Quantifying the Relationship between Slope Spectrum Information Entropy and the Slope Length and Slope Steepness Factor in Different Types of Water-Erosion Areas in China
Abstract
1. Introduction
2. Materials and Methods
2.1. Study Area
2.2. Data Collection and Preprocessing
2.3. Extraction of the Slope Spectrum and Calculation of Slope Spectrum Information Entropy
2.4. Calculation of Slope Length and Steepness Factor
2.5. Methods for Data Analysis
3. Results
3.1. Distribution Characteristics of Slope Spectrum Curve and Topographic Factors
3.1.1. Characteristics of Slope Spectrum Curves in Various Types and Spatial Scales of Water-Erosion Areas
3.1.2. Spatial Patterns of SSIE in Different Types of Water-Erosion Areas
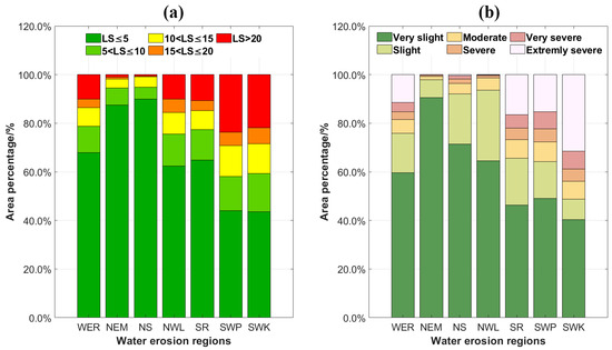
3.1.3. Spatial Patterns of LS Factor in Different Types of Water-Erosion Areas
3.1.4. Identification of Spatial Hotspots of Soil Erosion in Various Water-Erosion Areas
3.2. The Capacity of SSIE to Elucidate the Soil Erosion Intensity
3.3. Capacity of SSIE to Elucidate the LS Factor
3.3.1. Capacity of SSIE to Elucidate the LS Factor in Different Evaluation Units
3.3.2. Capacity of SSIE to Elucidate the LS Factor in Various Types of Water-Erosion Areas
4. Discussion
5. Conclusions
Supplementary Materials
Author Contributions
Funding
Data Availability Statement
Acknowledgments
Conflicts of Interest
References
- Li, K.; Wang, L.; Wang, Z.; Hu, Y.; Zeng, Y.; Yan, H.; Xu, B.; Li, C.; Cui, H.; Yu, S.; et al. Multiple Perspective Accountings of Cropland Soil Erosion in China Reveal Its Complex Connection with Socioeconomic Activities. Agric. Ecosyst. Environ. 2022, 337, 108083. [Google Scholar] [CrossRef]
- Tong, L.S.; Fang, N.F.; Xiao, H.B.; Shi, Z.H. Sediment Deposition Changes the Relationship between Soil Organic and Inorganic Carbon: Evidence from the Chinese Loess Plateau. Agric. Ecosyst. Environ. 2020, 302, 107076. [Google Scholar] [CrossRef]
- Pimentel, D.; Kounang, N. Ecology of Soil Erosion in Ecosystems. Ecosystems 1998, 1, 416–426. [Google Scholar] [CrossRef]
- Li, H.; Zhu, H.; Wei, X.; Liu, B.; Shao, M. Soil Erosion Leads to Degradation of Hydraulic Properties in the Agricultural Region of Northeast China. Agric. Ecosyst. Environ. 2021, 314, 107388. [Google Scholar] [CrossRef]
- Lal, R. Soil Erosion and the Global Carbon Budget. Environ. Int. 2003, 29, 437–450. [Google Scholar] [CrossRef] [PubMed]
- Pimentel, D.; Burgess, M. Soil Erosion Threatens Food Production. Agriculture 2013, 3, 443–463. [Google Scholar] [CrossRef]
- Wang, Z.; Zhang, C.; Sun, B.; Ji, Q.; Wang, C. Overview of national soil and water conservation zoning. Soil Water Conserv. China 2015, 12, 12–17. [Google Scholar] [CrossRef]
- Chen, S.; Zhang, G.; Wang, C. How Does Straw-Incorporation Rate Reduce Runoff and Erosion on Sloping Cropland of Black Soil Region? Agric. Ecosyst. Environ. 2023, 357, 108676. [Google Scholar] [CrossRef]
- Chen, S.; Zhang, G.; Zhu, P.; Wang, C.; Wan, Y. Impact of Slope Position on Soil Erodibility Indicators in Rolling Hill Regions of Northeast China. Catena 2022, 217, 106475. [Google Scholar] [CrossRef]
- Liu, C.; Jia, X.; Ren, L.; Zhao, C.; Yao, Y.; Zhang, Y.; Shao, M. Cropland-to-Shrubland Conversion Reduces Soil Water Storage and Contributes Little to Soil Carbon Sequestration in a Dryland Area. Agric. Ecosyst. Environ. 2023, 354, 108572. [Google Scholar] [CrossRef]
- Zhao, J.; Vanmaercke, M.; Chen, L.; Govers, G. Vegetation Cover and Topography Rather than Human Disturbance Control Gully Density and Sediment Production on the Chinese Loess Plateau. Geomorphology 2016, 274, 92–105. [Google Scholar] [CrossRef]
- Zhu, Y.; Jia, X.; Qiao, J.; Shao, M. What Is the Mass of Loess in the Loess Plateau of China? Sci. Bull. 2019, 64, 534–539. [Google Scholar] [CrossRef] [PubMed]
- Zhang, Y.; Qin, X.; Qiu, Q.; Yu, R.; Yao, Y.; Li, H.; Shao, M.; Wei, X. Soil and Water Conservation Measures Reduce Erosion but Result in Carbon and Nitrogen Accumulation of Red Soil in Southern China. Agric. Ecosyst. Environ. 2023, 346, 108346. [Google Scholar] [CrossRef]
- Li, S.-L.; Liu, C.-Q.; Chen, J.-A.; Wang, S.-J. Karst Ecosystem and Environment: Characteristics, Evolution Processes, and Sustainable Development. Agric. Ecosyst. Environ. 2021, 306, 107173. [Google Scholar] [CrossRef]
- Li, C.; Wang, Z.; Li, Z.; Xu, X. Soil Erosion Impacts on Nutrient Deposition in a Typical Karst Watershed. Agric. Ecosyst. Environ. 2021, 322, 107649. [Google Scholar] [CrossRef]
- Duan, X.; Bai, Z.; Rong, L.; Li, Y.; Ding, J.; Tao, Y.; Li, J.; Li, J.; Wang, W. Investigation Method for Regional Soil Erosion Based on the Chinese Soil Loss Equation and High-Resolution Spatial Data: Case Study on the Mountainous Yunnan Province, China. Catena 2020, 184, 104237. [Google Scholar] [CrossRef]
- Duarte, L.; Cunha, M.; Teodoro, A.C. Comparing Hydric Erosion Soil Loss Models in Rainy Mountainous and Dry Flat Regions in Portugal. Land 2021, 10, 554. [Google Scholar] [CrossRef]
- Zhang, K.; Yu, Y.; Dong, J.; Yang, Q.; Xu, X. Adapting & Testing Use of USLE K Factor for Agricultural Soils in China. Agric. Ecosyst. Environ. 2019, 269, 148–155. [Google Scholar] [CrossRef]
- Van Remortel, R.D.; Maichle, R.W.; Hickey, R.J. Computing the LS Factor for the Revised Universal Soil Loss Equation through Array-Based Slope Processing of Digital Elevation Data Using a C++ Executable. Comput. Geosci. 2004, 30, 1043–1053. [Google Scholar] [CrossRef]
- Wischmeier, W.H. Predicting Rainfall Erosion Losses—A Guide to Conservation Planning. In Agriculture Handbook; Department of Agriculture, Science and Education Administration: Port Antonio, Jamaica, 1978; Volume 537. [Google Scholar]
- Wischmeier, W.H.; Smith, D.D. Predicting Rainfall-Erosion Losses from Cropland East of the Rocky Mountains. In Agricultural Handbook; Agricultural Research Service, US Department of Agriculture: Washington, DC, USA, 1965; Volume 282. [Google Scholar]
- Renard, K.; Foster, G.R.; Weesies, G.; Mccool, D.; Yoder, D. Predicting Soil Erosion by Water: A Guide to Conservation Planning with the Revised Universal Soil Loss Equation (RUSLE); US Department of Agriculture, Agricultural Research Service: Washington, DC, USA, 1997.
- Renard, K.G.; Freimund, J.R. Using Monthly Precipitation Data to Estimate the R-Factor in the Revised USLE. J. Hydrol. 1994, 157, 287–306. [Google Scholar] [CrossRef]
- Tang, G. Exploration and Practice of Digital Terrain Analysis on Loess Plateau; China Science Publishing & Media Ltd.: Beijing, China, 2015. [Google Scholar]
- Fairfield, J.; Leymarie, P. Drainage Networks from Grid Digital Elevation Models. Water Resour. Res. 1991, 27, 709–717. [Google Scholar] [CrossRef]
- Qin, W.; Zhu, Q.; Zhang, Y. Advance in researches on slope length factor in universal soil loss equation. Sci. Soil Water Conserv. 2010, 8, 117–124. [Google Scholar] [CrossRef]
- Zhang, H.; Yang, Q.; Li, R.; Liu, Q. Estimation methods of slope gradient and slope length in watershed based on GIS and multiple flow direction algorithm. Trans. Chin. Soc. Agric. Eng. 2012, 28, 159–164. [Google Scholar]
- Tang, G.; Zhao, M.; Li, T.; Liu, Y.; Xie, Y. Modeling slope uncertainty derived from DEMs in Loess Plateau. Acta Geogr. Sin. 2003, 58, 824–830. [Google Scholar]
- Tang, G.; Li, F.; Liu, X.; Long, Y.; Yang, X. Research on the Slope Spectrum of the Loess Plateau. Sci. China Ser. E-Technol. Sci. 2008, 51, 175–185. [Google Scholar] [CrossRef]
- Li, F.; Tang, G.; Wang, C.; Cui, L.; Zhu, R. Slope Spectrum Variation in a Simulated Loess Watershed. Front. Earth Sci. 2016, 10, 328–339. [Google Scholar] [CrossRef]
- Tang, G.; Song, X.; Li, F.; Zhang, Y.; Xiong, L. Slope Spectrum Critical Area and Its Spatial Variation in the Loess Plateau of China. J. Geogr. Sci. 2015, 25, 1452–1466. [Google Scholar] [CrossRef]
- Zhu, M.; Li, F. Influence of slope classification on slope spectrum. Sci. Surv. Mapp. 2009, 34, 165–167. [Google Scholar]
- Wang, C.; Tang, G.; Li, F.; Yang, X.; Ge, S. Fundamental Conditions of Slope Spectrum Abstraction and Application. Sci. Geogr. Sin. 2007, 27, 587–592. [Google Scholar]
- Liu, S.; Li, F.; Jiang, R.; Chang, R.; Liu, W. A Method of Loess LandformAutomatic Recognition Based on Slope Spectrum. J. Geo-Inf. Sci. 2015, 17, 1234–1242. [Google Scholar]
- Li, F.; Tang, G.; Jia, Y.; Cao, Z. Scale Effect and Spatial Distribution of Slope Spectrum’s Information Entropy. J. Geo-Inf. Sci. 2007, 9, 13–18. [Google Scholar]
- Wu, S.; Rao, L. Characteristics and spatial differentiation of slope spectrum in different areas of Pisha Sandstone Areas. Trans. Chin. Soc. Agric. Eng. 2021, 37, 125–132+341. [Google Scholar]
- Zhao, W.; Dong, Q.; Yan, T.; Qin, W.; Zhu, Q. Relationship between slope spectrum’s information entropy and terrain factors in water erosion areas of purple soil in southwest China. Trans. Chin. Soc. Agric. Eng. 2020, 36, 160–167+342. [Google Scholar]
- Xu, F.; Zhao, W.; Yan, T.; Qin, W.; Chen, H. Can Slope Spectrum Information Entropy Replace Slope Length and Steepness Factor: A Case Study of the Rocky Mountain Area in Northern China. Catena 2022, 212, 106047. [Google Scholar] [CrossRef]
- Fan, H.; Cai, Q.; Chen, G.; Cui, M. Comparative study of the soil erosion and control in the three major black soil regions in the world. J. Nat. Resour. 2005, 20, 387–393. [Google Scholar]
- Liang, A.; Zhang, Y.; Chen, X.; Zhang, S.; Huang, D.; Yang, X.; Zhang, X.; Li, X.; Tian, C.; Mclaughlin, N.B.; et al. Development and effects of conservation tillage in the black soil region of Northeast China. Sci. Geogr. Sin. 2022, 42, 1325–1335. [Google Scholar] [CrossRef]
- Liu, X.; Guo, M.; Zhang, X.; Zhang, S.; Zhou, P.; Chen, Z.; Qi, J.; Shen, Q. Morphological Characteristics and Volume Estimation Model of Permanent Gullies and Topographic Threshold of Gullying in the Rolling Hilly Mollisols Region of Northeast China. Catena 2023, 231, 107323. [Google Scholar] [CrossRef]
- Zhang, G.; Zhao, W.; Yan, T.; Qin, W.; Miao, X. Estimation of Gully Growth Rate and Erosion Amount Using UAV and Worldview-3 Images in Yimeng Mountain Area, China. Remote Sens. 2022, 15, 233. [Google Scholar] [CrossRef]
- Zhu, X.; Fu, S.; Wu, Q.; Wang, A. Soil Detachment Capacity of Shallow Overland Flow in Earth-Rocky Mountain Area of Southwest China. Geoderma 2020, 361, 114021. [Google Scholar] [CrossRef]
- Wang, X.; Li, Z.; Cai, C.; Shi, Z.; Xu, Q.; Fu, Z.; Guo, Z. Hydrological Response of Sloping Farmlands with Different Rock Fragment Covers in the Purple Soil Area of China. J. Hydrol. Eng. 2013, 18, 446–456. [Google Scholar] [CrossRef]
- Stolte, J.; Shi, X.; Ritsema, C. Introduction: Soil Erosion and Nutrient Losses in the Hilly Purple Soil Area in China. Soil Tillage Res. 2009, 105, 283–284. [Google Scholar] [CrossRef]
- Hartmann, A.; Goldscheider, N.; Wagener, T.; Lange, J.; Weiler, M. Karst Water Resources in a Changing World: Review of Hydrological Modeling Approaches: Karst Water Resources Prediction. Rev. Geophys. 2014, 52, 218–242. [Google Scholar] [CrossRef]
- Gutiérrez, F.; Parise, M.; De Waele, J.; Jourde, H. A Review on Natural and Human-Induced Geohazards and Impacts in Karst. Earth-Sci. Rev. 2014, 138, 61–88. [Google Scholar] [CrossRef]
- Liu, C.; Lv, D.; Chen, H.; Nie, Y. Causes for the eco-enviromental vulnerability of the karst areas in southwest China. J. Geol. Hazards Environ. Preserv. 2014, 25, 49–53. [Google Scholar]
- Cai, Y. Preliminary research on ecological reconsrution in Karst mountain poverty areas of southwest China. Adv. Earth Sci. 1996, 11, 84–88. [Google Scholar]
- Li, J.; Sun, R.; Xiong, M.; Yang, G. Estimation of soil erosion based on the RUSLE model in China. Acta Ecol. Sin. 2020, 40, 3473–3485. [Google Scholar]
- SL190-2007; The Soil Erosion Classification and Grading Standard. Ministry of Water Resources of the People’s Republic of China; China Water & Power Press: Beijing, China, 2008.
- Wang, C. The Uncertainty of Slope Spectrum Derived from DEM in The Loess Plateau of Northern Shaanxi Province. Master’s Thesis, Northwest University, Xi’an, China, 2005. [Google Scholar]
- Gilbert, J.R.; Moler, C.; Schreiber, R. Sparse Matrices in MATLAB: Design and Implementation. SIAM J. Matrix Anal. Appl. 1992, 13, 333–356. [Google Scholar] [CrossRef]
- Jv, Z.; Zhang, J.; Bai, Z. Investigation on relationship between slope spectrum’s information entropy and topographical factor influencing soil loss in the mountainous region. Sci. Surv. Mapp. 2019, 44, 86–90. [Google Scholar] [CrossRef]
- Li, Z.; Zhang, Y.; Zhu, Q.; Yang, S.; Li, H.; Ma, H. A Gully Erosion Assessment Model for the Chinese Loess Plateau Based on Changes in Gully Length and Area. Catena 2017, 148, 195–203. [Google Scholar] [CrossRef]
- Guo, M.; Yang, Q.; Wang, C. Analysis on erosional terrain characteristics of typical samples in main water erosion region of China. Trans. Chin. Soc. Agric. Eng. 2013, 29, 81–89+307–308. [Google Scholar]
- Wang, Y.; Wu, Y.; Kou, Q.; Min, D.; Chang, Y.; Zhang, R. Definition of arsenic rock zone borderline and its classification. Sci. Soil Water Conserv. 2007, 5, 14–18. [Google Scholar] [CrossRef]
- Borrelli, P.; Robinson, D.A.; Fleischer, L.R.; Lugato, E.; Ballabio, C.; Alewell, C.; Meusburger, K.; Modugno, S.; Schütt, B.; Ferro, V.; et al. An Assessment of the Global Impact of 21st Century Land Use Change on Soil Erosion. Nat. Commun. 2017, 8, 2013. [Google Scholar] [CrossRef] [PubMed]
- Borrelli, P.; Robinson, D.A.; Panagos, P.; Lugato, E.; Yang, J.E.; Alewell, C.; Wuepper, D.; Montanarella, L.; Ballabio, C. Land Use and Climate Change Impacts on Global Soil Erosion by Water (2015–2070). Proc. Natl. Acad. Sci. USA 2020, 117, 21994–22001. [Google Scholar] [CrossRef] [PubMed]












| Name | Mean Altitude (m) | Mean Annual Precipitation (mm) | ≥10 °C Accumulated Temperature (°C) |
|---|---|---|---|
| Northeastern Mollison (NEM) | <1000 | 400–800 | <3500 |
| North earth-stone (NS) | <1000 | 400–800 | 3500–4500 |
| Northwestern Loess Plateau (NWL) | 1000–2000 | 250–400 | 1700–4500 |
| South red soil (SR) | <1000 | >800 | 4500–8000 |
| Southwestern purple soil (SWP) | 400–2000 | >800 | 4500–8000 |
| Southwestern karst (SWK) | 1000–3000 | >800 | 4500–8000 |
Disclaimer/Publisher’s Note: The statements, opinions and data contained in all publications are solely those of the individual author(s) and contributor(s) and not of MDPI and/or the editor(s). MDPI and/or the editor(s) disclaim responsibility for any injury to people or property resulting from any ideas, methods, instructions or products referred to in the content. |
© 2024 by the authors. Licensee MDPI, Basel, Switzerland. This article is an open access article distributed under the terms and conditions of the Creative Commons Attribution (CC BY) license (https://creativecommons.org/licenses/by/4.0/).
Share and Cite
Xu, F.; Zhao, W.; Yan, T.; Qin, W.; Zhang, G.; Fang, N.; Xu, C. Quantifying the Relationship between Slope Spectrum Information Entropy and the Slope Length and Slope Steepness Factor in Different Types of Water-Erosion Areas in China. Remote Sens. 2024, 16, 2816. https://doi.org/10.3390/rs16152816
Xu F, Zhao W, Yan T, Qin W, Zhang G, Fang N, Xu C. Quantifying the Relationship between Slope Spectrum Information Entropy and the Slope Length and Slope Steepness Factor in Different Types of Water-Erosion Areas in China. Remote Sensing. 2024; 16(15):2816. https://doi.org/10.3390/rs16152816
Chicago/Turabian StyleXu, Fujin, Weijun Zhao, Tingting Yan, Wei Qin, Guanghe Zhang, Ningning Fang, and Changchun Xu. 2024. "Quantifying the Relationship between Slope Spectrum Information Entropy and the Slope Length and Slope Steepness Factor in Different Types of Water-Erosion Areas in China" Remote Sensing 16, no. 15: 2816. https://doi.org/10.3390/rs16152816
APA StyleXu, F., Zhao, W., Yan, T., Qin, W., Zhang, G., Fang, N., & Xu, C. (2024). Quantifying the Relationship between Slope Spectrum Information Entropy and the Slope Length and Slope Steepness Factor in Different Types of Water-Erosion Areas in China. Remote Sensing, 16(15), 2816. https://doi.org/10.3390/rs16152816

