Multi-Source Data-Driven Extraction of Urban Residential Space: A Case Study of the Guangdong–Hong Kong–Macao Greater Bay Area Urban Agglomeration
Abstract
1. Introduction
2. Research Area and Data
2.1. Research Area
2.2. Research Data and Preprocessing
2.2.1. POI Data
2.2.2. NTL Data
2.2.3. LDS Data
2.2.4. HRI Data
3. Research Methods
3.1. Theoretical Basis
3.1.1. SLIC Image Superpixel Segmentation
- (1)
- Assuming that the image size is and the number of superpixels is , this image is evenly divided into superpixel blocks, so that the length and width of each superpixel block are equal to , and the center point is equal ;
- (2)
- The center point of each superpixel block may be at the noise point or the pixel mutation. To reduce this probability, gradient calculation is performed by using the differential method, and the point with the smallest gradient value is the new center point.
- (1)
- Assign a cluster label to each pixel in a neighborhood around each center point that is , that is, twice the size of the expected superpixel;
- (2)
- Calculate the color distance and spatial distance between the pixel point and the center point in the search range, and the formula is as follows:
- (3)
- Each pixel corresponds to multiple superpixel block centers; of course, there are multiple distances and the center point corresponding to the minimum value is the center of the pixel;
- (4)
- After completing 1 iteration, the center point coordinates of each superpixel block are recalculated and 10 iterations are performed again. In the process of segmentation of residential area image, it can be seen by many experiments that k is the most appropriate value of 300.
3.1.2. Discrete Cosine Wavelet Transform (DCWT)
- (1)
- The discretization of : power series processing of ; that is, , and the corresponding wavelet function is , ;
- (2)
- The uniform dispersion of , becomes the following:DCWT was defined as follows:
3.2. Superpixel Wavelet Fusion
3.3. Precision Validation
4. Research Results
4.1. Multi-Source Data Fusion
4.2. Extraction of URS in GBA Urban Agglomeration
4.2.1. Remote Sensing Image Processing Based on Superpixel Segmentation
4.2.2. URS Feature Extraction Based on Different Fusion Data
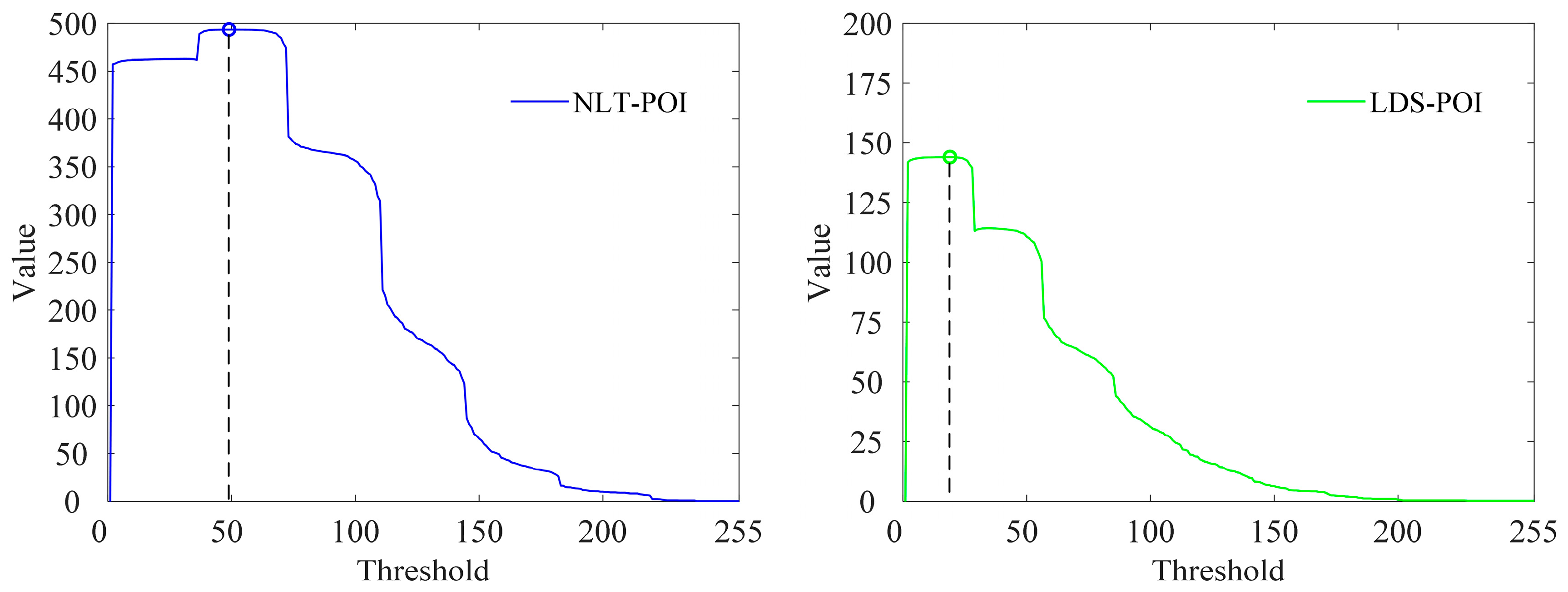
4.3. Accuracy Verification Based on OTSU
5. Discussion
6. Conclusions
Author Contributions
Funding
Data Availability Statement
Conflicts of Interest
References
- Corbusier, L.; Eardley, A. The Athens Charter; Grossman Publishers: New York, NY, USA, 1978. [Google Scholar]
- Bourdieu, P. Social Space and the Genesis of Appropriated Physical Space. Int. J. Urban Reg. Res. 2018, 42, 106–114. [Google Scholar] [CrossRef]
- Kang, Y.; Zhang, F.; Gao, S.; Peng, W.; Ratti, C. Human settlement value assessment from a place perspective: Considering human dynamics and perceptions in house price modeling. Cities 2021, 118, 103333. [Google Scholar] [CrossRef]
- Jacobs, A.; Appleyard, D. Toward an Urban Design Manifesto. In The City Reader; Routledge: London, UK, 2015; pp. 640–651. [Google Scholar]
- Babalola, O.D.; Ibem, E.O.; Olotuah, A.O.; Opoko, A.P.; Adewale, B.A.; Fulani, O.A. Housing quality and its predictors in public residential estates in Lagos, Nigeria. Environ. Dev. Sustain. 2020, 22, 3973–4005. [Google Scholar] [CrossRef]
- Sheikh, W.T.; van Ameijde, J. Promoting livability through urban planning: A comprehensive framework based on the “theory of human needs”. Cities 2022, 131, 103972. [Google Scholar] [CrossRef]
- Blomley, N. Precarious Territory: Property Law, Housing, and the Socio-Spatial Order. Antipode 2020, 52, 36–57. [Google Scholar] [CrossRef]
- Jabareen, Y.; Eizenberg, E. Theorizing urban social spaces and their interrelations: New perspectives on urban sociology, politics, and planning. Plan. Theory 2021, 20, 211–230. [Google Scholar] [CrossRef]
- Arundel, R.; Hochstenbach, C. Divided access and the spatial polarization of housing wealth. Urban Geogr. 2020, 41, 497–523. [Google Scholar] [CrossRef]
- Tong, D.; Zhang, Y.; MacLachlan, I.; Li, G. Migrant housing choices from a social capital perspective: The case of Shenzhen, China. Habitat Int. 2020, 96, 102082. [Google Scholar] [CrossRef]
- Lai, Y.; Tang, B.; Chen, X.; Zheng, X. Spatial determinants of land redevelopment in the urban renewal processes in Shenzhen, China. Land Use Policy 2021, 103, 105330. [Google Scholar] [CrossRef]
- Yue, W.; Chen, Y.; Thy, P.T.M.; Fan, P.; Liu, Y.; Zhang, W. Identifying urban vitality in metropolitan areas of developing countries from a comparative perspective: Ho Chi Minh City versus Shanghai. Sust. Cities Soc. 2021, 65, 102609. [Google Scholar] [CrossRef]
- Cao, R.; Tu, W.; Yang, C.; Li, Q.; Liu, J.; Zhu, J.; Zhang, Q.; Li, Q.; Qiu, G. Deep learning-based remote and social sensing data fusion for urban region function recognition. ISPRS J. Photogramm. Remote Sens. 2020, 163, 82–97. [Google Scholar] [CrossRef]
- Xue, B.; Xiao, X.; Li, J.; Zhao, B.; Fu, B. Multi-source Data-driven Identification of Urban Functional Areas: A Case of Shenyang, China. Chin. Geogr. Sci. 2023, 33, 21–35. [Google Scholar] [CrossRef]
- Wang, Y.; Huang, H.; Yang, G.; Chen, W. Ecosystem Service Function Supply-Demand Evaluation of Urban Functional Green Space Based on Multi-Source Data Fusion. Remote Sens. 2023, 15, 118. [Google Scholar] [CrossRef]
- Deng, Y.; He, R. Refined Urban Functional Zone Mapping by Integrating Open-Source Data. ISPRS Int. J. Geo Inf. 2022, 11, 421. [Google Scholar] [CrossRef]
- Zhou, L.; Wei, L.; Lopez-Carr, D.; Dang, X.; Yuan, B.; Yuan, Z. Identification of irregular extension features and fragmented spatial governance within urban fringe areas. Appl. Geogr. 2024, 162, 103172. [Google Scholar] [CrossRef]
- Tian, Y.; Mao, Q. The effect of regional integration on urban sprawl in urban agglomeration areas: A case study of the Yangtze River Delta, China. Habitat Int. 2022, 130, 102695. [Google Scholar] [CrossRef]
- Gao, J. Mitigating Pernicious Gaming in Performance Management in China: Dilemmas, Strategies and Challenges. Public Perform. Manag. Rev. 2021, 44, 321–351. [Google Scholar] [CrossRef]
- Chen, C.; Yan, J.; Wang, L.; Liang, D.; Zhang, W. Classification of Urban Functional Areas from Remote Sensing Images and Time-Series User Behavior Data. IEEE J. Sel. Top. Appl. Earth Observ. Remote Sens. 2021, 14, 1207–1221. [Google Scholar] [CrossRef]
- Zhang, K.; Ming, D.; Du, S.; Xu, L.; Ling, X.; Zeng, B.; Lv, X. Distance Weight-Graph Attention Model-Based High-Resolution Remote Sensing Urban Functional Zone Identification. IEEE Trans. Geosci. Remote Sens. 2022, 60, 1–16. [Google Scholar] [CrossRef]
- Zhou, C.; He, Z.; Lou, A.; Plaza, A. RGB-to-HSV: A Frequency-Spectrum Unfolding Network for Spectral Super-Resolution of RGB Videos. IEEE Trans. Geosci. Remote Sens. 2024, 62, 5609318. [Google Scholar] [CrossRef]
- Zhou, C.; Shi, Q.; He, D.; Tu, B.; Li, H.; Plaza, A. Spectral-Spatial Sequence Characteristics-Based Convolutional Transformer for Hyperspectral Change Detection. CAAI Trans. Intell. Technol. 2023, 8, 1237–1257. [Google Scholar] [CrossRef]
- Huang, C.; Xiao, C.; Rong, L. Integrating Point-of-Interest Density and Spatial Heterogeneity to Identify Urban Functional Areas. Remote Sens. 2022, 14, 4201. [Google Scholar] [CrossRef]
- Yeow, L.W.; Low, R.; Tan, Y.X.; Cheah, L. Point-of-Interest (POI) Data Validation Methods: An Urban Case Study. ISPRS Int. J. Geo Inf. 2021, 10, 735. [Google Scholar] [CrossRef]
- Zhou, N. Research on urban spatial structure based on the dual constraints of geographic environment and POI big data. J. King Saud Univ. Sci. 2022, 34, 101887. [Google Scholar] [CrossRef]
- Wu, R.; Wang, J.; Zhang, D.; Wang, S. Identifying different types of urban land use dynamics using Point-of-interest (POI) and Random Forest algorithm: The case of Huizhou, China. Cities 2021, 114, 103202. [Google Scholar] [CrossRef]
- Andrade, R.; Alves, A.; Bento, C. POI Mining for Land Use Classification: A Case Study. ISPRS Int. J. Geo Inf. 2020, 9, 493. [Google Scholar] [CrossRef]
- Estima, J.; Painho, M. Investigating the potential of open street map for land use/land cover production: A case study for continental Portugal. In OpenStreetMap in GIScience; Springer: Cham, Switzerland, 2015; pp. 273–293. [Google Scholar]
- Casali, Y.; Aydin, N.Y.; Comes, T. Machine learning for spatial analyses in urban areas: A scoping review. Sust. Cities Soc. 2022, 85, 104050. [Google Scholar] [CrossRef]
- Yu, M.; Li, J.; Lv, Y.; Xing, H.; Wang, H. Functional Area Recognition and Use-Intensity Analysis Based on Multi-Source Data: A Case Study of Jinan, China. ISPRS Int. J. Geo Inf. 2021, 10, 640. [Google Scholar] [CrossRef]
- Lu, W.; Tao, C.; Li, H.; Qi, J.; Li, Y. A unified deep learning framework for urban functional zone extraction based on multi-source heterogeneous data. Remote Sens. Environ. 2022, 270, 112830. [Google Scholar] [CrossRef]
- Tian, Y.; Qian, J. Suburban identification based on multi-source data and landscape analysis of its construction land: A case study of Jiangsu Province, China. Habitat Int. 2021, 118, 102459. [Google Scholar] [CrossRef]
- He, X.; Zhou, C.; Zhang, J.; Yuan, X. Using Wavelet Transforms to Fuse Nighttime Light Data and POI Big Data to Extract Urban Built-Up Areas. Remote Sens. 2020, 12, 3887. [Google Scholar] [CrossRef]
- Zhang, J.; Zhang, X.; Tan, X.; Yuan, X. Extraction of Urban Built-Up Area Based on Deep Learning and Multi-Sources Data Fusion-The Application of an Emerging Technology in Urban Planning. Land 2022, 11, 1212. [Google Scholar] [CrossRef]
- Hu, S.; Huang, S.; Hu, Q.; Wang, S.; Chen, Q. An commercial area extraction approach using time series nighttime light remote sensing data--Take Wuhan city as a case. Sust. Cities Soc. 2024, 100, 105032. [Google Scholar] [CrossRef]
- Huang, X.; Yang, J.; Li, J.; Wen, D. Urban functional zone mapping by integrating high spatial resolution nighttime light and daytime multi-view imagery. ISPRSJ. Photogramm. Remote Sens. 2021, 175, 403–415. [Google Scholar] [CrossRef]
- Hu, Q.; Wu, W.; Xia, T.; Yu, Q.; Yang, P.; Li, Z.; Song, Q. Exploring the Use of Google Earth Imagery and Object-Based Methods in Land Use/Cover Mapping. Remote Sens. 2013, 5, 6026–6042. [Google Scholar] [CrossRef]
- Horota, R.K.; Aires, A.S.; Marques, A.; Rossa, P.; de Souza, E.M.; Gonzaga, L.; Veronez, M.R. Printgrammetry-3-D Model Acquisition Methodology from Google Earth Imagery Data. IEEE J. Sel. Top. Appl. Earth Observ. Remote Sens. 2020, 13, 2819–2830. [Google Scholar] [CrossRef]
- Yang, D.; Fu, C.; Smith, A.; Yu, Q. Open land-use map: A regional land-use mapping strategy for incorporating OpenStreetMap with earth observations. Geo Spat. Inf. Sci. 2017, 20, 269–281. [Google Scholar] [CrossRef]
- Wu, H.; Luo, W.; Lin, A.; Hao, F.; Olteanu-Raimond, A.; Liu, L.; Li, Y. SALT: A multifeature ensemble learning framework for mapping urban functional zones from VGI data and VHR images. Comput. Environ. Urban Syst. 2023, 100, 101921. [Google Scholar] [CrossRef]
- Zang, N.; Cao, Y.; Wang, Y.; Huang, B.; Zhang, L.; Mathiopoulos, P.T. Land-Use Mapping for High-Spatial Resolution Remote Sensing Image Via Deep Learning: A Review. IEEE J. Sel. Top. Appl. Earth Observ. Remote Sens. 2021, 14, 5372–5391. [Google Scholar] [CrossRef]
- Chen, S.; Ogawa, Y.; Zhao, C.; Sekimoto, Y. Large-scale individual building extraction from open-source satellite imagery via super-resolution-based instance segmentation approach. ISPRS J. Photogramm. Remote Sens. 2023, 195, 129–152. [Google Scholar] [CrossRef]
- Chen, J.; Chen, L.; Li, Y.; Zhang, W.; Long, Y. Measuring Physical Disorder in Urban Street Spaces: A Large-Scale Analysis Using Street View Images and Deep Learning. Ann. Am. Assoc. Geogr. 2023, 113, 469–487. [Google Scholar] [CrossRef]
- Lin, A.; Wu, H.; Liang, G.; Cardenas-Tristan, A.; Wu, X.; Zhao, C.; Li, D. A big data-driven dynamic estimation model of relief supplies demand in urban flood disaster. Int. J. Disaster Risk Reduct. 2020, 49, 101682. [Google Scholar] [CrossRef]
- Zhu, X.; Zhou, C. POI Inquiries and data update based on LBS. In Proceedings of the IEEC 2009: First International Symposium on Information Engineering and Electronic Commerce, Ternopil, Ukraine, 6–17 May 2009; pp. 730–734. [Google Scholar]
- Liu, K.; Qiu, P.; Gao, S.; Lu, F.; Jiang, J.; Yin, L. Investigating urban metro stations as cognitive places in cities using points of interest. Cities 2020, 97, 102561. [Google Scholar] [CrossRef]
- Fonte, C.C.; Martinho, N. Assessing the applicability of OpenStreetMap data to assist the validation of land use/land cover maps. Geogr. Inf. Syst. 2017, 31, 2382–2400. [Google Scholar] [CrossRef]
- Lin, A.; Sun, X.; Wu, H.; Luo, W.; Wang, D.; Zhong, D.; Wang, Z.; Zhao, L.; Zhu, J. Identifying Urban Building Function by Integrating Remote Sensing Imagery and POI Data. IEEE J. Sel. Top. Appl. Earth Observ. Remote Sens. 2021, 14, 8864–8875. [Google Scholar] [CrossRef]
- Chen, Y.; He, C.; Guo, W.; Zheng, S.; Wu, B. Mapping urban functional areas using multi-source remote sensing images and open big data. IEEE J. Sel. Top. Appl. Earth Observ. Remote Sens. 2023, 16, 7919–7931. [Google Scholar] [CrossRef]
- He, X.; Yuan, X.; Zhang, D.; Zhang, R.; Li, M.; Zhou, C. Delineation of Urban Agglomeration Boundary Based on Multisource Big Data Fusion—A Case Study of Guangdong–Hong Kong–Macao Greater Bay Area (GBA). Remote Sens. 2021, 13, 1801. [Google Scholar] [CrossRef]
- Dobson, J.E.; Bright, E.A.; Coleman, P.R.; Durfee, R.C.; Worley, B.A. LandScan: A global population database for estimating populations at risk. Photogramm. Eng. Remote Sens. 2000, 66, 849–857. [Google Scholar]
- Yuan, X.; Chen, B.; He, X.; Zhang, G.; Zhou, C. Spatial Differentiation and Influencing Factors of Tertiary Industry in the Pearl River Delta Urban Agglomeration. Land 2024, 13, 172. [Google Scholar] [CrossRef]
- Meng, M.; Shang, Y.; Yang, Y. Did highways cause the urban polycentric spatial structure in the Shanghai metropolitan area? J. Transp. Geogr. 2021, 92, 103022. [Google Scholar] [CrossRef]
- He, X.; Cao, Y.; Zhou, C. Evaluation of Polycentric Spatial Structure in the Urban Agglomeration of the Pearl River Delta (PRD) Based on Multi-Source Big Data Fusion. Remote Sens. 2021, 13, 3639. [Google Scholar] [CrossRef]
- He, X.; Zhang, R.; Yuan, X.; Cao, Y.; Zhou, C. The role of planning policy in the evolution of the spatial structure of the Guangzhou metropolitan area in China. Cities 2023, 137, 104284. [Google Scholar] [CrossRef]
- AutoNavi. Amap API. 2021. Available online: https://lbs.amap.com/api/webservice/guide/api/search/ (accessed on 30 January 2023).
- Chen, Z.; Yu, B.; Yang, C.; Zhou, Y.; Yao, S.; Qian, X.; Wang, C.; Wu, B.; Wu, J. An extended time series (2000–2018) of global NPP-VIIRS-like nighttime light data from a cross-sensor calibration. Earth Syst. Sci. Data. 2021, 13, 889–906. [Google Scholar] [CrossRef]
- Sims, K.; Reith, A.; Bright, E.; Kaufman, J.; Pyle, J.; Epting, J.; Gonzales, J.; Adams, D.; Powell, E.; Urban, M.; et al. Land Scan Global 2022 [Data Set]; Oak Ridge National Laboratory: Oak Ridge, TN, USA, 2023. [Google Scholar]
- Chen, W.; Huang, H.; Dong, J.; Zhang, Y.; Tian, Y.; Yang, Z. Social functional mapping of urban green space using remote sensing and social sensing data. ISPRS J. Photogramm. Remote Sens. 2018, 146, 436–452. [Google Scholar] [CrossRef]
- Zhang, C.; Sargent, I.; Pan, X.; Li, H.; Gardiner, A.; Hare, J.; Atitinson, P.M. An object-based convolutional neural network (OCNN) for urban land use classification. Remote Sens. Environ. 2018, 216, 57–70. [Google Scholar] [CrossRef]
- Van de Voorde, T.; Jacquet, W.; Canters, F. Mapping form and function in urban areas: An approach based on urban metrics and continuous impervious surface data. Landsc. Urban Plan. 2011, 102, 143–155. [Google Scholar] [CrossRef]
- Achanta, R.; Shaji, A.; Smith, K.; Lucchi, A.; Fua, P.; Suesstrunk, S. SLIC Superpixels Compared to State-of-the-Art Super-pixel Methods. IEEE Trans. Pattern Anal. Mach. Intell. 2012, 34, 2274–2281. [Google Scholar] [CrossRef]
- Shensa, M.J. The discrete wavelet transform: Wedding the a trous and Mallat algorithms. IEEE Trans. Signal Process. 1992, 40, 2464–2482. [Google Scholar] [CrossRef]
- Sifuzzaman, M.; Islam, M.R.; Ali, M.Z. Application of wavelet transform and its advantages compared to Fourier transform. J. Phys. Sci. 2009, 13, 121–134. [Google Scholar]
- Farge, M. Wavelet transforms and their applications to turbulence. Annu. Rev. Fluid Mech. 1992, 24, 395–458. [Google Scholar] [CrossRef]
- Mallat, S.G. Multifrequency channel decompositions of images and wavelet models. IEEE Trans. Acoust. Speech Signal Process. 1989, 37, 2091–2110. [Google Scholar] [CrossRef]
- Mallat, S.G. A theory for multiresolution signal decomposition: The wavelet representation. IEEE Trans. Pattern Anal. Mach. Intell. 1989, 11, 674–693. [Google Scholar] [CrossRef]
- Lewis, J.J.; O'Callaghan, R.J.; Nikolov, S.G.; Bull, D.R.; Canagarajah, N. Pixel- and region-based image fusion with complex wavelets. Inf. Fusion 2007, 8, 119–130. [Google Scholar] [CrossRef]
- Pajares, G.; de la Cruz, J.M. A wavelet-based image fusion tutorial. Pattern Recognit. 2004, 37, 1855–1872. [Google Scholar] [CrossRef]
- Luescher, P.; Weibel, R. Exploiting empirical knowledge for automatic delineation of city centres from large-scale topographic databases. Comput. Environ. Urban Syst. 2013, 37, 18–34. [Google Scholar] [CrossRef]
- Du, S.; Du, S.; Liu, B.; Zhang, X. Mapping large-scale and fine-grained urban functional zones from VHR images using a multi-scale semantic segmentation network and object based approach. Remote Sens. Environ. 2021, 261, 112480. [Google Scholar] [CrossRef]
- Shang, R.; Peng, P.; Shang, F.; Jiao, L.; Shen, Y.; Stolkin, R. Semantic Segmentation for SAR Image Based on Texture Complexity Analysis and Key Superpixels. Remote Sens. 2020, 12, 2141. [Google Scholar] [CrossRef]
- He, X.; Zhou, Y. Urban spatial growth and driving mechanisms under different urban morphologies: An empirical analysis of 287 Chinese cities. Landsc. Urban Plan. 2024, 248, 105096. [Google Scholar] [CrossRef]
- He, X.; Zhou, Y.; Yuan, X.; Zhu, M. The coordination relationship between urban development and urban life satisfaction in Chinese cities-An empirical analysis based on multi-source data. Cities 2024, 150, 105016. [Google Scholar] [CrossRef]












| Type | Source | Resolution | Release Time |
|---|---|---|---|
| POI | https://www.amap.com/ accessed on 30 January 2023 | — | 2022 |
| NTL | http://geodata.nnu.edu.cn/ accessed on 9 March 2024 | 500 m × 500 m | 2022 |
| LDS | https://landscan.ornl.gov/ accessed on 16 June 2024 | 1000 m × 1000 m | 2022 |
| HRI | https://earth.google.com/ accessed on 16 June 2024 | 500 m × 500 m | 2022 |
| Fused Data | Accuracy | Precision | Recall | F1-Score |
|---|---|---|---|---|
| NLT–POI | 0.8152 | 0.9228 | 0.6973 | 0.7943 |
| LDS–POI | 0.7770 | 0.8188 | 0.7245 | 0.7688 |
| NLT–LDS–POI | 0.9040 | 0.9563 | 0.8514 | 0.9008 |
Disclaimer/Publisher’s Note: The statements, opinions and data contained in all publications are solely those of the individual author(s) and contributor(s) and not of MDPI and/or the editor(s). MDPI and/or the editor(s) disclaim responsibility for any injury to people or property resulting from any ideas, methods, instructions or products referred to in the content. |
© 2024 by the authors. Licensee MDPI, Basel, Switzerland. This article is an open access article distributed under the terms and conditions of the Creative Commons Attribution (CC BY) license (https://creativecommons.org/licenses/by/4.0/).
Share and Cite
Yuan, X.; Dai, X.; Zou, Z.; He, X.; Sun, Y.; Zhou, C. Multi-Source Data-Driven Extraction of Urban Residential Space: A Case Study of the Guangdong–Hong Kong–Macao Greater Bay Area Urban Agglomeration. Remote Sens. 2024, 16, 3631. https://doi.org/10.3390/rs16193631
Yuan X, Dai X, Zou Z, He X, Sun Y, Zhou C. Multi-Source Data-Driven Extraction of Urban Residential Space: A Case Study of the Guangdong–Hong Kong–Macao Greater Bay Area Urban Agglomeration. Remote Sensing. 2024; 16(19):3631. https://doi.org/10.3390/rs16193631
Chicago/Turabian StyleYuan, Xiaodie, Xiangjun Dai, Zeduo Zou, Xiong He, Yucong Sun, and Chunshan Zhou. 2024. "Multi-Source Data-Driven Extraction of Urban Residential Space: A Case Study of the Guangdong–Hong Kong–Macao Greater Bay Area Urban Agglomeration" Remote Sensing 16, no. 19: 3631. https://doi.org/10.3390/rs16193631
APA StyleYuan, X., Dai, X., Zou, Z., He, X., Sun, Y., & Zhou, C. (2024). Multi-Source Data-Driven Extraction of Urban Residential Space: A Case Study of the Guangdong–Hong Kong–Macao Greater Bay Area Urban Agglomeration. Remote Sensing, 16(19), 3631. https://doi.org/10.3390/rs16193631

