Gridless DOA Estimation Method for Arbitrary Array Geometries Based on Complex-Valued Deep Neural Networks
Abstract
1. Introduction
2. Problem Formulation
2.1. Signal Model
2.2. Angular-Domain Covariance Matrix
3. Angular-Domain Covariance Matrix Reconstruction Network
3.1. Complex-Valued Deep Neural Network
3.2. Array Geometry and Parameter Settings
3.3. Dataset
3.4. Network Architecture and Training
4. Simulation
4.1. Impact of N on DOA Estimation Performance
4.2. DOA Estimation Results
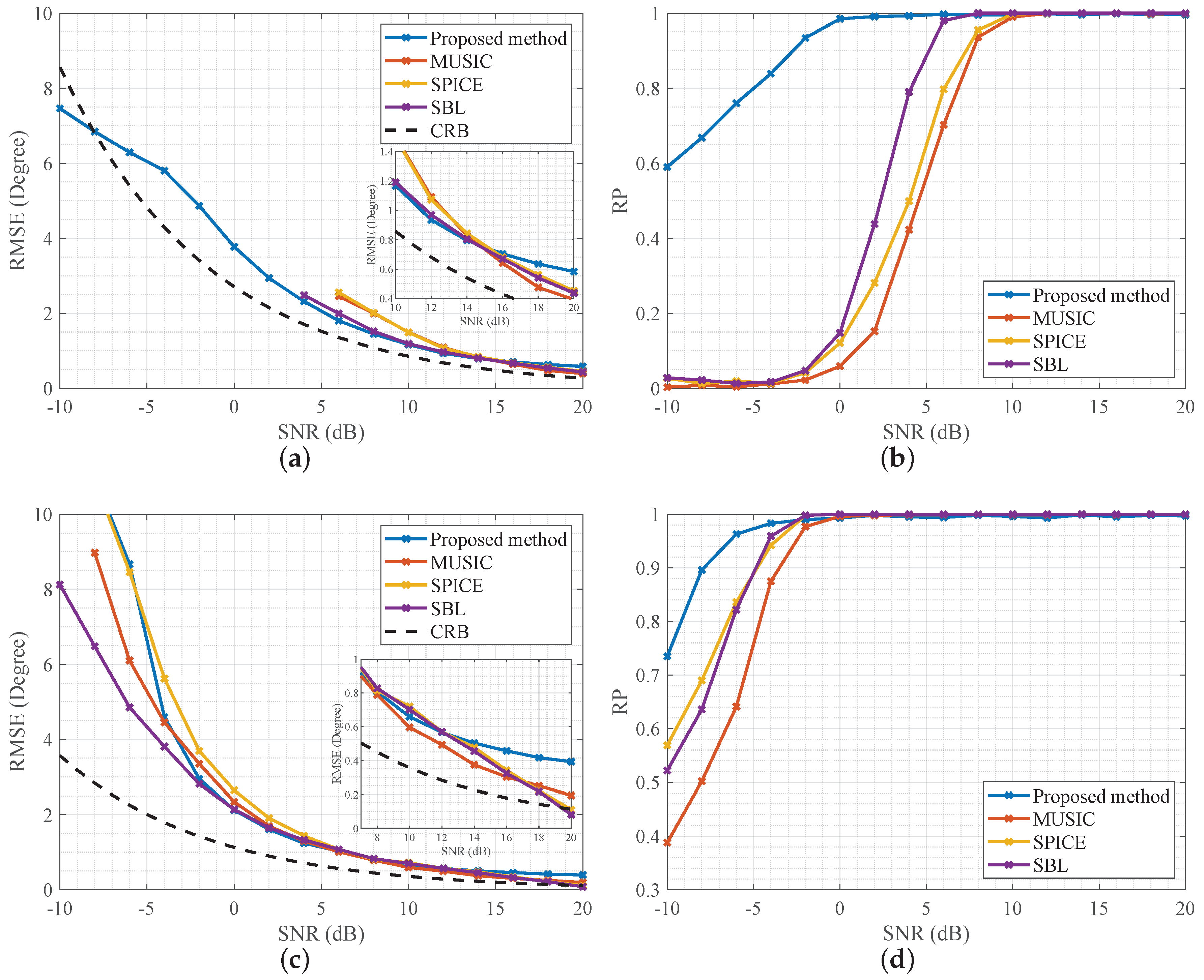
4.3. Relationship between Algorithm Performance and SNR
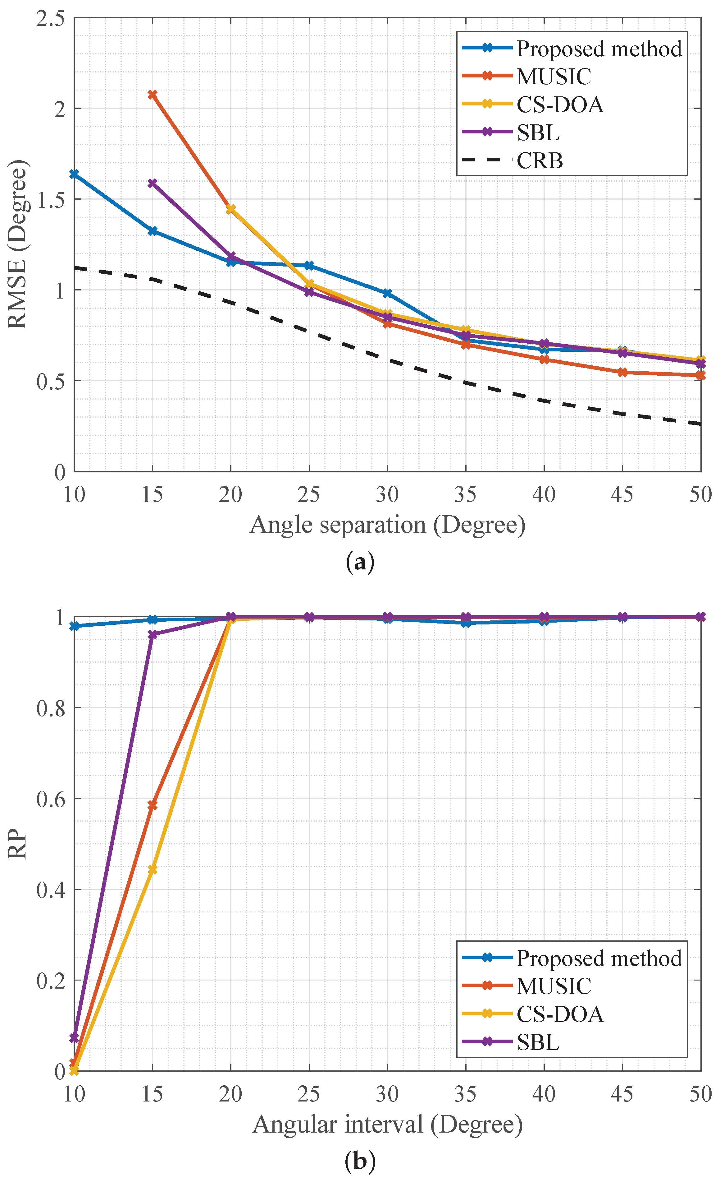
4.4. Relationship between Algorithm Performance and Angle Separation
4.5. Impact of Snapshot Number on Algorithm Performance
5. Swellex-96 Event S59 Experimental Results
6. Conclusions and Discussion
Author Contributions
Funding
Data Availability Statement
Conflicts of Interest
References
- Godara, L.C. Application of antenna arrays to mobile communications. II. Beam-forming and direction-of-arrival considerations. Proc. IEEE 1997, 85, 1195–1245. [Google Scholar] [CrossRef]
- Massa, A.; Rocca, P.; Oliveri, G. Compressive Sensing in Electromagnetics—A Review. IEEE Antennas Propag. Mag. 2015, 57, 224–238. [Google Scholar] [CrossRef]
- Trees, H.L.V. Optimum Array Processing: Part IV of Detection, Estimation, and Modulation Theory; Wiley: Hoboken, NJ, USA, 2004; pp. 17–79. [Google Scholar]
- Capon, J. High-resolution frequency-wavenumber spectrum analysis. Proc. IEEE 1969, 57, 1408–1418. [Google Scholar] [CrossRef]
- Schmidt, R. Multiple emitter location and signal parameter estimation. IEEE Trans. Antennas Propag. 1986, 34, 276–280. [Google Scholar] [CrossRef]
- Roy, R.; Paulraj, A.; Kailath, T. ESPRIT—A subspace rotation approach to estimation of parameters of cisoids in noise. IEEE Trans. Acoust., Speech, Signal Process. 1986, 34, 1340–1342. [Google Scholar] [CrossRef]
- Thomas, J.K.; Scharf, L.L.; Tufts, D.W. The probability of a subspace swap in the SVD. IEEE Trans. Signal Process. 1995, 43, 730–736. [Google Scholar] [CrossRef]
- Yang, Z.; Li, J.; Stoica, P.; Xie, L. Chapter 11 - Sparse methods for direction-of-arrival estimation. In Array, Radar and Communications Engineering; Chellappa, R., Theodoridis, S., Eds.; Academic Press: Cambridge, MA, USA, 2018; pp. 509–581. [Google Scholar]
- Zhang, G.; Liu, K.; Sun, S.; Fu, J.; Wang, J. DOA estimation method for underwater acoustic signals based on two-dimensional power distribution (TPD) for few element array. Appl. Acoust. 2021, 184, 108352. [Google Scholar] [CrossRef]
- Zhang, Y.; Zhang, L.; Han, J.; Ban, Z.; Yang, Y. A new DOA estimation algorithm based on compressed sensing. Cluster Comput. 2019, 22, 895–903. [Google Scholar]
- Li, X.; Ma, X.; Yan, S.; Hou, C. Single snapshot DOA estimation by compressive sampling. Appl. Acoust. 2013, 74, 926–930. [Google Scholar] [CrossRef]
- Stoica, P.; Babu, P.; Li, J. SPICE: A Sparse Covariance-Based Estimation Method for Array Processing. IEEE Trans. Signal Process. 2011, 59, 629–638. [Google Scholar] [CrossRef]
- Tan, Z.; Yang, P.; Nehorai, A. Joint Sparse Recovery Method for Compressed Sensing with Structured Dictionary Mismatches. IEEE Trans. Signal Process. 2014, 62, 4997–5008. [Google Scholar] [CrossRef]
- Wu, X.; Zhu, W.; Yan, J. Direction of Arrival Estimation for Off-Grid Signals Based on Sparse Bayesian Learning. IEEE Sens. J. 2014, 16, 2004–2016. [Google Scholar] [CrossRef]
- Wang, Q.; Yu, H.; Li, J.; Chen, F. Adaptive Grid Refinement Method for DOA Estimation via Sparse Bayesian Learning. IEEE J. Ocean Eng. 2023, 48, 806–819. [Google Scholar] [CrossRef]
- Jagannath, R.; Hari, K.V.S. Block Sparse Estimator for Grid Matching in Single Snapshot DoA Estimation. IEEE Signal Process. Lett. 2013, 11, 1038–1041. [Google Scholar] [CrossRef]
- Xenaki, A.; Gerstoft, P. Grid-free compressive beamforming. J. Acoust. Soc. Am. 2015, 137, 1923–1935. [Google Scholar] [CrossRef]
- Zhou, C.; Gu, Y.; Fan, X.; Shi, Z.; Mao, G.; Zhang, Y. Direction-of-Arrival Estimation for Coprime Array via Virtual Array Interpolation. IEEE Trans. Signal Process. 2018, 66, 5956–5971. [Google Scholar] [CrossRef]
- Chu, Z.; Liu, Y.; Yang, Y.; Yang, Y. A preliminary study on two-dimensional grid-free compressive beamforming for arbitrary planar array geometries. J. Acoust. Soc. Am. 2021, 149, 3751–3757. [Google Scholar] [CrossRef]
- Raj, A.G.; McClellan, J.H. Super-resolution DOA Estimation for Arbitrary Array Geometries Using a Single Noisy Snapshot. In Proceedings of the 2019 IEEE International Conference on Acoustics, Speech and Signal Processing (ICASSP), Brighton, UK, 12–17 May 2019. [Google Scholar]
- Raj, A.G.; McClellan, J.H. Single Snapshot Super-Resolution DOA Estimation for Arbitrary Array Geometries. IEEE Signal Process. Lett. 2019, 26, 119–123. [Google Scholar]
- Yang, Y.; Chu, Z.; Yin, S. Two-dimensional grid-free compressive beamforming with spherical microphone arrays. Mech. Syst. Signal Proc. 2022, 169, 108642. [Google Scholar] [CrossRef]
- Mahata, K.; Hyder, M.M. Grid-less T.V minimization for DOA estimation, Signal Processing. Signal Process. 2017, 132, 155–164. [Google Scholar] [CrossRef]
- Grumiaux, P.; Kitić, S.; Girin, L.; Guérin, A. A survey of sound source localization with deep learning methods. J. Acoust. Soc. Am. 2022, 152, 107–151. [Google Scholar] [CrossRef]
- Papageorgiou, G.K.; Sellathurai, M.; Eldar, Y.C. Deep Networks for Direction-of-Arrival Estimation in Low SNR. IEEE Trans. Signal Process. 2021, 69, 3714–3729. [Google Scholar] [CrossRef]
- Liu, Y.; Chen, H.; Wang, B. DOA estimation based on CNN for underwater acoustic array. Appl. Acoust. 2021, 172, 107594. [Google Scholar] [CrossRef]
- Nie, W.; Zhang, X.; Xu, J.; Guo, L.; Yan, Y. Adaptive Direction-of-Arrival Estimation Using Deep Neural Network in Marine Acoustic Environment. IEEE Sens. J. 2023, 23, 15093–15105. [Google Scholar] [CrossRef]
- Liang, C.; Liu, M.; Li, Y.; Wang, Y.; Hu, X. LDnADMM-Net: A Denoising Unfolded Deep Neural Network for Direction-of-Arrival Estimations in A Low Signal-to-Noise Ratio. Remote Sens. 2024, 16, 554. [Google Scholar] [CrossRef]
- Wu, X.; Yang, X.; Jia, X.; Tian, F. A Gridless DOA Estimation Method Based on Convolutional Neural Network with Toeplitz Prior. IEEE Signal Process. Lett. 2022, 29, 1247–1251. [Google Scholar] [CrossRef]
- Gao, S.; Ma, H.; Liu, H.; Yang, J.; Yang, Y. A Gridless DOA Estimation Method for Sparse Sensor Array. Remote Sens. 2023, 15, 5281. [Google Scholar] [CrossRef]
- Wu, X.; Wang, J.; Yang, X.; Tian, F. A Gridless DOA Estimation Method Based on Residual Attention Network and Transfer Learning. IEEE Trans. Veh. Technol. 2024, 73, 9103–9108. [Google Scholar] [CrossRef]
- Cui, Y.; Yang, F.; Zhou, M.; Hao, L.; Wang, J.; Sun, H.; Kong, A.; Qi, J. Gridless Underdetermined DOA Estimation for Mobile Agents with Limited Snapshots Based on Deep Convolutional Generative Adversarial Network. Remote Sens. 2024, 16, 626. [Google Scholar] [CrossRef]
- Huang, G.; Benesty, J.; Chen, J. On the Design of Frequency-Invariant Beampatterns with Uniform Circular Microphone Arrays. IEEE-ACM Trans. Audio Speech Lang. 2017, 25, 1140–1153. [Google Scholar] [CrossRef]
- Tang, G.; Bhaskar, B.N.; Shah, P.; Recht, B. Compressed Sensing Off the Grid. IEEE Trans. Inf. Theory 2013, 59, 7465–7490. [Google Scholar] [CrossRef]
- Wu, X.; Zhu, W.; Yan, J. A Toeplitz Covariance Matrix Reconstruction Approach for Direction-of-Arrival Estimation. IEEE Trans. Veh. Technol. 2017, 66, 8223–8237. [Google Scholar] [CrossRef]
- Pal, P.; Vaidyanathan, P.P. A Grid-Less Approach to Underdetermined Direction of Arrival Estimation Via Low Rank Matrix Denoising. IEEE Signal Process. Lett. 2014, 21, 737–741. [Google Scholar] [CrossRef]
- Rao, B.D.; Hari, K.V.S. Performance analysis of Root-Music. IEEE Trans. Acoust. Speech Signal Process. 1989, 37, 1939–1949. [Google Scholar] [CrossRef]
- The SWellEX-96 Experiment. 1996. Available online: http://swellex96.ucsd.edu/ (accessed on 5 September 2024).
- Trabelsi, C.; Bilaniuk, O.; Serdyuk, D.; Subramanian, S.; Santos, J.F.; Mehri, S.; Rostamzadeh, N.; Bengio, Y.; Pal, C.J. Deep Complex Networks. arXiv 2017, arXiv:1705.09792. [Google Scholar]
- Mohammadzadeh, S.; Nascimento, V.H.; Lamare, R.C.; Hajarolasvadi, N. Robust Beamforming Based on Complex-Valued Convolutional Neural Networks for Sensor Arrays. IEEE Signal Process. Lett. 2022, 29, 2108–2112. [Google Scholar] [CrossRef]
- Zhang, Y.; Zeng, R.; Zhang, S.; Wang, J.; Wu, Y. Complex-Valued Neural Network with Multistep Training for Single-Snapshot DOA Estimation. IEEE Geosci. Remote Sens. Lett. 2024, 21, 1–5. [Google Scholar] [CrossRef]
- Fan, Z.; Tu, Y.; Lin, Y.; Shi, Q. Class-Incremental Learning for Recognition of Complex-Valued Signals. IEEE Trans. Cogn. Commun. Netw. 2024, 10, 417–428. [Google Scholar] [CrossRef]
- Kingma, D.P.; Ba, J. Adam: A method for stochastic optimization. arXiv 2014, arXiv:1412.6980. [Google Scholar]
- Xenaki, A.; Boldt, J.B.; Christensen, M.G. Sound source localization and speech enhancement with sparse Bayesian learning beamforming. J. Acoust. Soc. Am. 2018, 143, 2912–3921. [Google Scholar] [CrossRef]
- Zhou, T.; He, Z.; Shi, Q.; Lin, C.; Zhang, S. Multisnapshot High-Resolution Gridless DOA Estimation for Uniform Circular Arrays. IEEE Signal Process. Lett. 2024, 31, 1705–1709. [Google Scholar] [CrossRef]
- Liu, Z.; Zhang, Y.; Wang, W.; Li, X.; Li, H.; Shi, W.; Ali, W. Infinite Weighted p-Norm Sparse Iterative DOA Estimation via Acoustic Vector Sensor Array under Impulsive Noise. J. Mar. Sci. Eng. 2023, 11, 1798. [Google Scholar] [CrossRef]
- Stoica, P.; Nehorai, A. MUSIC, maximum likelihood, and Cramer-Rao bound. IEEE Trans. Acoust. Speech Signal Process. 1989, 37, 720–741. [Google Scholar] [CrossRef]













| Element No. | #1 | #2 | #3 | #4 | #5 | #6 | #7 | #8 |
|---|---|---|---|---|---|---|---|---|
| x (m) | 11.93 | 9.26 | 6.50 | 3.41 | 0 | −3.75 | −7.87 | −12.43 |
| y (m) | −10.4 | −8.24 | −5.78 | −3.06 | 0 | 3.40 | 7.34 | 11.62 |
| Training Loss | Validation Loss | Test Loss | |
|---|---|---|---|
| 0.0750 | 0.0762 | 0.0766 | |
| 0.1185 | 0.1187 | 0.1197 | |
| 0.1676 | 0.1685 | 0.1692 |
| K | The Range of | Proposed Method | MUSIC | SPICE | SBL |
|---|---|---|---|---|---|
| 1 | 0.1278 | 0.1098 | 0.2676 | 0.2678 | |
| 0.2239 | 0.1885 | 1.0060 | 0.6724 | ||
| 2 | 0.9051 | 0.8279 | 0.9340 | 0.9146 | |
| 2.0294 | 2.9906 | 3.9232 | 3.2688 | ||
| 3 | 2.4844 | 2.2639 | 2.1821 | 2.0246 | |
| 5.0632 | 9.1194 | 8.6687 | 7.1800 |
Disclaimer/Publisher’s Note: The statements, opinions and data contained in all publications are solely those of the individual author(s) and contributor(s) and not of MDPI and/or the editor(s). MDPI and/or the editor(s) disclaim responsibility for any injury to people or property resulting from any ideas, methods, instructions or products referred to in the content. |
© 2024 by the authors. Licensee MDPI, Basel, Switzerland. This article is an open access article distributed under the terms and conditions of the Creative Commons Attribution (CC BY) license (https://creativecommons.org/licenses/by/4.0/).
Share and Cite
Cao, Y.; Zhou, T.; Zhang, Q. Gridless DOA Estimation Method for Arbitrary Array Geometries Based on Complex-Valued Deep Neural Networks. Remote Sens. 2024, 16, 3752. https://doi.org/10.3390/rs16193752
Cao Y, Zhou T, Zhang Q. Gridless DOA Estimation Method for Arbitrary Array Geometries Based on Complex-Valued Deep Neural Networks. Remote Sensing. 2024; 16(19):3752. https://doi.org/10.3390/rs16193752
Chicago/Turabian StyleCao, Yuan, Tianjun Zhou, and Qunfei Zhang. 2024. "Gridless DOA Estimation Method for Arbitrary Array Geometries Based on Complex-Valued Deep Neural Networks" Remote Sensing 16, no. 19: 3752. https://doi.org/10.3390/rs16193752
APA StyleCao, Y., Zhou, T., & Zhang, Q. (2024). Gridless DOA Estimation Method for Arbitrary Array Geometries Based on Complex-Valued Deep Neural Networks. Remote Sensing, 16(19), 3752. https://doi.org/10.3390/rs16193752

