Range Limitations in Microwave Quantum Radar
Abstract
1. Introduction
2. Classical Radar, Noise Radar and Quantum Radar
3. Quantum Illumination and Quantum Two-Mode Squeezing (QTMS) Radar
4. QTMS Radar and Noise Radar Waveforms
5. Radar Range for Quantum Radar
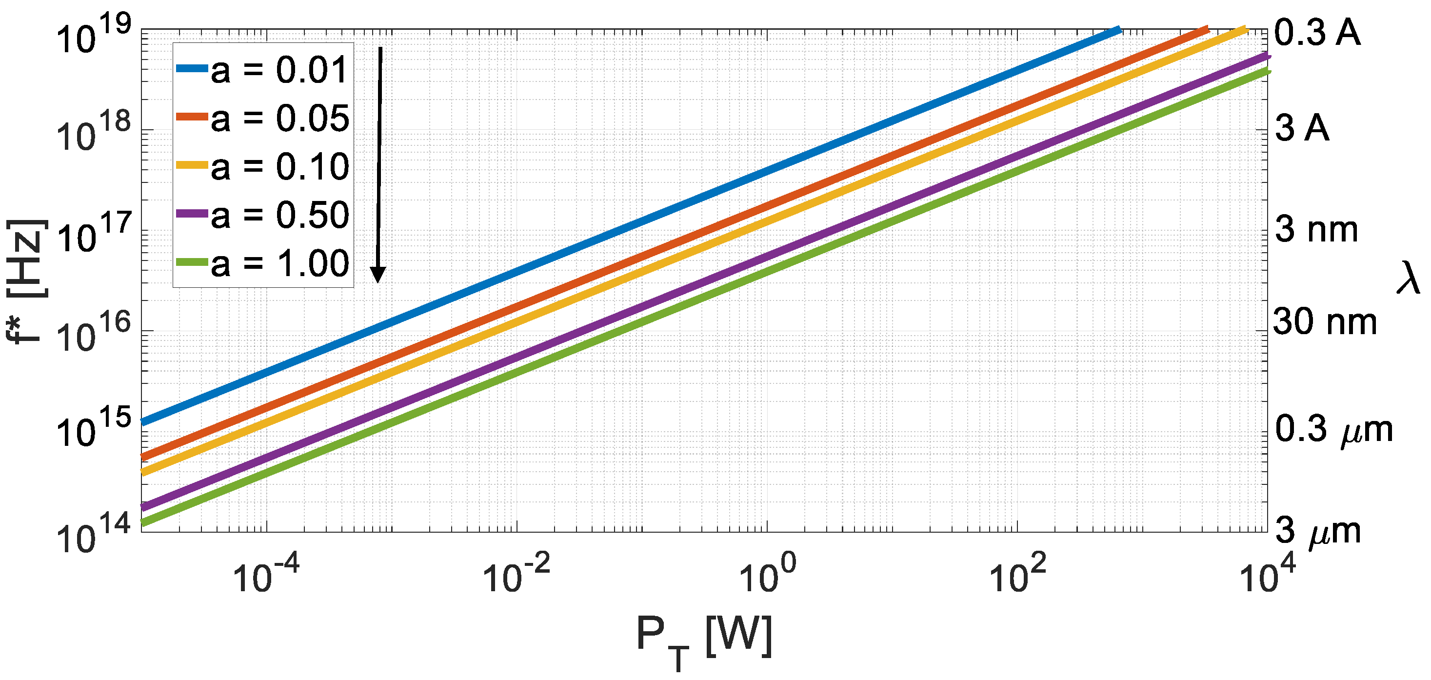
5.1. General Remarks: Some Simple Photon Number Analysis
- 5.32 km for a target with a RCS of 1 m2.
- 8.8 km for a small vessel with a corner reflector (RCS = 7.5 m2).
- Ta resulting from the external noise sources, including: the CMB (cosmic microwave background), the sun, the stars, the atmosphere, the land, and sea surfaces. In the absence of any radio stars, the CMB assumes a minimum level around 5 K (see “Figure 8.19”, page 526, chapter on Propagation of Radar Waves, in [50]), whose 2.7 K blackbody term, uniform in all directions, is due to the radiation left over from the hot big-bang. Hence, Ta is a highly variable quantity. Common graphs [49] supply this contribution versus the operating frequency for a “standard environment” and for different values of the pointing angle, θ, of the antenna with respect to the vertical. For example, in the X-band (9 GHz), Ta has a maximum value of about 100 K when pointing toward the horizon (θ = 90 degrees) and a minimum value of about 10 K in the unrealistic case of zenith pointing (θ = 0). To set exemplary values, assuming θ = 30 degrees, we have Ta = 30 K, but for a surface movements radar (SMR), whose antenna points down, Ta is close to the land temperature.
- TRF = (LRF − 1)·T0, where T0 is the reference temperature of 290 K (according to the IEEE standard) or, if known, the physical temperature of the previously mentioned RF connections, and LRF is their attenuation (i.e., the loss). An exemplary value (for a 0.5 dB loss) is TRF = 35 K.
- TLNA = (F − 1)·LRF·T0, where F is the noise figure of the amplifier. For an exemplary F = 1 dB and the above 0.5 dB loss, TLNA = 190 K.
- (a)
- The energy in a single photon at microwave frequencies is extremely small when compared to that of a conventional radar (CR) pulse; therefore, with the number of transmission modes, , defined by operational constraints, one could try to increase the number, , of average signal photons per mode. This increase brings back the radar system to the classical operation. With a number of photons per mode, say , optimal for quantum advantage, the transmitted energy per microwave radar pulse (i.e., per mode) is to orders of magnitude below what is required for target detection. Moreover, according to quantum mechanics, the amplification of the radar signal generates noise, which would nullify the quantum advantage [42].
- (b)
- Theoretically, a quantum illumination system will provide a factor-of-four () improvement in the error probability exponent (neglecting the fact that radar detection is not evaluated in terms of error probability [28]) over its classical counterpart of the same transmitted energy [42,44] (note that the practical QR implementations limit this advantage to lower figures: order of to only [42,53]). However, a improvement can be obtained, remaining in the conventional radar technology, increasing the dimensions of the transmit/receive antenna (antennas); for example, in the monostatic case (a single Tx/Rx antenna), changing a dish into a dish.
- (c)
- The benefit of QR over CR is significant for very few average photons per mode () and disappears for more than a few transmitted photons per mode.
- (d)
- The energy of a photon is proportional to its frequency, calling for QR operating, for example, in the millimeter-wave or terahertz bands, where, unfortunately, the atmospheric phenomena prevent long-range operation.
- (e)
- The increase in the number of modes, , for a (necessarily limited) available signal bandwidth, , would generate an increase in the pulse duration (see Section 5.2). Values of above some threshold (order of a few milliseconds to hundreds of milliseconds, depending on the type and dynamics of the particular target) would render the system prone to the effects of target scintillation and Doppler frequency, destroying the correlation with the stored replica, hence nullifying the quantum advantage.
5.2. Exemplary Range Computations for QR
- ○
- : operating (central) frequency,
- ○
- : wavelength,
- ○
- : operation bandwidth, i.e., ,
- ○
- : signal duration (less than or equal to the dwell time),
- ○
- : number of modes,
- ○
- : radar cross-section (RCS) of the target,
- ○
- : antenna gain (the same for Tx and Rx),
- ○
- : system noise temperature,
- ○
- : signal-to-noise ratio,
- ○
- : total loss ,
- ○
- : free-space two-way attenuation for a target at a distance ,
- ○
- : quantum advantage.
| (a) QR—theoretical —low | 0.01 | 4 (6 dB) | 0.04 |
| (b) QR—potential | 0.1 | 2 (3 dB) | 0.2 |
| (c) QR—theoretical | 0.1 | 4 (6 dB) | 0.4 |
| (d) QR—optimistic —high | 0.66 | 1.5 (1.76 dB) | 1.0 |
5.3. Maximum Range: QR and NR Comparison
6. Final Discussion
- (i)
- the SWaP limitations are obviously important (contrary to what is written in [40]),
- (ii)
- the short distances imply very low transmitted microwave power levels, for which a 6 dB advantage is immaterial.
7. Conclusions
- With a strong constraint on the transmitted power, a limited quantum advantage is alleged in some literature.
- We have shown (Section 4) that, differently from classical radar and NR, QR signals cannot be “tailored” and are inherently random, with Gaussian distribution, thus causing a relatively large , in the order of . Important for the radar range point of view, QR signals have a poor peak-to-average power ratio (), whose estimated value depends on the chosen truncation point for the Gaussian law and is in the order of ten or twelve. The related loss, around ten or eleven decibels, is larger than all the values of “quantum advantage” presented in the literature, and cancels “ad abundantiam” any quantum advantage in any comparison with the noise radar technology and with any classical radar using “phase only” (constant amplitude) signal coding.
- If a low-powered signal of a quantum noise radar is amplified, then a classical noise radar results, which outperforms the quantum radar.
- Quantum radars are more difficult to achieve than what some early papers (and one book) were claiming, and the work with signal photons in the microwave (or mm-wave) systems seems not a fruitful idea.
- The alleged military advantage of a quantum radar due to its covertness is practically immaterial due to its extremely short operating range.
- The QI/QR concept might be useful for future quantum sensors in ultraviolet, X-ray, and Gamma domains. The related challenges consist of the lack of methods for efficient coherent signal processing at these frequencies, while conversion down to the frequencies below, say, 5 GHz, where ADCs are readily available, is also problematic [55]. Moreover, at those frequencies, the attenuation propagation and the target’s back-scattering are much different than at microwave frequencies.
Author Contributions
Funding
Conflicts of Interest
List of Acronyms
| CMB | Cosmic microwave background |
| CNIT | National Inter-University Consortium for Telecommunications |
| CR | Classical radar—conventional radar |
| FMCW | Frequency modulated continuous wave |
| IEEE | Institute of Electrical and Electronics Engineers |
| INRIM | Istituto Nazionale di Ricerca Metrologica (National Metrology Institute) |
| ITU | International Telecommunication Unit (a United Nations Agency) |
| JPA | Josephson Parametric Amplifier |
| JTWPA | Josephson Traveling Wave Parametric Amplifier |
| NR | Noise radar |
| PAPR | Peak-to-average power ratio |
| PRN | Pseudorandom number |
| PSL | Peak sidelobe level |
| QI | Quantum illumination |
| QR | Quantum radar |
| QTMS | Quantum two-mode squeezed |
| RCS | Radar cross-section |
| SMR | Surface movements radar |
| SNR | Signal-to-noise ratio |
| SWaP | Size, weight, and power |
| TMN | Two-mode noise |
References
- Shapiro, J.H. The Quantum Illumination Story. arXiv 2019. [Google Scholar] [CrossRef]
- Hult, T.; Jonsson, P.; Höijer, M. Quantum Radar—The Follow-Up Story. October 2020. Available online: https://www.foi.se/rest-api/report/FOI-R--5014--SE (accessed on 4 July 2024).
- Gallego Torromé, R.; Barzanjeh, S. Advances in quantum radar and quantum LiDAR. Prog. Quantum Electron. 2024, 93, 100497. [Google Scholar] [CrossRef]
- Lloyd, S. Enhanced sensitivity of photodetection via quantum illumination. Science 2008, 321, 1463–1465. [Google Scholar] [CrossRef] [PubMed]
- Allen, E.H.; Karageorgis, M. Radar Systems and Methods Using Entangled Quantum Particles. U.S. Patent N. 7.375.802 B2, 20 May 2008. Available online: https://patents.google.com/patent/US7375802B2/en (accessed on 4 July 2024).
- Lanzagorta, M. Quantum Radar, 1st ed.; Springer Nature: Cham, Switzerland, 2011; ISBN 978-3-031-01387-4. [Google Scholar]
- Salmanogli, A.; Gokcen, D. Analysis of Quantum Radar Cross-Section by Canonical Quantization Method (Full Quantum Theory). IEEE Access 2020, 8, 205487–205494. [Google Scholar] [CrossRef]
- Manoj, M. A Study on Quantum Radar Technology-Developments and Design Consideration for Its Integration. arXiv 2022, arXiv:2205.14000. Available online: https://arxiv.org/pdf/2205.14000.pdf (accessed on 4 July 2024).
- Brandsema, M.; Narayanan, R.M.; Lanzagorta, M. Theoretical and computational analysis of the quantum radar cross section for simple geometric targets. In Quantum Information Science; Springer: Berlin/Heidelberg, Germany, 2017. [Google Scholar]
- Brandsema, M.; Lanzagorta, M.; Narayanan, R.M. Quantum Electromagnetic Scattering and the Sidelobe Advantage. In Proceedings of the IEEE International Radar Conference, Washington, DC, USA, 28–30 April 2020; pp. 755–760. [Google Scholar] [CrossRef]
- Frasca, M.; Farina, A.; Balaji, B. Foreword to the Special Issue on Quantum Radar. IEEE Aerosp. Electron. Syst. Mag. 2020, 35, 4–7. [Google Scholar] [CrossRef]
- Bischeltsrieder, F.; Würth, M.; Russer, J.; Peichl, M.; Utschick, W. Engineering Constraints and Application Regimes of Quantum Radar. IEEE Trans. Radar Syst. 2024, 2, 197–214. [Google Scholar] [CrossRef]
- Stenger, V.J. The Unconscious Quantum: Metaphysics in Modern Physics and Cosmology; Prometheus Books: New York, NY, USA, 1995. [Google Scholar]
- Zettili, N. Quantum Mechanims–Concepts and Applications, 3rd ed.; Wiley: Hoboken, NJ, USA, 2022; ISBN 978-1-118-30789-2. [Google Scholar]
- Hill, G. Quantum Radar Is Stealth Radar: Examining the Potential Impact on the Defence Team. 2022. Available online: https://www.cfc.forces.gc.ca/259/290/24/192/Hill.pdf (accessed on 4 July 2024).
- Vella, H. Quantum radars: Expose stealth planes. Eng. Technol. 2019, 14, 42–45. [Google Scholar] [CrossRef]
- Yung, M.H.; Meng, F.; Zhang, X.M.; Zhao, M.J. One-shot detection limits of quantum illumination with discrete signal. NPJ Quantum Inf. 2020, 6, 75. [Google Scholar] [CrossRef]
- Livreri, P.; Enrico, E.; Fasolo, L.; Greco, A.; Rettaroli, A.; Vitali, D.; Farina, A.; Marchetti, C.F.; Giacomin, A.S.D. Microwave Quantum Radar using a Josephson Traveling Wave Parametric Amplifier. In Proceedings of the IEEE Radar Conference, New York, NY, USA, 21–25 March 2022. [Google Scholar] [CrossRef]
- INRIM Quantum Radar (TELEDIFE). Available online: https://www.inrim.it/en/research/projects/quantum-radar (accessed on 4 July 2024).
- Luong, D.; Chang, C.W.S.; Vadiraj, A.M.; Damini, A.; Wilson, C.M.; Balaji, B. Receiver operating characteristics for a prototype quantum two-mode squeezing radar. IEEE Trans. Aerosp. Electron. Syst. 2020, 56, 2041–2060. [Google Scholar] [CrossRef]
- Amat, I.C.; Jiménez, A.G.; Gómez, E.F.; Abdalmalak, K.A.; Fajardo, P.; Cabrero, J.F.; Muñoz, L.E.G. Advantages and Limitations of Quantum Radar. In Proceedings of the 17th European Conference on Antennas and Propagation (EuCAP), Florence, Italy, 26–31 March 2023. [Google Scholar] [CrossRef]
- Livreri, P.; Enrico, E.; Vitali, D.; Farina, A. Microwave Quantum Radar using a Josephson Traveling Wave Parametric Amplifier and a Phase-Conjugate Receiver for a long-distance detection. In Proceedings of the IEEE Radar Conference, San Antonio, TX, USA, 1–5 May 2023. [Google Scholar] [CrossRef]
- Luong, D.; Rajan, S.; Balaji, B. Entanglement-Based Quantum Radar: From Myth to Reality. IEEE Aerosp. Electron. Syst. Mag. 2020, 35, 22–35. [Google Scholar] [CrossRef]
- Luong, D.; Balaji, B.; Rajan, S. Quantum Radar: Challenges and Outlook: An Overview of the State of the Art. IEEE Microw. Mag. 2023, 24, 61–67. [Google Scholar] [CrossRef]
- Norouzi, M.; Seyed-Yazdi, J.; Hosseiny, S.M.; Livreri, P. Investigation of the JPA-Bandwidth Improvement in the Performance of the QTMS Radar. Entropy 2023, 25, 1368. [Google Scholar] [CrossRef] [PubMed]
- Galati, G.; Pavan, G. Radar environment characterization by signal processing techniques. In Proceedings of the IEEE International Symposium on Signal Processing and Information Technology (ISSPIT), Bilbao, Spain, 18–20 December 2017. [Google Scholar] [CrossRef]
- Galati, G.; Pavan, G. Noise Radar Technology and Quantum Radar: Yesterday, Today and Tomorrow. In Proceedings of the IEEE 2nd Ukrainian Microwave Week, Kyiv, Ukraine, 14–18 November 2022; pp. 504–511. [Google Scholar] [CrossRef]
- Gallego Torromé, R.; Ben Bekhti-Winkel, N.; Knott, P. Introduction to quantum radar. arXiv 2021. [Google Scholar] [CrossRef]
- Di Franco, J.V.; Rubin, W.L. Radar Detection; Scitech Pub. Inc.: Jersey, NJ, USA, 2004; ISBN 9781891121371. [Google Scholar]
- Melvin, W.L. Principles of Modern Radar: Basic Principles; IET Radar, Sonar and Navigation Series; Scitech Publishing: Jersey, NJ, USA, 2023; ISBN 9781839533815. [Google Scholar]
- Turin, G. An introduction to matched filters. IRE Trans. Inf. Theory 1960, 6, 311–329. [Google Scholar] [CrossRef]
- Galati, G.; Pavan, G.; Wasserzier, C. Signal design and processing for noise radar. EURASIP J. Adv. Signal Process. 2022, 2022, 52. [Google Scholar] [CrossRef]
- Shapiro, J.; Lloid, S. Quantum Illumination vs. Coherent-State Target Detection. New J. Phys. 2009, 11, 063045. [Google Scholar] [CrossRef]
- Tan, S.H.; Erkmen, B.I.; Giovannetti, V.; Guha, S.; Lloyd, S.; Maccone, L.; Pirandola, S.; Shapiro, J.H. Quantum illumination with Gaussian states. Phys. Rev. Lett. 2008, 101, 253601. [Google Scholar] [CrossRef]
- Karsa, A.; Pirandola, S. Energetic Considerations in Quantum Target Ranging. arXiv 2021. [Google Scholar] [CrossRef]
- Barzanjeh, S.; Pirandola, S.; Vitali, D.; Fink, J.M. Microwave Quantum Illumination using a digital receiver. Sci. Adv. 2020, 6, eabb0451. [Google Scholar] [CrossRef]
- Ghelfi, P.; Laghezza, F.; Scotti, F.; Serafino, G.; Capria, A.; Pinna, S.; Onori, D.; Porzi, C.; Scaffardi, M.; Malacarne, A.; et al. A fully photonics-based coherent radar system. Nature 2014, 507, 341–345. Available online: https://www.nature.com/articles/nature13078 (accessed on 4 July 2024). [CrossRef] [PubMed]
- Serafino, G.; Scotti, F.; Lembo, L.; Hussain, B.; Porzi, C.; Malacarne, A.; Maresca, S.; Onori, D.; Ghelfi, P.; Bogoni, A. Towards a New Generation of Radar Systems Based on Microwave Photonic Technologies. J. Light. Technol. 2019, 37, 643–650. [Google Scholar] [CrossRef]
- Serafino, G.; Bogoni, A. Quantum Radar: State of the Art and Potential of a Newly-Born Remote Sensing Technology. In Proceedings of the Workshop in Quantum Technologies in Optronics, Toulouse, France, 12 March 2019. [Google Scholar] [CrossRef]
- Luong, D.; Balaji, B.; Rajan, S. Biomedical Sensing Using Quantum Radars Based on Josephson Parametric Amplifiers. In Proceedings of the International Applied Computational Electromagnetics Society Symposium (ACES), Hamilton, ON, Canada, 1–5 August 2021; pp. 1–4. Available online: https://ieeexplore.ieee.org/document/9528545 (accessed on 4 July 2024).
- Daum, F. A system engineering perspective on quantum radar. In Proceedings of the IEEE International Radar Conference, Washington, DC, USA, 28–30 April 2020; pp. 958–963. [Google Scholar] [CrossRef]
- Sorelli, G.; Treps, N.; Boust, F. Detecting a Target with Quantum Entanglement. IEEE Aerosp. Electron. Syst. Mag. 2022, 37, 68–90. [Google Scholar] [CrossRef]
- Assouly, R.; Dassonneville, R.; Peronnin, T.; Bienfait, A. Quantum advantage in microwave quantum radar. Nat. Phys. 2023, 19, 1418–1422. [Google Scholar] [CrossRef]
- Luong, D.; Balaji, B. Quantum two-mode squeezing radar and noise radar: Covariance matrices for signal processing. IET Radar Sonar Navig. 2020, 14, 97–104. [Google Scholar] [CrossRef]
- Kulpa, K. Signal Processing in Noise Waveform Radar; Artech: Morristown, NJ, USA, 2013; ISBN 9781608076611. [Google Scholar]
- De Palo, F.; Galati, G.; Pavan, G.; Wasserzier, C.; Savci, K. Introduction to Noise Radar and Its Waveforms. Sensors 2020, 20, 5187. [Google Scholar] [CrossRef] [PubMed]
- Galati, G.; Pavan, G.; Wasserzier, C. Interception of Continuous-Emission Noise Radars Transmitting Different Waveform Configurations. In Proceedings of the 23rd International Radar Symposium (IRS), Gdansk, Poland, 12–14 September 2022; pp. 153–158. [Google Scholar] [CrossRef]
- Galati, G.; Pavan, G. Measuring the Anti-Intercept features of Noise Radar waveforms: The way ahead. In Proceedings of the IEEE 9th International Workshop on Metrology for AeroSpace (MetroAeroSpace), Pisa, Italy, 27–29 June 2022; pp. 174–178. [Google Scholar] [CrossRef]
- Blake, L.V. A Guide to Basic Pulse-Radar Maximum-Range Calculation-Part 1-Equations, Definitions, and Aids to Calculation; NRL Report 6930; Washington, DC, 1969. Available online: https://apps.dtic.mil/sti/tr/pdf/AD0701321.pdf (accessed on 4 July 2024).
- Skolnik, M.I. Introduction to Radar Systems, 3rd ed.; Mc Graw Hill: New York, NY, USA, 2001. [Google Scholar]
- Doerry, A. Noise and Noise Figure for Radar Receivers; SANDIA Report Number: SAND2016-9649 647834; October 2016. Available online: https://www.osti.gov/servlets/purl/1562649 (accessed on 4 July 2024).
- Wei, R.; Li, J.; Wang, W.; Ye, Z.; Zhao, C.; Guo, Q. Evaluating the detection range of microwave quantum illumination radar. IET Radar Sonar Navig. 2023, 17, 1664–1673. [Google Scholar] [CrossRef]
- Wei, R.; Li, J.; Wang, W.; Guo, Q. Investigation on the Advantages of Quantum Illumination Radar by Using Radar Equation. In Proceedings of the International Conference on Radar, Haikou, China, 15–19 December 2021. [Google Scholar] [CrossRef]
- Jonsson, R.; Ankel, M. Quantum Radar–What is it good for? In Proceedings of the IEEE Radar Conference, Atlanta, GA, USA, 7–14 May 2021; pp. 1–6. [Google Scholar] [CrossRef]
- Lukin, K. Quantum Radar and Noise Radar Concepts. In Proceedings of the IEEE Radar Conference, Atlanta, GA, USA, 7–14 May 2021. [Google Scholar] [CrossRef]
- Marcum, J.I. A Statistical Theory of Target Detection by Pulsed Radar: Mathematical Appendix. IRE Trans. Inf. Theory 1960, 6, 59–267. [Google Scholar] [CrossRef]
- Jonsson, R.; Di Candia, R.; Ankel, M.; Ström, A.; Johansson, G. A comparison between quantum and classical noise radar sources. In Proceedings of the 2020 IEEE Radar Conference (RadarConf20), Florence, Italy, 21–25 September 2020. [Google Scholar] [CrossRef]
- Wei, R.; Li, J.; Wang, W.; Meng, S.; Zhang, B.; Guo, Q. Comparison of SNR gain between quantum illumination radar and classical radar. Opt. Express 2022, 30, 36167–36175. [Google Scholar] [CrossRef]
- Galati, G.; Pavan, G. On Target Detection by Quantum Radar (Preprint). arXiv 2024. [Google Scholar] [CrossRef]
- Shadman Ishrak, M.; Cai, F.; Islam, S.M.M.; Borić-Lubecke, O.; Wu, T.; Lubecke, V.M. Doppler radar remote sensing of respiratory function. Front. Physiol. 2023, 14, 1130478. [Google Scholar]
- Semenov, S.Y.; Svenson, R.H.; Boulyshev, A.E.; Souvorov, A.E.; Borisov, V.Y.; Sizov, Y.; Starostin, A.N.; Dezern, K.R.; Tatsis, G.P.; Baranov, V.Y. Microwave tomography: Two-dimensional system for biological imaging. IEEE Trans. Biomed. Eng. 1996, 43, 869–877. [Google Scholar] [CrossRef] [PubMed]
- Semenov, S.Y. Microwave tomography: Review of the progress towards clinical applications. Philos. Trans. A Math. Phys. Eng. Sci. 2009, 367, 3021–3042. [Google Scholar] [CrossRef]
- Semenov, S.Y. Three-dimensionalmicrowave tomography: Experimental imaging of phantoms and biological objects. IEEE Trans. Microw. Theory Tech. 2000, 48, 1071–1074. [Google Scholar] [CrossRef]
- Chandra, R.; Zhou, H.; Balasingham, I.; Narayanan, R.M. On the Opportunities and Challenges in Microwave Medical Sensing and Imaging. IEEE Trans. Biomed. Eng. 2015, 62, 1666–1682. [Google Scholar] [CrossRef]
- Varadaraj Prabhu, A.; Suri, B.; Chandrashekar, C.M. Hyperentanglement-enhanced quantum illumination. Phys. Rev. A 2021, 103, 052608. [Google Scholar] [CrossRef]
- Brandsema, M. Current Readiness for Quantum Radar Implementation. In Proceedings of the IEEE Conference on Antenna Measurements & Applications (CAMA), Vasteras, Sweden, 3–6 September 2018; pp. 1–4. [Google Scholar] [CrossRef]
- Cho, A. The short, strange life of quantum radar-In spite of military interest, quantum mechanics won’t defeat stealth technologies. Science 2020, 369, 1556–1557. [Google Scholar] [CrossRef]










Disclaimer/Publisher’s Note: The statements, opinions and data contained in all publications are solely those of the individual author(s) and contributor(s) and not of MDPI and/or the editor(s). MDPI and/or the editor(s) disclaim responsibility for any injury to people or property resulting from any ideas, methods, instructions or products referred to in the content. |
© 2024 by the authors. Licensee MDPI, Basel, Switzerland. This article is an open access article distributed under the terms and conditions of the Creative Commons Attribution (CC BY) license (https://creativecommons.org/licenses/by/4.0/).
Share and Cite
Pavan, G.; Galati, G. Range Limitations in Microwave Quantum Radar. Remote Sens. 2024, 16, 2543. https://doi.org/10.3390/rs16142543
Pavan G, Galati G. Range Limitations in Microwave Quantum Radar. Remote Sensing. 2024; 16(14):2543. https://doi.org/10.3390/rs16142543
Chicago/Turabian StylePavan, Gabriele, and Gaspare Galati. 2024. "Range Limitations in Microwave Quantum Radar" Remote Sensing 16, no. 14: 2543. https://doi.org/10.3390/rs16142543
APA StylePavan, G., & Galati, G. (2024). Range Limitations in Microwave Quantum Radar. Remote Sensing, 16(14), 2543. https://doi.org/10.3390/rs16142543

