Abstract
The traditional receiver employs scalar tracking loops, resulting in degraded navigation performance in weak signal and high dynamic scenarios. An innovative design of a vector tracking receiver based on nonlinear Kalman filter (KF) tracking loops is proposed in this paper, which combines the strengths of both vector tracking and KF-based tracking loops. First, a comprehensive description of the vector tracking receiver model is presented, and unscented Kalman filter (UKF) is applied to nonlinear tracking loop. Second, to enhance the stability and robustness of the KF tracking loop, we introduce square root filtering and an adaptive mechanism. The tracking loop based on square root UKF (SRUKF) can dynamically adjust its filtering parameters based on signal noise and feedback Doppler error. Finally, the proposed method is implemented on a software-defined receiver (SDR), and the field vehicle experiment demonstrates the superiority of this method over other tracking methods in complex dynamic environments.
1. Introduction
Global satellite navigation system (GNSS) has become one of the most widely used navigation systems because of its various advantages, including high precision, all-weather operations, continuous positioning, extensive coverage, convenience, and flexibility [,]. As the demand for navigation performance rises, GNSS will inevitably be affected by the specific application scenario and the movement characteristics of the carrier, such as low carrier-to-noise ratio () environments (e.g., signal blocking and interference), and high dynamic motion [,,,].
GNSS receivers acquire position, velocity, and time (PVT) information by tracking satellite broadcast signals in real time, demodulating navigation messages, and acquiring pseudo-range, Doppler frequency, and other observation information. Therefore, the tracking loop accuracy of the receiver directly determines the PVT accuracy. Traditional GNSS receivers usually adopt scalar tracking loops (STL) to track each satellite independently using individual pre-assigned channels, and the signal processing among each channel is independent of one another. This tracking mode is simple to implement, without interference and pollution between channels []. However, it ignores the inherent correlation of GNSS tracking loops to the receiver’s PVT information, so information cannot be shared between each channel. In contrast, vector tracking loops (VTL) interlink the tracking loops and navigation solutions of diverse channels, facilitating the exchange of information between them, which has been a topic of concern in recent years [,,,]. Compared with the STL, the VTL exploits and makes full use of the redundant information of different satellite signals and the intrinsic coupling between signal tracking and navigation solution. Its advantages include the following factors: (1) with the aid of navigation information, VTL mitigates the dynamic stress on the tracking loop, enhancing the dynamic performance of the receiver; (2) the VTL excels in balancing the correlation of information among receiver signal channels, showcasing superior performance in scenarios involving weak signal tracking and rapid retracking; (3) it also exhibits superior anti-interference performance.
In VTL, each signal channel of the GNSS receiver incorporates a pre-filter to achieve enhanced signal tracking performance. Conventional tracking loops (CTL) based on classical control theory are commonly employed, encompassing phase locking loops (PLL), frequency locking loops (FLL), and delay locking loops (DLL). The characteristics of CTL are determined by noise bandwidth and loop order. Notably, the selection of noise bandwidth involves a delicate trade-off between achieving low noise and maintaining high dynamic performance. Within the VTL, the dynamic stress of the loop filter is significantly alleviated through the incorporation of feedback information, which allows the tracking loop to concentrate exclusively on thermal noise, crystal frequency error, and dynamic residual [,]. Consequently, there is an opportunity to diminish the loop bandwidth, simultaneously improving tracking accuracy. It is important to note, however, that the loop bandwidth remains constrained by crystal frequency errors and feedback errors. In complex environments, signals may be affected by high dynamics, shadows, strong attenuation, multipath effects, or ionospheric scintillation; in these scenarios, the performance of the fixed-bandwidth tracking loop will deteriorate or even become ineffective. Therefore, the adaptive loop tracking (ALT) technology has garnered substantial research attention due to its ability to dynamically adjust the loop bandwidth in response to the varying noise levels encountered in different scenarios [,,]. The contribution of [] derives the Doppler aiding error due to the uncertainty of the navigation error in the GPS/INS ultra-tight integration. It also designs a PLL loop filter whose noise bandwidth can be adaptively adjustable according to the performance of the integrated navigation and the of the GPS signal. In [], the adaptive scalar tracking techniques used by the fast adaptive bandwidth (FAB), the fuzzy logic (FL), and the loop-bandwidth control algorithm (LBCA) are delineated. A meticulous analysis of the tracking performance and time complexity of each method is conducted. These techniques dynamically adjust the loop bandwidth based on predefined discriminant criteria, thereby optimizing tracking performance for different scenarios. However, the adaptability of these adjustments depends on specific discriminant criteria and thresholds.
The Kalman filter (KF), based on optimal estimation theory, has emerged as a viable alternative for dynamically adjusting loop noise bandwidth. It has garnered significant attention in recent years due to its exceptional performance when compared to CTL [,]. The KF-based tracking loops replace CTL by estimating the loop parameters (e.g., carrier phase, Doppler frequency, and code phase) as state variables. Precise process noise covariance Q and measurement noise covariance R enable KF to optimally adjust its gain coefficient in time-varying scenarios to achieve minimum mean square error (MMSE) criterion. Therefore, the real-time estimation and adjustment of Q and R play a crucial role in determining the filtering accuracy for time-varying scenarios. Numerous studies have delved into methods for adjusting KF parameters. Tang et al. [,] analyzed the relationship between the equivalent bandwidth of KF-based tracking loop and noise covariance, subsequently deducing the criteria for parameter setting. In [], variational Bayesian (VB) theory is employed to dynamically estimate the measurement noise matrix, which improves the tracking accuracy in high dynamic scenes. Moreover, the process noise matrix can be adaptively tuned based on the characteristics of the crystal oscillator and receiver dynamics in STL []. However, most of the existing research focuses on STL, and there is a lack of studies exploring the implementation of adaptive KF-based tracking loops in the VTL, which can significantly enhance tracking performance in complex time-varying scenarios.
In addition, according to the different measurement information used, the signal tracking based on KF usually has two forms: one structure uses the output of traditional discriminator as measurement information and is implemented by linear KF; the other structure is measured by coherent integration results and implemented by nonlinear KF. Unfortunately, traditional nonlinear discriminators will cause measurement noise to lose the Gaussian white noise (GWN) property, resulting in suboptimal state estimation in the KF []. To improve the tracking accuracy and dynamic range, the entire discriminator and tracking loop filter are replaced by a nonlinear tracking filter. In this case, the measurement is the outcome of the correlation between the input signal and the local signal, showcasing a nonlinear relationship with the estimated vector. Therefore, the application of a nonlinear filtering method is essential to achieve improved tacking accuracy. Tang et al. [] provides a comprehensive analysis of the practical implementation architecture for tracking loops based on extended Kalman filters (EKF). Zeng et al. [] compared the EKF-based tracking loop of GPS receiver with the CTL, demonstrating that the EKF-based tracking loop excels in both high dynamic and tracking accuracy. Nevertheless, the EKF algorithm is a sub-optimal filtering algorithm based on nonlinear functionalization and adopts approximation or neglect method for higher order terms to solve nonlinear problems []. In the case of strong nonlinearity, it may result in a significant estimation error and even lead to filter divergence.
To address the challenges inherent in the EKF, alternative methods such as the particle filter (PF) and unscented Kalman filter (UKF) have been proposed for nonlinear filtering problems [,]. PF employs random samples to represent the posterior probability distribution of system state variables, overcoming certain limitations of EKF. However, PF necessitates a substantial number of particles to achieve high-precision estimation, which leads to a heavy computational load. This presents a challenge for its implementation in the tracking loop with a high update rate. The UKF is a method for approximating nonlinear distributions using a deterministic sampling strategy, which relies on the Unscented Transform (UT) and maintains the framework of a linear KF. In contrast to PF, the UKF replaces random sampling with deterministic sampling, while maintaining comparable computational complexity to the EKF. However, it exhibits superior performance compared to EKF, rendering it a widely adopted choice for nonlinear filtering [,].
Motivated by the aforementioned research, a vector tracking receiver has been developed that utilizes an adaptive square root UKF (ASRUKF) tracking loops to enhance the precision and robustness of GNSS receivers in complex dynamic environments. The primary contributions of this research are as follows:
- (1)
- A nonlinear tracking loop-based VTL receiver model is designed, and comprehensive details are provided on its implementation. The discriminator and traditional filter in the tracking loop are substituted with the UKF, and the Doppler feedback calculated by the navigation solution is incorporated into the loop filter. It accomplishes not only the loop tracking assistance by Doppler frequency but also establishes indirect connections between each channel, fostering mutual assistance.
- (2)
- To enhance the stability and robustness of the tracking loop in VTL, the square root filter is introduced into UKF. Additionally, the measurement noise covariance R and process noise covariance Q of SRUKF are adjusted adaptively according to the signal C/N0 and feedback Doppler frequency error, respectively. This adaptive adjustment enables real-time modification of the loop noise bandwidth, consequently enhancing the performance of the tracking loop.
- (3)
- The effectiveness of the proposed method was verified through field vehicle experiments. Software-defined receiver (SDR) with different structures were developed to facilitate performance comparison and analysis. The results affirm that the EKF-based VTL offers a significant improvement over the CTL-based STL due to its multi-channel joint tracking, while the ASRUKF-based VTL achieves optimal performance by adaptively adjusting filter parameters based on signal dynamics characteristics.
The structure of this paper is organized as follows. In Section 2, the overall model of the vector tracking receiver is divided into three parts, and each is described in detail. Section 3 describes the design method of tracking loop based on adaptive square root UKF. In Section 4, the proposed VTL architecture is evaluated in a practical scenario and its performance is compared and analyzed within the SDR framework. Eventually, the conclusions and prospects are summarized in Section 5.
2. System Model of Vector Tracking
Generally, a VTL receiver primarily comprises three components: a nonlinear KF-based tracking loop, a navigation solution module, and vector feedback calculation. The structure block diagram is illustrated in Figure 1.
Figure 1.
Structure block diagram of proposed VTL.
The GNSS intermediate frequency (IF) signal is correlated with the local signal to obtain the I/Q components, which are then processed by the loop filter to generate pseudo-range and Doppler frequency information as the measurement of the navigation solution. After the navigation filter estimates the receiver’s PVT information, the satellite line-of-sight (LOS) vector for each channel is calculated by incorporating the satellite ephemeris information. Then, the feedback code phase and Doppler frequency are calculated and combined with the loop filtering results to adjust the local numerically controlled oscillator (NCO), establishing a closed-loop system. The EKF is typically employed in the navigation solution module, resulting in the development of a cascaded vector tracking structure with the nonlinear KF-based tracking loop. The proposed structure not only reduces the update rate of the navigation filter but also mitigates computational complexity and facilitates implementation.
2.1. Nonlinear KF-Based Tracking Loop
Given that the discriminator is substituted with a loop filter, the I/Q information is utilized directly as the measurement for KF. The state vector to be estimated comprises the following components: signal amplitude , code phase error , carrier phase error , carrier frequency error , and carrier frequency rate error . The system model can be formulated as follows:
where the coefficient is utilized to convert the cycles into chips, enabling unit conversion (e.g., for GPS L1: ). The value represent the process noises of the signal amplitude, code phase error, clock bias, clock drift, and frequency rate error, respectively.
The I/Q correlation values serve as the measurement of the filter, expressed in terms of:
The variables IP, IE, and represent the ‘prompt’, ‘early’, and ‘late’ correlation results of the In-phase correlator, respectively. Similarly, , , and represent the corresponding correlation results of the Quadrature-phase correlator.
The expression for the output of loop correlation value I/Q has been formulated:
where is the navigation message, is the autocorrelation function, is the coherence integration time, which represents the duration over which the received signals are integrated to estimate the coherence function. is the correlator interval. For the early, prompt, and late branches, are −1, 0, and +1 respectively. Additionally, and represent zero-mean GWN that is independent of the I/Q branches. The average carrier phase error in the coherent integration time is computed according to the following formula:
Note that the Equation (3) signifies a nonlinear relationship between the measurement and the state vector of the tracking loop.
2.2. Navigation Solution
The VTL employs the EKF instead of the least square (LS) method to fuse pseudo-range and Doppler frequency for calculating the optimal PVT solution. This decision is based on its superior filtering performance and simplified fault detection and isolation capabilities [].
The state vector representing the navigation solution is outlined as follows:
where is the errors vector of position in ECEF coordinate system; is the corresponding velocity errors vector. and refer to the errors associated with clock bias and drift of receiver.
The system adopts the constant velocity model, thus enabling the expression of the discrete state transition matrix of the system as follows:
where represents the navigation filter update time and is a three-dimensional identity matrix.
The measurement of the navigation filter consists of the difference between the calculated and estimated pseudo-range, along with the Doppler frequency for each channel:
The variables and represent the measured pseudo range and Doppler frequency of channel m, respectively, while and denote the estimated pseudo-range and Doppler frequency, respectively.
The matrix representing the transfer of measurements is presented below []:
where, is the LOS vector from the receiver to the m-th satellite, calculation as follows:
where and represent the position vectors of the receiver and the m-th, satellite respectively.
2.3. Vector Feedback Calculation
When the PVT information is estimated by the navigation filter, the carrier and code NCO feedback correction information of each channel can be calculated by combining the satellite ephemeris.
The Doppler frequency estimation of the tracking channel m at time k can be computed as follows:
where and are the receiver velocity and the satellite velocity of the channel m, respectively, while denotes the clock drift at time k. Additionally, corresponds to the carrier frequency (e.g., for GPS L1 ), and signifies the velocity of light (e.g., ).
Combined with the results of the loop filter, the final carrier frequency is:
where is the IF signal of the RF front-end output and represents the total frequency deviation from necessitating channel tracking. and represent the carrier frequency error and carrier frequency rate error of the channel m estimated by the loop filter at time k, respectively.
As indicated by the Equation (11), the error in comprises of Doppler frequency, loop thermal noise, and receiver crystal oscillator errors. Among these factors, the dominant contribution stems from the Doppler frequency error depending on user platform dynamics. With the assistance of Doppler frequency, the dynamic stress experienced by the loop is significantly alleviated. This not only enhances the dynamic performance of the receiver, but also allows the loop filter to further decrease the noise bandwidth, consequently improving tracking accuracy and sensitivity.
Accordingly, the estimation of code frequency can be calculated directly using a carrier Doppler assisted form:
The code phase is computed according to the following procedure:
where is the length of the pseudo-code chip (e.g., for GPS L1 signal: ). represent the code phase error of the channel m estimated by the loop filter at time k.
Furthermore, following the completion of the NCO update, the state vector is reset to zero, thereby initiating the subsequent cycle’s state estimation process.
3. Proposed Adaptive SRUKF-Based Loop Tracking
The accuracy of loop tracking serves as the fundamental determinant of receiver PVT performance. Consequently, this research primarily focuses on investigating the characteristics and optimization techniques associated with the tracking loop filter.
The tracking loop filter can be represented by a nonlinear state space model:
where denotes the state vector and is the measurement vector, while and are nonlinear functions of the system and measurement model, respectively. The vectors and correspond to process noise and measurement noise with zero-mean and covariance and , respectively.
3.1. Square Root Unscented Kalman Filter
The UKF utilizes sigma points to approximate the functional probability density distribution, thereby facilitating nonlinear filtering. However, the necessity of calculating sigma points at each update, which involves taking the square root of the state covariance matrix, can lead to issues such as computational burden and numerical instability. By integrating the concept of square root filtering within the UKF framework, it is possible to reduce computational complexity and enhance efficiency. This is achieved through direct recursion updating in the form of the square root of the covariance matrix. Moreover, this approach guarantees the non-negativity of the covariance matrix, effectively prevents filter divergence, and fosters the convergence speed and numerical stability of the filter [].
The Square Root Unscented Kalman Filter (SRUKF) utilizes QR decomposition and Cholesky factor update techniques to replace the covariance matrix with its square root value, thereby enhancing the efficiency of the filtering iteration. The specific procedural steps are delineated in Algorithm 1.
| Algorithm 1 SRUKF algorithm for tracking loop |
| Initialization: |
| for k = 1: end |
| Calculate sigma point: |
| Time update: |
| Calculate the sigma points again, and measurement update: |
| Filter update: |
| end |
3.2. Adaptive SRUKF-Based Loop Tracking for Vector Tracking
Inaccurate and constant noise parameters can lead to imprecise estimation of filter states and, in some cases, even result in divergence. Consequently, adaptive mechanisms are frequently employed to dynamically adjust parameters in real time based on external information, thereby achieving optimal state estimation in time-varying scenarios.
First, the covariance of measurement noise in ‘prompt’ correlator is influenced by factors such as the , coherence integration time , and signal power . The calculation equation was demonstrated in []:
where and can be referred to the description in the Equation (3). The signal power is denoted as , while the is expressed in units of dBHz. The narrowband broadband power ratio method (NWPR) is employed in this research for calculating the due to its superior estimation performance when dealing with weak signals [].
In addition, the noise covariance of the ‘early’ and ‘late’ branches is calculated as follows:
Thus, corresponding to Equation (2), the measurement noise covariance matrix of the loop filter is represented as a diagonal matrix in the following form:
However, the determination of dynamic stress in the tracking loop solely based on is insufficient. Therefore, this research also considers adaptive adjustment of process noise covariance , which can be modified based on estimated Doppler frequency error resulting from the uncertainty of the navigation solution. Essentially, the imprecision of navigation error reflects the dynamics of the tracking loop, resulting in inherent uncertainty in the state equation.
Primarily, in accordance with Equation (10), the uncertainty of the estimated Doppler frequency is determined through the examination of the state covariance during the navigation solution process.
where and represent the noise covariance matrices associated with the clock drift and velocity components, respectively.
Subsequently, the process noise covariance matrix of the loop filter is adjusted adaptively based on the Doppler frequency error covariance and thereby effectively regulate the loop noise bandwidth:
where signifies the initial value of state noise covariance, with the setting criteria available in reference []. Additionally, represents the additional process noise covariance resulting from the uncertainty associated with navigation errors.
where represents the scale factor governing the conversion from Doppler frequency error to process noise covariance, while is the identity matrix of the same dimension as . It is worth noting that determines the sensitivity of the matrix with respect to the Doppler frequency error. Therefore, compared with a constant , a time-varying enables more rational adjustment of the process noise covariance with different []:
It can be seen that the scale factor is inversely proportional to the . The sensitivity of the Doppler frequency error can be appropriately reduced when the is high, while a decrease in results in heightened sensitivity.
4. Experimental Evaluation and Results
4.1. Overall Description
To assess the efficacy of the proposed methodology, a GNSS constellation simulator and a practical vehicle experiment were conducted. Moreover, the MATLAB-based GPS L1 SDR was used to evaluate the performance of various methods. Four distinct SDR architectures implemented in this research are briefly depicted in Figure 2, which include:
Figure 2.
Different SDR architectures implemented in this research.
Scheme 1: Scalar tracking receivers based on conventional tracking loops (CTL-based STL);
Scheme 2: Vector tracking receiver based on EKF loop filter (EKF-based VTL);
Scheme 3: Vector tracking receiver based on SRUKF loop filter (UKF-based VTL);
Scheme 4: Vector tracking receiver based on ASRUKF loop filter (ASRUKF-based VTL).
To evaluate the performance of the different tracking methods, other factors are kept the same to obtain valid and equitable comparison results. All the schemes use the same EKF-based navigation solution method, and the update frequency remains consistent. Specifically, we adopt the parameter tuning scheme of navigation filter proposed in research []. The remaining parameter settings are provided in Table 1.
Table 1.
Parameter settings of comparison scheme.
4.2. Theoretical Evaluation and Analysis
The GNSS constellation simulator is employed to generate IF digital signals for the simulation experiment, with an IF signal frequency of 9.548 MHz and a sampling rate of 38.192 MHz.
The simulation experiment scenario includes both signal attenuation and carrier motion. The vehicle motion is summarized in Table 2. The of signal strength was initially set to 50 dB-Hz and maintained at this level for 20 s. Subsequently, the signal strength was gradually reduced by 5 dB every 10 s until it reached a level of 30 dB-Hz, which was then maintained for a duration of 20 s. Finally, the signal strength was incrementally restored by 5 dB every 10 s until it returned to its original level of 50 dB-Hz. The signal variation remains consistent across all channels. The diagram in Figure 3 illustrates the phenomenon of signal attenuation and carrier dynamics, which present a significant challenge to the receiver tracking loop.
Table 2.
Description of the vehicle motion.
Figure 3.
(a) the variations of G9 and (b) the vehicle velocity variations in ECEF.
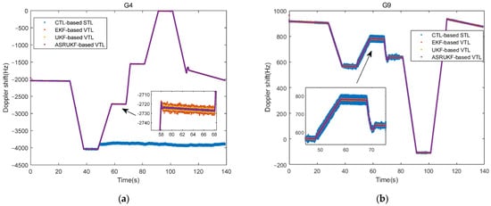
Using satellites G4 and G9 as examples, Figure 4 depicts their respective carrier Doppler frequency estimates. The observation from Figure 4a reveals that under conditions of relatively high and stable signal strength, all methods demonstrate effective tracking. However, as the signal strength diminishes and is accompanied by accelerated motion, the CTL-based STL loses its lock at 50 s. In contrast, the vector tracking loop combines all channel information and uses Doppler frequency feedback to assist the tracking, which can effectively track the signal dynamics under the weak signal of 30 dB-Hz.
Figure 4.
Doppler frequency estimation of all schemes for (a) G4 and (b) G9.
As depicted in Figure 4b, all methods in the G9 channel were consistently tracking throughout the duration of the experiment. However, in the range of 50–70 s, when the satellite signal is low, the CTL-based STL shows a large tracking error, while the VTL greatly improves the tracking accuracy. Moreover, the ASRUKF-based VTL outperforms EKF-based VTL and UKF-based VTL by achieving optimal performance in low and high dynamics scenarios, owing to its adaptive adjustment of noise parameters.
4.3. Practical Validation and Analysis
The vehicle verification platform is illustrated in Figure 5. The Trimble BD992 receiver is employed to deliver accurate position and velocity references. Operating in fixed RTK mode, the receiver demonstrated outstanding horizontal positioning accuracy of 0.8 cm and vertical positioning accuracy of 1.5 cm. The Gstar UTREK-210 IF signal collector is employed for the collection of the satellite’s IF signal, with the intermediate frequency and sampling rate . The two devices are interconnected through a power splitter, enabling them to share the same satellite antenna installed on the vehicle’s rooftop. It is worth noting that the Trimble receiver is capable of accurately measuring the vehicle’s heading information using dual-antenna technology. However, the heading information is not considered in this study. Nonetheless, the experimental process is fully demonstrated by showing all the experimental devices in Figure 5.

Figure 5.
(a) Experiment equipment and (b) performance evaluation method.
4.3.1. Tracking Performance Analysis
The vehicle experiment was conducted on city roads in Nanjing, China. Figure 6 depicts the trajectory of field vehicle experiment conducted in complex moving situations, including open sky, high buildings and trees, and other natural settings. The driving maneuvers encompassed acceleration, deceleration, and turning maneuvers. The data collection time started at UTC 11:28:46, 18 December 2021, and a duration of 200 s of data containing the aforementioned complex environment has been selected for analysis. A total of six satellites were acquired successfully in the experiment. The satellite sky-plot is displayed in Figure 7, with an average Position Dilution of Precision (PDOP) value of 2.2975.
Figure 6.
The trajectory of field vehicle experiment.
Figure 7.
Sky-Plot of the acquired satellites and the mean PDOP value.
The is a critical metric for evaluating the strength of GNSS signal. To provide a more intuitive representation of the influence of GNSS signals during the experimental process, Figure 8 illustrates the of all channels calculated using STL method (Scheme 1). It is apparent that the remains relatively stable during vehicle operation; however, the G16 satellite signal exhibits a more significant decline when encountering severe occlusion. This significantly impacts the continuity of the tracking loop, potentially leading to inaccuracies in positioning results.
Figure 8.
of all satellites during the test.
A closer look at Figure 8 reveals that the signal of satellite G16 experiences severe blockage in motion around 150 s, leading to a sharp decline in the and significantly impacting the tracking loop. Illustrated in Figure 9a, the Doppler frequency estimation of the conventional STL is notably affected within the corresponding signal interruption interval. However, the VTL can combine all the channel information and utilizes the PVT information calculated by the navigation solution module to estimate the carrier frequency. This enables continuous tracking even under short periods of signal interruption.
Figure 9.
(a) Doppler frequency estimation and (b) the PLI of G16 of all schemes.
Phase lock indicator (PLI) serves as a metric to evaluate the tracking performance of each method; the closer the PLI value is to 1, the higher the tracking accuracy []. It can be seen from Figure 9b that the independence of each channel in traditional scalar tracking has a significant impact on the tracking performance of the single loop when influenced by external factors. In contrast, the VTL facilitates mutual assistance between channels, thereby enhancing tracking accuracy even when a single channel is disturbed.
4.3.2. PVT Results Evaluation
In addition, we employ the navigation results generated by the high-precision Trimble RTK receiver as a benchmark to evaluate the position and velocity accuracy of the proposed method. The PVT results are crucial in determining the performance of the receiver, and their precision also impacts the accuracy of feedback Doppler frequency information, which indirectly influences loop tracking performance.
The position errors of different methods are illustrated in Figure 10, revealing that the VTL based on the nonlinear KF tracking loop significantly improves the positioning accuracy compared to the STL receiver using the CTL. When the signal is occluded (150 s–180 s), all methods are affected. However, by combining feedback information from all channels, the VTL method facilitates information sharing between channels, thereby enhancing positioning accuracy in interference environments. Among these methods, the ASRUKF-based VTL demonstrates the highest level of accuracy, followed by the UKF-based VTL, while the EKF-based VTL exhibits comparatively lower performance. This demonstrates the superior efficacy of UKF over EKF in nonlinear approximation. Furthermore, by incorporating a parameter adaptation method, ASRUKF dynamically adjusts the SRUKF bandwidth in real time based on the dynamics of the vehicle to obtain more stable navigation and positioning results.
Figure 10.
(a) Latitude errors, (b) longitude errors, and (c) altitude errors of all schemes.
The root mean square error (RMSE) and standard deviation (STD) of position in three directions are summarized in Table 3. The table clearly demonstrates a significant enhancement in the positional accuracy of EKF-based VTL compared to CTL-based STL. Moreover, the ASRUKF-based VTL proposed in this work demonstrates a reduction of 6.16%, 32.37%, and 44.07%, respectively, in latitude, longitude, and altitude for the position RMSE when compared to the UKF-based VTL.
Table 3.
Positioning errors of the different schemes.
Furthermore, Figure 11 and Table 4 present the results of velocity error and their corresponding statistics, respectively, showing the same conclusion as the positions. The observation from Figure 11 reveals that the proposed ASRUKF-based VTL incorporates an adaptive adjustment mechanism to dynamically modify loop filtering parameters during vehicle operation, thereby exhibiting enhanced accuracy and robustness. Compared with UKF-based VTL, the velocity RMSE of ASRUKF-based VTL decreases by 7.14% and 9.09% in the east and north direction, respectively.
Figure 11.
The velocity error in the (a) east and (b) north direction for all schemes.
Table 4.
Velocity errors of the different schemes.
5. Discussion
The tracking loop of GNSS receivers is inevitably influenced in the context of weak signals and complex dynamic environments. The CTL-based STL employs tracking loops with fixed bandwidth and enables independent operation of each tracking channel. The tracking accuracy exhibits degradation in low C/N0 and high dynamics scenarios, ultimately resulting in loss of lock, as depicted in Figure 4. The VTL, however, incorporates the Doppler frequency derived from navigation results into each channel through feedback, establishing an indirect interconnection between channels and facilitating mutual assistance. Thus, the tracking sensitivity and dynamic performance under weak signal are improved. In addition, the effectiveness of vector tracking in mitigating the impact on positioning results caused by partial channel disturbances and enhancing tracking performance can be observed from Figure 10 in practical vehicle experiment.
Furthermore, the tracking loop based on nonlinear KF utilizes the system model to establish a connection between the loop parameters, thereby significantly enhancing the tracking accuracy. The UKF-based VTL achieves higher tracking accuracy compared to the EKF-based VTL due to the superior nonlinear approximation accuracy of UKF. The attainment of optimal estimation, whether it is UKF or EKF, relies on precise determination of noise parameters. However, the ASRUKF-based VTL proposed in this paper dynamically adjusts the measurement noise covariance and process noise covariance in real time based on the and feedback Doppler frequency error, while incorporating the square root filter to enhance tracking loop accuracy and stability in complex dynamic environments.
6. Conclusions
The paper introduces a vector tracking receiver based on a nonlinear KF tracking loop to enhance the receiver’s performance in complex dynamic environments. First, the structure of the VTL is described in detail. Second, to address the strong nonlinearity arising from the loop filter using I/Q information as the measurement, the SRUKF with an adaptive criterion is introduced. In the ASRUKF-based tracking loop, the measurement noise covariance and process noise covariance can be adjusted adaptively according to the signal C/N0 and feedback Doppler error, respectively. Finally, to verify the effectiveness of the proposed ASRUKF-based VTL, a field vehicle experiment was designed and a comparative analysis was conducted using SDR with varying structures. The results demonstrate the superiority of the proposed method due to its adaptive adjustment of loop filtering parameters based on signal dynamic characteristics in complex dynamic environments. Especially in the case of partial signal occlusion, the proposed method exhibits superior PVT accuracy compared to other methods.
The method proposed in this paper presents a new idea for the implementation of a robust signal tracking method for GNSS receivers. However, it is suggested that future research should explore the application of more advanced nonlinear filtering methods, such as factor graph optimization, to vector tracking receivers to further enhance tracking performance. Additionally, the successful implementation of the proposed method provides a way to introduce additional sensors to assist the receiver loop tracking and augmenting the dynamic range and robustness of GNSS receiver, such as the application of GNSS/INS ultra-tight integration.
Author Contributions
Conceptualization, N.G. and Z.Y.; methodology, N.G.; software, N.G.; validation, N.G.; formal analysis, N.G.; investigation, N.G.; resources, X.C.; data curation, N.G.; writing—original draft preparation, N.G.; writing—review and editing, N.G. and Z.J.; visualization, N.G.; supervision, X.C.; project administration, X.C.; funding acquisition, X.C. All authors have read and agreed to the published version of the manuscript.
Funding
This research was funded by National Natural Science Foundation of China, grant number No. 61873064.
Data Availability Statement
The data presented in this study are available on request from the corresponding author. The data are not publicly available due to privacy.
Acknowledgments
The authors would like to thank Yulu Zhong and Junwei Wang for their assistance in the completion of experiments.
Conflicts of Interest
The authors declare no conflicts of interest.
References
- Locubiche-Serra, S.; Seco-Granados, G.; López-Salcedo, J.A. Performance assessment of a low-complexity autoregressive Kalman filter for GNSS carrier tracking using real scintillation time series. GPS Solut. 2022, 26, 17. [Google Scholar] [CrossRef]
- Jiang, C.; Chen, S.; Chen, Y.; Liu, D.; Bo, Y. GNSS vector tracking method using graph optimization. IEEE Trans. Circuits Syst. II-Express Briefs 2020, 68, 1313–1317. [Google Scholar] [CrossRef]
- Yan, Z.; Ruotsalainen, L.; Chen, X.; Tang, X. An INS-assisted vector tracking receiver with multipath error estimation for dense urban canyons. GPS Solut. 2023, 27, 88. [Google Scholar] [CrossRef]
- Peng, Z.; Gao, Y.; Gao, C.; Shang, R.; Gan, L. Improving Smartphone GNSS Positioning Accuracy Using Inequality Constraints. Remote Sens. 2023, 15, 2062. [Google Scholar] [CrossRef]
- Ding, Y.; Chauchat, P.; Pages, G.; Asseman, P. Learning-enhanced adaptive robust GNSS navigation in challenging environments. IEEE Robot. Autom. Lett. 2022, 7, 9905–9912. [Google Scholar] [CrossRef]
- Shen, C.; Zhao, X.; Wu, X.; Cao, H.; Wang, C.; Tang, J.; Liu, J. Multi-aperture Visual Velocity Measurement Method based on Biomimetic Compound-eye for UAVs. IEEE Internet Things J. 2023, 11, 11165–11174. [Google Scholar] [CrossRef]
- Jiang, C.; Chen, Y.; Xu, B.; Jia, J.; Sun, H.; Chen, C.; Duan, Z.; Bo, Y.; Hyyppä, J. Vector tracking based on factor graph optimization for GNSS NLOS bias estimation and correction. IEEE Internet Things J. 2022, 9, 16209–16221. [Google Scholar] [CrossRef]
- Liu, W.; Ma, P.; Hu, Y.; Wang, X.; Hsieh, T.H.; Han, B.; Wang, S. A MCKF-based cascade vector tracking method designed for ship navigation. Meas. Sci. Technol. 2024, 35, 046301. [Google Scholar] [CrossRef]
- Yan, Z.; Chen, X.; Tang, X.; Zhu, X. Design and Performance Evaluation of the Improved INS-Assisted Vector Tracking for the Multipath in Urban Canyons. IEEE Trans. Instrum. Meas. 2022, 71, 8504816. [Google Scholar] [CrossRef]
- Mu, R.; Long, T. Design and implementation of vector tracking loop for high-dynamic GNSS receiver. Sensors 2021, 21, 5629. [Google Scholar] [CrossRef] [PubMed]
- Xu, B.; Hsu, L.T. Open-source MATLAB code for GPS vector tracking on a software-defined receiver. GPS Solut. 2019, 23, 46. [Google Scholar] [CrossRef]
- Gómez, M.A.; Solera-Rico, A.; Valero, E.; Lázaro, J.A.; Fernández-Prades, C. Enhancing GNSS receiver performance with software-defined vector carrier tracking for rocket launching. Results Eng. 2023, 19, 101310. [Google Scholar] [CrossRef]
- Zhang, T.; Zhang, H.; Lin, T.; Yan, K.; Niu, X. Modeling and verifying the impact of time delay on INS-aided GNSS PLLs. GPS Solut. 2016, 20, 725–736. [Google Scholar] [CrossRef]
- Cheng, Y.; Chang, Q. A carrier tracking loop using adaptive strong tracking Kalman filter in GNSS receivers. IEEE Commun. Lett. 2020, 24, 2903–2907. [Google Scholar] [CrossRef]
- Yang, H.; Zhou, B.; Wang, L.; Wei, Q.; Ji, F.; Zhang, R. Performance and evaluation of GNSS receiver vector tracking loop based on adaptive cascade filter. Remote Sens. 2021, 13, 1477. [Google Scholar] [CrossRef]
- Wu, M.; Zhao, L.; Ding, J.; Gao, Y.; Li, Y.; Kang, Y. A BDS-3 B1C/B2a dual-frequency joint tracking architecture based on adaptive Kalman filter and extended integration time. GPS Solut. 2020, 24, 30. [Google Scholar] [CrossRef]
- Sun, D.; Petovello, M.G.; Cannon, M.E. Use of a reduced IMU to aid a GPS receiver with adaptive tracking loops for land vehicle navigation. GPS Solut. 2010, 14, 319–329. [Google Scholar] [CrossRef]
- Cortés, I.; van der Merwe, J.R.; Lohan, E.S.; Nurmi, J.; Felber, W. Performance evaluation of adaptive tracking techniques with direct-state Kalman filter. Sensors 2022, 22, 420. [Google Scholar] [CrossRef] [PubMed]
- Jin, T.; Wang, C.; Lu, X.; Ling, K.-V.; Cong, L. Analysis of a federal Kalman filter-based tracking loop for GPS signals. GPS Solut. 2019, 23, 119. [Google Scholar] [CrossRef]
- Klokov, A.; Kanouj, M.; Mironchev, A. A novel carrier tracking approach for GPS signals based on Gauss–Hermite Kalman filter. Electronics 2022, 11, 2215. [Google Scholar] [CrossRef]
- Tang, X.; Wang, C.; Lu, X.; Ling, K.V.; Cong, L. The explicit tuning investigation and validation of a full Kalman filter-based tracking loop in GNSS receivers. IEEE Access 2019, 7, 111487–111498. [Google Scholar] [CrossRef]
- Tang, X.; Falco, G.; Falletti, E.; Lo Presti, L. Theoretical analysis and tuning criteria of the Kalman filter-based tracking loop. GPS Solut. 2015, 19, 489–503. [Google Scholar] [CrossRef]
- Miao, Z.Y.; Lv, Y.L.; Xu, D.J.; Shen, F.; Pang, S.W. Analysis of a variational Bayesian adaptive cubature Kalman filter tracking loop for high dynamic conditions. GPS Solut. 2017, 21, 111–122. [Google Scholar] [CrossRef]
- Cortés, I.; Conde, N.; Van Der Merwe, J.R.; Lohan, E.S.; Nurmi, J.; Felber, W. Low-complexity adaptive direct-state Kalman filter for robust GNSS carrier tracking. In Proceedings of the 2022 International Conference on Localization and GNSS (ICL-GNSS), Tampere, Finland, 7–9 June 2022; pp. 1–7. [Google Scholar]
- Won, J.H.; Dötterböck, D.; Eissfeller, B. Performance comparison of different forms of Kalman filter approaches for a vector-based GNSS signal tracking loop. Navigation 2010, 57, 185–199. [Google Scholar] [CrossRef]
- Tang, X.; Falco, G.; Falletti, E.; Presti, L.L. Practical implementation and performance assessment of an Extended Kalman Filter-based signal tracking loop. In Proceedings of the 2013 International Conference on Localization and GNSS (ICL-GNSS), Turin, Italy, 25–27 June 2013; pp. 139–144. [Google Scholar]
- Zeng, C.; Li, W. Application of extended Kalman filter for tracking high dynamic GPS signal. In Proceedings of the 2016 IEEE International Conference on Signal and Image Processing (ICSIP), Beijing, China, 13–15 August 2016; pp. 503–507. [Google Scholar]
- Tu, Z.; Lou, Y.; Guo, W.; Song, W.; Wang, Y. Design and Validation of a Cascading Vector Tracking Loop in High Dynamic Environments. Remote Sens. 2021, 13, 2000. [Google Scholar] [CrossRef]
- Liu, J.; Chen, X.; Wang, J. Strong Tracking UKF-Based Hybrid Algorithm and Its Application to Initial Alignment of Rotating SINS with Large Misalignment Angles. IEEE Trans. Ind. Electron. 2022, 70, 8334–8343. [Google Scholar] [CrossRef]
- Zhong, Y.; Chen, X.; Zhou, Y.; Wang, J. Adaptive Particle Filtering with Variational Bayesian and Its Application for INS/GPS Integrated Navigation. IEEE Sens. J. 2023, 23, 19757–19770. [Google Scholar] [CrossRef]
- Gao, Z.; Mu, D.; Gao, S.; Zhong, Y.; Gu, C. Adaptive unscented Kalman filter based on maximum posterior and random weighting. Aerosp. Sci. Technol. 2017, 71, 12–24. [Google Scholar] [CrossRef]
- Wang, J.; Chen, X.; Shao, X. An adaptive multiple backtracking UKF method based on Krein space theory for marine vehicles alignment process. IEEE Trans. Veh. Technol. 2022, 72, 3214–3226. [Google Scholar] [CrossRef]
- Chen, S.; Gao, Y. Improvement of carrier phase tracking in high dynamics conditions using an adaptive joint vector tracking architecture. GPS Solut. 2019, 23, 15. [Google Scholar] [CrossRef]
- Zhang, T.; Shi, J.; Lin, T.; Feng, X.; Niu, X. GNSS position-aided delay-locked loops for accurate urban navigation. GPS Solut. 2023, 27, 127. [Google Scholar] [CrossRef]
- Dutt, R.; Acharyya, A. Low-Complexity Square-Root Unscented Kalman Filter Design Methodology. Circuits Syst. Signal Process. 2023, 42, 6900–6928. [Google Scholar] [CrossRef]
- Petovello, M.G.; Lachapelle, G. Comparison of vector-based software receiver implementations with application to ultra-tight GPS/INS integration. In Proceedings of the 19th International Technical Meeting of the Satellite Division of the Institute of Navigation (ION GNSS 2006), Fort Worth, TX, USA, 26–29 September 2006; pp. 1790–1799. [Google Scholar]
- Ghizzo, E.; Pena, A.G.; Lesouple, J.; Milner, C.; Macabiau, C. Assessing GNSS Carrier-to-Noise-Density Ratio Estimation in The Presence of Meaconer Interference. In Proceedings of the ICASSP 2024 IEEE International Conference on Acoustics, Speech and Signal Processing (ICASSP), Seoul, Republic of Korea, 14–19 April 2024; pp. 8971–8975. [Google Scholar]
- Won, J.-H. A novel adaptive digital phase-lock-loop for modern digital GNSS receivers. IEEE Commun Lett. 2013, 18, 46–49. [Google Scholar] [CrossRef]
Disclaimer/Publisher’s Note: The statements, opinions and data contained in all publications are solely those of the individual author(s) and contributor(s) and not of MDPI and/or the editor(s). MDPI and/or the editor(s) disclaim responsibility for any injury to people or property resulting from any ideas, methods, instructions or products referred to in the content. |
© 2024 by the authors. Licensee MDPI, Basel, Switzerland. This article is an open access article distributed under the terms and conditions of the Creative Commons Attribution (CC BY) license (https://creativecommons.org/licenses/by/4.0/).