A Modified Look-Up Table Based Algorithm with a Self-Posed Scheme for Fine-Mode Aerosol Microphysical Properties Inversion by Multi-Wavelength Lidar
Abstract
1. Introduction
2. Materials and Methods
2.1. Retrieval Algorithm for Fine-Mode Aerosol Microphysical Properties Based on LUT—Basic Algorithm: k-NN and RF
2.2. Retrieval Algorithm for Fine-Mode Aerosol Microphysical Properties Based on LUT—Modified Algorithm: Weighted “Bagging” Strategy and Self-Posed Scheme
2.3. Source and Processing of NASA DISCOVER-AQ Field Campaign Data
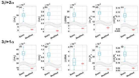
3. Results
3.1. Numerical Test of Simulated Error-Free Data
3.2. Sensitivity Study of Individual Input Optical Property
3.3. Study on Input Optical Properties with Random Gaussian Noise
3.4. DISCOVER-AQ Case Study
4. Discussion and Conclusions
Author Contributions
Funding
Data Availability Statement
Acknowledgments
Conflicts of Interest
References
- Ali, M.A.; Huang, Z.W.; Bilal, M.; Assiri, M.E.; Mhawish, A.; Nichol, J.E.; de Leeuw, G.; Almazroui, M.; Wang, Y.; Alsubhi, Y. Long-term PM2.5 pollution over China: Identification of PM2.5 pollution hotspots and source contributions. Sci. Total Environ. Environ. 2023, 893, 164871. [Google Scholar] [CrossRef] [PubMed]
- Lee, K.H.; Kim, Y.J.; Kim, M.J. Characteristics of aerosol observed during two severe haze events over Korea in June and October 2004. Atmos. Environ. 2006, 40, 5146–5155. [Google Scholar] [CrossRef]
- Penner, J.E.; Dickinson, R.E.; Oneill, C.A. Effects of Aerosol from Biomass Burning on the Global Radiation Budget. Science 1992, 256, 1432–1434. [Google Scholar] [CrossRef] [PubMed]
- Solomon, S.; Qin, D.; Manning, M.R.; Chen, Z.; Marquis, M.; Averyt, K.; Tignor, M.M.B.; Miller, H.L. Climate Change 2007: The Physical Science Basis. Contribution of Working Group I to the Fourth Assessment Report of the Intergovernmental Panel on Climate Change; Cambridge University Press: Cambridge, UK, 2007. [Google Scholar]
- Torres, B.; Dubovik, O.; Fuertes, D.; Schuster, G.; Cachorro, V.E.; Lapyonok, T.; Goloub, P.; Blarel, L.; Barreto, A.; Mallet, M.; et al. Advanced characterisation of aerosol size properties from measurements of spectral optical depth using the GRASP algorithm. Atmos. Meas. Tech. 2017, 10, 3743–3781. [Google Scholar] [CrossRef] [PubMed]
- Yan, X.; Zang, Z.; Zhao, C.F.; Husi, L. Understanding global changes in fine-mode aerosols during 2008–2017 using statistical methods and deep learning approach. Environ. Int. 2021, 149, 106392. [Google Scholar] [CrossRef] [PubMed]
- Jerrett, M. ATMOSPHERIC SCIENCE The death toll from air-pollution sources. Nature 2015, 525, 330–331. [Google Scholar] [CrossRef] [PubMed]
- Lelieveld, J.; Evans, J.S.; Fnais, M.; Giannadaki, D.; Pozzer, A. The contribution of outdoor air pollution sources to premature mortality on a global scale. Nature 2015, 525, 367–371. [Google Scholar] [CrossRef] [PubMed]
- Ma, Y.Y.; Zhang, M.; Jin, S.K.; Gong, W.; Chen, N.; Chen, Z.Y.; Jin, Y.B.; Shi, Y.F. Long-Term Investigation of Aerosol Optical and Radiative Characteristics in a Typical Megacity of Central China During Winter Haze Periods. J. Geophys. Res.-Atmos. 2019, 124, 12093–12106. [Google Scholar] [CrossRef]
- Di, H.G.; Wang, Q.Y.; Hua, H.B.; Li, S.W.; Yan, Q.; Liu, J.J.; Song, Y.H.; Hua, D.X. Aerosol Microphysical Particle Parameter Inversion and Error Analysis Based on Remote Sensing Data. Remote Sens. 2018, 10, 1753. [Google Scholar] [CrossRef]
- Müller, D.; Wandinger, U.; Ansmann, A. Microphysical particle parameters from extinction and backscatter lidar data by inversion with regularization:: Theory. Appl. Opt. 1999, 38, 2346–2357. [Google Scholar] [CrossRef]
- Zhou, X.W.; Zhou, T.; Fang, S.Y.; Han, B.S.; He, Q. Investigation of the Vertical Distribution Characteristics and Microphysical Properties of Summer Mineral Dust Masses over the Taklimakan Desert Using an Unmanned Aerial Vehicle. Remote Sens. 2023, 15, 3556. [Google Scholar] [CrossRef]
- Kolgotin, A.; Müller, D.; Korenskiy, M.; Veselovskii, I. ORACLES Campaign, September 2016: Inversion of HSRL-2 Observations with Regularization Algorithm into Particle Microphysical Parameters and Comparison to Airborne In-Situ Data. Atmosphere 2023, 14, 1661. [Google Scholar] [CrossRef]
- Wang, L.; Yin, Z.; Lu, T.; Yi, Y.; Dong, X.; Dai, Y.; Bu, Z.; Chen, Y.; Wang, X. 1064 nm rotational Raman polarization lidar for profiling aerosol and cloud characteristics. Opt. Express 2024, 32, 14963–14977. [Google Scholar] [CrossRef]
- Wang, A.; Yin, Z.; Mao, S.; Wang, L.; Yi, Y.; Chen, Q.; Mueller, D.; Wang, X. Measurements of particle extinction coefficients at 1064 nm with lidar: Temperature dependence of rotational Raman channels. Opt. Express 2024, 32, 4650–4667. [Google Scholar] [CrossRef]
- Crumeyrolle, S.; Chen, G.; Ziemba, L.; Beyersdorf, A.; Thornhill, L.; Winstead, E.; Moore, R.H.; Shook, M.A.; Hudgins, C.; Anderson, B.E. Factors that influence surface PM2.5 values inferred from satellite observations: Perspective gained for the US Baltimore-Washington metropolitan area during DISCOVER-AQ. Atmos. Chem. Phys. 2014, 14, 2139–2153. [Google Scholar] [CrossRef]
- Müller, D.; Hostetler, C.A.; Ferrare, R.A.; Burton, S.P.; Chemyakin, E.; Kolgotin, A.; Hair, J.W.; Cook, A.L.; Harper, D.B.; Rogers, R.R.; et al. Airborne Multiwavelength High Spectral Resolution Lidar (HSRL-2) observations during TCAP 2012: Vertical profiles of optical and microphysical properties of a smoke/urban haze plume over the northeastern coast of the US. Atmos. Meas. Tech. 2014, 7, 3487–3496. [Google Scholar] [CrossRef]
- Sawamura, P.; Moore, R.H.; Burton, S.P.; Chemyakin, E.; Müller, D.; Kolgotin, A.; Ferrare, R.A.; Hostetler, C.A.; Ziemba, L.D.; Beyersdorf, A.J.; et al. HSRL-2 aerosol optical measurements and microphysical retrievals vs. airborne in situ measurements during DISCOVER-AQ 2013: An intercomparison study. Atmos. Chem. Phys. 2017, 17, 7229–7243. [Google Scholar]
- Burton, S.P.; Hostetler, C.A.; Cook, A.L.; Hair, J.W.; Seaman, S.T.; Scola, S.; Harper, D.B.; Smith, J.A.; Fenn, M.A.; Ferrare, R.A.; et al. Calibration of a high spectral resolution lidar using a Michelson interferometer, with data examples from ORACLES. Appl. Opt. 2018, 57, 6061–6075. [Google Scholar] [CrossRef]
- Liu, D.; Zheng, Z.F.; Chen, W.B.; Wang, Z.B.; Li, W.J.; Ke, J.; Zhang, Y.P.; Chen, S.J.; Cheng, C.H.; Wang, S.B. Performance estimation of space-borne high-spectral-resolution lidar for cloud and aerosol optical properties at 532 nm. Opt. Express 2019, 27, A481–A494. [Google Scholar] [CrossRef]
- Veselovskii, I.; Dubovik, O.; Kolgotin, A.; Korenskiy, M.; Whiteman, D.N.; Allakhverdiev, K.; Huseyinoglu, F. Linear estimation of particle bulk parameters from multi-wavelength lidar measurements. Atmos. Meas. Tech. 2012, 5, 1135–1145. [Google Scholar] [CrossRef]
- Burton, S.P.; Chemyakin, E.; Liu, X.; Knobelspiesse, K.; Stamnes, S.; Sawamura, P.; Moore, R.H.; Hostetler, C.A.; Ferrare, R.A. Information content and sensitivity of the 3β+2α lidar measurement system for aerosol microphysical retrievals. Atmos. Meas. Tech. 2016, 9, 5555–5574. [Google Scholar] [CrossRef]
- Veselovskii, I.; Kolgotin, A.; Müller, D.; Whiteman, D.N. Information content of multiwavelength lidar data with respect to microphysical particle properties derived from eigenvalue analysis. Appl. Opt. 2005, 44, 5292–5303. [Google Scholar] [CrossRef] [PubMed][Green Version]
- Veselovskii, I.; Kolgotin, A.; Griaznov, V.; Müller, D.; Wandinger, U.; Whiteman, D.N. Inversion with regularization for the retrieval of tropospheric aerosol parameters from multiwavelength lidar sounding. Appl. Opt. 2002, 41, 3685–3699. [Google Scholar] [CrossRef] [PubMed]
- Müller, D.; Chemyakin, E.; Kolgotin, A.; Ferrare, R.A.; Hostetler, C.A.; Romanov, A. Automated, unsupervised inversion of multiwavelength lidar data with TiARA: Assessment of retrieval performance of microphysical parameters using simulated data. Appl. Opt. 2019, 58, 4981–5008. [Google Scholar] [CrossRef] [PubMed]
- Donovan, D.P.; Carswell, A.I. Principal component analysis applied to multiwavelength lidar aerosol backscatter and extinction measurements. Appl. Opt. 1997, 36, 9406–9424. [Google Scholar] [CrossRef]
- Whiteman, D.N.; Pérez-Ramírez, D.; Veselovskii, I.; Colarco, P.; Buchard, V. Retrievals of aerosol microphysics from simulations of spaceborne multiwavelength lidar measurements. J. Quant. Spectrosc. Ra 2018, 205, 27–39. [Google Scholar] [CrossRef]
- Shi, Y.F.; Zhang, M.; Ma, Y.Y.; Gong, W.; Chen, S.H.; Jin, S.K.; Liu, B.M. A novel simplified method for surface albedo together with a look-up table to get an 18-year assessment of surface aerosol direct radiative effect in Central and East China. Atmos. Environ. 2020, 243, 117858. [Google Scholar] [CrossRef]
- Lv, M.; Wang, Z.E.; Li, Z.Q.; Luo, T.; Ferrare, R.; Liu, D.; Wu, D.C.; Mao, J.T.; Wan, B.C.; Zhang, F.; et al. Retrieval of Cloud Condensation Nuclei Number Concentration Profiles From Lidar Extinction and Backscatter Data. J. Geophys. Res.-Atmos. 2018, 123, 6082–6098. [Google Scholar] [CrossRef]
- Chemyakin, E.; Müller, D.; Burton, S.; Kolgotin, A.; Hostetler, C.; Ferrare, R. Arrange and average algorithm for the retrieval of aerosol parameters from multiwavelength high-spectral-resolution lidar/Raman lidar data. Appl. Opt. 2014, 53, 7252–7266. [Google Scholar] [CrossRef]
- Wang, N.C.; Xiao, D.; Veselovskii, I.; Wang, Y.; Russell, L.M.; Zhao, C.F.; Guo, J.P.; Li, C.C.; Gross, S.; Liu, X.; et al. This is FAST: Multivariate Full-permutation based Stochastic forest method-improving the retrieval of fine-mode aerosol microphysical properties with multi-wavelength lidar. Remote Sens. Environ. 2022, 280, 113226. [Google Scholar] [CrossRef]
- Llerena, C.; Müller, D.; Adams, R.; Davey, N.; Sun, Y. Estimation of Microphysical Parameters of Atmospheric Pollution Using Machine Learning. Lect. Notes Comput. Sc. 2018, 11139, 579–588. [Google Scholar]
- Ma, Y.Y.; Gong, W. Evaluating the Performance of SVM in Dust Aerosol Discrimination and Testing its Ability in an Extended Area. IEEE J. Sel. Top. Appl. Earth Obs. Remote Sens. 2012, 5, 1849–1858. [Google Scholar] [CrossRef]
- Chang, Y.Y.; Hu, Q.Y.; Goloub, P.; Veselovskii, I.; Podvin, T. Retrieval of Aerosol Microphysical Properties from Multi-Wavelength Mie-Raman Lidar Using Maximum Likelihood Estimation: Algorithm, Performance, and Application. Remote Sens. 2022, 14, 6208. [Google Scholar] [CrossRef]
- Hu, Q.Y.; Wang, H.F.; Goloub, P.; Li, Z.Q.; Veselovskii, I.; Podvin, T.; Li, K.T.; Korenskiy, M. The characterization of Taklamakan dust properties using a multiwavelength Raman polarization lidar in Kashi, China. Atmos. Chem. Phys. 2020, 20, 13817–13834. [Google Scholar] [CrossRef]
- Bohren, C.F.; Huffman, D.R. Absorption and Scattering of Light by Small Particles; John Wiley & Sons: Hoboken, NJ, USA, 2008. [Google Scholar]
- Mishchenko, M.I.; Travis, L.D.; Lacis, A.A. Scattering, Absorption, and Emission of Light by Small Particles; Cambridge University Press: Cambridge, UK, 2002. [Google Scholar]
- Knobelspiesse, K.; Cairns, B.; Mishchenko, M.; Chowdhary, J.; Tsigaridis, K.; van Diedenhoven, B.; Martin, W.; Ottaviani, M.; Alexandrov, M. Analysis of fine-mode aerosol retrieval capabilities by different passive remote sensing instrument designs. Opt. Express 2012, 20, 21457–21484. [Google Scholar] [CrossRef]
- Ansmann, A.; Müller, D. Lidar and atmospheric aerosol particles. In Lidar: Range-Resolved Optical Remote Sensing of the Atmosphere; Springer: Berlin/Heidelberg, Germany, 2005; pp. 105–141. [Google Scholar]
- Schuster, G.L.; Dubovik, O.; Holben, B.N. Angstrom exponent and bimodal aerosol size distributions. J. Geophys. Res.-Atmos. 2006, 111, D07207. [Google Scholar] [CrossRef]
- Dubovik, O.; Holben, B.; Eck, T.F.; Smirnov, A.; Kaufman, Y.J.; King, M.D.; Tanré, D.; Slutsker, I. Variability of absorption and optical properties of key aerosol types observed in worldwide locations. J. Atmos. Sci. 2002, 59, 590–608. [Google Scholar] [CrossRef]
- Tian, P.F.; Yu, Z.R.; Cui, C.; Huang, J.P.; Kang, C.L.; Shi, J.S.; Cao, X.J.; Zhang, L. Atmospheric aerosol size distribution impacts radiative effects over the Himalayas via modulating aerosol single-scattering albedo. Npj Clim. Atmos. Sci. 2023, 6, 54. [Google Scholar] [CrossRef]
- McRoberts, R.E.; Tomppo, E.O.; Finley, A.O.; Heikkinen, J. Estimating areal means and variances of forest attributes using the k-Nearest Neighbors technique and satellite imagery. Remote Sens. Environ. 2007, 111, 466–480. [Google Scholar] [CrossRef]
- De Maesschalck, R.; Jouan-Rimbaud, D.; Massart, D.L. The Mahalanobis distance. Chemom. Intell. Lab. 2000, 50, 1–18. [Google Scholar] [CrossRef]
- Chen, W.T.; Li, X.J.; Wang, Y.X.; Chen, G.; Liu, S.W. Forested landslide detection using LiDAR data and the random forest algorithm: A case study of the Three Gorges, China. Remote Sens. Environ. 2014, 152, 291–301. [Google Scholar] [CrossRef]
- Breiman, L. Bagging predictors. Mach. Learn. 1996, 24, 123–140. [Google Scholar] [CrossRef]
- Richards, S.J. A Hermite-spline model of post-retirement mortality. Scand. Actuar. J. 2020, 2020, 110–127. [Google Scholar] [CrossRef]
- Hair, J.W.; Hostetler, C.A.; Cook, A.L.; Harper, D.B.; Ferrare, R.A.; Mack, T.L.; Welch, W.; Izquierdo, L.R.; Hovis, F.E. Airborne High Spectral Resolution Lidar for profiling aerosol optical properties. Appl. Opt. 2008, 47, 6734–6752. [Google Scholar] [CrossRef]
- Fernald, F.G. Analysis of Atmospheric Lidar Observations—Some Comments. Appl. Opt. 1984, 23, 652–653. [Google Scholar] [CrossRef]
- Shipley, S.T.; Tracy, D.H.; Eloranta, E.W.; Trauger, J.T.; Sroga, J.T.; Roesler, F.L.; Weinman, J.A. High Spectral Resolution Lidar to Measure Optical-Scattering Properties of Atmospheric Aerosols. 1: Theory and Instrumentation. Appl. Opt. 1983, 22, 3716–3724. [Google Scholar] [CrossRef]
- Kolgotin, A.; Müller, D.; Chemyakin, E.; Romanov, A. Improved identification of the solution space of aerosol microphysical properties derived from the inversion of profiles of lidar optical data, part 1: Theory. Appl. Opt. 2016, 55, 9839–9849. [Google Scholar] [CrossRef]
- Pérez-Ramírez, D.; Whiteman, D.N.; Veselovskii, I.; Colarco, P.; Korenski, M.; da Silva, A. Retrievals of aerosol single scattering albedo by multiwavelength lidar measurements: Evaluations with NASA Langley HSRL-2 during discover-AQ field campaigns. Remote Sens. Environ. 2019, 222, 144–164. [Google Scholar] [CrossRef]
- Zieger, P.; Weingartner, E.; Henzing, J.; Moerman, M.; de Leeuw, G.; Mikkilä, J.; Ehn, M.; Petäjä, T.; Clémer, K.; van Roozendael, M.; et al. Comparison of ambient aerosol extinction coefficients obtained from in-situ, MAX-DOAS and LIDAR measurements at Cabauw. Atmos. Chem. Phys. 2011, 11, 2603–2624. [Google Scholar] [CrossRef]
- Diskin, G.S.; Podolske, J.R.; Sachse, G.W.; Slate, T.A. Open-path airborne tunable diode laser hygrometer. In Diode Lasers and Applications in Atmospheric Sensing; SPIE: Bellingham, WA, USA, 2002; Volume 4817, pp. 196–204. [Google Scholar]
- Chemyakin, E.; Burton, S.; Kolgotin, A.; Müller, D.; Hostetler, C.; Ferrare, R. Retrieval of aerosol parameters from multiwavelength lidar: Investigation of the underlying inverse mathematical problem. Appl. Opt. 2016, 55, 2188–2202. [Google Scholar] [CrossRef] [PubMed]
- Dekking, F.M.; Kraaikamp, C.; Lopuhaä, H.P.; Meester, L.E. A Modern Introduction to Probability and Statistics. In Springer Texts in Statistics; Springer London: London, UK, 2005. [Google Scholar]
- Pérez-Ramírez, D.; Whiteman, D.N.; Veselovskii, I.; Kolgotin, A.; Korenskiy, M.; Alados-Arboledas, L. Effects of systematic and random errors on the retrieval of particle microphysical properties from multiwavelength lidar measurements using inversion with regularization. Atmos. Meas. Tech. 2013, 6, 3039–3054. [Google Scholar] [CrossRef]
- Pérez-Ramírez, D.; Whiteman, D.N.; Veselovskii, I.; Korenski, M.; Colarco, P.R.; da Silva, A.M. Optimized profile retrievals of aerosol microphysical properties from simulated spaceborne multiwavelength Lidar. J. Quant. Spectrosc. Ra 2020, 246, 106932. [Google Scholar] [CrossRef]
- Hintze, J.L.; Nelson, R.D. Violin plots: A box plot-density trace synergism. Am. Stat. 1998, 52, 181–184. [Google Scholar] [CrossRef]















| Parameter | Values | Interval |
|---|---|---|
| 1.30–1.70 | 0.02 | |
| 0.00–0.05 | 0.001 | |
| 0.38–0.50 | 0.01 | |
| (nm) | 50–500 | 10 |
| Category | Parameter | Values |
|---|---|---|
| Grid | 1.3, 1.4, 1.5, 1.6 | |
| 0.001, 0.005, 0.01, 0.015, 0.020, 0.025, 0.035, 0.050 | ||
| lnσ | 0.40 | |
| (nm) | 70, 100, 140, 180, 240, 300 | |
| Non-grid | 1.35, 1.45, 1.55, 1.65 | |
| 0.001, 0.005, 0.01, 0.015, 0.020, 0.025, 0.035, 0.050 | ||
| 0.40 | ||
| (nm) | 75, 100, 140, 180, 225, 300 |
| Spiral Points | Site1 | Site2 | Site3 | Site4 | Site5 | Site6 |
|---|---|---|---|---|---|---|
| Latitude (°) | 35.35 | 36.03 | 36.32 | 36.17 | 36.62 | 36.76 |
| Longitude (°) | −118.98 | −119.03 | −119.67 | −120.10 | −120.40 | −119.78 |
Disclaimer/Publisher’s Note: The statements, opinions and data contained in all publications are solely those of the individual author(s) and contributor(s) and not of MDPI and/or the editor(s). MDPI and/or the editor(s) disclaim responsibility for any injury to people or property resulting from any ideas, methods, instructions or products referred to in the content. |
© 2024 by the authors. Licensee MDPI, Basel, Switzerland. This article is an open access article distributed under the terms and conditions of the Creative Commons Attribution (CC BY) license (https://creativecommons.org/licenses/by/4.0/).
Share and Cite
Zhou, Z.; Ma, Y.; Yin, Z.; Hu, Q.; Veselovskii, I.; Müller, D.; Gong, W. A Modified Look-Up Table Based Algorithm with a Self-Posed Scheme for Fine-Mode Aerosol Microphysical Properties Inversion by Multi-Wavelength Lidar. Remote Sens. 2024, 16, 2265. https://doi.org/10.3390/rs16132265
Zhou Z, Ma Y, Yin Z, Hu Q, Veselovskii I, Müller D, Gong W. A Modified Look-Up Table Based Algorithm with a Self-Posed Scheme for Fine-Mode Aerosol Microphysical Properties Inversion by Multi-Wavelength Lidar. Remote Sensing. 2024; 16(13):2265. https://doi.org/10.3390/rs16132265
Chicago/Turabian StyleZhou, Zeyu, Yingying Ma, Zhenping Yin, Qiaoyun Hu, Igor Veselovskii, Detlef Müller, and Wei Gong. 2024. "A Modified Look-Up Table Based Algorithm with a Self-Posed Scheme for Fine-Mode Aerosol Microphysical Properties Inversion by Multi-Wavelength Lidar" Remote Sensing 16, no. 13: 2265. https://doi.org/10.3390/rs16132265
APA StyleZhou, Z., Ma, Y., Yin, Z., Hu, Q., Veselovskii, I., Müller, D., & Gong, W. (2024). A Modified Look-Up Table Based Algorithm with a Self-Posed Scheme for Fine-Mode Aerosol Microphysical Properties Inversion by Multi-Wavelength Lidar. Remote Sensing, 16(13), 2265. https://doi.org/10.3390/rs16132265

