An Angle Effect Correction Method for High-Resolution Satellite Side-View Imaging Data to Improve Crop Monitoring Accuracy
Abstract
1. Introduction
2. Materials
2.1. Study Area and Field Measurements
2.2. Jilin-1 GP01/02 Data
2.3. MODIS Data
3. Methods
3.1. RTLSR BRDF Model
3.2. MODIS-Based Parameters Method
3.3. AFX Method
3.4. VJB BRDF Method
3.5. Fixed Parameters Method
3.6. Development of the Fixed-Jilin-1 Method
3.7. Vegetation Index Calculation Method
4. Results
4.1. Jilin-1 GP01/02 PMS Angle Effect Correction Validation
4.2. Crop Parameters Retrieval Validation
4.2.1. LAI Retrieval Validation
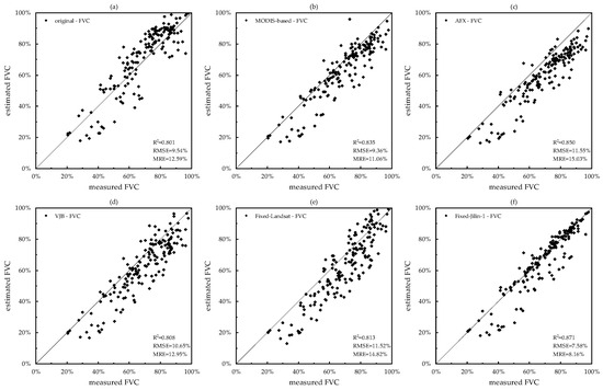
4.2.2. FVC Retrieval Validation
4.2.3. Chlorophyll Retrieval Validation
5. Discussion
5.1. Novelty of the Fixed-Jilin-1 Angle Effect Correction Method
5.2. Impact of Angle Effect Correction on Vegetation Parameters Retrieval
6. Conclusions
Author Contributions
Funding
Data Availability Statement
Acknowledgments
Conflicts of Interest
References
- Moran, M.S.; Inoue, Y.; Barnes, E.M. Opportunities and limitations for image-based remote sensing in precision crop management. Remote Sens. Environ. 1997, 61, 319–346. [Google Scholar] [CrossRef]
- Zhang, N.; Wang, M.; Wang, N. Precision agriculture—A worldwide overview. Comput. Electron. Agric. 2002, 36, 113–132. [Google Scholar] [CrossRef]
- Sishodia, R.P.; Ray, R.L.; Singh, S.K. Applications of Remote Sensing in Precision Agriculture: A Review. Remote Sens. 2020, 12, 3136. [Google Scholar] [CrossRef]
- Atzberger, C. Advances in Remote Sensing of Agriculture: Context Description, Existing Operational Monitoring Systems and Major Information Needs. Remote Sens. 2013, 5, 949–981. [Google Scholar] [CrossRef]
- Revill, A.; Myrgiotis, V.; Florence, A.; Hoad, S.; Williams, M. Combining Process Modelling and LAI Observations to Diagnose Winter Wheat Nitrogen Status and Forecast Yield. Agronomy 2021, 11, 314. [Google Scholar] [CrossRef]
- Xie, Q.; Dash, J.; Huete, A.; Jiang, A.; Yin, G.; Ding, Y.; Peng, D.; Hall, C.C.; Brown, L.; Shi, Y.; et al. Retrieval of crop biophysical parameters from Sentinel-2 remote sensing imagery. Int. J. Appl. Earth Obs. Geoinf. 2019, 80, 187–195. [Google Scholar] [CrossRef]
- Jiménez-Berni, J.A.; Zarco-Tejada, P.J.; Suárez, L.; Fereres, E. Thermal and Narrowband Multispectral Remote Sensing for Vegetation Monitoring From an Unmanned Aerial Vehicle. IEEE Trans. Geosci. Remote Sens. 2009, 47, 722–738. [Google Scholar] [CrossRef]
- Houborg, R.; McCabe, M. High-Resolution NDVI from Planet’s Constellation of Earth Observing Nano-Satellites: A New Data Source for Precision Agriculture. Remote Sens. 2016, 8, 768. [Google Scholar] [CrossRef]
- Revel, C.; Lonjou, V.; Marcq, S.; Desjardins, C.; Fougnie, B.; Luche, C.C.-D.; Guilleminot, N.; Lacamp, A.-S.; Lourme, E.; Miquel, C.; et al. Sentinel-2A and 2B absolute calibration monitoring. Eur. J. Remote Sens. 2019, 52, 122–137. [Google Scholar] [CrossRef]
- Irons, J.R.; Dwyer, J.L.; Barsi, J.A. The next Landsat satellite: The Landsat data continuity mission. Remote Sens. Environ. 2012, 122, 11–21. [Google Scholar] [CrossRef]
- Ranson, K.J.; Biehl, L.L.; Bauer, M.E. Sun-view angle studies of corn and soybean canopies in support of vegetation canopy reflectance modeling. In AGRISTARS Annual Technical Summary, Report Prepared Undercontract NAS9-16528; Purdue University: West Lafayette, IN, USA, 1983; pp. 95–116. [Google Scholar]
- Roujean, J.L.; Leroy, M.; Deschanps, P.Y. A bidirectional reflectance model of the Earth’s surface for the correction of remote sensing data. J. Geophys. Res. Atmos. 1992, 972, 20455–20468. [Google Scholar] [CrossRef]
- Jiao, Z.; Zhang, H.; Dong, Y.; Liu, Q.; Xiao, Q.; Li, X. An Algorithm for Retrieval of Surface Albedo From Small View-Angle Airborne Observations Through the Use of BRDF Archetypes as Prior Knowledge. IEEE J. Sel. Top. Appl. Earth Obs. Remote Sens. 2015, 8, 3279–3293. [Google Scholar] [CrossRef]
- Leigh, L.M.; Mishra, N.; Haque, M.O.; Aaron, D.; Markham, B. Radiomeric cross calibration of Landsat 8 Operatinal Land Imager. Remote Sens. 2014, 6, 12619–12638. [Google Scholar]
- He, T.; Liang, S.; Wang, D.; Cao, Y.; Gao, F.; Yu, Y.; Feng, M. Evaluating land surface albedo estimation from Landsat MSS, TM, ETM +, and OLI data based on the unified direct estimation approach. Remote Sens. Environ. 2018, 204, 181–196. [Google Scholar] [CrossRef]
- Sun, Y.; Wang, B.; Teng, S.; Liu, B.; Zhang, Z.; Li, Y. Continuity of Top-of-Atmosphere, Surface, and Nadir BRDF-Adjusted Reflectance and NDVI between Landsat-8 and Landsat-9 OLI over China Landscape. Remote Sens. 2023, 15, 4948. [Google Scholar] [CrossRef]
- Roy, D.P.; Li, J.; Zhang, H.K.; Yan, L.; Huang, H.; Li, Z. Examination of Sentinel-2A multi-spectral instrument (MSI) reflectance anisotropy and the suitability of a general method to normalize MSI reflectance to nadir BRDF adjusted reflectance. Remote Sens. Environ. 2017, 199, 25–38. [Google Scholar] [CrossRef]
- Roy, D.; Li, Z.; Zhang, H. Adjustment of Sentinel-2 Multi-Spectral Instrument (MSI) Red-Edge Band Reflectance to Nadir BRDF Adjusted Reflectance (NBAR) and Quantification of Red-Edge Band BRDF Effects. Remote Sens. 2017, 9, 1325. [Google Scholar] [CrossRef]
- Liu, L.; Gao, H.; Pan, Z.; Qian, Y.; Han, Q.; Zhang, X.; Shi, T. Satellite-based time series calibration of GF-1 WFV sensors for large view zenith angle observations. Int. J. Remote Sens. 2018, 39, 8293–8316. [Google Scholar] [CrossRef]
- Jiang, H.; Jia, K.; Wang, Q.; Shang, J.; Liu, J.; Xie, X.; Dong, T. Angular Effect Correction for Improved LAI and FVC Retrieval Using GF-1 Wide Field View Data. IEEE Trans. Geosci. Remote Sens. 2023, 61, 1–14. [Google Scholar] [CrossRef]
- Lu, J.; He, T.; Liang, S.; Zhang, Y. An Automatic Radiometric Cross-Calibration Method for Wide-Angle Medium-Resolution Multispectral Satellite Senso Using Landsat Data. IEEE Trans. Geosci. Remote Sens. 2022, 60, 5604011. [Google Scholar] [CrossRef]
- Claverie, M.; Vermote, E.; Franch, B.; He, T.; Hagolle, O.; Kadiri, M.; Masek, J. Evaluation of Medium Spatial Resolution BRDF-Adjustment Techniques Using Multi-Angular SPOT4 (Take5) Acquisitions. Remote Sens. 2015, 7, 12057–12075. [Google Scholar] [CrossRef]
- Roy, D.P.; Zhang, H.K.; Ju, J.; Gomez-Dans, J.L.; Lewis, P.E.; Schaaf, C.B.; Sun, Q.; Li, J.; Huang, H.; Kovalskyy, V. A general method to normalize Landsat reflectance data to nadir BRDF adjusted reflectance. Remote Sens. Environ. 2016, 176, 255–271. [Google Scholar] [CrossRef]
- Vermote, E.; Justice, C.O.; Breon, F.M. Towards a Generalized Approach for Correction of the BRDF Effect in MODIS Directional Reflectances. IEEE Trans. Geosci. Remote Sens. 2009, 47, 898–908. [Google Scholar] [CrossRef]
- Bréon, F.-M.; Vermote, E. Correction of MODIS surface reflectance time series for BRDF effects. Remote Sens. Environ. 2012, 125, 1–9. [Google Scholar] [CrossRef]
- Jiao, Z.; Hill, M.J.; Schaaf, C.B.; Zhang, H.; Wang, Z.; Li, X. An Anisotropic Flat Index (AFX) to derive BRDF archetypes from MODIS. Remote Sens. Environ. 2014, 141, 168–187. [Google Scholar] [CrossRef]
- Delegido, J.; Verrelst, J.; Rivera, J.P.; Ruiz-Verdú, A.; Moreno, J. Brown and green LAI mapping through spectral indices. Int. J. Appl. Earth Obs. Geoinf. 2015, 35, 350–358. [Google Scholar] [CrossRef]
- Fang, H.; Baret, F.; Plummer, S.; Schaepman-Strub, G. An Overview of Global Leaf Area Index (LAI): Methods, Products, Validation, and Applications. Rev. Geophys. 2019, 57, 739–799. [Google Scholar] [CrossRef]
- Kimm, H.; Guan, K.; Jiang, C.; Peng, B.; Luo, Y. Deriving high-spatiotemporal-resolution leaf area index for agroecosystems in the U.S. Corn Belt using Planet Labs CubeSat and STAIR fusion data. Remote Sens. Environ. 2020, 239, 111615. [Google Scholar] [CrossRef]
- Villa, P.; Vecchia, A.D.; Piaser, E.; Bolpagni, R. Assessing PROSPECT performance on aquatic plant leaves. Remote Sens. Environ. 2024, 301, 113926. [Google Scholar] [CrossRef]
- Gitelson, A.A.; Viña, A.; Arkebauer, T.J.; Rundquist, D.C.; Keydan, G.; Leavitt, B. Remote estimation of leaf area index and green leaf biomass in maize canopies. Geophys. Res. Lett. 2003, 30, 1248. [Google Scholar] [CrossRef]
- Liu, S.; Zeng, W.; Wu, L.; Lei, G.; Chen, H.; Gaiser, T.; Srivastava, A.K. Simulating the Leaf Area Index of Rice from Multispectral Images. Remote Sens. 2021, 13, 3663. [Google Scholar] [CrossRef]
- Glenn, E.P.; Huete, A.R.; Nagler, P.L.; Nelson, S.G. Relationship between remotely-sensed vegetation indices, canopy attributes and plant physiological processes What vegetation indices can and cannot tell us about the landscape. Sensors 2008, 8, 2136–2160. [Google Scholar] [CrossRef] [PubMed]
- Ma, Y.; Zhang, Q.; Yi, X.; Ma, L.; Zhang, L.; Huang, C.; Zhang, Z.; Lv, X. Estimation of Cotton Leaf Area Index (LAI) Based on Spectral Transformation and Vegetation Index. Remote Sens. 2021, 14, 136. [Google Scholar] [CrossRef]
- Yang, S.; Huang, S.; Bai, Y.; Jia, Y.; Ba, Q.; Tian, S.; Zhong, X. On-orbit absolute radiometric calibration for the Multi-Spectral Imager of Jilin-1/GP02 based on multiple stable targets. Remote Sens. Technol. Appl. 2023, 38, 803–815. [Google Scholar] [CrossRef]
- Yibo, D.; Ruifei, Z.; Jialong, G.; Dong, W.; Zhong, X. Retrieval of crop Leaf Area Index based on Jilin-1GP image. Remote Sens. Technol. Appl. 2023, 38, 816–826. [Google Scholar]
- Cerovic, Z.G.; Moise, N.; Agati, G.; Latouche, G.; Ghozlen, N.B.; Meyer, S. New portable optical sensors for the assessment of winegrape phenolic maturity based on berry fluorescence. J. Food Compos. Anal. 2008, 21, 650–654. [Google Scholar] [CrossRef]
- Jia, K.; Liang, S.; Gu, X.; Baret, F.; Wei, X.; Wang, X.; Yao, Y.; Yang, L.; Li, Y. Fractional vegetation cover estimation algorithm for Chinese GF-1 wide field view data. Remote Sens. Environ. 2016, 177, 184–191. [Google Scholar] [CrossRef]
- Nicodemus, F.E.; Richmond, J.C.; Hsia, J.J.; Ginsberg, I.W.; Limperis, T. Geometrical Considerations and Nomenclature for Reflectance; National Bureau of Standards, US Department of Commerce: Washington, DC, USA, 1977.
- Schläpfer, D.; Richter, R.; Feingersh, T. Operational BRDF Effects Correction for Wide-Field-of-View Optical Scanners (BREFCOR). IEEE Trans. Geosci. Remote Sens. 2014, 53, 1855–1964. [Google Scholar] [CrossRef]
- Schaaf, C.B.; Gao, F.; Strahler, A.H.; Lucht, W.; Li, X.; Tsang, T.; Strugnell, N.C.; Zhang, X.; Jin, Y.; Muller, J.P. First operational BRDF, albedo nadir reflectance products from MODIS. Remote Sens. Environ. 2002, 83, 135–148. [Google Scholar] [CrossRef]
- Wanner, W.; Ah, S.; Li, X. On the derivation of kernels for kernel-driven models of bidirectional reflectance. J. Geophys. Res. Biogeosci. 1995, 100, 21077–21089. [Google Scholar] [CrossRef]
- Zhang, H.; Jiao, Z.; Dong, Y.; Li, X. Evaluation of BRDF Archetypes for Representing Surface Reflectance Anisotropy Using MODIS BRDF Data. Remote Sens. 2015, 7, 7826–7845. [Google Scholar] [CrossRef]
- Jordan, C.F. Derivation of Leaf-Area Index from Quality of Light on the Forest Floor. Ecology 1969, 50, 663–666. [Google Scholar] [CrossRef]
- Rouse, J.; Haas, R.; Schell, J.; Deering, D. Monitoring vegetation systems in the great plains with ERTS. In R. Monitoring Vegetation Systems in the Great Plains with ERTS[C]//Third NASA Earth Resources Technology Satellite Symposium; NASA Goddard Space Flight Center 3d ERTS-1 Symp., Vol. 1, Sect. A; NASA Goddard Space Flight Center: Greenbelt, MD, USA, 1973; pp. 309–317. Available online: https://ntrs.nasa.gov/citations/19740022614 (accessed on 14 May 2024).
- Gitelson, A.; Merzlyak, M.N. Spectral reflectance changes associated with autumn senescence of Aesculus hippocastanum L. and Acer platanoides L. Leaves. Spectral features and relation to chlorophyll estimation. J. Plant Physiol. 1994, 143, 286–292. [Google Scholar] [CrossRef]
- Jiang, Z.; Huete, A.; Didan, K.; Miura, T. Development of a two-band enhanced vegetation index without a blue band. Remote Sens. Environ. 2008, 112, 3833–3845. [Google Scholar] [CrossRef]
- Qi, J.; Chehbouni, A.; Huete, A.R.; Kerr, Y.H.; Sorooshian, S. A Modified Soil Adjusted Vegetation Index. Remote Sens. Environ. 1994, 48, 119–126. [Google Scholar] [CrossRef]
- Haboudane, D.; Miller, J.R.; Pattey, E.; Zarco-Tejada, P.J.; Strachan, I.B. Hyperspectral vegetation indices and novel algorithms for predicting green LAI of crop canopies: Modeling and validation in the context of precision agriculture. Remote Sens. Environ. 2004, 90, 337–352. [Google Scholar] [CrossRef]
- Gao, F.; He, T.; Masek, J.G.; Shuai, Y.; Schaaf, C.B.; Wang, Z. Angular Effects and Correction for Medium Resolution Sensors to Support Crop Monitoring. IEEE J. Sel. Top. Appl. Earth Obs. Remote Sens. 2014, 7, 4480–4489. [Google Scholar] [CrossRef]










| Sites | Crop Type | Time | Crop Growing Season | Number of Survey Points |
|---|---|---|---|---|
| Hangjin Rear Banner | Corn, Sunflower | 17 July 2021–18 July 2021 | Flowering Period | 22 |
| Urat Front Banner | Corn, Sunflower | 19 July 2021–20 July 2021 20 August 2021–22 August 2021 | Flowering Period Grouting Period | 10 15 |
| Zhenglan Banner | Corn, Sunflower | 09 September 2021–11 September 2021 | Grouting Period | 22 |
| Horqin Right Front Banner | Corn, Rice | 15 September 2021–18 September 2021 | Ripe Period | 56 |
| Band | Spectral Range (nm) | Spatial Resolution (m) |
|---|---|---|
| B0 | 450–800 | 5 |
| B1 | 403–423 | 5 |
| B2 | 433–453 | 5 |
| B3 | 450–515 | 5 |
| B4 | 525–600 | 5 |
| B5 | 630–680 | 5 |
| B6 | 784.5–899.5 | 5 |
| B7 | 485–495 | 10 |
| B8 | 615–625 | 10 |
| B9 | 650–680 | 10 |
| B10 | 698.75–718.75 | 10 |
| B11 | 732.5–747.5 | 10 |
| B12 | 773–793 | 10 |
| B13 | 855–875 | 20 |
| B14 | 660–670 | 20 |
| B15 | 677.5–685 | 20 |
| B16 | 750–757.5 | 20 |
| B17 | 758.75–762.75 | 20 |
| B18 | 935–955 | 20 |
| B19 | 1000–1040 | 20 |
| Date | Sensors | Solar Zenith Angle | View Zenith Angle | Relative Azimuth Angle |
|---|---|---|---|---|
| 18/07/2021 | Jilin-1 GP01 PMS2 | 20.33° | 7.93° | 19.73° |
| 19/07/2021 | Jilin-1 GP01 PMS1 | 20.06° | 16.12° | 56.17° |
| 19/08/2021 | Jilin-1 GP02 PMS2 | 28.31° | 17.49° | 57.41° |
| 08/09/2021 | Jilin-1 GP02 PMS1 | 36.53° | 23.85° | 66.24° |
| 11/09/2021 | Jilin-1 GP01 PMS1 | 37.73° | 8.27° | 21.20° |
| 17/09/2021 | Jilin-1 GP02 PMS2 | 44.58° | 10.16° | 43.51° |
| Band | Archetype Number | AFX Range | |||
|---|---|---|---|---|---|
| Green | 1 | (0.381, 0.714) | 0.5 | 0.0519 | 0.1384 |
| 2 | (0.714, 0.834) | 0.5 | 0.1906 | 0.1055 | |
| 3 | (0.834, 0.920) | 0.5 | 0.2700 | 0.0806 | |
| 4 | (0.920, 1.012) | 0.5 | 0.3240 | 0.0587 | |
| 5 | (1.012, 1.160) | 0.5 | 0.4337 | 0.0329 | |
| 6 | (1.160, 1.717) | 0.5 | 0.7446 | 0.0072 | |
| Red | 1 | (0.382, 0.680) | 0.5 | 0.0288 | 0.1426 |
| 2 | (0.680, 0.795) | 0.5 | 0.1282 | 0.1134 | |
| 3 | (0.795, 0.899) | 0.5 | 0.2029 | 0.0845 | |
| 4 | (0.899, 1.026) | 0.5 | 0.3082 | 0.0585 | |
| 5 | (1.026, 1.240) | 0.5 | 0.4826 | 0.0274 | |
| 6 | (1.240, 1.946) | 0.5 | 1.0859 | 0.0088 | |
| NIR | 1 | (0.541, 0.804) | 0.5 | 0.1218 | 0.1096 |
| 2 | (0.804, 0.896) | 0.5 | 0.2377 | 0.0860 | |
| 3 | (0.896, 0.966) | 0.5 | 0.3135 | 0.0679 | |
| 4 | (0.966, 1.042) | 0.5 | 0.3521 | 0.0477 | |
| 5 | (1.042, 1.142) | 0.5 | 0.4321 | 0.0262 | |
| 6 | (1.142, 1.361) | 0.5 | 0.5657 | 0.0040 |
| Landsat Band | |||
|---|---|---|---|
| 2 Green | 0.1306 | 0.0580 | 0.0178 |
| 3 Red | 0.1690 | 0.0574 | 0.0227 |
| 4 NIR | 0.3093 | 0.1535 | 0.0330 |
| Jilin-1 GP01/02 PMS Band | AFX | |||
|---|---|---|---|---|
| 4 Green | 0.8963 | 0.5 | 0.2700 | 0.0806 |
| 5 Red | 0.8792 | 0.5 | 0.2029 | 0.0845 |
| 6 NIR | 0.9469 | 0.5 | 0.3135 | 0.0679 |
| Vegetation Index | Equation |
|---|---|
| Ratio Vegetation Index (RVI) | |
| Normalized Difference Vegetation Index (NDVI) | |
| Green NDVI (GNDVI) | |
| Green Chlorophyll Vegetation Index (GCVI) | |
| Enhanced Vegetation Index 2 (EVI2) | |
| Modified Soil-Adjusted Vegetation Index (MSAVI) | |
| Modified Triangular Vegetation Index 2 (MTVI2) |
| Crop Parameters | Regression | R2 | RMSE |
|---|---|---|---|
| LAI | 0.84 | 0.73 | |
| FVC | 0.81 | 6.9% | |
| chlorophyll (T850 nm/T720 nm) | 0.85 | 0.15 |
| MODIS-Based | AFX | VJB | Fixed-Landsat | Fixed-Jilin-1 | |||||||
|---|---|---|---|---|---|---|---|---|---|---|---|
| Mean | Std | Mean | Std | Mean | Std | Mean | Std | Mean | Std | ||
| Green | 0.960 | 0.008 | 0.958 | 0.006 | 0.855 | 0.042 | 0.964 | 0.003 | 0.957 | 0.004 | |
| Red | 0.961 | 0.010 | 0.957 | 0.007 | 0.848 | 0.056 | 1.031 | 0.002 | 0.959 | 0.003 | |
| NIR | 0.973 | 0.006 | 0.964 | 0.006 | 0.915 | 0.030 | 0.968 | 0.003 | 0.959 | 0.003 | |
| Green | 0.977 | 0.003 | 0.972 | 0.001 | 0.848 | 0.034 | 0.977 | 0.000 | 0.972 | 0.000 | |
| Red | 0.980 | 0.005 | 0.974 | 0.001 | 0.836 | 0.046 | 1.044 | 0.000 | 0.975 | 0.000 | |
| NIR | 0.978 | 0.004 | 0.973 | 0.001 | 0.913 | 0.035 | 0.978 | 0.000 | 0.972 | 0.000 | |
| Green | 0.955 | 0.012 | 0.949 | 0.010 | 0.909 | 0.033 | 0.964 | 0.000 | 0.956 | 0.000 | |
| Red | 0.954 | 0.015 | 0.943 | 0.022 | 0.901 | 0.045 | 1.061 | 0.001 | 0.961 | 0.000 | |
| NIR | 0.974 | 0.007 | 0.957 | 0.002 | 0.947 | 0.017 | 0.966 | 0.000 | 0.956 | 0.000 | |
| Green | 0.956 | 0.008 | 0.959 | 0.007 | 0.901 | 0.017 | 0.965 | 0.000 | 0.957 | 0.000 | |
| Red | 0.962 | 0.013 | 0.964 | 0.009 | 0.905 | 0.022 | 1.102 | 0.000 | 0.964 | 0.000 | |
| NIR | 0.952 | 0.006 | 0.951 | 0.008 | 0.924 | 0.017 | 0.965 | 0.000 | 0.955 | 0.001 | |
| Green | 0.940 | 0.010 | 0.942 | 0.007 | 0.915 | 0.015 | 0.950 | 0.002 | 0.939 | 0.003 | |
| Red | 0.938 | 0.013 | 0.935 | 0.018 | 0.913 | 0.019 | 1.091 | 0.003 | 0.944 | 0.003 | |
| NIR | 0.961 | 0.007 | 0.945 | 0.006 | 0.942 | 0.019 | 0.955 | 0.002 | 0.941 | 0.003 | |
| Green | 0.928 | 0.015 | 0.940 | 0.009 | 0.925 | 0.015 | 0.951 | 0.006 | 0.939 | 0.007 | |
| Red | 0.923 | 0.016 | 0.942 | 0.009 | 0.921 | 0.016 | 1.124 | 0.006 | 0.945 | 0.006 | |
| NIR | 0.961 | 0.011 | 0.944 | 0.007 | 0.960 | 0.011 | 0.955 | 0.005 | 0.941 | 0.007 | |
Disclaimer/Publisher’s Note: The statements, opinions and data contained in all publications are solely those of the individual author(s) and contributor(s) and not of MDPI and/or the editor(s). MDPI and/or the editor(s) disclaim responsibility for any injury to people or property resulting from any ideas, methods, instructions or products referred to in the content. |
© 2024 by the authors. Licensee MDPI, Basel, Switzerland. This article is an open access article distributed under the terms and conditions of the Creative Commons Attribution (CC BY) license (https://creativecommons.org/licenses/by/4.0/).
Share and Cite
Gong, J.; Zhong, X.; Zhu, R.; Xu, Z.; Wang, D.; Yin, J. An Angle Effect Correction Method for High-Resolution Satellite Side-View Imaging Data to Improve Crop Monitoring Accuracy. Remote Sens. 2024, 16, 2172. https://doi.org/10.3390/rs16122172
Gong J, Zhong X, Zhu R, Xu Z, Wang D, Yin J. An Angle Effect Correction Method for High-Resolution Satellite Side-View Imaging Data to Improve Crop Monitoring Accuracy. Remote Sensing. 2024; 16(12):2172. https://doi.org/10.3390/rs16122172
Chicago/Turabian StyleGong, Jialong, Xing Zhong, Ruifei Zhu, Zhaoxin Xu, Dong Wang, and Jian Yin. 2024. "An Angle Effect Correction Method for High-Resolution Satellite Side-View Imaging Data to Improve Crop Monitoring Accuracy" Remote Sensing 16, no. 12: 2172. https://doi.org/10.3390/rs16122172
APA StyleGong, J., Zhong, X., Zhu, R., Xu, Z., Wang, D., & Yin, J. (2024). An Angle Effect Correction Method for High-Resolution Satellite Side-View Imaging Data to Improve Crop Monitoring Accuracy. Remote Sensing, 16(12), 2172. https://doi.org/10.3390/rs16122172

