Microwave Coincidence Imaging with Phase-Coded Stochastic Radiation Field
Abstract
1. Introduction
2. Radiation Field Generation
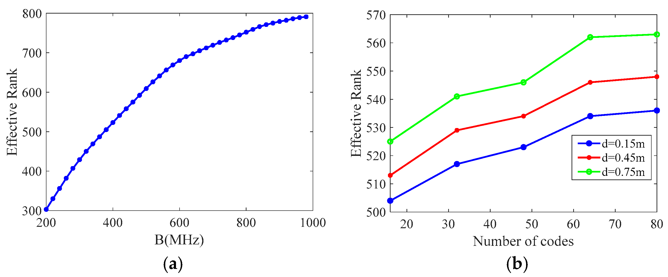
2.1. Radiation Field Characterization
2.2. Design of Code Sequence
3. Imaging Model
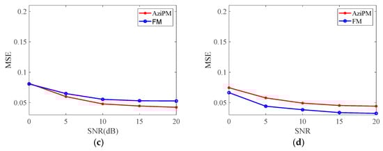
4. Imaging Algorithm and Results
4.1. Sparse Bayesian Learning
4.2. ADMM-Based Total Variation
4.2.1. w Sub-Problem
4.2.2. Sub-Problem
5. Conclusions
Author Contributions
Funding
Data Availability Statement
Conflicts of Interest
References
- Sun, M.; Qi, F.; Zhao, Y.; Ji, C. Resolution enhancement based on antenna aperture compensation in synthetic aperture radar imaging with hyper-laplacian prior deconvolution. IEEE Sens. J. 2019, 23, 21679–21686. [Google Scholar] [CrossRef]
- Wu, H.; Cheng, Y.; Chen, X. Information geometry-based track-before-detect algorithm for slow-moving fluctuating target detection. IEEE Trans. Signal Process. 2023, 71, 1833–1848. [Google Scholar] [CrossRef]
- Wu, H.; Cheng, Y.; Chen, X. Power spectrum information geometry-based radar target detection in heterogeneous clutter. IEEE Trans. Geosci. Remote Sens. 2024, 62, 5102016. [Google Scholar] [CrossRef]
- Wu, J.; Li, Z.; Huang, Y. Focusing bistatic forward-looking SAR with stationary transmitter based on keystone transform and nonlinear chirp scaling. IEEE Geosci. Remote Sens. Lett. 2014, 11, 148–152. [Google Scholar] [CrossRef]
- Yang, J. Multi-directional evolution trend and law analysis of radar ground imaging technology. J. Radars. 2019, 8, 669–692. [Google Scholar]
- Li, D.; Li, X.; Qin, Y. Radar coincidence imaging: An instantaneous imaging technique with stochastic signals. IEEE Trans. Geosci. Remote Sens. 2014, 52, 2261–2277. [Google Scholar]
- Zhu, S.; Zhang, A.; Xu, Z. Radar coincidence imaging with random microwave source. IEEE Antennas Wirel. Propag. Lett. 2015, 14, 1239–1242. [Google Scholar] [CrossRef]
- Guo, Y.; He, X.; Wang, D. A novel super-resolution imaging method based on stochastic radiation radar array. Meas. Sci. Technol. 2013, 24, 074013. [Google Scholar] [CrossRef]
- He, X.; Liu, C.; Liu, B. Sparse frequency diverse MIMO radar imaging for off-grid target based on adaptive iterative MAP. Remote Sens. 2013, 5, 631–647. [Google Scholar] [CrossRef]
- Zhao, M. Frequency-diverse metacavity cassegrain antenna for differential coincidence imaging. IEEE Trans. Antennas Propag. 2023, 71, 9054–9059. [Google Scholar] [CrossRef]
- Cao, K.; Cheng, Y.; Liu, Q. Microwave coincidence imaging based on attributed scattering model. IEEE Signal Process. Lett. 2022, 29, 1694–1698. [Google Scholar] [CrossRef]
- Wu, J.; Sun, Z.; Yang, J. Star-machine dual-base SAR imaging based on GF-3 irradiation and experimental validation. Radar Sci. Technol. 2021, 19, 241–247. [Google Scholar]
- Zhang, Y. Fast inverse-scattering reconstruction for airborne high squint radar imagery based on doppler centroid compensation. IEEE Trans. Geosci. Remote Sens. 2022, 60, 5205517. [Google Scholar] [CrossRef]
- Zhu, Y.; He, M.; He, Z. Joint minimum variance and maximum likelihood spectral estimation for forward-looking imaging methods. Syst. Eng. Electron. 2023, 45, 3108–3115. [Google Scholar]
- Li, W.; Zhang, B.; Li, K.; Yan, J. LRSD-ADMM-NET: Simultaneous super-resolution imaging and target detection for forward-looking scanning radar. Remote Sens. 2024, 17, 4052–4061. [Google Scholar] [CrossRef]
- Liu, Q.; Cheng, Y.; Cao, K. Radar 3-D forward-looking imaging for extended targets based on attribute scattering model. IEEE Geosci. Remote Sens. Lett. 2023, 20, 3502305. [Google Scholar] [CrossRef]
- Cao, K.; Cheng, Y.; Liu, K. Reweighted-dynamic-grid-based microwave coincidence imaging with grid mismatch. IEEE Trans. Geosci. Remote Sens. 2022, 60, 5102510. [Google Scholar] [CrossRef]
- Zhu, S.; He, Y.; Chen, X. Resolution Threshold Analysis of the Microwave Radar Coincidence Imaging. IEEE Trans. Geosci. Remote Sens. 2020, 58, 2232–2243. [Google Scholar] [CrossRef]
- Zhou, X.; Fan, B.; Wang, H. Sparse Bayesian perspective for radar coincidence imaging with array position error. IEEE Sens. J. 2017, 17, 5209–5219. [Google Scholar] [CrossRef]
- Tian, B.; Zhang, X.; Tang, X. A joint sparse recovery algorithm for coprime adjacent array synthetic aperture radar 3D sparse imaging. Int. J. Remote Sens. 2021, 42, 6560–6580. [Google Scholar] [CrossRef]
- Lu, X.; Yang, J.; Tan, K. Range-Doppler image reconstruction for collocated MIMO noise radar by sparse recovery. Remote Sens. Lett. 2022, 13, 279–289. [Google Scholar] [CrossRef]
- Candès, J.; Wakin, M. An introduction to compressive sampling: A sensing sampling paradigm that goes against the common knowledge in data acquisition. IEEE Signal Process. 2008, 25, 21–30. [Google Scholar] [CrossRef]
- Xu, G.; Zhang, B.; Yu, H.; Chen, J. Sparse Synthetic Aperture Radar Imaging from Compressed Sensing and Machine Learning: Theories, applications, and trends. IEEE Geosci. Remote Sens. 2022, 10, 32–69. [Google Scholar] [CrossRef]
- Seidi, M.; Shah, U.; Oberhammer, J. Analysis of a Minimalistic Imaging Radar Concept Employing Beam Shape Switching and Compressed Sensing. IEEE Trans. Geosci. Remote Sens. 2024, 62, 1–12. [Google Scholar] [CrossRef]
- Bai, X.; Wang, G.; Liu, S. High-Resolution Radar Imaging in Low SNR Environments Based on Expectation Propagation. IEEE Trans. Geosci. Remote Sens. 2021, 59, 1275–1284. [Google Scholar] [CrossRef]
- Hariprasad, M. Circulant decomposition of a matrix and the eigenvalues of Toeplitz type matrices. Appl. Math. Comput. 2024, 468, 128473. [Google Scholar] [CrossRef]
- Heng, Z.; Wang, X.; Li, X. Constructions of cyclic codes and extended primitive cyclic codes with their applications. Finite Fields Appl. 2023, 89, 102208. [Google Scholar] [CrossRef]
- Babur, G.; Aubry, P. Space-time radar waveforms: Circulating codes. Electr. Comput. Eng. 2013, 2013, 9. [Google Scholar] [CrossRef]
- Zhu, J.; Xie, Z.; Jiang, N. Delay-Doppler map shaping through oversampled complementary sets for high speed target detection. Remote Sens. 2024, 16, 2898. [Google Scholar] [CrossRef]
- Zou, L. Study of wavelet entropy for airport pavement inspection using a multistatic ground-penetrating radar system. Geophysics 2021, 86, 69–78. [Google Scholar] [CrossRef]
- Zhang, X. Singular value analysis. In Matrix Analysis and Application, 2nd ed.; Tsinghua Univ. Press: Beijing, China, 2013; pp. 301–312. [Google Scholar]
- Mankar, V.; Das, T.; Sarkar, S. Discrete chaotic sequence based on logistic map in digital communications. arXiv 2012, arXiv:1207.2694. [Google Scholar]
- Li, C.; Li, Y. Research on statistical characteristics of chaotic pseudorandom sequence for one-dimensional Logistic map. Appl. Res. Comput. 2014, 5, 1403–1406. [Google Scholar]
- Fan, B.; Zhou, X.; Chen, S. Sparse bayesian perspective for radar coincidence imaging with model errors. Math. Probl. Eng. 2020, 2020, 9202654. [Google Scholar] [CrossRef]
- Xiao, Y.; Yang, J. A fast algorithm for total variation image reconstruction from random projections. Mathematics 2010, 6, 547–563. [Google Scholar]
- Wang, Y. A new alternating minimization Algorithm for total variation image reconstruction. Imaging Sci. 2008, 1, 248–272. [Google Scholar] [CrossRef]
- Liu, X. Augmented lagrangian method for total generalized variation based poissonian image restoration. Comput. Math. Appl. 2013, 71, 1649–1705. [Google Scholar] [CrossRef]
- Eltiyeb, A.; Salem, M. Adaptive hybrid mixed two-point step size gradient algorithm for solving non-linear systems. Mathematics 2023, 11, 2102. [Google Scholar] [CrossRef]
















| Bandwidths | 200 MHz | 400 MHz | 600 MHz | 800 MHz |
| 2.4052 | 2.7805 | 2.9573 | 3.1301 |
| Parameters | Values |
|---|---|
| Carrier frequency | 90 GHz |
| Bandwidth | 800 MHz |
| Number of modulations | 16 |
| Array number | 16 (16 × 1) |
| Imaging range | 100 m |
| Array aperture | 0.15 m × 0.15 m |
| Grid size | 0.5 m × 0.5 m |
| Number of grids | 30 × 30 |
Disclaimer/Publisher’s Note: The statements, opinions and data contained in all publications are solely those of the individual author(s) and contributor(s) and not of MDPI and/or the editor(s). MDPI and/or the editor(s) disclaim responsibility for any injury to people or property resulting from any ideas, methods, instructions or products referred to in the content. |
© 2024 by the authors. Licensee MDPI, Basel, Switzerland. This article is an open access article distributed under the terms and conditions of the Creative Commons Attribution (CC BY) license (https://creativecommons.org/licenses/by/4.0/).
Share and Cite
Lin, H.; Liu, H.; Cheng, Y.; Xu, K.; Liu, K.; Yang, Y. Microwave Coincidence Imaging with Phase-Coded Stochastic Radiation Field. Remote Sens. 2024, 16, 3851. https://doi.org/10.3390/rs16203851
Lin H, Liu H, Cheng Y, Xu K, Liu K, Yang Y. Microwave Coincidence Imaging with Phase-Coded Stochastic Radiation Field. Remote Sensing. 2024; 16(20):3851. https://doi.org/10.3390/rs16203851
Chicago/Turabian StyleLin, Hang, Hongyan Liu, Yongqiang Cheng, Ke Xu, Kang Liu, and Yang Yang. 2024. "Microwave Coincidence Imaging with Phase-Coded Stochastic Radiation Field" Remote Sensing 16, no. 20: 3851. https://doi.org/10.3390/rs16203851
APA StyleLin, H., Liu, H., Cheng, Y., Xu, K., Liu, K., & Yang, Y. (2024). Microwave Coincidence Imaging with Phase-Coded Stochastic Radiation Field. Remote Sensing, 16(20), 3851. https://doi.org/10.3390/rs16203851

