Vertical Distribution of Water Vapor During Haze Processes in Northeast China Based on Raman Lidar Measurements
Abstract
1. Introduction
2. Instruments and Methods
2.1. Three-Wavelength Raman Lidar
2.2. The Radiosonde
2.3. Water Vapor Retrieval Method and Calibration
2.4. Retrievals of Aerosol Optical Properties from Lidar
3. Analysis
3.1. The Distribution Characteristics and Variations of Water Vapor Vertical Profiles
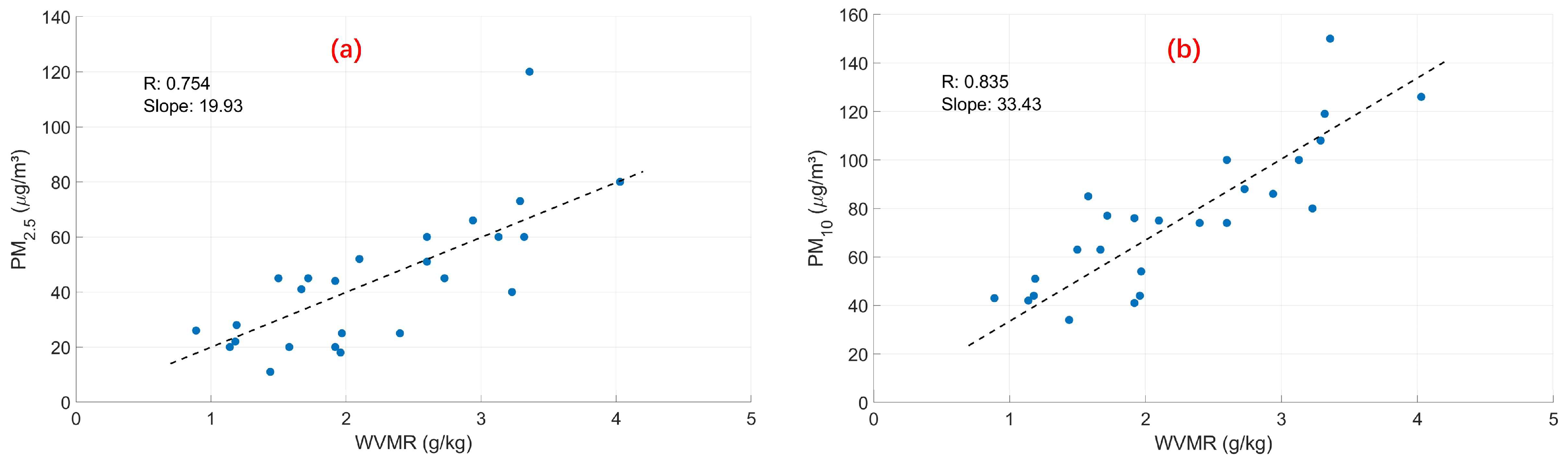
3.2. The Variation of Water Vapor during Haze Events
4. Conclusions
Author Contributions
Funding
Data Availability Statement
Acknowledgments
Conflicts of Interest
References
- Bevis, M.; Businger, S.; Herring, T.A.; Rocken, C.; Anthes, R.A.; Ware, R.H. GPS meteorology: Remote sensing of atmospheric water vapor using the global positioning system. J. Geophys. Res. Atmos. 2012, 97, 15787–15801. [Google Scholar] [CrossRef]
- Rocken, C.; Ware, R.; Van Hove, T.; Solheim, F.; Alber, C.; Johnson, J.; Bevis, M.; Businger, S. Sensing atmospheric water vapor with the global positioning system. Geophys. Res. Lett. 2012, 20, 2631–2634. [Google Scholar] [CrossRef]
- Trenberth, K.E.; Fasullo, J.; Smith, L. Trends and variability in column-integrated atmospheric water vapor. Clim. Dyn. 2005, 24, 741–758. [Google Scholar] [CrossRef]
- King, M.D.; Menzel, W.P.; Kaufman, Y.J.; Tanre, D.; Bo-Cai, G.; Platnick, S.; Ackerman, S.A.; Remer, L.A.; Pincus, R.; Hubanks, P.A. Cloud and aerosol properties, precipitable water, and profiles of temperature and water vapor from MODIS. IEEE Trans. Geosci. Remote Sens. 2003, 41, 442–458. [Google Scholar] [CrossRef]
- Bengtsson, L. The global atmospheric water cycle. Environ. Res. Lett. 2010, 5, 025202. [Google Scholar] [CrossRef]
- Held, I.M.; Soden, B.J. Water Vapor Feedback and Global Warming. Annu. Rev. Energy Environ. 2000, 25, 441–475. [Google Scholar] [CrossRef]
- Hao, J.; Lu, E. Variation of Relative Humidity as Seen through Linking Water Vapor to Air Temperature: An Assessment of Interannual Variations in the Near-Surface Atmosphere. Atmosphere 2022, 13, 1171. [Google Scholar] [CrossRef]
- Ramadan, Z.; Song, X.H.; Hopke, P.K. Identification of sources of Phoenix aerosol by positive matrix factorization. J. Air Waste Manag. Assoc. 2000, 50, 1308–1320. [Google Scholar] [CrossRef] [PubMed]
- Gao, J.; Woodward, A.; Vardoulakis, S.; Kovats, S.; Wilkinson, P.; Li, L.; Xu, L.; Li, J.; Yang, J.; Li, J.; et al. Haze, public health and mitigation measures in China: A review of the current evidence for further policy response. Sci. Total Environ. 2017, 578, 148–157. [Google Scholar] [CrossRef]
- Pérez-Díaz, J.; Ivanov, O.; Peshev, Z.; Álvarez-Valenzuela, M.; Valiente-Blanco, I.; Evgenieva, T.; Dreischuh, T.; Gueorguiev, O.; Todorov, P.; Vaseashta, A. Fogs: Physical Basis, Characteristic Properties, and Impacts on the Environment and Human Health. Water 2017, 9, 807. [Google Scholar] [CrossRef]
- Guo, L.; Guo, X.; Fang, C.; Zhu, S. Observation analysis on characteristics of formation, evolution and transition of a long-lasting severe fog and haze episode in North China. Sci. China Earth Sci. 2014, 58, 329–344. [Google Scholar] [CrossRef]
- Lakra, K.; Avishek, K. A review on factors influencing fog formation, classification, forecasting, detection and impacts. Rend. Lincei. Sci. Fis. Nat. 2022, 33, 319–353. [Google Scholar] [CrossRef] [PubMed]
- Willett, H.C. Fog and haze, their causes, distribution, and forecasting. Mon. Weather. Rev. 1928, 56, 435–468. [Google Scholar] [CrossRef]
- Yu, C.; Zhao, T.; Bai, Y.; Zhang, L.; Kong, S.; Yu, X.; He, J.; Cui, C.; Yang, J.; You, Y.; et al. Heavy air pollution with a unique “non-stagnant” atmospheric boundary layer in the Yangtze River middle basin aggravated by regional transport of PM2.5 over China. Atmos. Chem. Phys. 2020, 20, 7217–7230. [Google Scholar] [CrossRef]
- Zhao, D.; Xin, J.; Gong, C.; Quan, J.; Liu, G.; Zhao, W.; Wang, Y.; Liu, Z.; Song, T. The formation mechanism of air pollution episodes in Beijing city: Insights into the measured feedback between aerosol radiative forcing and the atmospheric boundary layer stability. Sci. Total Environ. 2019, 692, 371–381. [Google Scholar] [CrossRef] [PubMed]
- Malap, N.; Prabha, T.V.; Karipot, A. Impact of middle atmospheric humidity on boundary layer turbulence and clouds. J. Atmos. Sol. Terr. Phys. 2021, 215, 105553. [Google Scholar] [CrossRef]
- Behrendt, A.; Nakamura, T.; Onishi, M.; Baumgart, R.; Tsuda, T. Combined Raman lidar for the measurement of atmospheric temperature, water vapor, particle extinction coefficient, and particle backscatter coefficient. Appl. Opt. 2002, 41, 7657–7666. [Google Scholar] [CrossRef]
- Barnes, J.E.; Kaplan, T.; Vömel, H.; Read, W.G. NASA/Aura/Microwave Limb Sounder water vapor validation at Mauna Loa Observatory by Raman lidar. J. Geophys. Res. Atmos. 2008, 113, D15S03. [Google Scholar] [CrossRef]
- Jia, J.; Yi, F. Atmospheric temperature measurements at altitudes of 5-30 km with a double-grating-based pure rotational Raman lidar. Appl. Opt. 2014, 53, 5330–5343. [Google Scholar] [CrossRef]
- Wang, Y.; Cao, X.; He, T.; Gao, F.; Hua, D.; Zhao, M. Observation and analysis of the temperature inversion layer by Raman lidar up to the lower stratosphere. Appl. Opt. 2015, 54, 10079–10088. [Google Scholar] [CrossRef]
- Steyn, D.G.; De Wekker, S.F.; Kossmann, M.; Martilli, A. Boundary layers and air quality in mountainous terrain. In Muntain Weather Research and Forecasting; Springer: Dordrecht, The Netherlands, 2013; pp. 261–289. [Google Scholar] [CrossRef]
- Giovannini, L.; Ferrero, E.; Karl, T.; Rotach, M.W.; Staquet, C.; Trini Castelli, S.; Zardi, D. Atmospheric Pollutant Dispersion over Complex Terrain: Challenges and Needs for Improving Air Quality Measurements and Modeling. Atmosphere 2020, 11, 646. [Google Scholar] [CrossRef]
- Ma, S.; Chen, W.; Zhang, S.; Tong, Q.; Bao, Q.; Gao, Z. Characteristics and cause analysis of heavy haze in Changchun City in Northeast China. Chin. Geogr. Sci. 2017, 27, 989–1002. [Google Scholar] [CrossRef]
- Zhao, H.; Ma, Y.; Wang, Y.; Wang, H.; Sheng, Z.; Gui, K.; Zheng, Y.; Zhang, X.; Che, H. Aerosol and gaseous pollutant characteristics during the heating season (winter–spring transition) in the Harbin-Changchun megalopolis, northeastern China. J. Atmos. Sol. Terr. Phys. 2019, 188, 26–43. [Google Scholar] [CrossRef]
- Li, B.; Shi, X.F.; Liu, Y.P.; Lu, L.; Wang, G.L.; Thapa, S.; Sun, X.Z.; Fu, D.L.; Wang, K.; Qi, H. Long-term characteristics of criteria air pollutants in megacities of Harbin-Changchun megalopolis, Northeast China: Spatiotemporal variations, source analysis, and meteorological effects. Environ. Pollut. 2020, 267, 115441. [Google Scholar] [CrossRef] [PubMed]
- Wang, S.; Li, Y.; Haque, M. Evidence on the Impact of Winter Heating Policy on Air Pollution and Its Dynamic Changes in North China. Sustainability 2019, 11, 2728. [Google Scholar] [CrossRef]
- Zhang, M.; Zhang, S.; Bao, Q.; Yang, C.; Qin, Y.; Fu, J.; Chen, W. Temporal Variation and Source Analysis of Carbonaceous Aerosol in Industrial Cities of Northeast China during the Spring Festival: The Case of Changchun. Atmosphere 2020, 11, 991. [Google Scholar] [CrossRef]
- Chen, W.; Zhang, S.; Tong, Q.; Zhang, X.; Zhao, H.; Ma, S.; Xiu, A.; He, Y. Regional Characteristics and Causes of Haze Events in Northeast China. Chin. Geogr. Sci. 2018, 28, 836–850. [Google Scholar] [CrossRef]
- Meng, C.; Cheng, T.; Bao, F.; Gu, X.; Wang, J.; Zuo, X.; Shi, S. The Impact of Meteorological Factors on Fine Particulate Pollution in Northeast China. Aerosol Air Qual. Res. 2020, 20, 1618–1628. [Google Scholar] [CrossRef]
- Leblanc, T.; McDermid, I.S.; Walsh, T.D. Ground-based water vapor raman lidar measurements up to the upper troposphere and lower stratosphere for long-term monitoring. Atmos. Meas. Tech. 2012, 5, 17–36. [Google Scholar] [CrossRef]
- Reichardt, J.; Wandinger, U.; Klein, V.; Mattis, I.; Hilber, B.; Begbie, R. RAMSES: German Meteorological Service autonomous Raman lidar for water vapor, temperature, aerosol, and cloud measurements. Appl. Opt. 2012, 51, 8111–8131. [Google Scholar] [CrossRef]
- Su, T.; Li, J.; Li, J.; Li, C.; Chu, Y.; Zhao, Y.; Guo, J.; Yu, Y.; Wang, L. The Evolution of Springtime Water Vapor Over Beijing Observed by a High Dynamic Raman Lidar System: Case Studies. IEEE J. Sel. Top. Appl. Earth Obs. Remote Sens. 2017, 10, 1715–1726. [Google Scholar] [CrossRef]
- Luers, J.K.; Eskridge, R.E. Use of Radiosonde Temperature Data in Climate Studies. J. Clim. 1998, 11, 1002–1019. [Google Scholar] [CrossRef]
- Zhou, Q.; Zhang, Y.; Jia, S.; Jin, J.; Lv, S.; Li, Y. Climatology of Cloud Vertical Structures from Long-Term High-Resolution Radiosonde Measurements in Beijing. Atmosphere 2020, 11, 401. [Google Scholar] [CrossRef]
- Negusini, M.; Petkov, B.H.; Tornatore, V.; Barindelli, S.; Martelli, L.; Sarti, P.; Tomasi, C. Water Vapour Assessment Using GNSS and Radiosondes over Polar Regions and Estimation of Climatological Trends from Long-Term Time Series Analysis. Remote Sens. 2021, 13, 4871. [Google Scholar] [CrossRef]
- Bosser, P.; Bock, O.; Thom, C.; Pelon, J. Study of the statistics of water vapor mixing ratio determined from Raman lidar measurements. Appl. Opt. 2007, 46, 8170–8180. [Google Scholar] [CrossRef]
- Lofthus, A.; Krupenie, P.H. The spectrum of molecular nitrogen. J. Phys. Chem. Ref. Data 1977, 6, 113–307. [Google Scholar] [CrossRef]
- Wandinger, U. Raman Lidar. In Lidar: Range-Resolved Optical Remote Sensing of the Atmosphere; Weitkamp, C., Ed.; Springer New York: New York, NY, USA, 2005; pp. 241–271. [Google Scholar]
- Leblanc, T.; McDermid, I.S. Accuracy of Raman lidar water vapor calibration and its applicability to long-term measurements. Appl. Opt. 2008, 47, 5592–5603. [Google Scholar] [CrossRef]
- Guo, X.; Wu, D.; Wang, Z.; Wang, B.; Li, C.; Deng, Q.; Liu, D. A review of atmospheric water vapor lidar calibration methods. WIREs Water 2024, 11, e1712. [Google Scholar] [CrossRef]
- Ferrare, R.A.; Melfi, S.H.; Whiteman, D.N.; Evans, K.D.; Schmidlin, F.J.; Starr, D.O.C. A Comparison of Water Vapor Measurements Made by Raman Lidar and Radiosondes. J. Atmos. Oceanic Technol. 1995, 12, 1177–1195. [Google Scholar] [CrossRef]
- Kulla, B.S.; Ritter, C. Water Vapor Calibration: Using a Raman Lidar and Radiosoundings to Obtain Highly Resolved Water Vapor Profiles. Remote Sens. 2019, 11, 616. [Google Scholar] [CrossRef]
- Davis, R.E.; McGregor, G.R.; Enfield, K.B. Humidity: A review and primer on atmospheric moisture and human health. Environ. Res. 2016, 144, 106–116. [Google Scholar] [CrossRef]
- Pierrehumbert, R.T.; Brogniez, H.; Roca, R. Chapter 6 On the Relative Humidity of the Atmosphere. In The Global Circulation of the Atmosphere; Schneider, T., Sobel, A.H., Eds.; Princeton University Press: Princeton, NJ, USA, 2008; pp. 143–185. [Google Scholar]
- Quan, J.; Zhang, Q.; He, H.; Liu, J.; Huang, M.; Jin, H. Analysis of the formation of fog and haze in North China Plain (NCP). Atmos. Chem. Phys. 2011, 11, 8205–8214. [Google Scholar] [CrossRef]
- Wei, K.; Tang, X.; Tang, G.; Wang, J.; Xu, L.; Li, J.; Ni, C.; Zhou, Y.; Ding, Y.; Liu, W. Distinction of two kinds of haze. Atmos. Environ. 2020, 223, 117228. [Google Scholar] [CrossRef]
- Liu, W.; Han, Y.; Li, J.; Tian, X.; Liu, Y. Factors affecting relative humidity and its relationship with the long-term variation of fog-haze events in the Yangtze River Delta. Atmos. Environ. 2018, 193, 242–250. [Google Scholar] [CrossRef]
- Lovell-Smith, J.W.; Pearson, H. On the concept of relative humidity. Metrologia 2006, 43, 129–134. [Google Scholar] [CrossRef]
- Sonntag, D. Important new values of the physical constants of 1986, vapor pressure formulations based on the ITS-90, and psychrometer formulae. Z. Meteorol. 1990, 70, 340–344. [Google Scholar]
- D’Amico, G.; Amodeo, A.; Mattis, I.; Freudenthaler, V.; Pappalardo, G. EARLINET Single Calculus Chain–technical—Part 1:Pre-processing of raw lidar data. Atmos. Meas. Tech. 2016, 9, 491–507. [Google Scholar] [CrossRef]
- Weitkamp, C. (Ed.) Lidar: Range-Resolved Optical Remote Sensing of the Atmosphere; Springer Series in Optical Sciences; Springer: New York, NY, USA, 2005; Volume 102. [Google Scholar]
- Mao, S.; Yin, Z.; Wang, L.; Wei, Y.; Bu, Z.; Chen, Y.; Dai, Y.; Müller, D.; Wang, X. Aerosol Optical Properties Retrieved by Polarization Raman Lidar: Methodology and Strategy of a Quality-Assurance Tool. Remote Sens. 2024, 16, 207. [Google Scholar] [CrossRef]
- Cavcar, M. The International Standard Atmosphere (ISA). Anadolu University: Eskisehir, Turkey, 2000; Volume 30, pp. 1–6.
- Pappalardo, G.; Amodeo, A.; Pandolfi, M.; Wandinger, U.; Ansmann, A.; Bösenberg, J.; Matthias, V.; Amiridis, V.; De Tomasi, F.; Frioud, M.; et al. Aerosol lidar intercomparison in the framework of the EARLINET project. 3. Ramanlidar algorithm for aerosol extinction, backscatter, and lidar ratio. Appl. Opt. 2004, 43, 5370–5385. [Google Scholar] [CrossRef]
- Klett, J.D. Stable analytical inversion solution for processing lidar returns. Appl. Opt. 1981, 20, 211–220. [Google Scholar] [CrossRef]
- Fernald, F.G. Analysis of atmospheric lidar observations: Some comments. Appl. Opt. 1984, 23, 652–653. [Google Scholar] [CrossRef]
- Guan, X.; Yang, L.; Zhang, Y.; Li, J. Spatial distribution, temporal variation, and transport characteristics of atmospheric water vapor over Central Asia and the arid region of China. Global Planet. Change 2019, 172, 159–178. [Google Scholar] [CrossRef]
- Sherwood, S.C.; Roca, R.; Weckwerth, T.M.; Andronova, N.G. Tropospheric water vapor, convection, and climate. Rev. Geophys. 2010, 48, RG2001. [Google Scholar] [CrossRef]
- Zhao, Q.; Yao, Y.; Yao, W. Studies of precipitable water vapour characteristics on a global scale. Int. J. Remote Sens. 2019, 40, 72–88. [Google Scholar] [CrossRef]
- Zhao, Q.; Zhang, X.; Wu, K.; Liu, Y.; Li, Z.; Shi, Y. Comprehensive Precipitable Water Vapor Retrieval and Application Platform Based on Various Water Vapor Detection Techniques. Remote Sens. 2022, 14, 2507. [Google Scholar] [CrossRef]
- Ha, J.; Park, K.-D.; Kim, K.; Kim, Y.-H. Comparison of atmospheric water vapor profiles obtained by GPS, MWR, and radiosonde. Asia-Pac. J. Atmos. Sci. 2010, 46, 233–241. [Google Scholar] [CrossRef]
- Wang, Y.; Zhang, J.; Fu, Q.; Song, Y.; Di, H.; Li, B.; Hua, D. Variations in the water vapor distribution and the associated effects on fog and haze events over Xi’an based on Raman lidar data and back trajectories. Appl. Opt. 2017, 56, 7927–7938. [Google Scholar] [CrossRef]
- Ding, A.J.; Huang, X.; Nie, W.; Sun, J.N.; Kerminen, V.M.; Petäjä, T.; Su, H.; Cheng, Y.F.; Yang, X.Q.; Wang, M.H.; et al. Enhanced haze pollution by black carbon in megacities in China. Geophys. Res. Lett. 2016, 43, 2873–2879. [Google Scholar] [CrossRef]
- Cheng, Z.; Wang, S.; Jiang, J.; Fu, Q.; Chen, C.; Xu, B.; Yu, J.; Fu, X.; Hao, J. Long-term trend of haze pollution and impact of particulate matter in the Yangtze River Delta, China. Environ. Pollut. 2013, 182, 101–110. [Google Scholar] [CrossRef]
- Sun, Z.; Mu, Y.; Liu, Y.; Shao, L. A comparison study on airborne particles during haze days and non-haze days in Beijing. Sci. Total Environ. 2013, 456–457, 1–8. [Google Scholar] [CrossRef]
- Luan, T.; Guo, X.; Guo, L.; Zhang, T. Quantifying the relationship between PM2.5 concentration, visibility and planetary boundary layer height for long-lasting haze and fog–haze mixed events in Beijing. Atmos. Chem. Phys. 2018, 18, 203–225. [Google Scholar] [CrossRef]
- Garratt, J.R. Review: The atmospheric boundary layer. Earth Sci. Rev. 1994, 37, 89–134. [Google Scholar] [CrossRef]
- Li, Z.; Guo, J.; Ding, A.; Liao, H.; Liu, J.; Sun, Y.; Wang, T.; Xue, H.; Zhang, H.; Zhu, B. Aerosol and boundary-layer interactions and impact on air quality. Natl. Sci. Rev. 2017, 4, 810–833. [Google Scholar] [CrossRef]
- Liu, S.; Liang, X.-Z. Observed Diurnal Cycle Climatology of Planetary Boundary Layer Height. J. Clim. 2010, 23, 5790–5809. [Google Scholar] [CrossRef]
- Zhang, W.; Guo, J.; Miao, Y.; Liu, H.; Song, Y.; Fang, Z.; He, J.; Lou, M.; Yan, Y.; Li, Y.; et al. On the Summertime Planetary Boundary Layer with Different Thermodynamic Stability in China: A Radiosonde Perspective. J. Clim. 2018, 31, 1451–1465. [Google Scholar] [CrossRef]
- Pan, X.; Uno, I.; Wang, Z.; Nishizawa, T.; Sugimoto, N.; Yamamoto, S.; Kobayashi, H.; Sun, Y.; Fu, P.; Tang, X.; et al. Real-time observational evidence of changing Asian dust morphology with the mixing of heavy anthropogenic pollution. Sci. Rep. 2017, 7, 335. [Google Scholar] [CrossRef]
- Tan, W.; Li, C.; Liu, Y.; Meng, X.; Wu, Z.; Kang, L.; Zhu, T. Potential of Polarization Lidar to Profile the Urban Aerosol Phase State during Haze Episodes. Environ. Sci. Technol. Lett. 2020, 7, 54–59. [Google Scholar] [CrossRef]













| Laser | Model | Nd:YAG |
| Wavelength (nm) | 355, 532, 1064 | |
| Average power/W | 0.69 (@355 nm) 1.88 (@532 nm) 1.41 (@1064 nm) | |
| Pulse width/ns | ~2 | |
| Beam divergence angle/mrad | 0.14 (@355 nm), 0.19 (@532 nm), 0.42 (@1064 nm) | |
| Pulse frequency/kHz | 1 | |
| Receiving Telescope | Model | Cassegrain |
| Diameter/mm | 300 | |
| Field of view angle/mrad | 1 | |
| Interference Filter | Bandwidth/nm | 0.5 (@355 nm) 0.5 (@532 nm) 3 (@1064 nm) |
| Out-of-band suppression | OD6 | |
| Photon Counting Card | Sampling frequency/MHz | 500 |
| Maximum counting frequency/Hz | 200 million |
Disclaimer/Publisher’s Note: The statements, opinions and data contained in all publications are solely those of the individual author(s) and contributor(s) and not of MDPI and/or the editor(s). MDPI and/or the editor(s) disclaim responsibility for any injury to people or property resulting from any ideas, methods, instructions or products referred to in the content. |
© 2024 by the authors. Licensee MDPI, Basel, Switzerland. This article is an open access article distributed under the terms and conditions of the Creative Commons Attribution (CC BY) license (https://creativecommons.org/licenses/by/4.0/).
Share and Cite
Zhang, T.; Yin, Z.; Wei, Y.; Dai, Y.; Wang, L.; Dong, X.; Gao, Y.; Wei, L.; Zhang, Q.; Hu, D.; et al. Vertical Distribution of Water Vapor During Haze Processes in Northeast China Based on Raman Lidar Measurements. Remote Sens. 2024, 16, 3713. https://doi.org/10.3390/rs16193713
Zhang T, Yin Z, Wei Y, Dai Y, Wang L, Dong X, Gao Y, Wei L, Zhang Q, Hu D, et al. Vertical Distribution of Water Vapor During Haze Processes in Northeast China Based on Raman Lidar Measurements. Remote Sensing. 2024; 16(19):3713. https://doi.org/10.3390/rs16193713
Chicago/Turabian StyleZhang, Tianpei, Zhenping Yin, Yubin Wei, Yaru Dai, Longlong Wang, Xiangyu Dong, Yuan Gao, Lude Wei, Qixiong Zhang, Di Hu, and et al. 2024. "Vertical Distribution of Water Vapor During Haze Processes in Northeast China Based on Raman Lidar Measurements" Remote Sensing 16, no. 19: 3713. https://doi.org/10.3390/rs16193713
APA StyleZhang, T., Yin, Z., Wei, Y., Dai, Y., Wang, L., Dong, X., Gao, Y., Wei, L., Zhang, Q., Hu, D., & Zhou, Y. (2024). Vertical Distribution of Water Vapor During Haze Processes in Northeast China Based on Raman Lidar Measurements. Remote Sensing, 16(19), 3713. https://doi.org/10.3390/rs16193713

