection. Appl. Opt. 2019, 58, 904–911. [Google Scholar] [CrossRef] [PubMed]
- Nebuloni, R. Empirical relationships between extinction coefficient and visibility in fog. Appl. Opt. 2005, 44, 3795–3804. [Google Scholar] [CrossRef] [PubMed]
- Löhle, F. Uber die lichtzerstreuung im nebel. Phys. Zeits 1944, 45, 199–205. [Google Scholar]
- Kim, I.I.; McArthur, B.; Korevaar, E.J. Comparison of laser beam propagation at 785 nm and 1550 nm in fog and haze for optical wireless communications. In Proceedings of the Optical wireless communications III, Boston, MA, USA, 5–8 November 2000; Volume 421, pp. 26–37. [Google Scholar]
- PhenoCam. PhenoCam Network Data from 9:01 am on 11 May 2024, 7:46 am on 11 Jan 2023, and 7:46 am on 17 Sept 2023. Northern Arizona University. Available online: https://phenocam.nau.edu/webcam/network/map/ (accessed on 23 May 2024).
- He, K.; Sun, J.; Tang, X. Single image haze removal using dark channel prior. IEEE Trans. Pattern Anal. Mach. Intell. 2010, 33, 2341–2353. [Google Scholar] [PubMed]
- Ren, W.; Liu, S.; Zhang, H.; Pan, J.; Cao, X.; Yang, M.-H. Single image dehazing via multi-scale convolutional neural networks. In Proceedings of the Computer Vision—ECCV 2016: 14th European Conference, Amsterdam, The Netherlands, 11–14 October 2016; Proceedings, Part II 14. Springer International Publishing: Cham, Switzerland, 2016; pp. 154–169. [Google Scholar]
Disclaimer/Publisher’s Note: The statements, opinions and data contained in all publications are solely those of the individual author(s) and contributor(s) and not of MDPI and/or the editor(s). MDPI and/or the editor(s) disclaim responsibility for any injury to people or property resulting from any ideas, methods, instructions or products referred to in the content. |
© 2024 by the authors. Licensee MDPI, Basel, Switzerland. This article is an open access article distributed under the terms and conditions of the Creative Commons Attribution (CC BY) license (https://creativecommons.org/licenses/by/4.0/).







